- Tổng quan
- Nội dung
- VB gốc
- Tiếng Anh
- Hiệu lực
- VB liên quan
- Lược đồ
-
Nội dung hợp nhất
Tính năng này chỉ có tại LuatVietnam.vn. Nội dung hợp nhất tổng hợp lại tất cả các quy định còn hiệu lực của văn bản gốc và các văn bản sửa đổi, bổ sung, đính chính... trên một trang. Việc hợp nhất văn bản gốc và những văn bản, Thông tư, Nghị định hướng dẫn khác không làm thay đổi thứ tự điều khoản, nội dung.
Khách hàng chỉ cần xem Nội dung hợp nhất là có thể nắm bắt toàn bộ quy định hiện hành đang áp dụng, cho dù văn bản gốc đã qua nhiều lần chỉnh sửa, bổ sung.
- Tải về
Văn bản hợp nhất 17/VBHN-BXD năm 2020 do Bộ Xây dựng ban hành hợp nhất Thông tư hướng dẫn xác định giá ca máy và thiết bị thi công xây dựng
| Số hiệu: | 17/VBHN-BXD | Ngày ký xác thực: | 31/12/2020 |
| Loại văn bản: | Văn bản hợp nhất | Cơ quan hợp nhất: | Bộ Xây dựng |
|
Ngày đăng công báo:
|
Đang cập nhật |
Người ký:
|
Nguyễn Văn Sinh |
|
Số công báo:
Số công báo là mã số ấn phẩm được đăng chính thức trên ấn phẩm thông tin của Nhà nước. Mã số này do Chính phủ thống nhất quản lý.
|
Đang cập nhật |
Ngày hết hiệu lực:
Ngày hết hiệu lực là ngày, tháng, năm văn bản chính thức không còn hiệu lực (áp dụng).
|
Đang cập nhật |
TÓM TẮT VĂN BẢN HỢP NHẤT 17/VBHN-BXD
Nội dung tóm tắt đang được cập nhật, Quý khách vui lòng quay lại sau!
Tải văn bản hợp nhất 17/VBHN-BXD
|
| CỘNG HÒA XÃ HỘI CHỦ NGHĨA VIỆT NAM |
THÔNG TƯ
Hướng dẫn xác định giá ca máy và thiết bị thi công xây dựng
Thông tư số 11/2019/TT-BXD ngày 26 tháng 12 năm 2019 của Bộ trưởng Bộ Xây dựng hướng dẫn xác định giá ca máy và thiết bị thi công xây dựng có hiệu lực kể từ ngày 15 tháng 02 năm 2020, được sửa đổi, bổ sung bởi:
Thông tư số 02/2020/TT-BXD ngày 20 tháng 7 năm 2020 của Bộ trưởng Bộ Xây dựng sửa đổi, bổ sung một số điều của 04 Thông tư có liên quan đến quản lý chi phí đầu tư xây dựng có hiệu lực kể từ ngày 05 tháng 9 năm 2020.
________________________________
Căn cứ Nghị định số 81/2017/NĐ-CP ngày 17 tháng 7 năm 2017 của Chính phủ quy định chức năng, nhiệm vụ, quyền hạn và cơ cấu tổ chức của Bộ Xây dựng;
Căn cứ Nghị định số 68/2019/NĐ-CP ngày 14 tháng 8 năm 2019 của Chính phủ về quản lý chi phí đầu tư xây dựng;
Xét đề nghị của Viện trưởng Viện Kinh tế xây dựng và Cục trưởng Cục Kinh tế xây dựng[1];
Bộ trưởng Bộ Xây dựng ban hành Thông tư hướng dẫn xác định giá ca máy và thiết bị thi công xây dựng.
Điều 1. Phạm vi điều chỉnh
Thông tư này hướng dẫn xác định giá ca máy và thiết bị thi công xây dựng (sau đây viết tắt là giá ca máy) làm cơ sở phục vụ công tác lập và quản lý chi phí đầu tư xây dựng.
Điều 2. Đối tượng áp dụng
1. Các cơ quan, tổ chức, cá nhân có liên quan đến lập và quản lý chi phí đầu tư xây dựng của các dự án sử dụng vốn ngân sách nhà nước, vốn nhà nước ngoài ngân sách và dự án đầu tư theo hình thức đối tác công tư (PPP) theo quy định tại khoản 1 Điều 2 Nghị định số 68/2019/NĐ-CP ngày 14/8/2019 của Chính phủ về quản lý chi phí đầu tư xây dựng (sau đây viết tắt là Nghị định số 68/2019/NĐ-CP).
2. Khuyến khích các cơ quan, tổ chức, cá nhân có liên quan đến xác định và quản lý chi phí đầu tư xây dựng của các dự án sử dụng nguồn vốn khác áp dụng các quy định tại Thông tư này, để xác định chi phí đầu tư xây dựng làm căn cứ thực hiện nghĩa vụ tài chính đối với Nhà nước.
Điều 3. Nguyên tắc xác định giá ca máy
1. Giá ca máy là mức chi phí bình quân xác định cho một ca làm việc theo quy định của máy và thiết bị thi công xây dựng.
2. Giá ca máy được xác định trên cơ sở yêu cầu quản lý sử dụng máy và thiết bị thi công xây dựng, các định mức hao phí tính giá ca máy và mặt bằng giá của địa phương.
3. Giá ca máy được xác định phù hợp với quy định về máy thi công xây dựng trong định mức dự toán xây dựng công trình.
4. Giá ca máy của công trình cụ thể được xác định theo loại máy thi công xây dựng sử dụng (hoặc dự kiến sử dụng) để thi công xây dựng công trình phù hợp với thiết kế tổ chức xây dựng, biện pháp thi công xây dựng, tiến độ thi công xây dựng công trình và mặt bằng giá tại khu vực xây dựng công trình.
Điều 4. Nội dung giá ca máy
1. Giá ca máy gồm toàn bộ hoặc một số các khoản mục chi phí như chi phí khấu hao, chi phí sửa chữa, chi phí nhiên liệu, năng lượng, chi phí nhân công điều khiển và chi phí khác của máy.
2[2]. Giá ca máy chưa bao gồm chi phí cho các loại công tác xây dựng nhà bao che cho máy, nền móng máy, hệ thống cấp điện, nước, khí nén và các loại công tác xây dựng thực hiện tại hiện trường phục vụ cho việc lắp đặt, vận hành thử của một số loại máy như trạm trộn bê tông xi măng, trạm trộn bê tông nhựa, cần trục di chuyển trên ray và các loại thiết bị tương tự. Các chi phí này được lập dự toán riêng theo biện pháp thi công và tính vào chi phí khác của dự toán công trình.
3. Các nội dung chi phí trong giá ca máy được xác định phù hợp theo loại máy có cùng công nghệ, xuất xứ, các chỉ tiêu kỹ thuật chủ yếu.
Điều 5. Phương pháp xác định giá ca máy
1. Trình tự xác định giá ca máy như sau:
a) Lập danh mục máy và thiết bị thi công xây dựng;
b) Xác định thông tin, số liệu cơ sở phục vụ tính toán xác định giá ca máy;
c) Tính toán, xác định giá ca máy theo định mức hao phí và các dữ liệu cơ bản hoặc theo giá ca máy thuê.
2. Chi tiết phương pháp xác định giá ca máy được quy định tại Phụ lục số 1 của Thông tư này.
3. Định mức hao phí và các dữ liệu cơ bản để xác định giá ca máy được quy định tại Phụ lục số 2 của Thông tư này.
Điều 6. Quản lý giá ca máy
1. Bộ Xây dựng hướng dẫn phương pháp khảo sát và ban hành định mức các hao phí và các dữ liệu cơ bản để xác định giá ca máy.
2. Ủy ban nhân dân cấp tỉnh, thành phố trực thuộc Trung ương (sau đây gọi tắt là Ủy ban nhân dân cấp tỉnh) giao cho cơ quan chuyên môn về xây dựng căn cứ vào phương pháp xác định giá ca máy theo hướng dẫn tại Thông tư này xác định và trình Ủy ban nhân dân cấp tỉnh công bố trên địa bàn tỉnh, thành phố trực thuộc Trung ương theo định kỳ quý/năm hoặc khi có sự thay đổi lớn về giá trên thị trường xây dựng để làm cơ sở xác định chi phí máy thi công để lập và quản lý chi phí đầu tư xây dựng trên địa bàn và gửi về Bộ Xây dựng để theo dõi, quản lý.
3. Cơ quan chuyên môn về xây dựng thực hiện hoặc thuê tư vấn có năng lực chuyên môn theo quy định để thực hiện một phần việc hoặc toàn bộ công việc khảo sát thu thập số liệu xác định giá ca máy, khảo sát thành phần chi phí cơ bản của giá ca máy. Kinh phí cho việc xác định giá ca máy được bố trí từ nguồn ngân sách chi thường xuyên của Bộ, ngành, tỉnh, thành phố trực thuộc Trung ương.
4. Chủ đầu tư sử dụng giá ca máy đã được công bố làm cơ sở xác định giá xây dựng công trình. Trường hợp các loại máy và thiết bị thi công xây dựng không có trong công bố hoặc đã có nhưng chưa phù hợp với yêu cầu sử dụng và điều kiện thi công của công trình hoặc trường hợp dự án đầu tư thuộc địa bàn hai tỉnh, thành phố trực thuộc Trung ương thì Chủ đầu tư tổ chức xây dựng giá ca máy của công trình theo nguyên tắc và phương pháp quy định tại Thông tư này, trình người quyết định đầu tư xem xét, phê duyệt áp dụng cho dự án, công trình và gửi về cơ quan chuyên môn của địa phương và Bộ Xây dựng để phục vụ quản lý.
5. Nhà thầu tư vấn lập dự toán xây dựng có trách nhiệm đề xuất giá ca máy chưa được công bố hoặc đã công bố nhưng chưa phù hợp với yêu cầu sử dụng và điều kiện thi công của công trình để lập dự toán và đảm bảo tính đầy đủ, chính xác của hồ sơ tài liệu báo cáo chủ đầu tư.
6. Các doanh nghiệp kinh doanh cung cấp, cho thuê máy móc, thiết bị xây dựng trên địa bàn tỉnh, các chủ đầu tư, nhà thầu thi công xây lắp trúng thầu tại các dự án đầu tư xây dựng sử dụng vốn nhà nước, dự án PPP trên địa bàn tỉnh có trách nhiệm cung cấp các thông tin về giá ca máy, giá thuê máy và các thông tin phục vụ cho việc khảo sát, xác định và công bố giá ca máy trên địa bàn tỉnh theo biểu mẫu do cơ quan chuyên môn về xây dựng yêu cầu cung cấp.
Điều 7. Xử lý chuyển tiếp
1. Trường hợp tổng mức đầu tư, dự toán xây dựng công trình đã được phê duyệt trước thời điểm có hiệu lực của Thông tư này và chưa ký kết hợp đồng xây dựng thì người quyết định đầu tư quyết định việc điều chỉnh giá ca máy trong tổng mức đầu tư, dự toán xây dựng làm cơ sở xác định giá gói thầu theo giá ca máy do Ủy ban nhân dân cấp tỉnh công bố trên cơ sở đảm bảo tiến độ và hiệu quả thực hiện dự án.
2. Các gói thầu xây dựng đã ký kết hợp đồng xây dựng trước thời điểm có hiệu lực của Thông tư thì thực hiện theo nội dung hồ sơ mời thầu, hồ sơ dự thầu và nội dung hợp đồng xây dựng đã ký kết.
Điều 8. Hiệu lực thi hành[3]
1. Thông tư này có hiệu lực kể từ ngày 15/02/2020.
2. Trong quá trình thực hiện nếu có vướng mắc, tổ chức, cá nhân gửi ý kiến về Bộ Xây dựng để xem xét, giải quyết./.
| BỘ XÂY DỰNG Nơi nhận: - Văn phòng Chính phủ (để đăng Công báo); | XÁC THỰC VĂN BẢN HỢP NHẤT KT. BỘ TRƯỞNG |
PHỤ LỤC SỐ 1
PHƯƠNG PHÁP XÁC ĐỊNH GIÁ CA MÁY VÀ THIẾT BỊ THI CÔNG XÂY DỰNG
(Ban hành kèm theo Thông tư số 11/2019/TT-BXD ngày 26/12/2019 của Bộ trưởng Bộ Xây dựng)
Giá ca máy và thiết bị thi công xây dựng (sau đây gọi là giá ca máy) là mức chi phí bình quân cho một ca làm việc theo quy định của máy và thiết bị thi công xây dựng.
Giá ca máy gồm toàn bộ hoặc một số khoản mục chi phí như chi phí khấu hao, chi phí sửa chữa, chi phí nhiên liệu, năng lượng, chi phí nhân công điều khiển và chi phí khác của máy và được xác định theo công thức sau:
CCM = CKH + CSC + CNL + CNC + CCPK (1)
Trong đó:
- CCM: giá ca máy (đồng/ca);
- CKH: chi phí khấu hao (đồng/ca);
- CSC: chi phí sửa chữa (đồng/ca);
- CNL: chi phí nhiên liệu, năng lượng (đồng/ca);
- CNC: chi phí nhân công điều khiển (đồng/ca);
- CCPK: chi phí khác (đồng/ca).
1. Xác định các nội dung chi phí trong giá ca máy
Các khoản mục chi phí trong giá ca máy được xác định trên cơ sở định mức các hao phí xác định giá ca máy quy định tại Phụ lục số 2 Thông tư này và mặt bằng giá nhiên liệu, năng lượng, đơn giá nhân công, nguyên giá ca máy tại địa phương. Trường hợp loại máy và thiết bị chưa có trong quy định tại Phụ lục số 2 Thông tư này được xác định theo quy định tại mục 2 Phụ lục này.
1.1. Xác định chi phí khấu hao
a) Trong quá trình sử dụng máy, máy bị hao mòn, giảm dần giá trị sử dụng và giá trị của máy do tham gia vào hoạt động sản xuất kinh doanh, do bào mòn của tự nhiên.
Khấu hao máy là việc tính toán, và phân bổ một cách có hệ thống nguyên giá của máy vào chi phí sản xuất, kinh doanh trong thời gian trích khấu hao của máy để thu hồi vốn đầu tư máy. Khấu hao của máy được tính trong giá ca máy.
b) Chi phí khấu hao trong giá ca máy được xác định theo công thức sau:
(2)
Trong đó:
- CKH: chi phí khấu hao trong giá ca máy (đồng/ca);
- G: nguyên giá máy trước thuế (đồng);
- GTH: giá trị thu hồi (đồng);
- ĐKH: định mức khấu hao của máy (%/năm);
- NCA: số ca làm việc của máy trong năm (ca/năm).
c) Xác định nguyên giá máy:
- Nguyên giá của máy để tính giá ca máy được xác định theo giá máy mới, phù hợp với mặt bằng thị trường của loại máy sử dụng để thi công xây dựng công trình.
- Nguyên giá của máy là toàn bộ các chi phí để đầu tư mua máy tính đến thời điểm đưa máy vào trạng thái sẵn sàng sử dụng gồm giá mua máy (không kể chi phí cho vật tư, phụ tùng thay thế mua kèm theo), thuế nhập khẩu (nếu có), chi phí vận chuyển, bốc xếp, bảo quản, chi phí lưu kho, chi phí lắp đặt (lần đầu tại một công trình), chi phí chuyển giao công nghệ (nếu có), chạy thử, các khoản chi phí hợp lệ khác có liên quan trực tiếp đến việc đầu tư máy, không bao gồm thuế giá trị gia tăng[4].
- Nguyên giá của máy không bao gồm các chi phí như quy định tại khoản 2 Điều 4 Thông tư này và các chi phí như: chi phí lắp đặt, tháo dỡ trạm trộn bê tông xi măng, trạm trộn bê tông nhựa, cần trục di chuyển trên ray, cần trục tháp và các thiết bị, máy thi công xây dựng tương tự khác từ lần thứ hai trở đi. Các chi phí này được xác định bằng cách lập dự toán và được tính vào chi phí khác trong dự toán xây dựng công trình[5].
- Nguyên giá của máy được xác định trên cơ sở các số liệu sau:
+ Khảo sát nguyên giá máy thi công của các doanh nghiệp hoạt động trên địa bàn tỉnh về lĩnh vực thiết bị công trình xây dựng, kinh doanh cung cấp, cho thuê máy móc, thiết bị xây dựng, doanh nghiệp xây dựng có thiết bị máy móc xây dựng; báo giá của nhà cung cấp, theo hợp đồng mua bán máy và các chi phí khác liên quan để đưa máy vào trạng thái sẵn sàng hoạt động;
+ Tham khảo nguyên giá máy từ các công trình tương tự đã và đang thực hiện theo nguyên tắc phù hợp với mặt bằng giá máy trên thị trường tại thời điểm tính giá ca máy;
+ Tham khảo nguyên giá máy các địa phương lân cận công bố hoặc nguyên giá máy tham chiếu của Bộ Xây dựng tại Phụ lục 2 Thông tư này.
d) Giá trị thu hồi: là giá trị phần còn lại của máy sau khi thanh lý, được xác định như sau:
- Đối với máy có nguyên giá từ 30.000.000 đồng (ba mươi triệu đồng) trở lên giá trị thu hồi tính bằng 10% nguyên giá.
- Không tính giá trị thu hồi với máy có nguyên giá nhỏ hơn 30.000.000 đồng (ba mươi triệu đồng).
đ) Định mức khấu hao của máy (%/năm) được xác định trên cơ sở định mức khấu hao của máy quy định tại Phụ lục số 2 Thông tư này. Đối với những máy làm việc ở vùng nước mặn, nước lợ và trong môi trường ăn mòn cao thì định mức khấu hao được điều chỉnh với hệ số 1,05[6].
e) Số ca làm việc của máy trong năm (ca/năm) được xác định trên cơ sở số ca làm việc của máy trong năm quy định tại Phụ lục số 2 Thông tư này.
1.2. Xác định chi phí sửa chữa
a) Chi phí sửa chữa máy là các khoản chi phí để bảo dưỡng, sửa chữa máy định kỳ, sửa chữa máy đột xuất trong quá trình sử dụng máy nhằm duy trì và khôi phục năng lực hoạt động tiêu chuẩn của máy[7]. Chi phí sửa chữa trong giá ca máy được xác định theo công sau:
(3)
Trong đó:
- CSC: chi phí sửa chữa trong giá ca máy (đồng/ca)
- ĐSC: định mức sửa chữa của máy (% năm)
- G: nguyên giá máy trước thuế VAT (đồng)
- NCA: số ca làm việc của máy trong năm (ca/năm).
b) Định mức sửa chữa của máy (% năm) được xác định trên cơ sở định mức sửa chữa của máy quy định tại Phụ lục số 2 Thông tư này. Đối với những máy làm việc ở vùng nước mặn, nước lợ và trong môi trường ăn mòn cao thì định mức sửa chữa được điều chỉnh với hệ số 1,05[8].
c) Nguyên giá máy trước thuế (G) và số ca làm việc của máy trong năm (NCA) xác định như quy định tại điểm c, e mục 1.1 Phụ lục này.
d) Chi phí sửa chữa máy chưa bao gồm chi phí thay thế các loại phụ tùng thuộc bộ phận công tác của máy có giá trị lớn mà sự hao mòn của chúng phụ thuộc chủ yếu tính chất của đối tượng công tác.
1.3. Xác định chi phí nhiên liệu, năng lượng
a) Nhiên liệu, năng lượng là xăng, dầu, điện, gas hoặc khí nén tiêu hao trong thời gian một ca làm việc của máy để tạo ra động lực cho máy hoạt động gọi là nhiên liệu chính.
Các loại dầu mỡ bôi trơn, dầu truyền động,... gọi là nhiên liệu phụ trong một ca làm việc của máy được xác định bằng hệ số so với chi phí nhiên liệu chính.
b) Chi phí nhiên liệu, năng lượng trong giá ca máy được xác định theo công thức sau:
(4)
Trong đó:
- CNL: chi phí nhiên liệu, năng lượng trong giá ca máy (đồng/ca);
- ĐNL: định mức tiêu hao nhiên liệu, năng lượng loại i của thời gian máy làm việc trong một ca;
- GNL: giá nhiên liệu loại i;
- KPi: hệ số chi phí nhiên liệu phụ loại i;
- n: số loại nhiên liệu, năng lượng sử dụng trong một ca máy.
c) Định mức tiêu hao nhiên liệu, năng lượng của thời gian máy làm việc trong một ca của một loại máy và thiết bị thi công được xác định theo quy định tại Phụ lục số 2 Thông tư này.
d) Giá nhiên liệu, năng lượng được xác định trên cơ sở:
- Giá xăng, dầu: theo thông cáo báo chí giá xăng dầu của Tập đoàn xăng dầu Việt Nam Petrolimex phù hợp với thời điểm tính giá ca máy và khu vực xây dựng công trình;
- Giá điện: theo quy định về giá bán điện của nhà nước phù hợp với thời điểm tính giá ca máy và khu vực xây dựng công trình.
đ) Hệ số chi phí nhiên liệu phụ cho một ca máy làm việc, được xác định theo từng loại máy và điều kiện cụ thể của công trình. Hệ số chi phí nhiên liệu phụ có giá trị bình quân như sau:
- Máy và thiết bị chạy động cơ xăng: 1,02;
- Máy và thiết bị chạy động cơ diesel: 1,03;
- Máy và thiết bị chạy động cơ điện: 1,05.
e) Trường hợp các loại máy để thực hiện một số loại công tác (như khảo sát, thí nghiệm và một số loại công tác khác) mà chi phí nhiên liệu, năng lượng đã tính vào chi phí vật liệu trong đơn giá của công tác đó thì khi xác định giá ca máy không tính thành phần chi phí nhiên liệu, năng lượng.
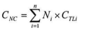
1.4. Xác định chi phí nhân công điều khiển
a) Chi phí nhân công điều khiển trong một ca máy được xác định trên cơ sở các quy định về số lượng, thành phần, nhóm, cấp bậc công nhân điều khiển máy theo quy trình vận hành máy và đơn giá ngày công tương ứng với cấp bậc công nhân điều khiển máy.
b) Chi phí nhân công điều khiển trong giá ca máy được xác định theo công thức sau:
(5)
Trong đó:
- Ni: số lượng công nhân theo cấp bậc điều khiển máy loại i trong một ca máy;
- CTLi: đơn giá ngày công cấp bậc công nhân điều khiển máy loại i;
- n: số lượng, loại công nhân điều khiển máy trong một ca máy.
c) Số lượng công nhân theo cấp bậc điều khiển máy trong một ca làm việc của một loại máy được xác định số lượng, thành phần và cấp bậc thợ điều khiển quy định tại Phụ lục số 2 Thông tư này.
d) Đơn giá ngày công cấp bậc công nhân điều khiển máy được xác định trên cơ sở đơn giá nhân công xây dựng do Ủy ban nhân dân câp tỉnh công bố.
đ) Trường hợp các loại máy để thực hiện một số loại công tác (như khảo sát xây dựng, thí nghiệm và một số loại công tác khác) mà chi phí nhân công điều khiển máy đã tính vào chi phí nhân công trong đơn giá thì khi xác định giá ca máy không tính thành phần chi phí nhân công điều khiển.
1.5. Xác định chi phí khác[9]
a) Chi phí khác trong giá ca máy là các khoản chi phí cần thiết đảm bảo để máy hoạt động bình thường, có hiệu quả tại công trình, gồm bảo hiểm máy, thiết bị trong quá trình sử dụng; bảo quản máy và phục vụ cho công tác bảo dưỡng kỹ thuật trong bảo quản máy; đăng kiểm các loại; di chuyển máy trong nội bộ công trình và các khoản chi phí có liên quan trực tiếp đến quản lý máy và sử dụng máy tại công trình chưa được tính trong các nội dung chi phí khác trong giá xây dựng công trình, dự toán xây dựng[10]. Chi phí khác trong giá ca máy được xác định theo công thức sau:
(6)
Trong đó:
- CK: chi phí khác trong giá ca máy (đồng/ca);
- GK: định mức chi phí khác của máy (% năm);
- G: nguyên giá máy trước thuế (đồng);
- NCA: số ca làm việc của máy trong năm (ca/năm).
b) Định mức chi phí khác của máy được xác định trên cơ sở định mức chi phí khác của máy quy định tại Phụ lục số 2 Thông tư này. Trường hợp loại máy và thiết bị chưa có trong quy định tại Phụ lục số 2 Thông tư này thì định mức chi phí khác của máy được xác định theo quy định tại mục 2 Phụ lục này.
c) Nguyên giá máy trước thuế (G) và số ca làm việc của máy trong năm (NCA) xác định như quy định tại điểm c, e mục 1.1 Phụ lục này.
2. Xác định giá ca máy của loại máy và thiết bị thi công chưa có trong quy định tại Phụ lục số 2 Thông tư này
Trường hợp loại máy và thiết bị chưa có trong quy định tại Phụ lục số 2 Thông tư này thì việc xác định giá ca máy thực hiện theo các phương pháp khảo sát, xác định định mức các hao phí và các dữ liệu cơ bản của giá ca máy quy định tại mục 2.1 Phụ lục này để phục vụ tính toán xác định giá ca máy. Đối với một số loại máy và thiết bị thi công xây dựng có sẵn thông tin giá thuê máy phổ biến trên thị trường thì có thể khảo sát, xác định giá thuê máy trên thị trường để phục vụ tính toán xác định giá ca máy theo phương pháp quy định tại mục 2.2 Phụ lục này. Cụ thể như sau:
2.1. Phương pháp khảo sát xác định định mức các hao phí và các dữ liệu cơ bản của giá ca máy
a) Trình tự khảo sát xác định giá ca máy theo các định mức các hao phí và các dữ liệu cơ bản của giá ca máy như sau:
- Bước 1: Lập danh mục máy và thiết bị thi công xây dựng cần xác định giá ca máy.
- Bước 2: Khảo sát số liệu làm cơ sở xác định từng định mức hao phí và các dữ liệu cơ bản xác định các thành phần chi phí của giá ca máy;
- Bước 3: Tính toán, xác định giá ca máy bình quân.
b) Nội dung khảo sát xác định định mức các hao phí để tính giá ca máy:
- Định mức khấu hao của máy: khảo sát về mức độ hao mòn của máy trong quá trình sử dụng máy do nhà sản xuất máy công bố hoặc theo điều kiện sử dụng cụ thể của máy;
- Định mức sửa chữa của máy: khảo sát thu thập, tổng hợp số liệu về chi phí bảo dưỡng, sửa chữa máy trong cả đời máy từ các hồ sơ, tài liệu sau: nhật ký công trình, thống kê chi phí bảo dưỡng, sửa chữa máy, các quy định về bảo dưỡng, sửa chữa máy; quy đổi tổng số chi phí bảo dưỡng, sửa chữa máy thành tỷ lệ phần trăm (%) so với nguyên giá máy; phân bổ đều tỷ lệ % chi phí bảo dưỡng, sửa chữa máy theo số năm đời máy;
- Số ca làm việc trong năm của máy: khảo sát thu thập, tổng hợp số liệu về thời gian sử dụng máy trong thực tế từ các hồ sơ, tài liệu liên quan đến thời gian sử dụng máy gồm: nhật ký công trình, báo cáo thống kê định kỳ về thời gian sử dụng máy, các quy định và yêu cầu kỹ thuật về thời gian bảo dưỡng, sửa chữa máy, số liệu thống kê về thời tiết ảnh hưởng đến thời gian làm việc của máy; quy định về thời gian sử dụng và hoạt động cả đời máy trong tài liệu kỹ thuật của máy hoặc do nhà sản xuất máy công bố… Bổ sung các yếu tố ảnh hưởng đến số ca làm việc của máy trong năm theo những điều kiện cụ thể của công trình;
- Định mức tiêu hao nhiên liệu, năng lượng: khảo sát số liệu mức nhiên liệu, năng lượng của máy tiêu thụ phù hợp với thời gian làm việc thực tế của máy trong ca; số liệu tính toán theo quy định trong tài liệu kỹ thuật của máy do nhà sản xuất máy công bố về tiêu hao nhiên liệu, năng lượng khi máy hoạt động;
- Số lượng nhân công: Khảo sát số lượng công nhân điều khiển máy, trình độ tay nghề (cấp bậc thợ); khảo sát các quy định về nhân công điều khiển máy do nhà sản xuất máy công bố;
- Định mức chi phí khác của máy: khảo sát thu thập, tổng hợp số liệu về chi phí khác của máy gồm các chi phí cần thiết để máy hoạt động bình thường, có hiệu quả tại công trình quy định tại điểm b khoản 2 Điều 4 Thông tư này; quy đổi giá trị khoản chi phí này theo tỷ lệ % so với giá tính khấu hao của máy; phân bổ chi phí quản lý máy cho số năm đời máy;
- Trường hợp một trong định mức các hao phí xác định giá ca máy thiếu số liệu khảo sát hoặc không đủ cơ sở, tài liệu để khảo sát số liệu thì được xác định bằng cách tính toán áp dụng quy định định mức của các loại máy có cùng tính năng kỹ thuật nhưng khác về công suất hoặc thông số kỹ thuật chủ yếu tại Phụ lục số 2 Thông tư này[11].
c) Nội dung khảo sát xác định nguyên giá của máy:
Nguyên giá của máy cần xác định giá ca máy được xác định trên cơ sở:
- Hợp đồng mua bán máy và các chi phí khác liên quan để đưa máy vào trạng thái sẵn sàng hoạt động;
- Báo giá của nhà cung cấp hoặc của các doanh nghiệp hoạt động về lĩnh vực thiết bị công trình xây dựng, kinh doanh cung cấp, cho thuê máy móc, thiết bị xây dựng và các chi phí khác liên quan để đưa máy vào trạng thái sẵn sàng hoạt động;
- Tham khảo nguyên giá máy từ các công trình tương tự đã và đang thực hiện theo nguyên tắc phù hợp với mặt bằng giá máy trên thị trường tại thời điểm tính giá ca máy;
- Tham khảo nguyên giá máy từ hồ sơ máy thi công của các nhà thầu trúng thầu các dự án đầu tư xây dựng trên địa bàn tỉnh;
- Tham khảo nguyên giá máy các địa phương lân cận công bố.
d)[12] Tổng hợp xử lý số liệu và tính toán xác định giá ca máy.
- Định mức các hao phí xác định giá ca máy và nguyên giá máy được sàng lọc và xử lý dữ liệu trên cơ sở tổng hợp các thông tin, số liệu khảo sát theo từng nội dung.
- Giá ca máy của mỗi công tác xây dựng được xác định theo phương pháp xác định các thành phần chi phí cơ bản của giá ca máy trên cơ sở số liệu sau khi phân tích.
2.2. Phương pháp khảo sát giá ca máy thuê trên thị trường:
a) Trình tự xác định giá ca máy theo số liệu khảo sát giá thuê máy như sau:
- Bước 1: Lập danh mục máy và thiết bị thi công xây dựng có thông tin giá thuê máy phổ biến trên thị trường;
- Bước 2: Khảo sát xác định giá thuê máy trên thị trường;
- Bước 3: Tính toán, xác định giá ca máy theo giá ca máy thuê bình quân.
b) Phạm vi/khu vực khảo sát giá thuê máy: Khảo sát trên địa bàn các địa phương và các địa phương lân cận.
c) Nguyên tắc khảo sát xác định giá ca máy thuê:
- Giá ca máy thuê trên thị trường được khảo sát thu thập, tổng hợp số liệu, thống kê giá cho thuê máy của các doanh nghiệp xây dựng, doanh nghiệp kinh doanh mua, bán, cho thuê máy;
- Giá ca máy thuê được khảo sát xác định phù hợp với chủng loại máy và thiết bị thi công được sử dụng trong định mức dự toán ban hành, hoặc định mức dự toán xây dựng của công trình.
d) Nội dung khảo sát cần xác định rõ các thông tin sau:
- Giá ca máy thuê được khảo sát xác định chỉ bao gồm toàn bộ hoặc một số các khoản mục chi phí trong giá ca máy như chi phí khấu hao, chi phí sửa chữa, chi phí nhiên liệu, năng lượng, chi phí nhân công điều khiển và chi phí khác của máy. Các nội dung chi phí khác liên quan đến việc cho thuê máy để đủ điều kiện cho máy hoạt động, vận hành tại công trường (nếu có) như các khoản mục chi phí quy định tại khoản 2 Điều 4 của Thông tư này và chi phí vận chuyển máy móc, thiết bị đến công trình... được tách riêng không bao gồm trong giá ca máy thuê được khảo sát;
- Giá ca máy thuê được khảo sát xác định tương ứng với đơn vị ca máy (theo quy định về thời gian một ca hoạt động sản xuất thi công của định mức dự toán xây dựng) và các hình thức cho thuê máy (cho thuê bao gồm cả vận hành hoặc chỉ cho thuê máy không bao gồm vận hành) cùng các điều kiện cho thuê máy kèm theo;
- Trường hợp doanh nghiệp công bố giá thuê máy theo các đơn vị thời gian thuê máy theo giờ, theo ngày, theo tháng hoặc năm thì phải được quy đổi về giá thuê theo ca máy để phục vụ tính toán;
- Trường hợp hình thức cho thuê máy bao gồm cả vận hành thì thông tin khảo sát cần xác định riêng các khoản mục chi phí liên quan đến vận hành máy (gồm chi phí nhiên liệu, năng lượng, chi phí nhân công điều khiển máy) và các khoản mục chi phí được phân bổ vào giá ca máy thuê (gồm chi phí khấu hao, chi phí sửa chữa, chi phí khác);
- Khảo sát các thông tin cơ bản của máy: về thông số kỹ thuật của máy (chủng loại, công suất, kích thước, mức độ tiêu hao nhiên liệu…); về xuất xứ của máy; về tình trạng của máy…;
- Khảo sát các thông tin cơ bản về doanh nghiệp cho thuê máy.
đ) Tổng hợp xử lý số liệu và tính toán xác định giá ca máy thuê
Giá ca máy thuê sau khi khảo sát được sàng lọc theo từng loại và công suất máy, đồng thời được xử lý dữ liệu trước khi tính toán xác định giá ca máy thuê bình quân làm cơ sở công bố, cụ thể:
- Các khoản mục chi phí nhiên liệu, năng lượng, chi phí nhân công điều khiển máy trong giá ca máy thuê khảo sát được chuẩn xác theo quy định của nhà sản xuất về mức tiêu hao năng lượng, nhiên liệu, thành phần thợ lái máy và các quy định xác định giá nhiên liệu, năng lượng, đơn giá nhân công tại mục I Phụ lục này. Sau đó tổng hợp xử lý bằng phương pháp hồi quy, chuyển đổi số liệu về thời điểm tính toán và tổng hợp để xác định chi phí;
- Các khoản mục chi phí khấu hao, chi phí sửa chữa, chi phí khác trong giá ca máy thuê khảo sát được xử lý bằng phương pháp hồi quy, chuyển đổi số liệu về thời điểm tính toán và tổng hợp để xác định chi phí.
4. Xác định giá ca máy chờ đợi
a) Giá ca máy chờ đợi là giá ca máy của các loại máy đã được huy động đến công trình để thi công xây dựng công trình nhưng chưa có việc để làm nhưng không do lỗi của nhà thầu.
b) Giá ca máy chờ đợi gồm chi phí khấu hao (được tính 50% chi phí khấu hao), chi phí nhân công điều khiển (được tính 50% chi phí nhân công điều khiển) và chi phí khác của máy.
5. Xác định giá thuê máy theo giờ
a) Giá thuê máy theo giờ là chi phí bên đi thuê trả cho bên cho thuê để được quyền sử dụng máy trong một khoảng thời gian tính theo giờ máy (chưa đủ một ca) để hoàn thành đơn vị khối lượng sản phẩm xây dựng.
b) Giá máy theo giờ bao gồm chi phí nhiên liệu, năng lượng; chi phí tiền lương thợ điều khiển máy; chi phí khấu hao, chi phí sửa chữa và chi phí khác được tính toán và được phân bổ cho một giờ làm việc.
c) Tùy theo loại máy xây dựng, tính chất công việc của công tác xây dựng, công nghệ, biện pháp thi công, giá máy theo giờ được xác định trên cơ sở điều chỉnh giá ca máy theo ca được công bố trong bảng giá ca máy của địa phương nhân với hệ số 1,2 hoặc khảo sát xác định theo hướng dẫn tại mục 2.2 của Phụ lục 1 Thông tư này.
PHỤ LỤC SỐ 2
(Ban hành kèm theo Thông tư số 11/2019/TT-BXD ngày 26/12/2019 của Bộ Xây dựng)
CHƯƠNG I: MÁY VÀ THIẾT BỊ THI CÔNG XÂY DỰNG
| Stt | Mã hiệu | Loại máy và thiết bị | Số ca năm | Định mức (%) | Định mức tiêu hao nhiên liệu, năng lượng (1 ca) | Nhân công điều khiển máy | Nguyên giá tham khảo | ||||
| Khấu hao | Sửa chữa | Chi phí khác | |||||||||
| 1 | 2 | 3 | 4 | 5 | 6 | 7 | 8 | 9 | 10 | ||
|
| M101.0000 | MÁY THI CÔNG ĐẤT VÀ LU LÈN |
|
|
|
|
|
|
|
| |
|
| M101.0100 | Máy đào một gầu, bánh xích - dung tích gầu: |
|
|
|
|
|
|
|
| |
| 1 | M101.0101 | 0,40 m3 | 280 | 17,0 | 5,80 | 5 | 43 | lít diezel | 1x4/7 | 809.944 | |
| 2 | M101.0102 | 0,50 m3 | 280 | 17,0 | 5,80 | 5 | 51 | lít diezel | 1x4/7 | 952.186 | |
| 3 | M101.0103 | 0,65 m3 | 280 | 17,0 | 5,80 | 5 | 59 | lít diezel | 1x4/7 | 1.075.609 | |
| 4 | M101.0104 | 0,80 m3 | 280 | 17,0 | 5,80 | 5 | 65 | lít diezel | 1x4/7 | 1.183.203 | |
| 5 | M101.0105 | 1,25 m3 | 280 | 17,0 | 5,80 | 5 | 83 | lít diezel | 1x4/7 | 1.863.636 | |
| 6 | M101.0106 | 1,60 m3 | 280 | 16,0 | 5,50 | 5 | 113 | lít diezel | 1x4/7 | 2.244.200 | |
| 7 | M101.0107 | 2,30 m3 | 280 | 16,0 | 5,50 | 5 | 138 | lít diezel | 1x4/7 | 3.258.264 | |
| 8 | M101.0108 | 3,60 m3 | 300 | 14,0 | 4,00 | 5 | 199 | lít diezel | 1x4/7 | 6.504.000 | |
| 9 | M101.0115 | Máy đào 1,25 m3 gắn đầu búa thủy lực/hàm kẹp[25] | 280 | 17,0 | 5,80 | 5 | 83 | lít diezel | 1x4/7 | 2.150.000 | |
| 10 | M101.0116 | Máy đào 1,60 m3 gắn đầu búa thủy lực | 300 | 16,0 | 5,50 | 5 | 113 | lít diezel | 1x4/7 | 2.530.564 | |
|
| M101.0200 | Máy đào một gầu, bánh hơi - dung tích gầu: |
|
|
|
|
|
|
|
| |
| 11 | M101.0201 | 0,80 m3 | 260 | 17,0 | 5,40 | 5 | 57 | lít diezel | 1x4/7 | 1.172.647 | |
| 12 | M101.0202 | 1,25 m3 | 260 | 17,0 | 4,70 | 5 | 73 | lít diezel | 1x4/7 | 2.084.693 | |
|
| M101.0300 | Máy đào gầu ngoạm (gầu dây) - dung tích gầu: |
|
|
|
|
|
|
|
| |
| 13 | M101.0301 | 0,40 m3 | 260 | 17,0 | 5,80 | 5 | 59 | lít diezel | 1x5/7 | 1.080.697 | |
| 14 | M101.0302 | 0,65 m3 | 260 | 17,0 | 5,80 | 5 | 65 | lít diezel | 1x5/7 | 1.188.698 | |
| 15 | M101.0303 | 1,20 m3 | 260 | 16,0 | 5,50 | 5 | 113 | lít diezel | 1x5/7 | 2.208.172 | |
| 16 | M101.0304 | 1,60 m3 | 260 | 16,0 | 5,50 | 5 | 128 | lít diezel | 1x5/7 | 2.806.763 | |
| 17 | M101.0305 | 2,30 m3 | 260 | 16,0 | 5,50 | 5 | 164 | lít diezel | 1x5/7 | 3.732.682 | |
|
| M101.0400 | Máy xúc lật - dung tích gầu: |
|
|
|
|
|
|
|
| |
| 18 | M101.0401 | 0,65 m3 | 280 | 16,0 | 4,80 | 5 | 29 | lít diezel | 1x4/7 | 690.656 | |
| 18a[26] | M101.0401a | 0,9 m3 | 280 | 16,0 | 4,80 | 5 | 39 | lít diezel | 1x4/7 | 911.473 | |
| 19 | M101.0402 | 1,25 m3 | 280 | 16,0 | 4,80 | 5 | 47 | lít diezel | 1x4/7 | 1.061.665 | |
| 20 | M101.0403 | 1,65 m3 | 280 | 16,0 | 4,80 | 5 | 75 | lít diezel | 1x4/7 | 1.362.509 | |
| 21 | M101.0404 | 2,30 m3 | 280 | 14,0 | 4,40 | 5 | 95 | lít diezel | 1x4/7 | 1.769.175 | |
| 22 | M101.0405 | 3,20 m3 | 280 | 14,0 | 3,80 | 5 | 134 | lít diezel | 1x4/7 | 3.282.220 | |
|
| M101.0500 | Máy ủi - công suất: |
|
|
|
|
|
|
|
| |
| 23 | M101.0501 | 75 cv | 280 | 18,0 | 6,00 | 5 | 38 | lít diezel | 1x4/7 | 496.093 | |
| 23a[27] | M101.0501a | 100 cv | 280 | 14,0 | 5,80 | 5 | 44 | lít diezel | 1x4/7 | 792.756 | |
| 24 | M101.0502 | 110 cv | 280 | 14,0 | 5,80 | 5 | 46 | lít diezel | 1x4/7 | 851.855 | |
| 25 | M101.0503 | 140 cv | 280 | 14,0 | 5,80 | 5 | 59 | lít diezel | 1x4/7 | 1.366.980 | |
| 26 | M101.0504 | 180 cv | 280 | 14,0 | 5,50 | 5 | 76 | lít diezel | 1x4/7 | 1.753.811 | |
| 27 | M101.0505 | 240 cv | 280 | 13,0 | 5,20 | 5 | 94 | lít diezel | 1x4/7 | 2.203.242 | |
| 28 | M101.0506 | 320 cv | 280 | 12,0 | 4,10 | 5 | 125 | lít diezel | 1x4/7 | 3.710.784 | |
|
| M101.0600 | Máy cạp tự hành - dung tích thùng: |
|
|
|
|
|
|
|
| |
| 29 | M101.0601 | 9 m3 | 280 | 14,0 | 4,20 | 5 | 132 | lít diezel | 1x6/7 | 1.727.900 | |
| 30 | M101.0602 | 16 m3 | 280 | 14,0 | 4,00 | 5 | 154 | lít diezel | 1x6/7 | 2.631.577 | |
| 31 | M101.0603 | 25 m3 | 280 | 13,0 | 4,00 | 5 | 182 | lít diezel | 1x6/7 | 3.289.328 | |
|
| M101.0700 | Máy san tự hành - công suất: |
|
|
|
|
|
|
|
| |
| 32 | M101.0701 | 110 cv | 230 | 15,0 | 3,60 | 5 | 39 | lít diezel | 1x5/7 | 1.022.799 | |
| 33 | M101.0702 | 140 cv | 230 | 14,0 | 3,08 | 5 | 44 | lít diezel | 1x5/7 | 1.370.764 | |
| 34 | M101.0703 | 180 cv | 250 | 14,0 | 3,10 | 5 | 54 | lít diezel | 1x5/7 | 1.713.454 | |
|
| M101.0800 | Máy đầm đất cầm tay - trọng lượng: |
|
|
|
|
|
|
|
| |
| 35 | M101.0801 | 50 kg | 200 | 20,0 | 5,40 | 4 | 3 | lít xăng | 1x3/7 | 26.484 | |
| 36 | M101.0802 | 60 kg | 200 | 20,0 | 5,40 | 4 | 3,5 | lít xăng | 1x3/7 | 33.134 | |
| 37 | M101.0803 | 70 kg | 200 | 20,0 | 5,40 | 4 | 4 | lít xăng | 1x3/7 | 35.771 | |
| 38 | M101.0804 | 80 kg | 200 | 20,0 | 5,40 | 4 | 5 | lít xăng | 1x3/7 | 37.663 | |
|
| M101.0900 | Máy lu bánh hơi tự hành - trọng lượng tĩnh: |
|
|
|
|
|
|
|
| |
| 39 | M101.0901 | 9 t | 270 | 15,0 | 4,30 | 5 | 34 | lít diezel | 1x4/7 | 611.661 | |
| 40 | M101.0902 | 16 t | 270 | 15,0 | 4,30 | 5 | 38 | lít diezel | 1x4/7 | 695.012 | |
| 41 | M101.0903 | 18 t | 270 | 14,0 | 4,3 | 5 | 42 | lít diezel | 1x4/7 | 765.981 | |
| 42 | M101.0904 | 25 t | 270 | 14,0 | 4,10 | 5 | 55 | lít diezel | 1x4/7 | 873.524 | |
|
| M101.1000 | Máy lu rung tự hành - trọng lượng tĩnh: |
|
|
|
|
|
|
|
| |
| 43 | M101.1001 | 8 t | 270 | 14,0 | 4,60 | 5 | 19 | lít diezel | 1x4/7 | 778.593 | |
| 44 | M101.1002 | 15 t | 270 | 14,0 | 4,30 | 5 | 39 | lít diezel | 1x4/7 | 1.268.266 | |
| 45 | M101.1003 | 18 t | 270 | 14,0 | 4,30 | 5 | 53 | lít diezel | 1x4/7 | 1.484.153 | |
| 46 | M101.1004 | 20t | 270 | 14,0 | 4,3 | 5 | 61 | lít diezel | 1x4/7 | 1.535.452 | |
| 47 | M101.1005 | 25 t | 270 | 14,0 | 3,70 | 5 | 67 | lít diezel | 1x4/7 | 1.668.970 | |
|
| M101.1100 | Máy lu bánh thép tự hành - trọng lượng tĩnh: |
|
|
|
|
|
|
|
| |
| 49 | M101.1101 | 6,0 t | 270 | 15,0 | 2,90 | 5 | 20 | lít diezel | 1x4/7 | 310.973 | |
| 50 | M101.1102 | 8,5 t ÷ 9 t[28] | 270 | 15,0 | 2,90 | 5 | 24 | lít diezel | 1x4/7 | 365.850 | |
| 51 | M101.1103 | 10 t | 270 | 15,0 | 2,90 | 5 | 26 | lít diezel | 1x4/7 | 476.144 | |
| 52 | M101.1104 | 12 t | 270 | 15,0 | 2,90 | 5 | 32 | lít diezel | 1x4/7 | 516.960 | |
| 52a[29] | M101.1105 | 16,0 t | 270 | 15,0 | 2,90 | 5 | 37 | lít diezel | 1x4/7 | 534.828 | |
| 52b[30] | M101.1106 | 25,0 t | 270 | 15,0 | 2,90 | 5 | 47 | lít diezel | 1x4/7 | 601.429 | |
|
| M101.1200 | Máy lu chân cừu tự hành - trọng lượng tĩnh: |
|
|
|
|
|
|
|
| |
| 53 | M101.1201 | 12 t | 270 | 15,0 | 3,60 | 5 | 29 | lít diezel | 1x4/7 | 1.073.429 | |
| 54 | M101.1202 | 20 t | 270 | 15,0 | 3,60 | 5 | 61 | lít diezel | 1x4/7 | 1.610.452 | |
|
| M102.0000 | MÁY NÂNG CHUYỂN |
|
|
|
|
|
|
|
| |
|
| M102.0100 | Cần trục ô tô - sức nâng: |
|
|
|
|
|
|
|
| |
| 55 | M102.0101 | 3 t | 250 | 9,0 | 5,10 | 5 | 25 | lít diezel | 1x1/4+1x3/4 | 645.827 | |
| 56 | M102.0102 | 4 t | 250 | 9,0 | 5,10 | 5 | 26 | lít diezel | 1x1/4+1x3/4 | 693.293 | |
| 57 | M102.0103 | 5 t | 250 | 9,0 | 4,70 | 5 | 30 | lít diezel | 1x1/4+1x3/4 | 769.879 | |
| 58 | M102.0104 | 6 t | 250 | 9,0 | 4,70 | 5 | 33 | lít diezel | 1x1/4+1x3/4 | 948.964 | |
| 59 | M102.0105 | 10 t | 250 | 9,0 | 4,50 | 5 | 37 | lít diezel | 1x1/4+1x3/4 | 1.328.572 | |
| 60 | M102.0106 | 16 t | 250 | 9,0 | 4,50 | 5 | 43 | lít diezel | 1x1/4+1x3/4 | 1.556.727 | |
| 61 | M102.0107 | 20 t | 250 | 8,0 | 4,50 | 5 | 44 | lít diezel | 1x1/4+1x3/4 | 1.939.546 | |
| 62 | M102.0108 | 25 t | 250 | 8,0 | 4,30 | 5 | 50 | lít diezel | 1x1/4+1x3/4 | 2.230.644 | |
| 63 | M102.0109 | 30 t | 250 | 8,0 | 4,30 | 5 | 54 | lít diezel | 1x1/4+1x3/4 | 2.521.398 | |
| 64 | M102.0110 | 40 t | 250 | 7,0 | 4,10 | 5 | 64 | lít diezel | 1x1/4+1x3/4 | 3.736.007 | |
| 65 | M102.0111 | 50 t | 250 | 7,0 | 4,10 | 5 | 70 | lít diezel | 1x1/4+1x3/4 | 5.241.944 | |
|
| M102.0200 | Cần cẩu bánh hơi - sức nâng: |
|
|
|
|
|
|
|
| |
| 66 | M102.0201 | 6t | 240 | 9,0 | 4,5 | 5 | 25 | lít diezel | 1x4/7+1x6/7 | 629.428 | |
| 67 | M102.0202 | 16 t | 240 | 9,0 | 4,50 | 5 | 33 | lít diezel | 1x4/7+1x6/7 | 1.032.544 | |
| 68 | M102.0203 | 25 t | 240 | 9,0 | 4,50 | 5 | 36 | lít diezel | 1x4/7+1x6/7 | 1.266.087 | |
| 69 | M102.0204 | 40 t | 240 | 8,0 | 4,00 | 5 | 50 | lít diezel | 1x4/7+1x6/7 | 2.624.354 | |
| 70 | M102.0205 | 63 t ÷ 65 t[31] | 240 | 8,0 | 4,00 | 5 | 61 | lít diezel | 1x4/7+1x6/7 | 3.109.212 | |
| 71 | M102.0206 | 80t | 240 | 7,0[32] | 3,80 | 5 | 67 | lít diezel | 1x4/7+1x6/7 | 4.714.447 | |
| 72 | M102.0207 | 90 t | 240 | 7,0 | 3,80 | 5 | 69 | lít diezel | 1x4/7+1x7/7 | 5.870.688 | |
| 73 | M102.0208 | 100 t | 240 | 7,0 | 3,80 | 5 | 74 | lít diezel | 1x4/7+1x7/7 | 7.072.227 | |
| 74 | M102.0209 | 110 t | 240 | 7,0 | 3,60 | 5 | 78 | lít diezel | 1x4/7+1x7/7 | 8.936.333 | |
| 75 | M102.0210 | 125 t ÷ 130 t[33] | 240 | 7,0 | 3,60 | 5 | 81 | lít diezel | 1x4/7+1x7/7 | 10.669.966 | |
|
| M102.0300 | Cần cẩu bánh xích - sức nâng: |
|
|
|
|
|
|
|
| |
| 76 | M102.0301 | 5 t | 250 | 9,0 | 5,40 | 5 | 32 | lít diezel | 1x4/7+1x5/7 | 808.517 | |
| 77 | M102.0302 | 10 t | 250 | 9,0 | 4,50 | 5 | 36 | lít diezel | 1x4/7+1x5/7 | 1.085.398 | |
| 78 | M102.0303 | 16 t | 250 | 9,0 | 4,50 | 5 | 45 | lít diezel | 1x4/7+1x5/7 | 1.411.235 | |
| 79 | M102.0304 | 25 t | 250 | 8,0 | 4,60 | 5 | 47 | lít diezel | 1x4/7+1x6/7 | 1.896.437 | |
| 80 | M102.0305 | 28 t | 250 | 8,0 | 4,60 | 5 | 49 | lít diezel | 1x4/7+1x6/7 | 2.263.892 | |
| 81 | M102.0306 | 40 t | 250 | 8,0 | 4,10 | 5 | 51 | lít diezel | 1x4/7+1x6/7 | 2.973.986 | |
| 82 | M102.0307 | 50 t | 250 | 8,0 | 4,10 | 5 | 54 | lít diezel | 1x4/7+1x6/7 | 3.818.900 | |
| 83 | M102.0308 | 63 t ÷ 65 t[34] | 250 | 7,0 | 4,10 | 5 | 56 | lít diezel | 1x4/7+1x6/7 | 4.653.327 | |
| 84 | M102.0309 | 80 t | 250 | 7,0 | 3,80 | 5 | 58 | lít diezel | 1x4/7+1x6/7 | 5.492.391 | |
| 85 | M102.0310 | 100 t | 250 | 7,0 | 3,80 | 5 | 59 | lít diezel | 1x4/7+1x6/7 | 7.004.354 | |
| 86 | M102.0311 | 110 t | 250 | 7,0 | 3,60 | 5 | 63 | lít diezel | 1x4/7+1x6/7 | 8.157.167 | |
| 87 | M102.0312 | 125 t ÷ 130 t[35] | 250 | 7,0 | 3,60 | 5 | 72 | lít diezel | 1x4/7+1x6/7 | 11.463.578 | |
| 88 | M102.0313 | 150 t | 250 | 7,0 | 3,60 | 5 | 83 | lít diezel | 1x4/7+1x6/7 | 12.790.430 | |
| 89 | M102.0314 | 250t | 200 | 7,0 | 3,60 | 5 | 141 | lít diezel | 1x4/7+1x6/7 | 26.563.873 | |
| 90 | M102.0315 | 300t | 200 | 7,0 | 3,60 | 5 | 155 | lít diezel | 1x4/7+1x6/7 | 36.309.348 | |
|
| M102.0400 | Cần trục tháp - sức nâng: |
|
|
|
|
|
|
|
| |
| 91 | M102.0401 | 5 t | 290 | 13,0 | 4,70 | 6 | 42 | kWh | 1x3/7+1x5/7 | 871.689 | |
| 92 | M102.0402 | 10 t | 290 | 12,0 | 4,00 | 6 | 60 | kWh | 1x3/7+1x5/7 | 1.419.834 | |
| 93 | M102.0403 | 12 t | 290 | 12,0 | 4,00 | 6 | 68 | kWh | 1x3/7+1x5/7 | 1.729.964 | |
| 94 | M102.0404 | 15 t | 290 | 12,0 | 4,00 | 6 | 90 | kWh | 1x3/7+1x5/7 | 1.900.450 | |
| 95 | M102.0405 | 20 t | 290 | 11,0 | 3,80 | 6 | 113 | kWh | 1x3/7+1x5/7 | 2.279.943 | |
| 96 | M102.0406 | 25 t | 290 | 11,0 | 3,80 | 6 | 120 | kWh | 1x3/7+1x6/7 | 3.161.607 | |
| 97 | M102.0407 | 30 t | 290 | 11,0 | 3,80 | 6 | 128 | kWh | 1x3/7+1x6/7 | 3.962.098 | |
| 98 | M102.0408 | 40 t | 290 | 11,0 | 3,50 | 6 | 135 | kWh | 1x3/7+1x6/7 | 4.598.753 | |
| 99 | M102.0409 | 50 t | 290 | 11,0 | 3,50 | 6 | 143 | kWh | 1x4/7+1x6/7 | 5.768.420 | |
| 100 | M102.0410 | 60 t | 290 | 11,0 | 3,50 | 6 | 198 | kWh | 1x4/7+1x6/7 | 7.210.611 | |
|
| M102.0500 | Cần cẩu nổi: |
|
|
|
|
|
|
|
| |
| 101 | M102.0501 | Kéo theo - sức nâng 30 t | 195 | 9,0 | 6,20 | 7 | 81 | lít diezel | 1 t.phII.1/2 + 3 thợ máy (2x2/4+1x3/4) + 1 thợ điện 2/4 + 1 thủy thủ 2/4 | 2.794.100 | |
| 102 | M102.0502 | Tự hành - | 195 | 9,0 | 6,00 | 7 | 118 | lít diezel | 1 t.tr 1/2 + 1 tpII 1/2 + 4 thợ máy (3x2/4 + 1x4/4) + 1 thợ điện 3/4 + 1 thủy thủ 2/4 | 4.205.700 | |
|
| M102.0600 | Cổng trục - sức nâng: |
|
|
|
|
|
|
|
| |
| 103 | M102.0601 | 10 t | 195 | 12,0 | 2,80 | 5 | 81 | kWh | 1x3/7+1x5/7 | 471.300 | |
| 104 | M102.0602 | 20 t | 195 | 12,0 | 2,80 | 5 | 90 | kWh | 1x3/7+1x6/7 | 655.320 | |
| 105 | M102.0603 | 30 t | 195 | 12,0 | 2,80 | 5 | 90 | kWh | 1x3/7+1x6/7 | 730.500 | |
| 105 | M102.0604 | 50 t | 195 | 12,0 | 2,50 | 5 | 123 | kWh | 1x3/7+1x7/7 | 891.135 | |
| 106 | M102.0605 | 60 t | 195 | 12,0 | 2,50 | 5 | 144 | kWh | 1x3/7+1x7/7 | 966.900 | |
| 107 | M102.0606 | 90 t | 195 | 12,0 | 2,50 | 5 | 180 | kWh | 1x3/7+1x7/7 | 1.300.802 | |
| 108 | M102.0701 | Cẩu lao dầm K33-60 | 195 | 12,0 | 3,50 | 6 | 233 | kWh | 1x3/7+4x4/7+1x6/7 | 2.698.418 | |
| 109 | M102.0702 | Thiết bị nâng hạ dầm 90 t | 195 | 12,0 | 3,50 | 6 | 232 | kWh | 1x3/7+2x4/7+1x6/7 | 2.955.481 | |
| 110 | M102.0703 | Hệ thống xe goong di chuyển dầm (gồm mô tơ điện 3,5 kW và con lăn) | 195 | 14,0 | 3,50 | 6 | 16 | kWh | 1x4/7 | 11.818 | |
|
| M102.0800 | Cầu trục - sức nâng: |
|
|
|
|
|
|
|
| |
| 111 | M102.0801 | 30 t | 290 | 9,0 | 2,30 | 5 | 48 | kWh | 1x3/7+1x6/7 | 378.691 | |
| 112 | M102.0802 | 40 t | 290 | 9,0 | 2,30 | 5 | 60 | kWh | 1x3/7+1x6/7 | 426.157 | |
| 113 | M102.0803 | 50 t | 290 | 9,0 | 2,30 | 5 | 72 | kWh | 1x3/7+1x6/7 | 482.909 | |
| 114 | M102.0804 | 60 t | 290 | 9,0 | 2,30 | 5 | 84 | kWh | 1x3/7+1x7/7 | 579.445 | |
| 115 | M102.0805 | 90 t | 290 | 9,0 | 2,30 | 5 | 108 | kWh | 1x3/7+1x7/7 | 720.350 | |
| 116 | M102.0806 | 110 t | 290 | 9,0 | 2,10 | 5 | 132 | kWh | 1x3/7+1x7/7 | 994.021 | |
| 117 | M102.0807 | 125 t | 290 | 9,0 | 2,10 | 5 | 144 | kWh | 1x3/7+1x7/7 | 1.143.067 | |
| 118 | M102.0808 | 180 t | 290 | 9,0 | 2,10 | 5 | 168 | kWh | 1x3/7+1x7/7 | 1.486.217 | |
| 119 | M102.0809 | 250 t | 290 | 9,0 | 2,00 | 5 | 204 | kWh | 1x3/7+1x7/7 | 1.918.794 | |
|
| M102.0900 | Máy vận thăng - sức nâng: |
|
|
|
|
|
|
|
| |
| 120 | M102.0901 | 0,8 t | 290 | 17,0 | 4,30 | 5 | 21 | kWh | 1x3/7 | 187.683 | |
| 121 | M102.0902 | 2 t | 290 | 17,0 | 4,10 | 5 | 32 | kWh | 1x3/7 | 251.200 | |
| 122 | M102.0903 | 3 t | 290 | 17,0 | 4,10 | 5 | 39 | kWh | 1x3/7 | 288.920 | |
|
| M102.1000 | Máy vận thăng lồng - sức nâng: |
|
|
|
|
|
|
|
| |
| 123 | M102.1001 | 3 t | 290 | 16,5 | 4,10 | 5 | 47 | kWh | 1x3/7 | 590.336 | |
|
| M102.1100 | Tời điện - sức kéo: |
|
|
|
|
|
|
|
| |
| 124 | M102.1101 | 0,5 t | 240 | 15,0 | 5,10 | 4 | 4 | kWh | 1x3/7 | 4.600 | |
| 125 | M102.1102 | 1,0 t | 240 | 15,0 | 5,10 | 4 | 5 | kWh | 1x3/7 | 5.900 | |
| 126 | M102.1103 | 1,5 t | 240 | 15,0 | 4,60 | 4 | 5,5 | kWh | 1x3/7 | 16.400 | |
| 127 | M102.1104 | 2,0 t | 240 | 15,0 | 4,60 | 4 | 6,3 | kWh | 1x3/7 | 23.900 | |
| 128 | M102.1105 | 3,0 t | 240 | 15,0 | 4,60 | 4 | 11 | kWh | 1x3/7 | 38.600 | |
| 129 | M102.1106 | 3,5 t | 240 | 15,0 | 4,60 | 4 | 12 | kWh | 1x3/7 | 42.500 | |
| 130 | M102.1107 | 5,0 t | 240 | 15,0 | 4,60 | 4 | 14 | kWh | 1x3/7 | 51.700 | |
|
| M102.1200 | Pa lăng xích - sức nâng: |
|
|
|
|
|
|
|
| |
| 131 | M102.1201 | 3 t | 240 | 15,0 | 4,60 | 4 |
|
| 1x3/7 | 7.900 | |
| 132 | M102.1202 | 5 t | 240 | 15,0 | 4,20 | 4 |
|
| 1x3/7 | 10.200 | |
|
| M102.1300 | Kích nâng - sức nâng: |
|
|
|
|
|
|
|
| |
| 133 | M102.1301 | 10 t | 190 | 13,0 | 2,20 | 5 |
|
| 1x4/7 | 4.600 | |
| 134 | M102.1302 | 30 t | 190 | 13,0 | 2,20 | 5 |
|
| 1x4/7 | 5.800 | |
| 135 | M102.1303 | 50 t | 190 | 13,0 | 2,20 | 5 |
|
| 1x4/7 | 9.800 | |
| 136 | M102.1304 | 100 t | 190 | 13,0 | 2,20 | 5 |
|
| 1x4/7 | 19.000 | |
| 137 | M102.1305 | 200 t | 190 | 13,0 | 2,20 | 5 |
|
| 1x4/7 | 27.400 | |
| 138 | M102.1306 | 250 t | 190 | 13,0 | 2,20 | 5 |
|
| 1x4/7 | 44.000 | |
| 139 | M102.1307 | 500 t | 190 | 13,0 | 2,20 | 5 |
|
| 1x4/7 | 95.500 | |
| 140 | M102.1308 | Hệ kích nâng 25 t (máy bơm dầu thủy lực 3 kW) | 190 | 13,0 | 2 | 5 | 6 | kWh | 1x4/7 | 118.182 | |
|
| M102.1400 | Kích thông tâm |
|
|
|
|
|
|
|
| |
| 141 | M102.1401 | RRH - 100 t | 190 | 13,0 | 2,20 | 5 |
|
| 1x4/7 | 84.383 | |
| 142 | M102.1402 | YCW - 150 t | 190 | 13,0 | 2,20 | 5 |
|
| 1x4/7 | 11.694 | |
| 143 | M102.1403 | YCW - 250 t | 190 | 13,0 | 2,20 | 5 |
|
| 1x4/7 | 18.000 | |
| 144 | M102.1404 | YCW - 500 t | 190 | 13,0 | 2,20 | 5 |
|
| 1x4/7 | 55.491 | |
| 145 | M102.1501 | Kích đẩy liên tục tự động ZLD-60 (60t, 6c) | 190 | 13,0 | 3,50 | 5 | 29 | kWh | 1x4/7+1x5/7 | 242.715 | |
| 146 | M102.1601 | Kích sợi đơn YDC - 500 t | 190 | 13,0 | 2,20 | 5 |
|
| 1x4/7 | 20.179 | |
|
| M102.1700 | Trạm bơm dầu áp lực - công suất: |
|
|
|
|
|
|
|
| |
| 147 | M102.1701 | 40 MPa (HCP-400) | 190 | 16,0 | 6,50 | 5 | 14 | kWh | 1x4/7 | 24.077 | |
| 148 | M102.1702 | 50 MPa (ZB4 - 500) | 190 | 16,0 | 6,50 | 5 | 20 | kWh | 1x4/7 | 30.497 | |
|
| M102.1800 | Xe nâng - chiều cao nâng: |
|
|
|
|
|
|
|
| |
| 149 | M102.1801 | 12 m | 280 | 13,0 | 4,00 | 5 | 25 | lít diezel | 1x1/4+1x3/4 | 731.758 | |
| 150 | M102.1802 | 18 m | 280 | 13,0 | 3,80 | 5 | 29 | lít diezel | 1x1/4+1x3/4 | 994.767 | |
| 151 | M102.1803 | 24 m | 280 | 13,0 | 3,80 | 5 | 33 | lít diezel | 1x1/4+1x3/4 | 1.254.565 | |
|
| M102.1900 | Xe thang - chiều dài thang: |
|
|
|
|
|
|
|
| |
| 152 | M102.1901 | 9 m | 280 | 15,0 | 3,90 | 5 | 25 | lít diezel | 1x1/4+1x3/4 | 1.008.639 | |
| 153 | M102.1902 | 12 m | 280 | 15,0 | 3,70 | 5 | 29 | lít diezel | 1x1/4+1x3/4 | 1.371.165 | |
| 154 | M102.1903 | 18 m | 280 | 15,0 | 3,70 | 5 | 33 | lít diezel | 1x1/4+1x3/4 | 1.662.779 | |
|
| M103.0000 | MÁY VÀ THIẾT BỊ GIA CỐ NỀN MÓNG |
|
|
|
|
|
|
|
| |
|
| M103.0100 | Máy đóng cọc tự hành, bánh xích - trọng lượng đầu búa: |
|
|
|
|
|
|
|
| |
| 155 | M103.0101 | 1,2 t | 260 | 14,0 | 4,40 | 5 | 56 | lít diezel | 1x5/7 | 1.125.927 | |
| 156 | M103.0102 | 1,8 t | 260 | 14,0 | 4,40 | 5 | 59 | lít diezel | 1x5/7 | 1.233.813 | |
| 157 | M103.0103 | 3,5 t | 260 | 13,0 | 3,90 | 5 | 62 | lít diezel | 1x5/7 | 2.354.696 | |
| 158 | M103.0104 | 4,5 t | 260 | 13,0 | 3,90 | 5 | 65 | lít diezel | 1x5/7 | 2.751.960 | |
| 159 | M103.0105 | 8,0 t | 260 | 13,0 | 3,9 | 5 | 146 | lít diezel | 1x5/7 | 12.825.610 | |
|
| M103.0200 | Máy đóng cọc chạy trên ray - trọng lượng đầu búa: |
|
|
|
|
|
|
|
| |
| 160 | M103.0201 | 1,2 t | 260 | 14,0 | 3,90 | 5 | 24 lít diezel + 14 kWh | 1x5/7 | 579.674 | ||
| 161 | M103.0202 | 1,8 t | 260 | 14,0 | 3,90 | 5 | 30 lít diezel + 14 kWh | 1x5/7 | 852.657 | ||
| 162 | M103.0203 | 2,5 t | 260 | 12,0 | 3,50 | 5 | 36 lít diezel + 25 kWh | 1x5/7 | 1.129.080 | ||
| 163 | M103.0204 | 3,5 t | 260 | 12,0 | 3,50 | 5 | 48 lít diezel + 25 kWh | 1x5/7 | 1.271.935 | ||
| 164 | M103.0205 | 4,5 t | 260 | 12,0 | 3,50 | 5 | 63 lít diezel | 1x5/7 | 1.570.829 | ||
| 165 | M103.0206 | 5,5 t | 260 | 12,0 | 3,50 | 5 | 78 lít diezel + 34 kWh | 1x5/7 | 1.872.934 | ||
|
| M103.0300 | Máy búa rung tự hành, bánh xích - công suất: |
|
|
|
|
|
|
|
| |
| 166 | M103.0301 | 60 kW | 220 | 13,0 | 4,80 | 5 | 40 lít diezel + 159 kWh | 1x5/7 | 3.047.619 | ||
| 167 | M103.0302 | 90 kW | 220 | 13,0 | 4,80 | 5 | 51 lít diezel + 240 kWh | 1x5/7 | 4.585.650 | ||
|
| M103.0400 | Búa rung - công suất: |
|
|
|
|
|
|
|
| |
| 168 | M103.0401 | 40 kW | 240 | 14,0 | 3,80 | 5 | 108 | kWh |
| 122.906 | |
| 169 | M103.0402 | 50 kW | 240 | 14,0 | 3,80 | 5 | 135 | kWh |
| 149.734 | |
| 170 | M103.0403 | 170 kW | 240 | 14,0 | 2,64 | 5 | 357 | kWh |
| 282.270 | |
|
| M103.0500 | Tàu đóng cọc - trọng lượng đầu búa: |
|
|
|
|
|
|
|
| |
| 171 | M103.0501 | 1,8 t | 240 | 12,0 | 5,90 | 6 | 42 | lít diezel | 1 t.phII.1/2 + 3 thợ máy (2x2/4+1x3/4) + 1 thợ điện 2/4 + 1 thủy thủ 2/4 | 2.891.261 | |
| 172 | M103.0502 | 2,5 t | 240 | 12,0 | 5,90 | 6 | 47 | lít diezel | 1 t.phII.1/2 + 3 thợ máy (2x2/4+1x3/4) + 1 thợ điện 2/4 + 1 thủy thủ 2/4 | 2.994.676 | |
| 173 | M103.0503 | 3,5 t | 240 | 12,0 | 5,90 | 6 | 52 | lít diezel | 1 t.phII.1/2 + 3 thợ máy (2x2/4+1x3/4) + 1 thợ điện 2/4 + 1 thủy thủ 2/4 | 3.049.364 | |
| 174 | M103.0504 | 4,5 t | 240 | 12,0 | 5,90 | 6 | 58 | lít diezel | 1 t.phII.1/2 + 3 thợ máy (2x2/4+1x3/4) + 1 thợ điện 2/4 + 1 thủy thủ 2/4 | 3.765.940 | |
|
| M103.0600 | Tàu đóng cọc C 96 - búa thủy lực, trọng lượng đầu búa: |
|
|
|
|
|
|
|
| |
| 175 | M103.0601 | 7,5 t | 240 | 11,0 | 4,60 | 6 | 162 | lít diezel | 1 t.tr1/2 + 1 t.phII.1/2 + 4 thợ máy (3x2/4+1x4/4) + 1 thợ điện 3/4 + 1 thủy thủ 2/4 | 9.816.850 | |
|
| M103.0700 | Máy ép cọc trước - lực ép: |
|
|
|
|
|
|
|
| |
| 176 | M103.0701 | 60 t | 210 | 17,0 | 4,00 | 5 | 38 | kWh | 1x4/7 | 138.727 | |
| 177 | M103.0702 | 100 t | 210 | 17,0 | 4,00 | 5 | 53 | kWh | 1x4/7 | 188.256 | |
| 178 | M103.0703 | 150 t | 210 | 17,0 | 4,00 | 5 | 75 | kWh | 1x4/7 | 213.021 | |
| 179 | M103.0704 | 200 t | 210 | 17,0 | 4,00 | 5 | 84 | kWh | 1x4/7 | 237.786 | |
| 180 | M103.0801 | Máy ép cọc Robot thủy lực tự hành 860t | 180 | 22,0 | 3,96 | 5 | 756 | kWh | 1x3/7+1x4/7 | 6.642.900 | |
| 181 | M103.0901 | Máy ép thủy lực (KGK - 130C4), lực ép 130 t | 240 | 15,0 | 2,60 | 5 | 138 | kWh | 1x4/7 | 671.738 | |
| 182 | M103.1001 | Máy cấy bấc thấm | 230 | 12,0 | 3,10 | 5 | 48 | lít diezel | 1x4/7 | 1.099.500 | |
|
| M103.1100 | Máy khoan xoay: |
|
|
|
|
|
|
|
| |
| 183 | M103.1101 | Máy khoan xoay 80kNm ÷ 125kNm | 260 | 13,0 | 8,20 | 5 | 52 | lít diezel | 1x6/7 | 3.934.467 | |
| 184 | M103.1102 | Máy khoan xoay 150kNm ÷ 200kNm | 260 | 13,0 | 8,20 | 5 | 68 | lít diezel | 1x6/7 | 4.514.371 | |
| 185 | M103.1103 | Máy khoan xoay > 200kNm ÷ 300kNm | 260 | 13,0 | 8,20 | 5 | 96 | lít diezel | 1x6/7 | 11.608.382 | |
| 186 | M103.1104 | Máy khoan xoay > 300kNm ÷ 400kNm | 260 | 13,0 | 6,50 | 5 | 137 | lít diezel | 1x6/7 | 14.865.951 | |
| 187 | M103.1105 | Gầu đào (thi công móng cọc, tường Barrette) | 260 | 13,0 | 5,80 | 5 |
|
|
| 565.686 | |
| 188 | M103.1201 | Máy khoan tường sét | 260 | 13,0 | 6,50 | 5 | 32 lít diezel + | 1x6/7 | 4.600.000 | ||
|
| M103.1300 | Máy khoan cọc đất |
|
|
|
|
|
|
|
| |
| 189 | M103.1301 | Máy khoan cọc đất (1 cần) | 260 | 13,0 | 6,50 | 5 | 36 lít diezel + | 1x6/7 | 5.354.545 | ||
| 189 | M103.1302 | Máy khoan cọc đất (2 cần) | 260 | 13,0 | 6,50 | 5 | 36 lít diezel + | 1x6/7 | 6.109.091 | ||
| 190 | M103.1401 | Máy cấp xi măng | 260 | 13,0 | 6,50 | 5 |
|
|
| 14.800 | |
|
| M103.1500 | Máy trộn dung dịch - dung tích: |
|
|
|
|
|
|
|
| |
| 191 | M103.1501 | 750 lít | 300 | 16,0 | 6,40 | 5 | 13 | kWh | 1x3/7 | 25.796 | |
| 192 | M103.1502 | 1000 lít | 300 | 15,0 | 5,80 | 5 | 18 | kWh | 1x4/7 | 177.479 | |
|
| M103.1600 | Máy sàng lọc - năng suất: |
|
|
|
|
|
|
|
| |
| 193 | M103.1601 | 100 m3/h | 300 | 15,0 | 5,80 | 5 | 21 | kWh | 1x4/7 | 353.468 | |
|
| M103.1700 | Máy bơm dung dịch - năng suất: |
|
|
|
|
|
|
|
| |
| 194 | M103.1701 | 15 m3/h | 215 | 16,0 | 6,60 | 5 | 37 | kWh | 1x4/7 | 22.000 | |
| 195 | M103.1702 | 200 m3/h | 215 | 16,0 | 6,60 | 5 | 50 | kWh | 1x4/7 | 43.182 | |
|
| M104.0000 | MÁY SẢN XUẤT VẬT LIỆU XÂY DỰNG |
|
|
|
|
|
|
|
| |
|
| M104.0100 | Máy trộn bê tông - dung tích: |
|
|
|
|
|
|
|
| |
| 196 | M104.0101 | 250 lít | 165 | 19,0 | 6,50 | 5 | 11 | kWh | 1x3/7 | 30.210 | |
|
| M104.0200 | Máy trộn vữa - dung tích: |
|
|
|
|
|
|
|
| |
| 198 | M104.0201 | 80 lít | 170 | 19,0 | 6,80 | 5 | 5 | kWh | 1x3/7 | 12.841 | |
| 199 | M104.0202 | 150 lít | 170 | 19,0 | 6,80 | 5 | 8 | kWh | 1x3/7 | 17.828 | |
| 200 | M104.0203 | 250 lít | 170 | 19,0 | 6,80 | 5 | 11 | kWh | 1x3/7 | 22.873 | |
|
| M104.0300 | Máy trộn vữa xi măng - dung tích: |
|
|
|
|
|
|
|
| |
| 201 | M104.0301 | 1200 lít | 170 | 19,0 | 6,80 | 5 | 72 | kWh | 1x4/7 | 75.863 | |
| 202 | M104.0302 | 1600 lít | 170 | 19,0 | 6,80 | 5 | 96 | kWh | 1x4/7 | 104.103 | |
|
| M104.0400 | Trạm trộn bê tông - năng suất: |
|
|
|
|
|
|
|
| |
| 203 | M104.0401 | 16 m3/h | 260 | 15,0 | 5,80 | 5 | 92 | kWh | 1x3/7+1x5/7 | 907.804 | |
| 204 | M104.0402 | 25 m3/h | 260 | 15,0 | 5,60 | 5 | 116 | kWh | 1x3/7+1x5/7 | 1.264.024 | |
| 205 | M104.0403 | 30 m3/h | 260 | 15,0 | 5,60 | 5 | 172 | kWh | 1x3/7+1x5/7 | 1.596.969 | |
| 206 | M104.0404 | 50 m3/h | 260 | 15,0 | 5,60 | 5 | 198 | kWh | 1x3/7+1x5/7 | 2.549.373 | |
| 207 | M104.0405 | 60 m3/h | 260 | 15,0 | 5,30 | 5 | 265 | kWh | 1x3/7+1x5/7 | 2.804.470 | |
| 208 | M104.0406 | 75 m3/h | 260 | 15,0 | 5,30 | 5 | 418 | kWh | 2x3/7+1x5/7 | 3.237.391 | |
| 209 | M104.0407 | 90 m3/h | 260 | 15,0 | 5,30 | 5 | 425 | kWh | 2x3/7+1x5/7 | 4.306.280 | |
| 210 | M104.0408 | 125 m3/h | 260 | 15,0 | 5,30 | 5 | 446 | kWh | 2x3/7+1x5/7 | 5.375.168 | |
| 211 | M104.0409 | 160 m3/h | 260 | 15,0 | 5,00 | 5 | 553 | kWh | 3x3/7+1x5/7 | 5.643.909 | |
|
| M104.0500 | Máy sàng rửa đá, sỏi - năng suất: |
|
|
|
|
|
|
|
| |
| 212 | M104.0501 | 35 m3/h | 155 | 18,0 | 7,60 | 5 | 76 | kWh | 1x4/7 | 18.917 | |
| 213 | M104.0502 | 45 m3/h | 155 | 18,0 | 7,60 | 5 | 97 | kWh | 1x4/7 | 23.618 | |
|
| M104.0600 | Máy nghiền sàng đá di động - năng suất: |
|
|
|
|
|
|
|
| |
| 214 | M104.0601 | 20 m3/h | 260 | 18,0 | 8,60 | 5 | 315 | kWh | 1x3/7+1x4/7 | 1.351.273 | |
| 215 | M104.0602 | 25 m3/h | 260 | 18,0 | 7,60 | 5 | 357 | kWh | 1x3/7+1x4/7 | 1.766.194 | |
| 216 | M104.0603 | 125 m3/h | 260 | 18,0 | 7,60 | 5 | 630 | kWh | 1x3/7+1x4/7 | 5.964.816 | |
|
| M104.0700 | Máy nghiền đá thô - năng suất: |
|
|
|
|
|
|
|
| |
| 217 | M104.0701 | 14 m3/h | 260 | 18,0 | 8,60 | 5 | 134 | kWh | 1x3/7+1x4/7 | 214.626 | |
| 218 | M104.0702 | 200 m3/h | 260 | 18,0 | 8,60 | 5 | 840 | kWh | 1x3/7+1x4/7 | 1.831.774 | |
|
| M104.0800 | Trạm trộn bê tông asphan - năng suất: |
|
|
|
|
|
|
|
| |
| 219 | M104.0801 | 25 t/h | 190 | 15,0 | 5,70 | 5 | 210 | kWh | 1x4/7+1x5/7+1x6/7 | 3.286.462 | |
| 220 | M104.0802 | 50 t/h | 190 | 15,0 | 5,70 | 5 | 300 | kWh | 1x4/7+1x5/7+1x6/7 | 4.648.053 | |
| 221 | M104.0803 | 60 t/h | 190 | 15,0 | 5,70 | 5 | 324 | kWh | 2x4/7+1x5/7+1x6/7 | 5.422.748 | |
| 222 | M104.0804 | 80 t/h | 190 | 15,0 | 5,50 | 5 | 384 | kWh | 2x4/7+2x5/7+1x6/7 | 6.094.486 | |
| 223 | M104.0805 | 120 t/h | 190 | 15,0 | 5,50 | 5 | 714 | kWh | 2x4/7+2x5/7+1x6/7 | 6.737.442 | |
|
| M105.0000 | MÁY VÀ THIẾT BỊ THI CÔNG MẶT ĐƯỜNG BỘ |
|
|
|
|
|
|
|
| |
|
| M105.0100 | Máy phun nhựa đường - công suất: |
|
|
|
|
|
|
|
| |
| 224 | M105.0101 | 190 cv | 150 | 13,0 | 5,60 | 6 | 57 | lít diezel | 1x1/4+1x3/4 | 930.161 | |
|
| M105.0200 | Máy rải hỗn hợp bê tông nhựa - năng suất: |
|
|
|
|
|
|
|
| |
| 225 | M105.0201 | 65 t/h | 180 | 14,0 | 6,40 | 5 | 34 | lít diezel | 1x3/7+1x5/7 | 1.284.890 | |
| 226 | M105.0202 | 100 t/h | 180 | 14,0 | 6,40 | 5 | 50 | lít diezel | 1x3/7+1x5/7 | 1.520.612 | |
| 227 | M105.0203 | 130 cv - 140 cv | 180 | 14,0 | 3,80 | 5 | 63 | lít diezel | 1x3/7+1x5/7 | 2.991.351 | |
| 228 | M105.0301 | Máy rải Novachip 170 cv | 180 | 14,0 | 3,8 | 5 | 79 | lít diezel | 1x3/7+1x5/7 | 13.200.000 | |
| 229 | M105.0401 | Máy rải cấp phối đá dăm, năng suất 50 m3/h - 60 m3/h | 180 | 14,0 | 4,20 | 5 | 30 | lít diezel | 1x3/7+1x5/7 | 2.043.419 | |
| 230 | M105.05402 | Máy rải xi măng SW16TC (16m3) | 180 | 14,0 | 5,60 | 6 | 57 | lít diezel | 1x3/7+1x5/7 | 6.500.000 | |
|
| M105.0500 | Máy cào bóc |
|
|
|
|
|
|
|
| |
| 231 | M105.0501 | Máy cào bóc đường Wirtgen - 1000C | 220 | 16,0 | 5,80 | 5 | 92 | lít diezel | 1x4/7+1x5/7 | 3.128.588 | |
| 232 | M105.0502 | Máy cào bóc tái sinh, Wigent 2400 | 180 | 16,0 | 5,80 | 5 | 340 | lít diezel | 1x4/7+1x7/7 | 24.432.515 | |
| 233 | M105.0503 | Máy cào bóc tái sinh, công suất > 450 HP | 180 | 16,0 | 5,80 | 5 | 523 | lít diezel | 1x4/7+1x7/7 | 17.000.000 | |
| 234 | M105.0601 | Thiết bị sơn kẻ vạch YHK 10A | 200 | 20,0 | 3,50 | 5 |
|
| 1x4/7 | 57.211 | |
| 235 | M105.0701 | Lò nấu sơn YHK 3A, lò nung keo | 200 | 17,0 | 3,60 | 5 | 11 | lít diezel | 1x4/7 | 324.920 | |
| 236 | M105.0801 | Máy rót mastic | 200 | 17,0 | 4,50 | 5 | 4 | lít xăng | 1x4/7 | 34.166 | |
| 237 | M105.0901 | Thiết bị nấu nhựa 500 lít | 200 | 25,0 | 10,00 | 5 |
|
| 1x4/7 | 45.516 | |
| 238 | M105.1001 | Máy rải bê tông SP500 | 200 | 14,0 | 4,20 | 5 | 73 | lít diezel | 1x3/7+1x5/7 | 7.369.287 | |
|
| M106.0000 | PHƯƠNG TIỆN VẬN TẢI ĐƯỜNG BỘ |
|
|
|
|
|
|
|
| |
|
| M106.0100 | Ô tô vận tải thùng - trọng tải: |
|
|
|
|
|
|
|
| |
| 239 | M106.0101 | 1,5 t | 250 | 18,0 | 6,20 | 6 | 7 | lít xăng | 1x2/4 | 157.562 | |
| 240 | M106.0102 | 2 t | 250 | 18,0 | 6,20 | 6 | 12 | lít xăng | 1x2/4 | 183.212 | |
| 241 | M106.0103 | 2,5 t | 250 | 17,0 | 6,20 | 6 | 13 | lít xăng | 1x2/4 | 218.983 | |
| 242 | M106.0104 | 5 t | 250 | 17,0 | 6,20 | 6 | 25 | lít diezel | 1x2/4 | 317.869 | |
| 243 | M106.0105 | 7 t | 250 | 17,0 | 6,20 | 6 | 31 | lít diezel | 1x2/4 | 427.131 | |
| 244 | M106.0106 | 10 t | 250 | 16,0 | 6,20 | 6 | 38 | lít diezel | 1x2/4 | 560.241 | |
| 245 | M106.0107 | 12 t | 260 | 16,0 | 6,20 | 6 | 41 | lít diezel | 1x3/4 | 606.044 | |
| 246 | M106.0108 | 15 t | 260 | 16,0 | 6,20 | 6 | 46 | lít diezel | 1x3/4 | 739.497 | |
| 247 | M106.0109 | 20 t | 270 | 14,0 | 5,40 | 6 | 56 | lít diezel | 1x3/4 | 1.248.374 | |
| 248 | M106.0110 | 32 t | 270 | 14,0 | 5,40 | 6 | 62 | lít diezel | 1x3/4 | 1.976.364 | |
|
| M106.0200 | Ô tô tự đổ - trọng tải: |
|
|
|
|
|
|
|
| |
| 249 | M106.0201 | 2,5 t | 260 | 17,0 | 7,50 | 6 | 19 | lít xăng | 1x2/4 | 248.104 | |
| 250 | M106.0202 | 5 t | 260 | 17,0 | 7,50 | 6 | 41 | lít diezel | 1x2/4 | 437.559 | |
| 251 | M106.0203 | 7 t | 260 | 17,0 | 7,30 | 6 | 46 | lít diezel | 1x2/4 | 616.643 | |
| 252 | M106.0204 | 10 t | 280 | 17,0 | 7,30 | 6 | 57 | lít diezel | 1x2/4 | 704.070 | |
| 253 | M106.0205 | 12 t | 280 | 17,0 | 7,30 | 6 | 65 | lít diezel | 1x3/4 | 812.415 | |
| 254 | M106.0206 | 15 t | 300 | 16,0 | 6,80 | 6 | 73 | lít diezel | 1x3/4 | 1.035.410 | |
| 255 | M106.0207 | 20 t | 300 | 16,0 | 6,80 | 6 | 76 | lít diezel | 1x3/4 | 1.540.447 | |
| 256 | M106.0208 | 22 t | 300 | 14,0 | 6,80 | 6 | 77 | lít diezel | 1x3/4 | 1.802.194 | |
| 257 | M106.0209 | 25 t | 340 | 13,0 | 6,80 | 6 | 81 | lít diezel | 1x3/4 | 2.341.396 | |
| 258 | M106.0210 | 27 t | 340 | 13,0 | 6,60 | 6 | 86 | lít diezel | 1x3/4 | 2.505.849 | |
|
| M106.0300 | Ô tô đầu kéo - công suất: |
|
|
|
|
|
|
|
| |
| 259 | M106.0301 | 150 cv | 200 | 13,0[37] | 4,90 | 6 | 30 | lít diezel | 1x3/4 | 448.050 | |
| 260 | M106.0302 | 200 cv | 200 | 13,0[38] | 4,90 | 6 | 40 | lít diezel | 1x3/4 | 618.750 | |
| 260a[39] | M106.0302 | 255 cv | 200 | 12,0 | 4,40 | 6 | 51 | lít diezel | 1x3/4 | 878.300 | |
| 261 | M106.0303 | 272 cv | 260 | 11,0 | 4,00 | 6 | 56 | lít diezel | 1x3/4 | 1.079.950 | |
| 262 | M106.0304 | 360 cv | 260 | 11,0 | 3,80 | 6 | 68 | lít diezel | 1x3/4 | 1.136.368 | |
|
| M106.0400 | Ô tô chuyển trộn bê tông - dung tích thùng trộn: |
|
|
|
|
|
|
|
| |
| 263 | M106.0401 | 6 m3 | 260 | 14,0 | 5,70 | 6 | 43 | lít diezel | 1x1/4+1x3/4 | 884.645 | |
| 264 | M106.0402 | 10,7 m3 | 260 | 14,0 | 5,50 | 6 | 64 | lít diezel | 1x1/4+1x3/4 | 2.176.758 | |
| 265 | M106.0403 | 14,5 m3 | 260 | 14,0 | 5,50 | 6 | 70 | lít diezel | 1x1/4+1x3/4 | 2.966.930 | |
|
| M106.0500 | Ô tô tưới nước - dung tích: |
|
|
|
|
|
|
|
| |
| 266 | M106.0501 | 4 m3 | 260 | 13,0 | 4,80 | 6 | 20 | lít diezel | 1x2/4 | 438.539 | |
| 267 | M106.0502 | 5 m3 | 260 | 12,0 | 4,40 | 6 | 23 | lít diezel | 1x3/4 | 497.469 | |
| 268 | M106.0503 | 6 m3 | 260 | 12,0 | 4,40 | 6 | 24 | lít diezel | 1x3/4 | 571.304 | |
| 269 | M106.0504 | 7 m3 | 260 | 11,0 | 4,10 | 6 | 26 | lít diezel | 1x3/4 | 688.248 | |
| 270 | M106.0505 | 9 m3 | 260 | 11,0 | 4,10 | 6 | 27 | lít diezel | 1x3/4 | 796.249 | |
| 271 | M106.0506 | 16 m3 | 270 | 11,0 | 4,10 | 6 | 35 | lít diezel | 1x3/4 | 1.114.405 | |
|
| M106.0600 | Ô tô hút bùn, hút mùn khoan, dung tích: |
|
|
|
|
|
|
|
| |
| 272 | M106.0601 | 2 m3 | 260 | 13,0 | 5,20 | 6 | 19 | lít diezel | 1x2/4 | 435.615 | |
| 273 | M106.0602 | 3 m3 | 260 | 13,0 | 5,20 | 6 | 27 | lít diezel | 1x3/4 | 642.388 | |
|
| M106.0700 | Ô tô bán tải - trọng tải: |
|
|
|
|
|
|
|
| |
| 274 | M106.0701 | 1,5 t | 250 | 16,0 | 4,50 | 6 | 18 | lít xăng | 1x2/4 | 359.717 | |
|
| M106.0800 | Rơ mooc - trọng tải: |
|
|
|
|
|
|
|
| |
| 275 | M106.0801 | 15 t | 240 | 13,0 | 3,70 | 6 |
|
|
| 160.855 | |
| 276[40] | M106.0801a | 21t | 240 | 13,0 | 3,70 | 6 |
|
|
| 186.651 | |
| 277 | M106.0802 | 30 t | 240 | 13,0 | 3,10 | 6 |
|
|
| 251.560 | |
| 278 | M106.0803 | 40 t | 240 | 13,0 | 3,10 | 6 |
|
|
| 297.117 | |
| 279 | M106.0804 | 60 t | 240 | 13,0 | 3,10 | 6 |
|
|
| 333.817 | |
| 280 | M106.0805 | 100 t | 240 | 13,0 | 3,10 | 6 |
|
|
| 537.425 | |
| 281 | M106.0806 | 125 t | 240 | 13,0 | 3,10 | 6 |
|
|
| 601.973 | |
|
| M106.0900 | Xe bồn chuyên dụng |
|
|
|
|
|
|
|
| |
| 282 | M106.0901 | 30 t | 240 | 13,0 | 3,10 | 6 | 93 | lít diezel | 1x3/4 | 259.150 | |
| 283 | M106.0902 | Xe bồn 13 - 14m3 (chở bitum, polymer) | 180 | 14,0 | 5,60 | 6 | 35 | lít diezel | 1x1/4+1x3/4 | 3.243.150 | |
| 283a[41] | M106.0903 | Ô tô cấp nhũ tương 5 m3 | 180 | 12,0 | 4,40 | 6 | 23 | lít diezel | 1x3/4 lái xe nhóm 9 | 931.000 | |
|
| M107.0000 | MÁY KHOAN ĐẤT ĐÁ |
|
|
|
|
|
|
|
| |
|
| M107.0100 | Máy khoan đất đá, cầm tay - đường kính khoan: |
|
|
|
|
|
|
|
| |
| 284 | M107.0101 | D ≤ 42 mm | 240 | 18,0 | 8,50 | 5 | 5 | kWh | 1x3/7 | 13.471 | |
| 285 | M107.0102 | D ≤ 42 mm | 240 | 18,0 | 8,50 | 5 |
|
| 1x3/7 | 26.484 | |
| 286 | M107.0103 | D ≤ 42 mm | 240 | 18,0 | 6,50 | 5 |
|
| 1x3/7 | 126.804 | |
| 287 | M107.0104 | Búa chèn | 240 | 18,0 | 8,50 | 5 |
|
| 1x3/7 | 6.134 | |
|
| M107.0200 | Máy khoan xoay đập tự hành, khí nén (chưa tính khí nén) - đường kính khoan: |
|
|
|
|
|
|
|
| |
| 288 | M107.0201 | D75-95 mm | 270 | 17,0 | 5,30 | 5 |
|
| 1x3/7+1x4/7 | 1.101.564 | |
| 289 | M107.0202 | D105-110 mm | 270 | 17,0 | 5,30 | 5 |
|
| 1x3/7+1x4/7 | 1.376.725 | |
|
| M107.0300 | Máy khoan hầm tự hành, động cơ diezel - đường kính khoan: |
|
|
|
|
|
|
|
| |
| 290 | M107.0301 | D 45 mm | 285 | 13,0 | 3,90 | 6 | 84 | lít diezel | 1x4/7+1x7/7 | 11.436.520 | |
| 291 | M107.0302 | D 45 mm | 285 | 13,0 | 3,90 | 6 | 138 | lít diezel | 1x4/7+1x7/7 | 16.668.260 | |
|
| M107.0400 | Máy khoan néo - độ sâu khoan: |
|
|
|
|
|
|
|
| |
| 292 | M107.0401 | H 3,5 m (80 cv) | 285 | 13,0 | 3,90 | 6 | 38 | lít diezel | 1x4/7+1x7/7 | 12.651.359 | |
|
| M107.0500 | Máy khoan ROBBIN, đường kính khoan: |
|
|
|
|
|
|
|
| |
| 293 | M107.0501 | D 2,4 m (250 kW) | 240 | 13,0 | 3,20 | 6 | 675 | kWh | 1x4/7+1x7/7 | 41.605.242 | |
|
| M107.0600 | Tổ hợp dàn khoan neo, công suất: |
|
|
|
|
|
|
|
| |
| 294 | M107.0601 | 9 kW | 240 | 18,0 | 1,80 | 6 | 16 | kWh | 1x4/7 | 2.207.026 | |
|
| M107.0700 | Máy khoan tạo lỗ neo gia cố mái ta luy: |
|
|
|
|
|
|
|
| |
| 295 | M107.0701 | YG 60 | 250 | 13,0 | 4,50 | 5 | 28 | lít diezel | 1x3/7+1x4/7 | 1.043.321 | |
|
| M107.0800 | Máy khoan dẫn vào đá chuyên dụng HCR1200- EDII |
|
|
|
|
|
|
|
| |
| 296 | M107.0801 | HCR1200-EDII | 285 | 13,0 | 5,2 | 5 | 332 | lít diezel | 1x4/7 | 5.660.000 | |
|
| M108.0000 | MÁY VÀ THIẾT BỊ ĐỘNG LỰC |
|
|
|
|
|
|
|
| |
|
| M108.0100 | Máy phát điện lưu động - công suất: |
|
|
|
|
|
|
|
| |
| 296a[42] | M108.0100a | 3,75 kVA | 170 | 13,0 | 4,20 | 5 | 2 | lít diezel | 1x3/7 | 8.369 | |
| 296b[43] | M108.0100b | 6,25 kVA | 170 | 13,0 | 4,20 | 5 | 5 | lít diezel | 1x3/7 | 28.433 | |
| 297 | M108.0101 | 37,5 kVA | 170 | 12,0 | 3,90 | 5 | 24 | lít diezel | 1x3/7 | 117.173 | |
| 298 | M108.0102 | 62,5 kVA | 170 | 12,0 | 3,90 | 5 | 36 | lít diezel | 1x3/7 | 172.893 | |
| 299 | M108.0103 | 93,75 kVA | 170 | 11,0 | 3,60 | 5 | 45 | lít diezel | 1x4/7 | 244.894 | |
| 300 | M108.0104 | 150kVA | 170 | 10,0 | 3,3 | 5 | 76 | lít diezel | 1x4/7 | 320.678 | |
| 301 | M108.0105 | 250 kVA | 170 | 10,0 | 3,3 | 5 | 106 | lít diezel | 1x4/7 | 335.697 | |
|
| M108.0200 | Máy nén khí, động cơ xăng - năng suất: |
|
|
|
|
|
|
|
| |
| 301a[44] | M108.0200a | 120 m3/h | 180 | 11,0 | 5,00 | 5 | 14 | lít xăng | 1x4/7 | 71.198 | |
| 302 | M108.0201 | 600 m3/h | 180 | 10,0 | 4,60 | 5 | 46 | lít xăng | 1x4/7 | 374.105 | |
|
| M108.0300 | Máy nén khí, động cơ diezel - năng suất: |
|
|
|
|
|
|
|
| |
| 302a[45] | M108.0300a | 120 m3/h | 180 | 11,0 | 5,40 | 5 | 14 | lít diezel | 1x4/7 | 77.045 | |
| 303 | M108.0301 | 240 m3/h | 180 | 11,0 | 5,40 | 5 | 28 | lít diezel | 1x4/7 | 156.842 | |
| 304 | M108.0302 | 360 m3/h | 180 | 11,0 | 5,40 | 5 | 35 | lít diezel | 1x4/7 | 217.034 | |
| 305 | M108.0303 | 420 m3/h | 180 | 11,0 | 5,40 | 5 | 38 | lít diezel | 1x4/7 | 281.811 | |
| 306 | M108.0304 | 540 m3/h | 180 | 11,0 | 5,40 | 5 | 44 | lít diezel | 1x4/7 | 321.366 | |
| 307 | M108.0305 | 600 m3/h | 180 | 10,0 | 5,00 | 5 | 47 | lít diezel | 1x4/7 | 410.793 | |
| 308 | M108.0306 | 660 m3/h | 180 | 10,0 | 5,00 | 5 | 50 | lít diezel | 1x4/7 | 478.552 | |
| 309 | M108.0307 | 1200 m3/h | 180 | 10,0 | 3,90 | 5 | 75 | lít diezel | 1x4/7 | 959.970 | |
| 310 | M108.0308 | 1260 m3/h | 180 | 10,0 | 3,50 | 5 | 78 | lít diezel | 1x4/7 | 1.103.857 | |
|
| M108.0400 | Máy nén khí, động cơ điện - năng suất: |
|
|
|
|
|
|
|
| |
| 311 | M108.0401 | 5 m3/h | 180 | 12,0 | 5,20 | 5 | 2 | kWh | 1x3/7 | 2.866 | |
| 312 | M108.0402 | 300 m3/h | 180 | 11,0 | 3,80 | 5 | 86 | kWh | 1x3/7 | 143.199 | |
| 313 | M108.0403 | 600 m3/h | 180 | 11,0 | 3,40 | 5 | 125 | kWh | 1x4/7 | 309.098 | |
|
| M109.0000 | MÁY VÀ THIẾT BỊ THI CÔNG CÔNG TRÌNH THỦY |
|
|
|
|
|
|
|
| |
|
| M109.0100 | Sà lan - trọng tải: |
|
|
|
|
|
|
|
| |
| 313a[46] | M109.0101a | 100 t | 260 | 11 | 5,90 | 6 |
|
|
| 490.476 | |
| 314 | M109.0101 | 200 t | 290 | 11,0 | 5,90 | 6 |
|
|
| 721.153 | |
| 315 | M109.0102 | 250 t | 290 | 11,0 | 5,90 | 6 |
|
|
| 901.384 | |
| 316 | M109.0103 | 400 t | 290 | 11,0 | 5,50 | 6 |
|
|
| 1.207.730 | |
| 317 | M109.0104 | 600 t | 290 | 11,0 | 5,50 | 6 |
|
|
| 1.420.866 | |
| 318 | M109.0105 | 800 t | 290 | 11,0 | 5,20 | 6 |
|
|
| 2.012.922 | |
| 319 | M109.0106 | 1000 t | 290 | 11,0 | 5,20 | 6 |
|
|
| 2.368.110 | |
|
| M109.0200 | Phao thép - trọng tải: |
|
|
|
|
|
|
|
| |
| 320 | M109.0201 | 60 t | 230 | 11,0 | 5,90 | 6 |
|
|
| 121.530 | |
| 321 | M109.0202 | 200 t | 230 | 11,0 | 5,90 | 6 |
|
|
| 211.645 | |
| 322 | M109.0203 | 250 t | 230 | 11,0 | 5,90 | 6 |
|
|
| 222.193 | |
| 323 | M109.0301 | Pông tông | 230 | 13,0 | 5,20 | 6 |
|
|
| 343.952 | |
|
| M109.0400 | Thuyền (ghe) đặt máy bơm - trọng tải: |
|
|
|
|
|
|
|
| |
| 324 | M109.0401 | 5 t | 230 | 11,0 | 5,20 | 6 | 44 | lít diezel | 1 thuyền trưởng 1/2 | 258.000 | |
| 325 | M109.0402 | 40 t | 230 | 11,0 | 5,20 | 6 | 131 | lít diezel | 1 thuyền trưởng 1/2 + 1 thủy thủ 1x3/4 | 887.000 | |
|
| M109.0500 | Ca nô - công suất: |
|
|
|
|
|
|
|
| |
| 326 | M109.0501 | 12 cv | 260 | 12,0 | 6,00 | 6 | 3 | lít diezel | 1 thuyền trưởng 1/2 | 94.701 | |
| 327 | M109.0502 | 23 cv | 260 | 12,0 | 6,00 | 6 | 5 | lít diezel | 1 thuyền trưởng 1/2 | 103.988 | |
| 328 | M109.0503 | 30 cv | 260 | 12,0 | 5,40 | 6 | 6 | lít diezel | 1 thuyền trưởng 1/2 | 112.816 | |
| 329 | M109.0504 | 54 cv | 260 | 12,0 | 5,40 | 6 | 10 | lít diezel | 1 thuyền trưởng 1/2 + 1 thủy thủ 2/4 | 144.918 | |
| 330 | M109.0505 | 75 cv | 260 | 11,0 | 4,60 | 6 | 14 | lít diezel | 1 thuyền trưởng 1/2 + 1 thủy thủ 2/4 | 207.403 | |
| 331 | M109.0506 | 150 cv | 260 | 11,0 | 4,60 | 6 | 23 | lít diezel | 1 thuyền trưởng 1/2 + 1 máy I 1/2 + 1 thủy thủ 2/4 | 364.360 | |
|
| M109.0700 | Tầu kéo và phục vụ thi công thủy (làm neo, cấp dầu,...) - công suất: |
|
|
|
|
|
|
|
| |
| 332 | M109.0701 | 75 cv | 260 | 9,5 | 5,20 | 6 | 68 | lít diezel | 1 thuyền trưởng 1/2 + 2 thợ máy (1x2/4+1x3/4) + 1 thợ điện 2/4 + 2 thủy thủ 2/4 | 258.000 | |
| 333 | M109.0702 | 150 cv | 260 | 9,5 | 5,00 | 6 | 95 | lít diezel | 1 thuyền trưởng 2/2 + 1 thuyền phó I 1/2 + 1 máy I 1/2 + 2 thợ máy (1x3/4 + 1x2/4) + 2 thủy thủ (1x2/4 + 1x3/4) | 612.500 | |
| 334 | M109.0703 | 250 cv | 260 | 9,5[47] | 5,00 | 6 | 148 | lít diezel | 1 thuyền trưởng 2/2 + 1 thuyền phó I 1/2 + 1 máy I 1/2 + 2 thợ máy (1x3/4 + 1x2/4) + 2 thủy thủ (1x2/4 + 1x3/4) | 787.238 | |
| 335 | M109.0704 | 360 cv | 260 | 9,5 | 5,00 | 6 | 202 | lít diezel | 1 thuyền trưởng 2/2 + 1 thuyền phó I 1/2 + 1 máy I 1/2 + 2 thợ máy (1x3/4 + 1x2/4) + 2 thủy thủ (1x2/4 + 1x3/4) | 887.000 | |
| 335a[48] | M109.0704a | 600 cv | 260 | 9,5 | 4,20 | 6 | 315 | lít diezel | 1 thuyền trưởng 2/2 + 1 thuyền phó I 2/2 + 1máy I 2/2 + 3 thợ máy (2x3/4 + 1x2/4) + 4 thủy thủ (3x3/4+1x4/4) | 1.318.800 | |
| 336 | M109.0705 | 1200 cv | 270 | 9,5 | 3,80 | 6 | 714 | lít diezel | 1 thuyền trưởng 2/2 + 1 thuyền phó I 2/2 + 1 máy I 2/2 + 3 thợ máy (2x3/4 + 1x2/4) + 4 thủy thủ (3x3/4 + 1x4/4) | 9.851.500 | |
|
| M109.0800 | Tàu cuốc sông - công suất: |
|
|
|
|
|
|
|
| |
| 337 | M109.0801 | 495 cv | 290 | 7,0 | 5,10 | 6 | 520 | lít diezel | 1 thuyền trưởng 2/2 + 1 thuyền phó 2/2 + 1 máy trưởng 2/2 + 1 máy II 2/2 + 1 điện trưởng 2/2 + 1 kỹ thuật viên cuốc I 2/2 + 2 kỹ thuật viên cuốc II 2/2 + 4 thợ máy (3x3/4 + 1x4/4) + 4 thủy thủ (3x3/4 + 1x4/4) | 11.237.300 | |
|
| M109.0900 | Tàu cuốc biển - công suất: |
|
|
|
|
|
|
|
| |
| 338 | M109.0901 | 2085 cv | 290 | 7,0 | 4,50 | 6 | 1751 | lít diezel | 1 thuyền trưởng 2/2 + 1 thuyền phó 2/2 + 1 máy trưởng 2/2 + 1 máy II 2/2 + 1 điện trưởng 2/2 + 1 kỹ thuật viên cuốc I 2/2 + 2 kỹ thuật viên cuốc II 2/2 + 4 thợ máy (3x3/4 + 1x4/4) + 4 thủy thủ (3x3/4 + 1x4/4) | 34.650.000 | |
|
| M109.1000 | Tàu hút - công suất: |
|
|
|
|
|
|
|
| |
| 339 | M109.1001 | 585 cv | 290 | 9,0 | 4,10 | 6 | 573 | lít diezel | 1 thuyền trưởng 2/2 + thuyền phó 2/2 + 1 máy trưởng 2/2 + 1 máy II 2/2 + 1 kỹ thuật viên cuốc I 2/2 + 1 kỹ thuật viên cuốc II 2/2 + 2 thợ máy (1x3/4 + 1x4/4) + 4 thủy thủ (3x3/4 + 1x4/4) | 7.685.500 | |
| 340 | M109.1002 | 1200 cv | 290 | 7,0 | 3,75 | 6 | 1008 | lít diezel | 1 thuyền trưởng 2/2 + thuyền phó 2/2 + 1 máy trưởng 2/2 + 1 máy II 2/2 + 1 điện trưởng 2/2 + 1 kỹ thuật viên cuốc I 2/2 + 1 kỹ thuật viên cuốc II 2/2 + 6 thợ máy (5x3/4 + 1x4/4) + 2 thủy thủ (1x3/4 + 1x4/4) | 20.115.500 | |
| 341 | M109.1003 | 3958 cv ÷ 4170 cv[49] | 290 | 7,0 | 2,40 | 6 | 3211 | lít diezel | 1 thuyền trưởng 2/2 + thuyền phó 2/2 + 1 máy trưởng 2/2 + 1 máy II 2/2 + 1 điện trưởng 2/2 + 1 kỹ thuật viên cuốc I 2/2 + 3 kỹ thuật viên cuốc II 2/2 + 6 thợ máy (5x3/4 + 1x4/4) + 4 thủy thủ (3x3/4 + 1x4/4) | 101.976.100 | |
|
| M109.1100 | Tàu hút bụng tự hành - công suất: |
|
|
|
|
|
|
|
| |
| 342 | M109.1101 | 1390 cv | 290 | 7,0 | 6,50 | 6 | 1446 | lít diezel | 1 thuyền trưởng 2/2 + thuyền phó 2/2 + 1 máy trưởng 2/2 + 1 máy II 2/2 + 1 điện trưởng 2/2 + 1 kỹ thuật viên cuốc I 2/2 + 1 kỹ thuật viên cuốc II 2/2 + 2 thợ máy (1x3/4 + 1x4/4) + 4 thủy thủ (3x3/4 + 1x4/4) | 11.388.400 | |
| 343 | M109.1102 | 5945 cv | 290 | 7,0 | 6,00 | 6 | 5232 | lít diezel | 1 thuyền trưởng 2/2 + 1 thuyền phó 2/2 + 1 máy trưởng 2/2 + 1 máy II 2/2 + 1 điện trưởng 2/2 + 1 kỹ thuật viên cuốc I 2/2 + 1 kỹ thuật viên cuốc II 2/2 + 2 thợ máy (1x3/4 + 1x4/4) + 4 thủy thủ (3x3/4 + 1x4/4) | 65.840.000 | |
|
| M109.1200 | Tầu ngoạm (có tính năng phá đá ngầm), công suất 3170 CV - dung tích gầu: |
|
|
|
|
|
|
|
| |
| 344 | M109.1201 | 17 m3 | 290 | 9,0 | 5,50 | 6 | 2663 | lít diezel | 1 thuyền trưởng 2/2 + 1 thuyền phó 2/2 + 1 máy trưởng 2/2 + 1 máy II 2/2 + 1 kỹ thuật viên cuốc I 2/2 + 3 kỹ thuật viên cuốc II 2/2 + 4 thợ máy (3x3/4 + 1x4/4) + 4 thủy thủ (3x3/4 + 1x4/4) | 38.478.500 | |
|
| M109.1300 | Máy xáng cạp - dung tích gầu: |
|
|
|
|
|
|
|
| |
| 345 | M109.1301 | 1,25 m3 | 250 | 10,0 | 5,20 | 6 | 70 | lít diezel | 1x5/7 | 1.699.696 | |
| 346 | M109.1401 | Trạm lặn | 170 | 25,0 | 7,50 | 8 |
|
| 1 thợ lặn cấp I 1/2+1 thợ lặn 2/4 | 77.160 | |
|
| M110.0000 | MÁY VÀ THIẾT BỊ THI CÔNG TRONG HẦM |
|
|
|
|
|
|
|
| |
|
| M110.0100 | Máy xúc chuyên dùng trong hầm - dung tích gầu: |
|
|
|
|
|
|
|
| |
| 347 | M110.0101 | 0,9 m3 | 290 | 13,0 | 4,80 | 6 | 52 | lít diezel | 1x4/7 | 3.125.148 | |
| 348 | M110.0102 | 1,65 m3 | 290 | 13,0 | 4,80 | 6 | 65 | lít diezel | 1x4/7 | 3.593.955 | |
|
| M110.0200 | Máy cào đá, động cơ điện - năng suất: |
|
|
|
|
|
|
|
| |
| 349 | M110.0201 | 3 m3/ph | 290 | 12,0 | 5,30 | 6 | 248 | kWh | 1x3/7 | 975.792 | |
|
| M110.0300 | Thiết bị phục vụ vận chuyển đá nổ mìn trong hầm: |
|
|
|
|
|
|
|
| |
| 350 | M110.0301 | Tời ma nơ - 13 kW | 300 | 14,0 | 4,30 | 6 | 43 | kWh | 1x4/7 | 29.121 | |
| 351 | M110.0302 | Xe goòng 3 t | 300 | 14,0 | 4,30 | 6 |
|
| 1x4/7 | 30.956 | |
| 352 | M110.0303 | Đầu kéo 30 t | 300 | 11,0 | 3,80 | 6 | 37 | lít diezel | 1x4/7 | 3.107.721 | |
| 353 | M110.0304 | Quang lật 360 t/h | 300 | 14,0 | 4,30 | 6 | 27 | kWh | 1x4/7 | 247.875 | |
|
| M110.0400 | Máy nâng phục vụ thi công hầm - công suất: |
|
|
|
|
|
|
|
| |
| 354 | M110.0401 | 135 cv | 270 | 12,0 | 3,10 | 6 | 45 | lít diezel | 1x4/7 | 781.918 | |
|
| M111.0000 | MÁY VÀ THIẾT BỊ THI CÔNG ĐƯỜNG ỐNG, ĐƯỜNG CÁP NGẦM |
|
|
|
|
|
|
|
| |
|
| M111.0100 | Máy và thiết bị khoan đặt đường ống: |
|
|
|
|
|
|
|
| |
| 355 | M111.0101 | Máy nâng TO-12-24, sức nâng 15t | 180 | 16,0 | 4,20 | 6 | 53 | lít diezel | 1x4/7+1x7/7 | 1.091.245 | |
| 356 | M111.0102 | Máy khoan ngang UĐB-4 | 150 | 17,0 | 4,20 | 6 | 33 | lít xăng | 1x4/7+1x7/7 | 464.335 | |
|
| M111.0200 | Máy và thiết bị khoan đặt đường cáp ngầm: |
|
|
|
|
|
|
|
| |
| 357 | M111.0201 | Máy khoan ngầm có định hướng | 260 | 15,0 | 3,50 | 6 | 201 | kWh | 1x4/7+1x7/7 | 5.938.103 | |
| 358 | M111.0202 | Hệ thống STS (phục vụ khoan ngầm có định hướng khi khoan qua sông nước) | 150 | 15,0 | 3,50 | 6 | 2 | kWh | 1x6/7+1x4/7 | 1.755.761 | |
|
| M112.0000 | MÁY VÀ THIẾT BỊ THI CÔNG KHÁC |
|
|
|
|
|
|
|
| |
|
| M112.0100 | Máy bơm nước, động cơ điện - công suất: |
|
|
|
|
|
|
|
| |
| 359 | M112.0101 | 1,1 kW | 190 | 17,0 | 4,70 | 5 | 3 | kWh | (được bãi bỏ)[50] | 3.440 | |
| 360 | M112.0102 | 2 kW | 190 | 17,0 | 4,70 | 5 | 5 | kWh | (được bãi bỏ)[51] | 3.898 | |
| 360a[52] | M112.0102a | 2,8 kW | 190 | 17,0 | 4,70 | 5 | 8 | kWh |
| 4.586 | |
| 360b[53] | M112.0102b | 7 kW ÷ 7,5 kW | 180 | 17,0 | 4,70 | 5 | 10 | kWh |
| 10.663 | |
| 361 | M112.0103 | 14 kW | 180 | 16,0 | 4,50 | 5 | 34 | kWh | (được bãi bỏ)[54] | 17.198 | |
| 362 | M112.0104 | 20 kW | 180 | 16,0 | 4,20 | 5 | 48 | kWh | (được bãi bỏ)[55] | 27.860 | |
|
| M112.0200 | Máy bơm nước, động cơ diezel - công suất: |
|
|
|
|
|
|
|
| |
| 363 | M112.0201 | 5 cv | 150 | 20,0 | 5,40 | 5 | 2,7 | lít diezel |
| 12.956 | |
| 364 | M112.0202 | 5,5 cv | 150 | 20,0 | 5,40 | 5 | 3 | lít diezel |
| 15.478 | |
| 365 | M112.0203 | 10 cv | 150 | 20,0 | 5,40 | 5 | 5 | lít diezel |
| 26.943 | |
| 366 | M112.0204 | 20 cv | 150 | 18,0 | 4,70 | 5 | 10 | lít diezel |
| 65.809 | |
| 367 | M112.0205 | 25 cv | 150 | 17,0 | 4,00 | 5 | 11 | lít diezel |
| 73.720 | |
| 368 | M112.0206 | 30 cv | 150 | 17,0 | 4,00 | 5 | 15 | lít diezel |
| 89.198 | |
| 369 | M112.0207 | 40 cv | 150 | 17,0 | 4,40 | 5 | 20 | lít diezel |
| 114.952 | |
| 370 | M112.0208 | 75 cv | 150 | 16,0 | 3,80 | 5 | 36 | lít diezel |
| 237.442 | |
| 371 | M112.0209 | 120 cv | 150 | 16,0 | 3,80 | 5 | 53 | lít diezel |
| 267.801 | |
|
| M112.0300 | Máy bơm nước, động cơ xăng - công suất: |
|
|
|
|
|
|
|
| |
| 372 | M112.0301 | 3 cv | 150 | 20,0 | 5,80 | 5 | 1,6 | lít xăng |
| 9.860 | |
| 373 | M112.0302 | 6 cv | 150 | 20,0 | 5,80 | 5 | 3 | lít xăng |
| 16.854 | |
| 374 | M112.0303 | 8 cv | 150 | 20,0 | 5,80 | 5 | 4 | lít xăng |
| 22.013 | |
| 375 | M112.0401 | Máy bơm chân không 7,5 kW | 280 | 13,0 | 3,60 | 5 | 22 | kWh |
| 252.231 | |
| 376 | M112.0402 | Máy bơm xói 4MC | 180 | 13,0 | 3,60 | 5 | 180 | kWh | 1x3/7 | 120.039 | |
| 377 | M112.0501 | Máy bơm áp lực xói nước đầu cọc (300 cv) | 180 | 13,0 | 2,20 | 5 | 111 | lít diezel | 1x3/7 | 1.158.316 | |
|
| M112.0600 | Máy bơm vữa - năng suất: |
|
|
|
|
|
|
|
| |
| 378 | M112.0601 | 6 m3/h | 150 | 18,0 | 6,60 | 5 | 19 | kWh | 1x4/7 | 103.415 | |
| 379 | M112.0602 | 9 m3/h | 150 | 18,0 | 6,60 | 5 | 34 | kWh | 1x4/7 | 129.899 | |
| 380 | M112.0603 | 32 - 50 m3/h | 150 | 18,0 | 6,10 | 5 | 72 | kWh | 1x4/7 | 170.830 | |
|
| M112.0700 | Máy bơm cát, động cơ diezel - công suất: |
|
|
|
|
|
|
|
| |
| 381 | M112.0701 | 126 cv | 200 | 12,0 | 3,80 | 5 | 54 | lít diezel | 1x5/7 | 240.684 | |
| 382 | M112.0702 | 350 cv | 200 | 12,0 | 3,50 | 5 | 127 | lít diezel | 1x5/7 | 505.900 | |
| 383 | M112.0703 | 380 cv | 200 | 12,0 | 3,30 | 5 | 136 | lít diezel | 1x5/7 | 541.420 | |
| 384 | M112.0704 | 480 cv | 200 | 12,0 | 3,10 | 5 | 168 | lít diezel | 1x5/7 | 659.820 | |
|
| M112.0800 | Xe bơm bê tông, tự hành - năng suất: |
|
|
|
|
|
|
|
| |
| 385 | M112.0801 | 50 m3/h | 260 | 13,0 | 5,40 | 6 | 53 | lít diezel | 1x1/4+1x3/4 | 2.508.786 | |
| 386 | M112.0802 | 60 m3/h | 260 | 13,0 | 5,00 | 6 | 60 | lít diezel | 1x1/4+1x3/4 | 2.809.744 | |
|
| M112.0900 | Máy bơm bê tông - năng suất: |
|
|
|
|
|
|
|
| |
| 387 | M112.0901 | 40 - 60 m3/h | 220 | 13,0 | 6,50 | 5 | 182 | kWh | 1x3/7+1x5/7 | 1.245.106 | |
| 388 | M112.0902 | 60 - 90 m3/h | 220 | 13,0 | 6,50 | 5 | 248 | kWh | 1x4/7+1x5/7 | 1.711.849 | |
|
| M112.1000 | Máy phun vẩy - năng suất: |
|
|
|
|
|
|
|
| |
| 389 | M112.1001 | 9 m3/h (AL 285) | 200 | 13,0 | 4,90 | 6 | 54 | kWh | 1x4/7 | 1.734.436 | |
| 390 | M112.1002 | 16 m3/h (AL 500) | 200 | 13,0 | 4,50 | 6 | 429 | kWh | 1x4/7 | 6.737.447 | |
|
| M112.1100 | Máy đầm bê tông, đầm bàn - công suất: |
|
|
|
|
|
|
|
| |
| 391 | M112.1101 | 1,0 kW | 150 | 25,0 | 8,80 | 4 | 5 | kWh | 1x3/7 | 6.420 | |
|
| M112.1200 | Máy đầm bê tông, đầm cạnh - công suất: |
|
|
|
|
|
|
|
| |
| 392 | M112.1201 | 1,0 kW | 150 | 25,0 | 8,80 | 4 | 5 | kWh |
| 5.045 | |
|
| M112.1300 | Máy đầm bê tông, dầm dùi - công suất: |
|
|
|
|
|
|
|
| |
| 393 | M112.1301 | 1,5 kW | 150 | 20,0 | 8,80 | 4 | 7 | kWh | 1x3/7 | 7.395 | |
| 394 | M112.1302 | 3,5 kW | 150 | 20,0 | 6,50 | 4 | 16 | kWh | 1x3/7 | 24.535 | |
|
| M112.1400 | Máy phun (chưa tính khí nén): |
|
|
|
|
|
|
|
| |
| 395 | M112.1401 | Máy phun sơn 400 m2/h | 150 | 22,0 | 5,40 | 4 |
|
| 1x3/7 | 8.026 | |
| 396 | M112.1402 | Máy phun chất tạo màng 5,5Hp | 150 | 22,0 | 5,40 | 4 |
|
| 1x3/7 | 7.452 | |
| 397 | M112.1403 | Máy phun cát | 200 | 22,0 | 4,20 | 4 |
|
| 1x3/7 | 16.510 | |
| 398 | M112.1404 | Máy phun bi 235 kW | 250 | 22,0 | 4,20 | 4 | 176 | kWh | 1x3/7+1x4/7 | 3.123.015 | |
|
| M112.1500 | Máy khoan đứng - công suất: |
|
|
|
|
|
|
|
| |
| 399 | M112.1501 | 2,5 kW | 220 | 12,5 | 4,10 | 4 | 5 | kWh |
| 42.900 | |
| 400 | M112.1502 | 4,5 kW | 220 | 12,5 | 4,10 | 4 | 9 | kWh |
| 57.200 | |
|
| M112.1600 | Máy khoan sắt cầm tay, đường kính khoan: |
|
|
|
|
|
|
|
| |
| 401 | M112.1601 | 1,7 kW[56] | 130 | 30,0 | 8,40 | 4 | 13 | kWh |
| 4.150 | |
|
| M112.1700 | Máy khoan bê tông cầm tay - công suất: |
|
|
|
|
|
|
|
| |
| 402 | M112.1701 | 0,62 kW | 150 | 30,0 | 7,50 | 4 | 0,9 | kWh |
| 4.800 | |
| 403 | M112.1702 | 0,75 kW | 150 | 20,0 | 7,50 | 4 | 1,1 | kWh |
| 6.250 | |
| 403a[57] | M112.1702a | 0,85 kW | 150 | 20,0 | 7,5 | 4 | 1,3 | kWh |
| 6.750 | |
| 403b[58] | M112.1702b | 1,00 kW | 130 | 20,0 | 7,5 | 4 | 1,6 | kWh |
| 8.400 | |
| 404 | M112.1703 | 1,50 kW | 110 | 20,0 | 7,50 | 4 | 2,3 | kWh |
| 10.400 | |
|
| M112.1800 | Máy luồn cáp - công suất: |
|
|
|
|
|
|
|
| |
| 405 | M112.1801 | 15 kW | 240 | 9,0 | 2,20 | 5 | 27 | kWh | 1x3/7 | 94.900 | |
|
| M112.1900 | Máy cắt cáp - công suất: |
|
|
|
|
|
|
|
| |
| 406 | M112.1901 | 10 kW | 230 | 13,3 | 3,50 | 4 | 13 | kWh | 1x3/7 | 23.400 | |
|
| M112.2000 | Máy cắt sắt cầm tay - công suất: |
|
|
|
|
|
|
|
| |
| 407 | M112.2001 | 1,7 kW | 130 | 30,0 | 7,50 | 4 | 3 | kWh |
| 7.750 | |
|
| M112.2100 | Máy cắt gạch đá - công suất: |
|
|
|
|
|
|
|
| |
| 408a[59] | M112.2200a | 1,5 kW | 120 | 20,0 | 5,5 | 4 | 2,7 | kWh |
| 8.750 | |
| 408 | M112.2101 | 1,7 kW | 90 | 14,0 | 7,00 | 4 | 3 | kWh |
| 7.900 | |
|
| M112.2200 | Máy cắt bê tông - công suất: |
|
|
|
|
|
|
|
| |
| 409 | M112.2201 | 7,5 kW | 120 | 20,0 | 5,50 | 4 | 11 | kWh | 1x3/7 | 17.400 | |
| 410 | M112.2202 | 12 cv (MCD 218) | 120 | 20,0 | 4,50 | 5 | 8 | lít xăng | 1x3/7 | 38.500 | |
|
| M112.2300 | Máy cắt ống - công suất: |
|
|
|
|
|
|
|
| |
| 411 | M112.2301 | 5 kW | 240 | 14,0 | 4,50 | 4 | 9 | kWh | 1x3/7 | 28.200 | |
|
| M112.2400 | Máy cắt tôn - công suất: |
|
|
|
|
|
|
|
| |
| 412 | M112.2401 | 5 kW | 240 | 13,0 | 3,80 | 4 | 10 | kWh | 1x3/7 | 18.800 | |
| 413 | M112.2402 | 15 kW | 240 | 13,0 | 3,90 | 4 | 27 | kWh | 1x3/7 | 156.600 | |
|
| M112.2500 | Máy cắt đột - công suất: |
|
|
|
|
|
|
|
| |
| 414 | M112.2501 | 2,8 kW | 240 | 14,0 | 4,10 | 4 | 5 | kWh | 1x3/7 | 41.700 | |
|
| M112.2600 | Máy cắt uốn cốt thép - công suất: |
|
|
|
|
|
|
|
| |
| 415 | M112.2601 | 5 kW | 240 | 14,0 | 4,10 | 4 | 9 | kWh | 1x3/7 | 18.200 | |
|
| M112.2700 | Máy cắt cỏ cầm tay - công suất: |
|
|
|
|
|
|
|
| |
| 416 | M112.2701 | 0,8 kW | 190 | 20,5 | 10,50 | 4 | 2 | kWh |
| 4.600 | |
| 417 | M112.2801 | Máy cắt thép Plasma | 230 | 13,0 | 3,80 | 4 | 13 | kWh | 1x3/7 | 68.900 | |
|
| M112.2900 | Búa căn khí nén (chưa tính khí nén) - tiêu hao khí nén: |
|
|
|
|
|
|
|
| |
| 418 | M112.2901 | 1,5 m3/ph | 120 | 30,0 | 6,60 | 5 |
|
|
| 5.400 | |
| 419 | M112.2902 | 3,0 m3/ph | 120 | 30,0 | 6,60 | 5 |
|
|
| 6.100 | |
|
| M112.3000 | Máy uốn ống - công suất: |
|
|
|
|
|
|
|
| |
| 420 | M112.3001 | 2,0 kW ÷ 2,8 kW[60] | 230 | 14,0 | 4,50 | 4 | 5 | kWh | 1x3/7 | 28.200 | |
|
| M112.3100 | Máy lốc tôn - công suất: |
|
|
|
|
|
|
|
| |
| 421 | M112.3101 | 5 kW | 230 | 13,0 | 3,90 | 4 | 10 | kWh | 1x3/7 | 54.800 | |
|
| M112.3200 | Máy cưa kim loại - công suất: |
|
|
|
|
|
|
|
| |
| 422 | M112.3201 | 1,7 kW | 230 | 14,0 | 4,10 | 4 | 4 | kWh |
| 22.700 | |
| 423 | M112.3202 | 2,7 kW | 230 | 14,0 | 4,10 | 4 | 6 | kWh |
| 27.300 | |
|
| M112.3300 | Máy tiện - công suất: |
|
|
|
|
|
|
|
| |
| 424 | M112.3301 | 10 kW | 230 | 14,0 | 4,10 | 4 | 19 | kWh | 1x3/7 | 111.400 | |
|
| M112.3400 | Máy bào thép - công suất: |
|
|
|
|
|
|
|
| |
| 425 | M112.3401 | 7,5 kW | 230 | 14,0 | 4,10 | 4 | 16 | kWh | 1x3/7 | 72.900 | |
|
| M112.3500 | Máy phay - công suất: |
|
|
|
|
|
|
|
| |
| 426 | M112.3501 | 7 kW | 230 | 14,0 | 4,10 | 4 | 15 | kWh | 1x3/7 | 89.100 | |
|
| M112.3600 | Máy ghép mí - công suất: |
|
|
|
|
|
|
|
| |
| 427 | M112.3601 | 1,1 kW | 220 | 14,0 | 4,10 | 4 | 2 | kWh | 1x3/7 | 6.100 | |
|
| M112.3700 | Máy mài - công suất: |
|
|
|
|
|
|
|
| |
| 428 | M112.3701 | 1 kW | 220 | 14,0 | 4,90 | 4 | 2 | kWh |
| 3.500 | |
| 429 | M112.3702 | 2,7 kW | 230 | 14,0 | 4,90 | 4 | 4 | kWh |
| 11.200 | |
|
| M112.3800 | Máy cưa gỗ cầm tay - công suất: |
|
|
|
|
|
|
|
| |
| 430 | M112.3801 | 1,3 kW | 180 | 30,0 | 10,50 | 4 | 3 | kWh |
| 7.600 | |
|
| M112.3900 | Máy hàn một chiều - công suất: |
|
|
|
|
|
|
|
| |
| 431 | M112.3901 | 50 kW | 200 | 24,0 | 4,50 | 5 | 105 | kWh | 1x4/7 | 26.000 | |
|
| M112.4000 | Máy hàn xoay chiều - công suất: |
|
|
|
|
|
|
|
| |
| 431a[61] | M112.4000a | 7 kW | 200 | 21,0 | 4,80 | 5 | 15 | kWh | 1x4/7 | 4.300 | |
| 432 | M112.4001 | 14 kW ÷ 15 kW[62] | 200 | 21,0 | 4,80 | 5 | 29 | kWh | 1x4/7 | 8.600 | |
| 433 | M112.4002 | 23 kW | 200 | 21,0 | 4,80 | 5 | 48 | kWh | 1x4/7 | 16.000 | |
|
| M112.4100 | Máy hàn hơi - công suất: |
|
|
|
|
|
|
|
| |
| 434 | M112.4101 | 1000 l/h | 160 | 21,0 | 4,80 | 5 |
|
| 1x4/7 | 3.400 | |
| 435 | M112.4102 | 2000 l/h | 160 | 21,0 | 4,80 | 5 |
|
| 1x4/7 | 5.200 | |
| 436 | M112.4201 | Máy hàn cắt dưới nước | 90 | 21,0 | 10,00 | 5 |
|
| 1 thợ lặn cấp I 1/2+ 1 thợ lặn 2/4 | 106.900 | |
|
| M112.4300 | Máy hàn nối ống nhựa: |
|
|
|
|
|
|
|
| |
| 437 | M112.4301 | Máy hàn nhiệt cầm tay | 200 | 21,0 | 6,50 | 5 | 6 | kWh |
| 1.532 | |
| 438 | M112.4302 | Máy gia nhiệt D315mm | 200 | 21,0 | 6,50 | 5 | 8 | kWh | 1x4/7 | 50.000 | |
| 439 | M112.4303 | Máy gia nhiệt D630mm | 200 | 21,0 | 6,50 | 5 | 12 | kWh | 1x4/7 | 122.727 | |
| 440 | M112.4304 | Máy gia nhiệt D1200mm | 200 | 21,0 | 6,50 | 5 | 18 | kWh | 1x4/7 | 170.909 | |
|
| M112.4400 | Máy quạt gió - công suất: |
|
|
|
|
|
|
|
| |
| 441 | M112.4401 | 2,5 kW | 160 | 19,0 | 1,70 | 5 | 16 | kWh |
| 3.600 | |
| 442 | M112.4402 | 4,5 kW | 160 | 19,0 | 1,70 | 5 | 29 | kWh |
| 7.900 | |
|
| M112.4500 | Máy khoan khoan đập cáp - công suất: |
|
|
|
|
|
|
|
| |
| 443 | M112.4501 | 40 kW | 200 | 14,0 | 6,40 | 5 | 144 | kWh | 1x4/7 | 630.000 | |
|
| M112.4600 | Máy khoan xoay - công suất: |
|
|
|
|
|
|
|
| |
| 444 | M112.4601 | 54 cv | 230 | 14,0 | 6,50 | 5 | 19 | lít diezel | 1x4/7 | 1.117.200 | |
| 445 | M112.4602 | 300 cv | 230 | 13,0 | 3,90 | 5 | 97 | lít diezel | 1x6/7 | 7.036.900 | |
|
| M112.4700 | Bộ kích chuyên dùng |
|
|
|
|
|
|
|
| |
| 446 | M112.4701 | Bộ thiết bị trượt | 200 | 18,0 | 4,50 | 5 | 65 | kWh | 1x4/7+1x7/7 | 550.300 | |
| 447 | M112.4702 | Bộ kích lắp dựng, tháo dỡ ván khuôn 50-60 t | 200 | 13,0 | 2,20 | 5 | 14 | kWh | 1x4/7 | 91.300 | |
|
|
|
|
|
|
|
|
|
|
|
| |
CHƯƠNG II. MÁY VÀ THIẾT BỊ CHUYÊN DÙNG KHẢO SÁT, THÍ NGHIỆM
| Stt | Mã hiệu | Loại máy và thiết bị | Số ca năm | Định mức (%) | Nguyên giá tham khảo | ||
| Khấu hao | Sửa chữa | Chi phí khác | |||||
| 1 | 2 | 3 | 4 | 5 | 6 | 7 | 8 |
|
| M201.0000 | MÁY VÀ THIẾT BỊ KHẢO SÁT |
|
|
|
|
|
| 448 | M201.0001 | Bộ khoan tay | 180 | 15 | 6,00 | 5 | 35.083 |
| 449 | M201.0002 | Máy khoan XY-1A | 180 | 10 | 5,00 | 5 | 76.000 |
| 450 | M201.0003 | Máy khoan XY-3 | 180 | 10 | 5,00 | 5 | 210.909 |
| 451 | M201.0004 | Máy khoan GK-250 | 180 | 10 | 5,00 | 5 | 136.364 |
| 452 | M201.0005 | Bộ nén ngang GA | 180 | 10 | 3,00 | 5 | 476.947 |
| 453 | M201.0006 | Búa căn MO - 10 (chưa tính khí nén) | 180 | 20 | 6,60 | 5 | 6.363 |
| 454 | M201.0007 | Búa khoan tay P30 | 180 | 15 | 8,50 | 5 | 12.268 |
| 455 | M201.0008 | Thùng trục 0,5 m3 | 150 | 20 | 8,00 | 5 | 3.096 |
| 456 | M201.0009 | Máy khoan F-60L | 250 | 10 | 4,00 | 5 | 1.396.445 |
| 457 | M201.0010 | Máy xuyên động RA-50 | 180 | 10 | 3,50 | 5 | 58.816 |
| 458 | M201.0011 | Máy xuyên tĩnh Gouda | 180 | 10 | 2,80 | 5 | 495.291 |
| 459 | M201.0012 | Thiết bị đo ngẫu lực | 180 | 10 | 3,00 | 5 | 340.513 |
| 460 | M201.0013 | Bộ dụng cụ thí nghiệm SPT | 180 | 10 | 3,50 | 5 | 10.777 |
| 461 | M201.0014 | Biến thế thắp sáng | 150 | 18 | 4,50 | 5 | 3.325 |
| 462 | M201.0015 | Máy thăm dò địa vật lý UJ-18 | 150 | 10 | 3,20 | 4 | 31.300 |
| 463 | M201.0016 | Máy thăm dò địa vật lý MF-2-100 | 150 | 10 | 3,20 | 4 | 38.752 |
| 464 | M201.0017 | Máy, thiết bị thăm dò địa chấn - loại 1 mạch (ES-125) | 150 | 10 | 2,20 | 4 | 97.797 |
| 465 | M201.0018 | Máy, thiết bị thăm dò địa chấn - loại 12 mạch (Triosx-12) | 150 | 10 | 2,00 | 4 | 292.130 |
| 466 | M201.0019 | Máy, thiết bị thăm dò địa chấn - loại 24 mạch (Triosx-24) | 150 | 10 | 2,00 | 4 | 343.379 |
| 467 | M201.0020 | Máy thủy bình điện tử | 180 | 10 | 2,80 | 4 | 15.822 |
| 468 | M201.0021 | Máy toàn đạc điện tử | 180 | 10 | 1,80 | 4 | 178.855 |
| 469 | M201.0022 | Bộ thiết bị khống chế mặt bằng GPS (3 máy) | 180 | 10 | 1,50 | 4 | 670.706 |
| 470 | M201.0023 | Ống nhòm | 180 | 10 | 2,00 | 4 | 1.147 |
| 471 | M201.0024 | Kính hiển vi | 200 | 10 | 1,80 | 4 | 8.943 |
| 472 | M201.0025 | Kính hiển vi điện tử quét | 200 | 10 | 1,20 | 4 | 3.221.684 |
| 473 | M201.0026 | Máy ảnh | 150 | 10 | 2,00 | 4 | 6.306 |
|
| M202.0000 | MÁY VÀ THIẾT BỊ THÍ NGHIỆM VẬT LIỆU, CẤU KIỆN VÀ KẾT CẤU XÂY DỰNG |
|
|
|
|
|
| 474 | M202.0001 | Cần Belkenman | 180 | 10 | 2,80 | 4 | 20.866 |
| 475 | M202.0002 | Thiết bị đếm phóng xạ | 180 | 10 | 2,20 | 4 | 142.511 |
| 476 | M202.0003 | TRL Profile Beam | 180 | 10 | 1,80 | 4 | 399.443 |
| 477 | M202.0004 | Máy FWD | 180 | 10 | 1,40 | 4 | 2.056.833 |
| 478 | M202.0005 | Thiết bị đo phản ứng Romdas | 180 | 10 | 3,00 | 4 | 92.408 |
| 479 | M202.0006 | Bộ thiết bị PIT (đo biến dạng nhỏ) | 180 | 10 | 2,20 | 4 | 348.767 |
| 480 | M202.0007 | Bộ thiết bị đo PDA (đo biến dạng lớn) | 180 | 10 | 1,40 | 4 | 1.371.222 |
| 481 | M202.0008 | Bộ thiết bị siêu âm | 180 | 10 | 2,00 | 4 | 573.827 |
| 482 | M202.0009 | Cân điện tử | 200 | 10 | 1,80 | 4 | 8.255 |
| 483 | M202.0010 | Cân phân tích | 200 | 10 | 1,80 | 4 | 12.726 |
| 484 | M202.0011 | Cân bàn | 200 | 10 | 1,80 | 4 | 4.815 |
| 485 | M202.0012 | Cân thủy tĩnh | 200 | 10 | 1,80 | 4 | 5.618 |
| 486 | M202.0013 | Lò nung | 200 | 10 | 4,00 | 4 | 14.217 |
| 487 | M202.0014 | Tủ sấy | 200 | 10 | 4,50 | 4 | 12.268 |
| 488 | M202.0015 | Tủ hút khí độc | 200 | 10 | 4,00 | 4 | 12.268 |
| 489 | M202.0016 | Tủ lạnh | 250 | 10 | 4,00 | 4 | 7.796 |
| 490 | M202.0017 | Máy hút chân không | 200 | 10 | 4,50 | 4 | 3.783 |
| 491 | M202.0018 | Máy hút ẩm OASIS-America | 200 | 10 | 4,00 | 4 | 10.319 |
| 492 | M202.0019 | Bếp điện | 150 | 30 | 6,50 | 4 | 803 |
| 493 | M202.0020 | Bếp cát | 150 | 30 | 6,50 | 4 | 1.032 |
| 494 | M202.0021 | Máy chưng cất nước | 200 | 10 | 3,50 | 4 | 7.567 |
| 495 | M202.0022 | Máy trộn đất | 200 | 10 | 3,50 | 4 | 6.306 |
| 496 | M202.0023 | Máy trộn xi măng, dung tích 5lít | 200 | 10 | 3,50 | 4 | 19.949 |
| 497 | M202.0024 | Máy trộn dung dịch lỏng (máy đo độ rung vữa) | 200 | 10 | 3,50 | 4 | 16.968 |
| 498 | M202.0025 | Máy đầm tiêu chuẩn | 200 | 10 | 4,50 | 4 | 6.306 |
| 499 | M202.0026 | Máy cắt đất | 200 | 10 | 3,00 | 4 | 2.637 |
| 500 | M202.0027 | Máy cắt mẫu lớn (30 x 30) cm | 200 | 10 | 3,00 | 4 | 17.198 |
| 501 | M202.0028 | Máy cắt ứng biến | 200 | 10 | 2,20 | 4 | 163.950 |
| 502 | M202.0029 | Máy nén 3 trục | 200 | 10 | 1,60 | 4 | 779.854 |
| 503 | M202.0030 | Máy ép litvinốp | 200 | 10 | 3,00 | 4 | 17.886 |
| 504 | M202.0031 | Kích tháo mẫu | 200 | 10 | 2,20 | 4 | 7.796 |
| 505 | M202.0032 | Máy ép mẫu đá, bê tông | 200 | 10 | 2,20 | 4 | 166.931 |
| 506 | M202.0033 | Máy cắt mẫu vật liệu (bê tông, gạch, đá) | 200 | 10 | 3,50 | 4 | 72.574 |
| 507 | M202.0034 | Máy khoan mẫu đá | 200 | 10 | 3,50 | 4 | 67.071 |
| 508 | M202.0035 | Máy mài thử độ mài mòn | 200 | 10 | 4,20 | 4 | 10.319 |
| 509 | M202.0036 | Máy nén một trục | 200 | 10 | 3,00 | 4 | 17.886 |
| 510 | M202.0037 | Máy nén Marshall | 200 | 10 | 2,20 | 4 | 264.728 |
| 511 | M202.0038 | Máy CBR | 200 | 10 | 2,50 | 4 | 78.994 |
| 512 | M202.0039 | Máy thí nghiệm thủy lực quay tay | 200 | 10 | 3,50 | 4 | 8.369 |
| 513 | M202.0040 | Máy nén 4 t (quay tay) | 200 | 10 | 3,50 | 4 | 7.796 |
| 514 | M202.0041 | Máy nén thủy lực 10 t | 200 | 10 | 3,50 | 4 | 21.440 |
| 515 | M202.0042 | Máy nén thủy lực 50 t | 200 | 10 | 3,50 | 4 | 35.656 |
| 516 | M202.0043 | Máy nén thủy lực 125 t | 200 | 10 | 3,50 | 4 | 47.695 |
| 517 | M202.0044 | Máy nén thủy lực 200 t | 200 | 10 | 3,50 | 4 | 62.000 |
| 518 | M202.0045 | Máy kéo nén thủy lực 100 t | 200 | 10 | 3,50 | 4 | 52.166 |
| 519 | M202.0046 | Máy kéo nén uốn thủy lực 25 t | 200 | 10 | 3,50 | 4 | 28.892 |
| 520 | M202.0047 | Máy kéo nén uốn thủy lực 100 t | 200 | 10 | 2,20 | 4 | 241.340 |
| 521 | M202.0048 | Máy gia tải - 20 t | 200 | 10 | 3,50 | 4 | 37.261 |
| 522 | M202.0049 | Máy caragrang (làm thí nghiệm chảy) | 200 | 10 | 3,50 | 4 | 6.306 |
| 523 | M202.0050 | Máy xác định hệ số thấm | 200 | 10 | 2,50 | 4 | 86.447 |
| 524 | M202.0051 | Máy đo PH | 200 | 10 | 3,50 | 4 | 9.287 |
| 525 | M202.0052 | Máy đo âm thanh | 200 | 10 | 3,50 | 4 | 8.369 |
| 526 | M202.0053 | Máy đo chiều dày màng sơn | 200 | 10 | 2,50 | 4 | 107.772 |
| 527 | M202.0054 | Máy đo điện thế thí nghiệm ăn mòn cốt thép trong bê tông | 200 | 10 | 2,50 | 4 | 92.408 |
| 528 | M202.0055 | Máy đo vết nứt | 200 | 10 | 3,50 | 4 | 16.280 |
| 529 | M202.0056 | Máy đo tốc độ ăn mòn cốt thép trong bê tông | 200 | 10 | 2,20 | 4 | 134.027 |
| 530 | M202.0057 | Máy đo độ thấm của I-on Clo | 200 | 10 | 2,00 | 4 | 193.874 |
| 531 | M202.0058 | Dụng cụ đo độ cháy của than | 200 | 10 | 3,50 | 4 | 12.038 |
| 532 | M202.0059 | Máy đo gia tốc | 200 | 10 | 2,50 | 4 | 98.370 |
| 533 | M202.0060 | Máy ghi nhiệt ổn định | 200 | 10 | 3,50 | 4 | 16.854 |
| 534 | M202.0061 | Máy đo chuyển vị | 200 | 10 | 2,50 | 4 | 60.765 |
| 535 | M202.0062 | Máy xác định môđun | 200 | 10 | 3,00 | 4 | 31.300 |
| 536 | M202.0063 | Máy so màu ngọn lửa | 200 | 10 | 3,00 | 4 | 41.733 |
| 537 | M202.0064 | Máy so màu quang điện | 200 | 10 | 2,50 | 4 | 107.313 |
| 538 | M202.0065 | Máy đo độ dãn dài Bitum | 200 | 10 | 2,50 | 4 | 62.599 |
| 539 | M202.0066 | Máy chiết nhựa (Xốc lét) | 200 | 10 | 3,50 | 4 | 8.828 |
| 540 | M202.0067 | Bộ thí nghiệm độ co ngót, trương nở | 200 | 10 | 3,50 | 4 | 14.561 |
| 541 | M202.0068 | Bộ dụng cụ đo độ xuyên động hình côn DCP | 180 | 10 | 1,40 | 5 | 1.376 |
| 542 | M202.0069 | Thiết bị thử tỷ diện | 200 | 10 | 3,50 | 4 | 15.822 |
| 543 | M202.0070 | Bàn dằn | 200 | 10 | 3,50 | 4 | 26.828 |
| 544 | M202.0071 | Bàn rung | 200 | 10 | 3,50 | 4 | 9.745 |
| 545 | M202.0072 | Máy khuấy bằng từ | 200 | 10 | 3,50 | 4 | 15.249 |
| 546 | M202.0073 | Máy khuấy cầm tay NAG-2 | 200 | 10 | 3,50 | 4 | 9.057 |
| 547 | M202.0074 | Máy nghiền bi sứ LE1 | 200 | 10 | 3,50 | 4 | 8.369 |
| 548 | M202.0075 | Máy phân tích hạt LAZER | 200 | 10 | 2,50 | 4 | 82.778 |
| 549 | M202.0076 | Máy phân tích vi nhiệt | 200 | 10 | 2,50 | 4 | 67.071 |
| 550 | M202.0077 | Tenxômét | 200 | 10 | 3,50 | 4 | 7.911 |
| 551 | M202.0078 | Máy đo độ giãn nở bê tông | 200 | 10 | 2,50 | 4 | 83.466 |
| 552 | M202.0079 | Máy đo hệ số dẫn nhiệt | 200 | 10 | 3,50 | 4 | 7.452 |
| 553 | M202.0080 | Máy nhiễu xạ Rơn ghen (phân tích thành phần hóa lý của vật liệu) | 200 | 10 | 1,20 | 4 | 2.364.900 |
| 554 | M202.0081 | Cần ép mẫu thử gạch chịu lửa | 120 | 30 | 6,50 | 4 | 1.147 |
| 555 | M202.0082 | Côn thử độ sụt | 120 | 30 | 6,50 | 4 | 909 |
| 556 | M202.0083 | Dụng cụ xác định độ chịu lực va đập xung kích gạch lát xi măng (viên bi sắt) | 120 | 30 | 6,50 | 4 | 1.147 |
| 557 | M202.0084 | Dụng cụ xác định giới hạn bền liên kết | 120 | 30 | 6,50 | 4 | 803 |
| 558 | M202.0085 | Chén bạch kim | 200 | 10 | 1,20 | 4 | 25.223 |
| 559 | M202.0086 | Kẹp niken | 200 | 10 | 1,80 | 4 | 9.057 |
| 560 | M202.0087 | Máy siêu âm đo chiều dầy kim loại | 200 | 10 | 3,00 | 4 | 42.306 |
| 561 | M202.0088 | Máy dò vị trí cốt thép | 200 | 10 | 2,50 | 4 | 67.071 |
| 562 | M202.0089 | Máy siêu âm kiểm tra chất lượng mối hàn | 200 | 10 | 2,20 | 4 | 153.517 |
| 563 | M202.0090 | Máy siêu âm kiểm tra cường độ bê tông của cấu kiện BT, BTCT tại hiện trường | 200 | 10 | 2,50 | 4 | 64.204 |
| 564 | M202.0091 | Súng bi | 200 | 10 | 3,50 | 4 | 8.599 |
| 565 | M202.0092 | Thiết bị hấp mẫu xi măng | 200 | 10 | 3,50 | 4 | 1.200 |
| 566 | M202.0093 | Bình hút ẩm | 200 | 10 | 3,50 | 4 | 500 |
| 567 | M202.0094 | Bộ dụng cụ xác định thấm nước | 200 | 10 | 3,50 | 4 | 22.000 |
| 568 | M202.0095 | Bơm thủy lực ZB4-500 | 200 | 10 | 3,50 | 4 | 16.360 |
| 569 | M202.0096 | Đồng hồ đo áp lực | 200 | 10 | 2,20 | 4 | 200 |
| 570 | M202.0097 | Đồng hồ đo biến dạng | 200 | 10 | 2,20 | 4 | 1.200 |
| 571 | M202.0098 | Đồng hồ đo nước | 200 | 10 | 2,20 | 4 | 2.800 |
| 572 | M202.0099 | Đồng hồ đo lún | 200 | 10 | 2,20 | 4 | 1.800 |
| 573 | M202.0100 | Đồng hồ Shore A | 200 | 10 | 2,20 | 4 | 1.500 |
| 574 | M202.0101 | Dụng cụ đo độ bền va đập | 200 | 10 | 6,50 | 4 | 1.200 |
| 575 | M202.0102 | Dụng cụ đo hệ số giãn nở ẩm | 200 | 10 | 6,50 | 4 | 5.000 |
| 576 | M202.0103 | Dụng cụ phá vỡ mẫu kính | 200 | 10 | 6,50 | 4 | 2.500 |
| 577 | M202.0104 | Dụng cụ thử thấm mực | 200 | 10 | 6,50 | 4 | 500 |
| 578 | M202.0105 | Dụng cụ Vica | 200 | 10 | 6,50 | 4 | 1.900 |
| 579 | M202.0106 | Dụng cụ xác định độ bền va đập | 200 | 10 | 6,50 | 4 | 90.000 |
| 580 | M202.0107 | Dụng cụ xác định độ bền va uốn | 200 | 10 | 6,50 | 4 | 80.000 |
| 581 | M202.0108 | Khuôn Capping mẫu | 200 | 10 | 6,50 | 4 | 1.500 |
| 582 | M202.0109 | Khuôn dập mẫu | 200 | 10 | 6,50 | 4 | 440 |
| 583 | M202.0110 | Kích kéo thủy lực 60 t | 200 | 10 | 2,20 | 4 | 20.455 |
| 584 | M202.0111 | Kích thủy lực 800 t | 200 | 10 | 2,20 | 4 | 124.150 |
| 585 | M202.0112 | Kính phóng đại đo lường | 200 | 10 | 2,50 | 4 | 3.500 |
| 586 | M202.0113 | Kính lúp | 200 | 10 | 2,50 | 4 | 200 |
| 587 | M202.0114 | Máy bộ đàm | 200 | 10 | 2,50 | 4 | 350 |
| 588 | M202.0115 | Máy cắt quay tay | 200 | 10 | 2,50 | 4 | 1.200 |
| 589 | M202.0116 | Máy cắt, mài mẫu vật liệu | 200 | 10 | 2,50 | 4 | 18.000 |
| 590 | M202.0117 | Máy đo dao động điện tử (kèm đầu đo dao động 3 chiều) | 200 | 10 | 2,50 | 4 | 6.300 |
| 591 | M202.0118 | Máy đo độ bóng | 200 | 10 | 2,50 | 4 | 6.500 |
| 592 | M202.0119 | Máy khoan HILTI hoặc loại tương tự | 200 | 10 | 2,50 | 4 | 15.000 |
| 593 | M202.0120 | Thiết bị đo độ dẫn nước | 200 | 10 | 3,50 | 4 | 2.500 |
| 594 | M202.0121 | Thiết bị đo độ dày | 200 | 10 | 3,50 | 4 | 1.500 |
| 595 | M202.0122 | Máy đo độ giãn nở nhiệt dài | 200 | 10 | 3,50 | 4 | 2.500 |
| 596 | M202.0123 | Máy dò khuyết tật | 200 | 10 | 3,50 | 4 | 3.500 |
| 597 | M202.0124 | Máy đo kích thước | 200 | 10 | 3,50 | 4 | 2.500 |
| 598 | M202.0125 | Máy đo thời gian khô màng sơn | 200 | 10 | 3,50 | 4 | 3.000 |
| 599 | M202.0126 | Máy đo ứng suất bề mặt | 200 | 10 | 3,50 | 4 | 5.000 |
| 600 | M202.0127 | Máy đo ứng suất điện tử | 200 | 10 | 3,50 | 4 | 5.000 |
| 601 | M202.0128 | Máy Hveem | 200 | 10 | 2,50 | 4 | 15.000 |
| 602 | M202.0129 | Máy kéo vải địa kỹ thuật | 200 | 10 | 2,50 | 4 | 220.000 |
| 603 | M202.0130 | Máy kéo, nén WDW-100 | 200 | 10 | 2,50 | 4 | 220.000 |
| 604 | M202.0131 | Máy thử cơ lý thạch cao | 200 | 10 | 2,50 | 4 | 5.000 |
| 605 | M202.0132 | Máy kiểm tra độ cứng | 200 | 10 | 2,50 | 4 | 9.900 |
| 606 | M202.0133 | Máy làm sạch bằng siêu âm | 200 | 10 | 2,50 | 4 | 3.500 |
| 607 | M202.0134 | Máy mài mòn bề mặt | 200 | 10 | 2,50 | 4 | 18.000 |
| 608 | M202.0135 | Máy mài mòn sâu | 200 | 10 | 2,50 | 4 | 4.500 |
| 609 | M202.0136 | Máy nén cố kết | 200 | 10 | 2,50 | 4 | 25.000 |
| 610 | M202.0137 | Máy phân tích thành phần kim loại | 200 | 10 | 2,50 | 4 | 10.000 |
| 611 | M202.0138 | Máy quang phổ đo hệ số phản xạ ánh sáng | 200 | 10 | 2,50 | 4 | 50.000 |
| 612 | M202.0139 | Máy quang phổ đo hệ số truyền sáng | 200 | 10 | 2,50 | 4 | 60.000 |
| 613 | M202.0140 | Máy siêu âm đo vết nứt | 200 | 10 | 2,50 | 4 | 36.500 |
| 614 | M202.0141 | Máy soi kim tương | 200 | 10 | 2,20 | 4 | 10.000 |
| 615 | M202.0142 | Máy thấm | 200 | 10 | 2,20 | 4 | 19.900 |
| 616 | M202.0143 | Máy thử độ bền nén, uốn | 200 | 10 | 2,20 | 4 | 210.000 |
| 617 | M202.0144 | Máy thử độ bục | 200 | 10 | 1,80 | 4 | 5.000 |
| 618 | M202.0145 | Máy thử độ rơi côn | 200 | 10 | 1,80 | 4 | 4.500 |
| 619 | M202.0146 | Máy uốn gạch | 200 | 10 | 1,80 | 4 | 80.000 |
| 620 | M202.0147 | Nồi hấp áp suất cao (Autoclave) | 200 | 10 | 3,50 | 4 | 5.500 |
| 621 | M202.0148 | Thiết bị đo chuyển vị Indicator | 200 | 10 | 3,50 | 4 | 15.000 |
| 622 | M202.0149 | Thiết bị đo điểm sương | 200 | 10 | 3,50 | 4 | 10.000 |
| 623 | M202.0150 | Thiết bị đo độ bền ẩm | 200 | 10 | 3,50 | 4 | 10.000 |
| 624 | M202.0151 | Thiết bị đo độ cứng màng sơn | 200 | 10 | 3,50 | 4 | 5.000 |
| 625 | M202.0152 | Thiết bị đo độ dày | 200 | 10 | 3,50 | 4 | 1.500 |
| 626 | M202.0153 | Thiết bị đo hệ số ma sát | 200 | 10 | 3,50 | 4 | 5.000 |
| 627 | M202.0154 | Thiết bị đo thử độ kín | 200 | 10 | 3,50 | 4 | 5.000 |
| 628 | M202.0155 | Thiết bị thử tính năng sử dụng của sứ vệ sinh | 200 | 10 | 2,80 | 4 | 15.000 |
| 629 | M202.0156 | Thiết bị thử va đập phản hồi | 200 | 10 | 2,80 | 4 | 10.000 |
| 630 | M202.0157 | Tủ chiếu UV | 200 | 10 | 2,80 | 4 | 5.000 |
| 631 | M202.0158 | Tủ khí hậu | 200 | 10 | 2,80 | 4 | 60.000 |
| 632 | M202.0159 | Thước đo vết nứt | 200 | 10 | 2,80 | 4 | 139 |
| 633 | M202.0160 | Vi kế | 200 | 10 | 2,80 | 4 | 139 |
| 634 | M202.0161 | Máy scanner (khổ Ao) | 150 | 13 | 3,00 | 4 | 119.581 |
| 635 | M202.0162 | Máy vẽ plotter | 220 | 13 | 3,00 | 4 | 99.975 |
| 636 | M202.0163 | Máy vi tính | 220 | 13 | 4,00 | 4 | 10.089 |
| 637 | M202.0164 | Máy tính xách tay | 220 | 13 | 3,50 | 4 | 18.917 |
|
| M203.0000 | MÁY VÀ THIẾT BỊ THÍ NGHIỆM ĐIỆN, ĐƯỜNG DÂY VÀ TRẠM BIẾN ÁP |
|
|
|
|
|
| 638 | M203.0001 | Bộ tạo nguồn 3 pha | 220 | 10 | 3,50 | 5 | 508.246 |
| 639 | M203.0002 | Bộ nguồn AC-DC | 220 | 10 | 3,50 | 5 | 49.988 |
| 640 | M203.0003 | Công tơ mẫu xách tay | 220 | 10 | 3,50 | 5 | 210.613 |
| 641 | M203.0004 | Hộp bộ đo tgd Delta | 220 | 10 | 3,50 | 5 | 1.000.900 |
| 642 | M203.0005 | Hợp bộ đo lường | 220 | 10 | 3,50 | 5 | 946.212 |
| 643 | M203.0006 | Hợp bộ phân tích hàm lượng khí | 220 | 10 | 3,50 | 5 | 1.618.868 |
| 644 | M203.0007 | Hợp bộ thí nghiệm cao áp | 220 | 10 | 3,50 | 5 | 507.559 |
| 645 | M203.0008 | Hợp bộ thí nghiệm rơle | 220 | 10 | 3,50 | 5 | 955.957 |
| 646 | M203.0009 | Máy điều chỉnh điện áp 1pha | 220 | 10 | 3,50 | 5 | 19.835 |
| 647 | M203.0010 | Máy đo độ A xít | 220 | 10 | 3,50 | 5 | 182.524 |
| 648 | M203.0011 | Máy đo độ chớp cháy kín | 220 | 10 | 3,50 | 5 | 174.957 |
| 649 | M203.0012 | Máy đo độ nhớt | 220 | 10 | 3,50 | 5 | 150.307 |
| 650 | M203.0013 | Máy đo điện áp xuyên thủng | 220 | 10 | 3,50 | 5 | 36.574 |
| 651 | M203.0014 | Máy đo điện trở một chiều | 220 | 10 | 3,50 | 5 | 179.658 |
| 652 | M203.0015 | Máy đo điện trở tiếp địa | 220 | 10 | 3,50 | 5 | 61.109 |
| 653 | M203.0016 | Máy đo điện trở tiếp xúc | 220 | 10 | 3,50 | 5 | 104.905 |
| 654 | M203.0017 | Cầu đo tang dầu cách điện | 220 | 10 | 3,50 | 5 | 365.277 |
| 655 | M203.0018 | Máy đo tỷ trọng | 220 | 10 | 3,50 | 5 | 73.491 |
| 656 | M203.0019 | Máy đo vạn năng | 220 | 10 | 3,50 | 5 | 151.224 |
| 657 | M203.0020 | Máy chụp sóng | 220 | 10 | 3,50 | 5 | 521.317 |
| 658 | M203.0021 | Máy kiểm tra độ ổn định oxy hóa dầu | 220 | 10 | 3,50 | 5 | 374.105 |
| 659 | M203.0022 | Máy phát tần số | 220 | 10 | 3,50 | 5 | 133.224 |
| 660 | M203.0023 | Máy phân tích độ ẩm khí SF6 | 220 | 10 | 3,50 | 5 | 184.244 |
| 661 | M203.0024 | Máy đo vi lượng ẩm | 220 | 10 | 3,50 | 5 | 166.702 |
| 662 | M203.0025 | Mê gôm mét | 220 | 10 | 3,50 | 5 | 50.446 |
| 663 | M203.0026 | Thiết bị kiểm tra áp lực | 220 | 10 | 3,50 | 5 | 86.332 |
| 664 | M203.0027 | Thiết bị tạo dòng điện | 220 | 10 | 3,50 | 5 | 499.762 |
[1] Thông tư số 02/2020/TT-BXD ngày 20 tháng 7 năm 2020 của Bộ trưởng Bộ Xây dựng sửa đổi, bổ sung một số điều của 04 Thông tư có liên quan đến quản lý chi phí đầu tư xây dựng có hiệu lực kể từ ngày 05 tháng 9 năm 2020, có căn cứ ban hành như sau:
“Căn cứ Luật Xây dựng ngày 18 tháng 6 năm 2014;
Căn cứ Luật sửa đổi, bổ sung một số điều của Luật Xây dựng ngày 17 tháng 6 năm 2020;
Căn cứ Nghị định số 81/2017/NĐ-CP ngày 17 tháng 7 năm 2017 của Chính phủ quy định chức năng, nhiệm vụ, quyền hạn và cơ cấu tổ chức của Bộ Xây dựng;
Căn cứ Nghị định số 68/2019/NĐ-CP ngày 14 tháng 8 năm 2019 của Chính phủ về quản lý chi phí đầu tư xây dựng;
Thực hiện Nghị quyết số 84/NQ-CP ngày 29 tháng 5 năm 2020 của Chính phủ về các nhiệm vụ, giải pháp tiếp tục tháo gỡ khó khăn cho sản xuất kinh doanh, thúc đẩy giải ngân vốn đầu tư công và bảo đảm trật tự an toàn xã hội trong bối cảnh đại dịch COVID-19;
Thực hiện Nghị quyết số 108/NQ-CP ngày 17 tháng 7 năm 2020 của Chính phủ về một số nhiệm vụ, giải pháp tháo gỡ khó khăn, vướng mắc trong quá trình triển khai Nghị định số 68/2019/NĐ-CP về quản lý chi phí đầu tư xây dựng;
Theo đề nghị của Viện trưởng Viện Kinh tế xây dựng và Cục trưởng Cục Kinh tế xây dựng;”
[2] Khoản này được sửa đổi, bổ sung tại khoản 1 Điều 3 Thông tư số 02/2020/TT-BXD ngày 20 tháng 7 năm 2020 của Bộ trưởng Bộ Xây dựng, có hiệu lực kể từ ngày 05 tháng 9 năm 2020
[3] Điều 5 của Thông tư số 02/2020/TT-BXD ngày 20 tháng 7 năm 2020 của Bộ trưởng Bộ Xây dựng sửa đổi, bổ sung một số điều của 04 Thông tư có liên quan đến quản lý chi phí đầu tư xây dựng có hiệu lực kể từ ngày 05 tháng 9 năm 2020, quy định như sau:
“Điều 5. Điều khoản thi hành
1. Thông tư này có hiệu lực kể từ ngày 05/9/2020. Thông tư số 01/2017/TT-BXD ngày 06/02/2017 của Bộ trưởng Bộ Xây dựng hướng dẫn xác định và quản lý chi phí khảo sát xây dựng hết hiệu lực kể từ ngày Thông tư này có hiệu lực thi hành.
2. Quy định chuyển tiếp:
a) Đối với các gói thầu xây dựng đã phát hành hồ sơ mời thầu, hồ sơ yêu cầu nhưng chưa đóng thầu trước thời điểm có hiệu lực của Thông tư này, thì Người quyết định đầu tư xem xét, quyết định việc áp dụng các quy định tại Thông tư này để thực hiện.
b) Đối với các gói thầu xây dựng đã đóng thầu trước thời điểm có hiệu lực của Thông tư này, thì thực hiện theo nội dung hồ sơ mời thầu, hồ sơ yêu cầu, hồ sơ dự thầu, hồ sơ đề xuất./.”
[4] Cụm từ “thuế VAT” được thay thế bằng cụm từ “thuế giá trị gia tăng” theo quy định tại điểm 1.1 khoản 1 mục I Phụ lục III Thông tư số 02/2020/TT-BXD ngày 20 tháng 7 năm 2020 của Bộ trưởng Bộ Xây dựng, có hiệu lực kể từ ngày 05 tháng 9 năm 2020
[5] Cụm từ “chi phí gián tiếp trong dự toán xây dựng công trình” được thay thế bằng cụm từ “chi phí khác trong dự toán xây dựng công trình” theo quy định tại điểm 1.1 khoản 1 mục I Phụ lục III Thông tư số 02/2020/TT-BXD ngày 20 tháng 7 năm 2020 của Bộ trưởng Bộ Xây dựng, có hiệu lực kể từ ngày 05 tháng 9 năm 2020
[6] Cụm từ “Đối với những máy làm việc ở vùng nước mặn, nước lợ và trong môi trường ăn mòn cao thì định mức khấu hao được điều chỉnh với hệ số 1,05” được bổ sung theo quy định tại điểm 1.2 khoản 1 mục I Phụ lục III Thông tư số 02/2020/TT-BXD ngày 20 tháng 7 năm 2020 của Bộ trưởng Bộ Xây dựng, có hiệu lực kể từ ngày 05 tháng 9 năm 2020
[7] Cụm từ “Chi phí sửa chữa máy là các khoản chi phí để bảo dưỡng, sửa chữa máy định kỳ, sửa chữa máy đột xuất trong quá trình sử dụng máy nhằm duy trì và khôi phục năng lực hoạt động tiêu chuẩn của máy” được bổ sung theo quy định tại điểm 2.1 khoản 2 mục I Phụ lục III Thông tư số 02/2020/TT-BXD ngày 20 tháng 7 năm 2020 của Bộ trưởng Bộ Xây dựng, có hiệu lực kể từ ngày 05 tháng 9 năm 2020
[8] Cụm từ “Đối với những máy làm việc ở vùng nước mặn, nước lợ và trong môi trường ăn mòn cao thì định mức sửa chữa được điều chỉnh với hệ số 1,05” được bổ sung theo quy định tại điểm 2.2 khoản 2 mục I Phụ lục III Thông tư số 02/2020/TT-BXD ngày 20 tháng 7 năm 2020 của Bộ trưởng Bộ Xây dựng, có hiệu lực kể từ ngày 05 tháng 9 năm 2020
[9] Tên khoản này được sổi đổi theo quy định tại khoản 3 mục I Phụ lục III Thông tư số 02/2020/TT-BXD ngày 20 tháng 7 năm 2020 của Bộ trưởng Bộ Xây dựng, có hiệu lực kể từ ngày 05 tháng 9 năm 2020
[10] Nội dung “Chi phí khác trong giá ca máy là các khoản chi phí cần thiết đảm bảo để máy hoạt động bình thường, có hiệu quả tại công trình, gồm bảo hiểm máy, thiết bị trong quá trình sử dụng; bảo quản máy và phục vụ cho công tác bảo dưỡng kỹ thuật trong bảo quản máy; đăng kiểm các loại; di chuyển máy trong nội bộ công trình và các khoản chi phí có liên quan trực tiếp đến quản lý máy và sử dụng máy tại công trình chưa được tính trong các nội dung chi phí khác trong giá xây dựng công trình, dự toán xây dựng” được bổ sung theo quy định tại khoản 3 mục I Phụ lục III Thông tư số 02/2020/TT-BXD ngày 20 tháng 7 năm 2020 của Bộ trưởng Bộ Xây dựng, có hiệu lực kể từ ngày 05 tháng 9 năm 2020
[11] Nội dung “Trường hợp một trong định mức các hao phí xác định giá ca máy thiếu số liệu khảo sát hoặc không đủ cơ sở, tài liệu để khảo sát số liệu thì được xác định bằng cách tính toán áp dụng quy định định mức của các loại máy có cùng tính năng kỹ thuật nhưng khác về công suất hoặc thông số kỹ thuật chủ yếu tại Phụ lục số 2 Thông tư này” được bổ sung theo quy định tại điểm 4.1 khoản 4 mục I Phụ lục III Thông tư số 02/2020/TT-BXD ngày 20 tháng 7 năm 2020 của Bộ trưởng Bộ Xây dựng, có hiệu lực kể từ ngày 05 tháng 9 năm 2020
[12] Điểm này được sửa đổi, bổ sung theo quy định tại điểm 4.2 khoản 4 mục I Phụ lục III Thông tư số 02/2020/TT-BXD ngày 20 tháng 7 năm 2020 của Bộ trưởng Bộ Xây dựng, có hiệu lực kể từ ngày 05 tháng 9 năm 2020
[25] Cụm từ “hàm kẹp” được bổ sung theo quy định tại khoản 1.1 mục II Phụ lục III Thông tư số 02/2020/TT-BXD ngày 20 tháng 7 năm 2020 của Bộ trưởng Bộ Xây dựng, có hiệu lực kể từ ngày 05 tháng 9 năm 2020
[26] Máy thi công số thứ tự “18a” được bổ sung theo quy định tại khoản 1.2 mục II Phụ lục III Thông tư số 02/2020/TT-BXD ngày 20 tháng 7 năm 2020 của Bộ trưởng Bộ Xây dựng, có hiệu lực kể từ ngày 05 tháng 9 năm 2020
[27] Máy thi công số thứ tự “23a” được bổ sung theo quy định tại khoản 1.2 mục II Phụ lục III Thông tư số 02/2020/TT-BXD ngày 20 tháng 7 năm 2020 của Bộ trưởng Bộ Xây dựng, có hiệu lực kể từ ngày 05 tháng 9 năm 2020
[28] Thông số máy lu “8,5t” được sửa đổi bằng “8,5 t ÷ 9 t” theo quy định tại khoản 1.1 mục II Phụ lục III Thông tư số 02/2020/TT-BXD ngày 20 tháng 7 năm 2020 của Bộ trưởng Bộ Xây dựng, có hiệu lực kể từ ngày 05 tháng 9 năm 2020
[29] Máy thi công số thứ tự “52a” được bổ sung theo quy định tại khoản 1.2 mục II Phụ lục III Thông tư số 02/2020/TT-BXD ngày 20 tháng 7 năm 2020 của Bộ trưởng Bộ Xây dựng, có hiệu lực kể từ ngày 05 tháng 9 năm 2020
[30] Máy thi công số thứ tự “52b” được bổ sung theo quy định tại khoản 1.2 mục II Phụ lục III Thông tư số 02/2020/TT-BXD ngày 20 tháng 7 năm 2020 của Bộ trưởng Bộ Xây dựng, có hiệu lực kể từ ngày 05 tháng 9 năm 2020
[31] Thông số cần cẩu bánh hơi “63t” được sửa đổi bằng “63 t ÷ 65 t” theo quy định tại khoản 1.1 mục II Phụ lục III Thông tư số 02/2020/TT-BXD ngày 20 tháng 7 năm 2020 của Bộ trưởng Bộ Xây dựng, có hiệu lực kể từ ngày 05 tháng 9 năm 2020
[32] Định mức khấu hao năm “7,0” của cần cẩu bánh hơi sức nâng 80t được sửa đổi theo quy định tại khoản 1.1 mục II Phụ lục III Thông tư số 02/2020/TT-BXD ngày 20 tháng 7 năm 2020 của Bộ trưởng Bộ Xây dựng, có hiệu lực kể từ ngày 05 tháng 9 năm 2020
[33] Thông số cần cẩu bánh hơi “130t” được sửa đổi bằng “125 t ÷ 130 t” theo quy định tại khoản 1.1 mục II Phụ lục III Thông tư số 02/2020/TT-BXD ngày 20 tháng 7 năm 2020 của Bộ trưởng Bộ Xây dựng, có hiệu lực kể từ ngày 05 tháng 9 năm 2020
[34] Thông số cần cẩu bánh xích “63t” được sửa đổi bằng “63 t ÷ 65 t” theo quy định tại khoản 1.1 mục II Phụ lục III Thông tư số 02/2020/TT-BXD ngày 20 tháng 7 năm 2020 của Bộ trưởng Bộ Xây dựng, có hiệu lực kể từ ngày 05 tháng 9 năm 2020
[35] Thông số cần cẩu bánh xích “130t” được sửa đổi bằng “125 t ÷ 130 t” theo quy định tại khoản 1.1 mục II Phụ lục III Thông tư số 02/2020/TT-BXD ngày 20 tháng 7 năm 2020 của Bộ trưởng Bộ Xây dựng, có hiệu lực kể từ ngày 05 tháng 9 năm 2020
[36] Cụm từ “167 kWh” được sửa đổi bằng cụm từ “232 kWh” theo quy định tại khoản 1.1 mục II Phụ lục III Thông tư số 02/2020/TT-BXD ngày 20 tháng 7 năm 2020 của Bộ trưởng Bộ Xây dựng, có hiệu lực kể từ ngày 05 tháng 9 năm 2020, có hiệu lực kể từ ngày 05 tháng 9 năm 2020.
[37] Định mức khấu hao năm “13,0” của ô tô đầu kéo, công suất 150cv được sửa đổi theo quy định tại khoản 1.1 mục II Phụ lục III Thông tư số 02/2020/TT-BXD ngày 20 tháng 7 năm 2020 của Bộ trưởng Bộ Xây dựng, có hiệu lực kể từ ngày 05 tháng 9 năm 2020
[38] Định mức khấu hao năm “13,0” của ô tô đầu kéo, công suất 200cv được sửa đổi theo quy định tại khoản 1.1 mục II Phụ lục III Thông tư số 02/2020/TT-BXD ngày 20 tháng 7 năm 2020 của Bộ trưởng Bộ Xây dựng, có hiệu lực kể từ ngày 05 tháng 9 năm 2020
[39] Máy thi công số thứ tự “260a” được bổ sung theo quy định tại khoản 1.2 mục II Phụ lục III Thông tư số 02/2020/TT-BXD ngày 20 tháng 7 năm 2020 của Bộ trưởng Bộ Xây dựng, có hiệu lực kể từ ngày 05 tháng 9 năm 2020
[40] Máy thi công số thứ tự “276” được bổ sung theo quy định tại khoản 1.2 mục II Phụ lục III Thông tư số 02/2020/TT-BXD ngày 20 tháng 7 năm 2020 của Bộ trưởng Bộ Xây dựng, có hiệu lực kể từ ngày 05 tháng 9 năm 2020
[41] Máy thi công số thứ tự “283a” được bổ sung theo quy định tại khoản 1.2 mục II Phụ lục III Thông tư số 02/2020/TT-BXD ngày 20 tháng 7 năm 2020 của Bộ trưởng Bộ Xây dựng, có hiệu lực kể từ ngày 05 tháng 9 năm 2020
[42] Máy thi công số thứ tự “296a” được bổ sung theo quy định tại khoản 1.2 mục II Phụ lục III Thông tư số 02/2020/TT-BXD ngày 20 tháng 7 năm 2020 của Bộ trưởng Bộ Xây dựng, có hiệu lực kể từ ngày 05 tháng 9 năm 2020
[43] Máy thi công số thứ tự “296b” được bổ sung theo quy định tại khoản 1.2 mục II Phụ lục III Thông tư số 02/2020/TT-BXD ngày 20 tháng 7 năm 2020 của Bộ trưởng Bộ Xây dựng, có hiệu lực kể từ ngày 05 tháng 9 năm 2020
[44] Máy thi công số thứ tự “301a” được bổ sung theo quy định tại khoản 1.2 mục II Phụ lục III Thông tư số 02/2020/TT-BXD ngày 20 tháng 7 năm 2020 của Bộ trưởng Bộ Xây dựng, có hiệu lực kể từ ngày 05 tháng 9 năm 2020
[45] Máy thi công số thứ tự “302a” được bổ sung theo quy định tại khoản 1.2 mục II Phụ lục III Thông tư số 02/2020/TT-BXD ngày 20 tháng 7 năm 2020 của Bộ trưởng Bộ Xây dựng, có hiệu lực kể từ ngày 05 tháng 9 năm 2020
[46] Máy thi công số thứ tự “313a” được bổ sung theo quy định tại khoản 1.2 mục II Phụ lục III Thông tư số 02/2020/TT-BXD ngày 20 tháng 7 năm 2020 của Bộ trưởng Bộ Xây dựng, có hiệu lực kể từ ngày 05 tháng 9 năm 2020
[47] Định mức khấu hao năm “9,5” của tàu kéo và phụ vụ thi công thủy, công suất 250cv được sửa đổi theo quy định tại khoản 1.1 mục II Phụ lục III Thông tư số 02/2020/TT-BXD ngày 20 tháng 7 năm 2020 của Bộ trưởng Bộ Xây dựng, có hiệu lực kể từ ngày 05 tháng 9 năm 2020.
[48] Máy thi công số thứ tự “335a” được bổ sung theo quy định tại khoản 1.2 mục II Phụ lục III Thông tư số 02/2020/TT-BXD ngày 20 tháng 7 năm 2020 của Bộ trưởng Bộ Xây dựng, có hiệu lực kể từ ngày 05 tháng 9 năm 2020
[49] Thông số tàu hút công suất “ 4170 cv” được sửa đổi bằng “3958 cv ÷ 4170 cv” theo quy định tại khoản 1.1 mục II Phụ lục III Thông tư số 02/2020/TT-BXD ngày 20 tháng 7 năm 2020 của Bộ trưởng Bộ Xây dựng, có hiệu lực kể từ ngày 05 tháng 9 năm 2020
[50] Định mức nhân công điều khiển máy được bãi bỏ theo quy định tại khoản 1.1 mục II Phụ lục III Thông tư số 02/2020/TT-BXD ngày 20 tháng 7 năm 2020 của Bộ trưởng Bộ Xây dựng, có hiệu lực kể từ ngày 05 tháng 9 năm 2020
[51] Định mức nhân công điều khiển máy được bãi bỏ theo quy định tại khoản 1.1 mục II Phụ lục III Thông tư số 02/2020/TT-BXD ngày 20 tháng 7 năm 2020 của Bộ trưởng Bộ Xây dựng, có hiệu lực kể từ ngày 05 tháng 9 năm 2020
[52] Máy thi công số thứ tự “360a” được bổ sung theo quy định tại khoản 1.2 mục II Phụ lục III Thông tư số 02/2020/TT-BXD ngày 20 tháng 7 năm 2020 của Bộ trưởng Bộ Xây dựng, có hiệu lực kể từ ngày 05 tháng 9 năm 2020
[53] Máy thi công số thứ tự “360b” được bổ sung theo quy định tại khoản 1.2 mục II Phụ lục III Thông tư số 02/2020/TT-BXD ngày 20 tháng 7 năm 2020 của Bộ trưởng Bộ Xây dựng, có hiệu lực kể từ ngày 05 tháng 9 năm 2020
[54] Định mức nhân công điều khiển máy được bãi bỏ theo quy định tại khoản 1.1 mục II Phụ lục III Thông tư số 02/2020/TT-BXD ngày 20 tháng 7 năm 2020 của Bộ trưởng Bộ Xây dựng, có hiệu lực kể từ ngày 05 tháng 9 năm 2020
[55] Định mức nhân công điều khiển máy được bãi bỏ theo quy định tại khoản 1.1 mục II Phụ lục III Thông tư số 02/2020/TT-BXD ngày 20 tháng 7 năm 2020 của Bộ trưởng Bộ Xây dựng, có hiệu lực kể từ ngày 05 tháng 9 năm 2020
[56] Thông số máy khoan sắt cầm tay “13mm” được sửa đổi bằng “1,7kW” theo quy định tại khoản 1.1 mục II Phụ lục III Thông tư số 02/2020/TT-BXD ngày 20 tháng 7 năm 2020 của Bộ trưởng Bộ Xây dựng, có hiệu lực kể từ ngày 05 tháng 9 năm 2020
[57] Máy thi công số thứ tự “403a” được bổ sung theo quy định tại khoản 1.2 mục II Phụ lục III Thông tư số 02/2020/TT-BXD ngày 20 tháng 7 năm 2020 của Bộ trưởng Bộ Xây dựng, có hiệu lực kể từ ngày 05 tháng 9 năm 2020
[58] Máy thi công số thứ tự “403b” được bổ sung theo quy định tại khoản 1.2 mục II Phụ lục III Thông tư số 02/2020/TT-BXD ngày 20 tháng 7 năm 2020 của Bộ trưởng Bộ Xây dựng, có hiệu lực kể từ ngày 05 tháng 9 năm 2020
[59] Máy thi công số thứ tự “408a” được bổ sung theo quy định tại khoản 1.2 mục II Phụ lục III Thông tư số 02/2020/TT-BXD ngày 20 tháng 7 năm 2020 của Bộ trưởng Bộ Xây dựng, có hiệu lực kể từ ngày 05 tháng 9 năm 2020
[60] Thông số máy uốn ống, công suất “2,8 kW” được sửa đổi bằng “2,0 kW÷2,8 kW” theo quy định tại khoản 1.1 mục II Phụ lục III Thông tư số 02/2020/TT-BXD ngày 20 tháng 7 năm 2020 của Bộ trưởng Bộ Xây dựng, có hiệu lực kể từ ngày 05 tháng 9 năm 2020
[61] Máy thi công số thứ tự “431a” được bổ sung theo quy định tại khoản 1.2 mục II Phụ lục III Thông tư số 02/2020/TT-BXD ngày 20 tháng 7 năm 2020 của Bộ trưởng Bộ Xây dựng, có hiệu lực kể từ ngày 05 tháng 9 năm 2020
[62] Thông số máy hàn xoay chiều, công suất “14 kW” được sửa đổi bằng “14 kW ÷ 15 kW” theo quy định tại khoản 1.1 mục II Phụ lục III Thông tư số 02/2020/TT-BXD ngày 20 tháng 7 năm 2020 của Bộ trưởng Bộ Xây dựng, có hiệu lực kể từ ngày 05 tháng 9 năm 2020
Bạn chưa Đăng nhập thành viên.
Đây là tiện ích dành cho tài khoản thành viên. Vui lòng Đăng nhập để xem chi tiết. Nếu chưa có tài khoản, vui lòng Đăng ký tại đây!
Bạn chưa Đăng nhập thành viên.
Đây là tiện ích dành cho tài khoản thành viên. Vui lòng Đăng nhập để xem chi tiết. Nếu chưa có tài khoản, vui lòng Đăng ký tại đây!