- Tổng quan
- Nội dung
- Quy chuẩn liên quan
- Lược đồ
- Tải về
Quy chuẩn kỹ thuật quốc gia QCVN 32:2020/BTTTT Chống sét cho các trạm viễn thông
| Số hiệu: | QCVN 32:2020/BTTTT | Loại văn bản: | Quy chuẩn Việt Nam |
| Cơ quan ban hành: | Bộ Thông tin và Truyền thông | Lĩnh vực: | Thông tin-Truyền thông |
|
Ngày ban hành:
Ngày ban hành là ngày, tháng, năm văn bản được thông qua hoặc ký ban hành.
|
17/07/2020 |
Hiệu lực:
|
Đã biết
|
| Người ký: | Đang cập nhật |
Tình trạng hiệu lực:
Cho biết trạng thái hiệu lực của văn bản đang tra cứu: Chưa áp dụng, Còn hiệu lực, Hết hiệu lực, Hết hiệu lực 1 phần; Đã sửa đổi, Đính chính hay Không còn phù hợp,...
|
Đã biết
|
TÓM TẮT QUY CHUẨN VIỆT NAM QCVN 32:2020/BTTTT
Quy chuẩn kỹ thuật quốc gia QCVN 32:2020/BTTTT: Áp dụng biện pháp chống sét cho trạm viễn thông
Quy chuẩn kỹ thuật quốc gia QCVN 32:2020/BTTTT được ban hành ngày 17 tháng 7 năm 2020 và có hiệu lực thi hành từ ngày ký, nhằm mục đích bảo vệ các trạm viễn thông và mạng cáp ngoại vi viễn thông khỏi thiệt hại do sét gây ra. Văn bản này thay thế cho QCVN 32:2011/BTTTT, mở rộng phạm vi và cụ thể hóa các yêu cầu kỹ thuật liên quan đến bảo vệ chống sét.
Quy chuẩn này quy định các tiêu chí về mức độ rủi ro tối đa có thể chấp nhận được từ sét đối với trạm viễn thông, cụ thể là rủi ro tổn thất về con người ở mức 1/100.000 năm (10^-5) và tổn thất dịch vụ ở mức 1/1.000 năm (10^-3). Điều này có nghĩa là các tổ chức cần phải thực hiện các biện pháp bảo vệ, đảm bảo rằng giá trị rủi ro không được vượt quá các mức quy định.
Đối với hệ thống bảo vệ chống sét, Quy chuẩn chỉ định 4 mức bảo vệ khác nhau (LPL I – IV) phù hợp với cường độ dòng sét khả thi. Cụ thể, mức I cho phép dòng sét tối đa là 200 kA, trong khi mức IV giới hạn ở 100 kA. Bảng quy định kèm theo chi tiết thông tin về dòng đỉnh lớn nhất và nhỏ nhất tương ứng với từng mức bảo vệ.
Ngoài ra, quy chuẩn cũng đưa ra chỉ dẫn rõ ràng về các biện pháp bảo vệ cần thiết cho trạm viễn thông, bao gồm việc lắp đặt hệ thống điện cực thu sét, hệ thống dẫn sét xuống và tiếp đất, nhằm giảm thiểu thiệt hại vật lý do sét đánh trực tiếp.
Cách thức tính toán rủi ro do sét gây ra được trình bày chi tiết qua nhiều công thức, bao gồm các yếu tố như mật độ sét của khu vực, diện tích rủi ro, và các biện pháp bảo vệ thiết lập. Mật độ sét (ground flash density) đo lường tần suất sét đánh trong một năm trên một kilômét vuông, thông qua đó giúp xác định tần suất thiệt hại và rủi ro cho trạm viễn thông.
Quy định về quản lý và trách nhiệm cũng được nêu rõ, yêu cầu các đơn vị có trạm viễn thông thực hiện công bố hợp quy về chỉ tiêu rủi ro phù hợp với quy định trong quy chuẩn, nhằm đảm bảo tính an toàn và hiệu quả trong hoạt động của hệ thống viễn thông.
Bằng việc ban hành Quy chuẩn này, Bộ Thông tin và Truyền thông hướng đến việc nâng cao khả năng bảo vệ các cơ sở hạ tầng viễn thông, đảm bảo an toàn cho người dân và duy trì chất lượng dịch vụ viễn thông, đồng thời định hướng các tổ chức, doanh nghiệp tuân thủ các quy định kỹ thuật chặt chẽ nhằm giảm thiểu thiệt hại do thiên tai.
Tải quy chuẩn Việt Nam QCVN 32:2020/BTTTT

CỘNG HÒA XÃ HỘI CHỦ NGHĨA VIỆT NAM
QCVN 32:2020/BTTTT
QUY CHUẨN KỸ THUẬT QUỐC GIA VỀ CHỐNG SÉT CHO CÁC TRẠM VIỄN THÔNG VÀ MẠNG CÁP NGOẠI VI VIỄN THÔNG
National technical regulation on lightning protection for telecommunication stations and outside cable network
HÀ NỘI - 2020
Mục lục
1. QUY ĐỊNH CHUNG ............................................................................................... 5
1.1. Phạm vi điều chỉnh .............................................................................................. 5
1.2. Tài liệu viện dẫn ................................................................................................... 5
1.3. Giải thích từ ngữ và chữ viết tắt ………………………………….………..……..…. 5
1.4. Quy trình quản lý rủi ro thiệt hại do sét ................................................................ 9
1.5. Các tiêu chí cơ bản về bảo vệ chống sét ............................................................ 10
2. QUY ĐỊNH KỸ THUẬT ............................................................................................ 12
2.1. Yêu cầu về rủi ro do sét gây ra ............................................................................. 12
2.1.1. Yêu cầu đối với trạm viễn thông ......................................................................... 12
2.1.2. Yêu cầu đối với mạng cáp ngoại vi viễn thông ................................................... 12
2.2. Phương pháp tính toán rủi ro do sét …………………………………………….……. 13
2.2.1. Tính toán rủi ro do sét gây ra đối với trạm viễn thông .......................................... 13
2.2.2. Tính toán rủi ro do sét gây ra đối với mạng cáp ngoại vi viễn thông .................... 16
3. QUY ĐỊNH VỀ QUẢN LÝ ………………………………………………………………….. 18
4. TRÁCH NHIỆM CỦA TỔ CHỨC, CÁ NHÂN .............................................................. 18
5. TỔ CHỨC THỰC HIỆN .............................................................................................. 19
Phụ lục A (Quy định) Các biện pháp bảo vệ chống sét cho trạm viễn thông .................. 20
Phụ lục B (Quy định) Xác định vị trí lắp đặt điện cực thu sét ............................................. 26
Phụ lục C (Quy định) Xác định dòng gây hư hỏng cho cáp kim loại và cáp quang có thành phần kim loại .................................................................................................................................... 31
Phụ lục D (Quy định) Tính toán hệ số che chắn của dây chống sét ngầm bảo vệ cáp thông tin chôn ngầm ....................................................................................................................................... 34
Phụ lục E (Tham khảo) Đặc điểm dông sét của Việt Nam ................................................ 36
Phụ lục F (Tham khảo) Tính toán rủi ro tổn thất cho một trạm viễn thông điển hình .......... 44
Thư mục tài liệu tham khảo ................................................................................................ 47
Lời nói đầu
QCVN 32:2020/BTTTT thay thế QCVN 32:2011/BTTTT
Các yêu cầu kỹ thuật và phương pháp tính, trong QCVN 32:2020/BTTTT được xây dựng trên cơ sở tiêu chuẩn IEC 62305 phần 1, 2, 3 (2010), và các Khuyến nghị K.39 (1996), K.40 (2018) và K.47 (2012) của ITU-T.
QCVN 32:2020/BTTTT do Viện Khoa học Kỹ thuật Bưu điện biên soạn, Vụ Khoa học và Công nghệ trình duyệt, Bộ Khoa học và công nghệ thẩm định, Bộ Thông tin và Truyền thông ban hành kèm theo Thông tư số 16/2020/TT-BTTTT ngày 17 tháng 7 năm 2020 của Bộ trưởng Bộ Thông tin và Truyền thông.
QUY CHUẨN KỸ THUẬT QUỐC GIA VỀ CHỐNG SÉT CHO CÁC TRẠM VIỄN THÔNG VÀ MẠNG CÁP NGOẠI VI VIỄN THÔNG
National technical regulation on lightning protection for telecommunication stations and outside cable network
1. QUY ĐỊNH CHUNG
1.1. Phạm vi điều chỉnh
Quy chuẩn này được áp dụng cho các trạm viễn thông và mạng cáp ngoại vi viễn thông nhằm hạn chế các thiệt hại do sét gây ra, đảm bảo an toàn cho con người và khả năng cung cấp dịch vụ viễn thông và dịch vụ ứng dụng viễn thông.
Trạm viễn thông trong quy chuẩn này bao gồm các công trình sau:
- Trung tâm chuyển mạch, truyền dẫn;
- Trung tâm dữ liệu;
- Trạm thu phát sóng vô tuyến điện cố định sử dụng trong nghiệp vụ vô tuyến điện cố định, thông tin di động, hàng không, hàng hải, dẫn đường, định vị, vệ tinh, phát chuẩn, nghiệp dư;
- Đài phát thanh, đài truyền hình.
Quy chuẩn kỹ thuật quốc gia này quy định:
- Rủi ro thiệt hại cho phép do sét gây ra đối với trạm viễn thông và mạng cáp ngoại vi viễn thông;
- Phương pháp tính toán tần suất thiệt hại do sét gây ra đối với trạm viễn thông và mạng cáp ngoại vi viễn thông;
- Các biện pháp chống sét bảo vệ trạm viễn thông và mạng cáp ngoại vi viễn thông.
1.2. Tài liệu viện dẫn
QCVN 9:2016/BTTTT, Quy chuẩn kỹ thuật quốc gia về tiếp đất cho các trạm viễn thông.
TCVN 8071:2009, Công trình viễn thông - Quy tắc thực hành chống sét và tiếp đất.
1.3. Giải thích từ ngữ và chữ viết tắt
1.3.1. Diện tích rủi ro (risk area)
Diện tích của miền bao quanh công trình viễn thông, khi sét đánh vào diện tích này có thể gây nguy hiểm cho công trình viễn thông.
1.3.2. Dòng sét (lightning current)
Xung dòng điện dải tần số thấp, xuất hiện không có chu kỳ nhất định, tăng vọt đến giá trị đỉnh, rồi giảm xuống đến giá trị không. Các đặc trưng của dòng sét là:
- Giá trị đỉnh (biên độ) xung, I;
- Thời gian sườn trước đạt giá trị đỉnh, T1;
- Thời gian sườn sau giảm đến nửa giá trị đỉnh, T2;
- Dạng sóng dòng xung, T1/T2;
Hình 1 trình bày dạng sóng dòng sét chuẩn và cách xác định các thông số dòng sét.

1.3.3. Điện áp xung (surge voltage)
Điện áp xung có các đặc điểm đặc trưng theo cách tương tự như dòng xung. Hình 2 trình bày dạng sóng điện áp sét chuẩn và cách xác định các thông số điện áp sét.

1.3.4. Dòng gây hư hỏng (cho cáp) (failure current (for cable))
Dòng sét nhỏ nhất gây hư hỏng cho cáp viễn thông, gây ra gián đoạn dịch vụ.
1.3.5. Dòng đánh thủng vỏ (cáp) (sheath breakdown current (cable))
Dòng điện nhỏ nhất chạy trong vỏ kim loại của cáp, gây ra điện áp đánh xuyên giữa các thành phần kim loại trong lõi cáp và vỏ kim loại cáp, dẫn đến hư hỏng cáp.
1.3.6. Dòng thử (test current)
Dòng điện nhỏ nhất chạy trong vỏ kim loại của cáp, gây ra hư hỏng cho cáp do các tác động cơ hoặc nhiệt.
1.3.7. Dòng điện mối nối (đối với cáp quang) (electric current junction)
Dòng điện nhỏ nhất chạy trong các thành phần kết nối của cáp quang, gây ra hư hỏng cho cáp do các tác động của cơ hoặc nhiệt.
1.3.8. Điện áp đánh thủng (breakdown voltage)
Điện áp xung đánh thủng giữa các thành phần kim loại trong lõi cáp và vỏ kim loại của cáp.
1.3.9. Mạng cáp ngoại vi viễn thông (outside telecommunication cable network)
Bộ phận của mạng viễn thông chủ yếu nằm bên ngoài trạm viễn thông, bao gồm tất cả các cáp viễn thông được treo nổi, chôn trực tiếp, đi trong cống bể, đi trong các đường hầm.
1.3.10. Mật độ sét (ground flash density)
Số lần sét đánh xuống một đơn vị diện tích mặt đất trong một năm (lấy bằng 1 km2).
1.3.11. Mức Keraunic (Keraunic level)
Giá trị ngày dông trung bình trong một năm, lấy từ tổng số ngày dông trong một chu kỳ hoạt động 12 năm liên tục của mặt trời, tại một trạm quan trắc khí tượng.
1.3.12. Ngày dông (thunderstorm day)
Ngày mà về đặc trưng khí tượng, người quan trắc có thể nghe rõ tiếng sấm.
1.3.13. Sét (lightning)
Hiện tượng phóng điện có tia lửa kèm theo tiếng nổ trong không khí, nó có thể xảy ra bên trong đám mây, giữa hai đám mây mang điện tích trái dấu hoặc giữa đám mây tích điện với đất. Các công trình viễn thông trong quá trình khai thác, chịu tác động của sét như sau:
- Tác động do sét đánh trực tiếp: là tác động của dòng sét đánh trực tiếp vào công trình viễn thông;
- Tác động do sét lan truyền, và cảm ứng: là tác động thứ cấp của sét do các ảnh hưởng tĩnh điện, điện từ, ghép điện từ...
1.3.14. Tần suất thiệt hại (number of damages due to flashes)
Số lần sét đánh trung bình hàng năm gây thiệt hại cho công trình viễn thông.
1.3.15. Thiết bị bảo vệ xung (surge protective device)
Thiết bị hạn chế quá áp đột biến và rẽ hướng các dòng xung.
1.3.16. Trở kháng truyền đạt (trở kháng ghép) của vỏ che chắn kim loại của cáp (metal shielded external communication cables transfer impedance)
Trở kháng truyền đạt (trở kháng ghép) của vỏ che chắn kim loại của cáp là tỉ số giữa điện áp sụt từ mặt trong ra mặt ngoài vỏ che chắn kim loại của cáp trên toàn bộ dòng điện chảy trong vỏ che chắn kim loại.
1.3.17. Vùng chống sét (lightning protection zone)
Vùng được phân chia trong một khu vực trạm viễn thông, được đặc trưng bởi mức độ khắc nghiệt của trường điện từ và ảnh hưởng do sét gây nên.
1.3.18. Xác suất thiệt hại (damage probability)
Xác suất một lần sét đánh gây thiệt hại cho trạm viễn thông và mạng cáp ngoại vi viễn thông.
1.3.19. Rủi ro (R) (Risk)
Giá trị trung bình có thể có của tổn thất hàng năm (về con người và dịch vụ) do sét, tương ứng với tổng giá trị (về con người và dịch vụ) của đối tượng được bảo vệ.
1.3.20. Rủi ro chấp nhận được (RT) (tolerable risk of damages)
Giá trị rủi ro lớn nhất có thể chấp nhận được đối với đối tượng được bảo vệ.
1.3.21. Mức bảo vệ chống sét (LPL) (Lightning Protection Level)
Con số liên quan đến một tập hợp các tham số dòng sét tương ứng với xác suất mà các giá trị thiết kế lớn nhất và nhỏ nhất sẽ không bị vượt quá trong hiện tượng sét đánh tự nhiên.
1.3.22. Các biện pháp bảo vệ (protective solutions)
Các biện pháp được áp dụng với đối tượng cần bảo vệ để làm giảm rủi ro.
1.3.23. Hệ thống bảo vệ chống sét (LPS) (Lightning Protection System)
Là một hệ thống hoàn chỉnh được dùng để làm giảm các thiệt hại vật lý do sét đánh vào trạm viễn thông và mạng cáp ngoại vi viễn thông.
1.3.24. Hệ thống bảo vệ chống sét bên ngoài (external lightning protection system)
Phần của hệ thống bảo vệ chống sét bao gồm hệ thống điện cực thu sét, hệ thống dẫn sét xuống và hệ thống điện cực tiếp đất.
1.3.25. Hệ thống bảo vệ chống sét bên trong (Internal lightning protection system)
Phần của hệ thống bảo vệ chống sét bao gồm các kết nối đẳng thế và/ hoặc cách điện với hệ thống bảo vệ chống sét bên ngoài.
1.3.26. Hệ thống điện cực thu sét (air-termination system)
Một phần của hệ thống chống sét bên ngoài, sử dụng các thành phần kim loại như thanh, các dây dẫn dạng lưới nhằm mục đích thu các tia sét.
1.3.27. Hệ thống dẫn sét xuống (down-conductor system)
Một phần của hệ thống chống sét bên ngoài, nhằm mục đích dẫn dòng sét từ hệ thống điện cực thu sét xuống hệ thống điện cực tiếp đất.
1.3.28. Hệ thống điện cực tiếp đất (earth-termination system)
Một phần của hệ thống chống sét bên ngoài, nhằm mục đích dẫn và phân tán dòng sét vào trong đất.
1.3.29. Các bộ phận dẫn bên ngoài (external conductive parts)
Các bộ phận kim loại đi vào hoặc đi ra trạm viễn thông và mạng cáp ngoại vi viễn thông cần bảo vệ, như các hệ thống đường ống, cáp kim loại, ống dẫn kim loại... có thể mang một phần dòng sét.
1.3.30. Kết nối đẳng thế (equipotential bonding)
Kết nối với hệ thống bảo vệ chống sét của các bộ phận kim loại tách biệt, bằng các kết nối trực tiếp hoặc qua các thiết bị bảo vệ xung, để làm giảm chênh lệch điện thế do dòng sét gây ra.
1.3.31. Dây che chắn (shielding wire)
Dây kim loại dùng để làm giảm thiệt hại vật lý do sét đánh xuống đường dây viễn thông.
1.3.32. Hệ thống các biện pháp bảo vệ chống xung điện từ do sét (LPMS) (LEMP protection measures system)
Một hệ thống hoàn chỉnh của các biện pháp bảo vệ chống lại xung điện từ do sét (LEMP) cho các hệ thống lắp đặt bên trong công trình.
1.3.33. Trạm viễn thông (telecommunication station)
Một khu vực bao gồm một hoặc nhiều nhà trạm trong đó chứa các thiết bị viễn thông, cột cao ăng ten và các loại trang thiết bị phụ trợ để cung cấp dịch vụ viễn thông, dịch vụ ứng dụng viễn thông. Trạm viễn thông không bao gồm nhà và các thiết bị nhà thuê bao.
1.3.34. Công trình viễn thông (telecommunication plant)
Công trình xây dựng, bao gồm hạ tầng kỹ thuật viễn thông thụ động (nhà, trạm, cột, cống, bể) và thiết bị mạng được lắp đặt vào đó.
1.3.35. Nhà trạm viễn thông (telecommunication building)
Nhà trong đó đặt hệ thống thiết bị viễn thông.
1.3.36. Chữ viết tắt
| SPD | Surge Protective Device | Thiết bị bảo vệ xung (Thiết bị chống sét) |
| LEMP | Lightning Electromagnetic Impulse | Xung điện từ do sét |
| LPZ | Lightning Protection Zone | Vùng bảo vệ chống sét |
| LPL | Lightning Protection Level | Mức bảo vệ chống sét |
| LPMS | LEMP protection measures system | Hệ thống các biện pháp bảo vệ chống xung điện từ do sét |
| LPS | Lightning Protection System | Hệ thống chống sét |
1.4. Quy trình quản lý rủi ro thiệt hại do sét
Việc xác định cần thiết trang bị các biện pháp bảo vệ chống sét cho trạm viễn thông và mạng ngoại vi viễn thông phải được thông qua quy trình quản lý rủi ro như sau:
Hình 3 - Quy trình quản lý rủi ro thiệt hại do sét
1.5. Tiêu chí cơ bản về bảo vệ chống sét
1.5.1. Mức bảo vệ chống sét
Quy chuẩn này quy định 4 mức bảo vệ chống sét. Với mỗi mức LPL, một tập hợp các tham số dòng sét được ấn định.
Giá trị lớn nhất của tham số dòng sét tương ứng với mức LPL I sẽ không bị vượt quá với xác suất là 99%.
Giá trị lớn nhất của tham số sét tương ứng với LPL I sẽ giảm xuống tới 75% đối với LPL II và 50% đối với các mức III và IV.
Bảng 1- Giá trị tham số dòng sét theo LPL
| LPL | I | II | III | IV |
| Dòng đỉnh lớn nhất, kA | 200 | 150 | 100 | 100 |
| Dòng đỉnh nhỏ nhất, kA | 3 | 5 | 10 | 16 |
Các giá trị lớn nhất và nhỏ nhất của các tham số dòng sét đối với các mức bảo vệ chống sét khác nhau trong Bảng 1 và được sử dụng để thiết kế các thành phần của hệ thống bảo vệ chống sét (ví dụ, thiết diện dây dẫn, độ dày của vỏ kim loại, khả năng chịu dòng của SPD, khoảng cách cách ly để tránh đánh lửa gây nguy hiểm).
Các giá trị nhỏ nhất của biên độ dòng sét đối với các LPL khác nhau được sử dụng để xác định bán kính quả cầu lăn để xác định vùng bảo vệ LPZ 0b mà sét đánh trực tiếp không tiếp cận được (xem 1.5.2 và Hình 4). Giá trị nhỏ nhất của tham số dòng sét cùng với bán kính quả cầu lăn tương ứng được cho trong Bảng 2. Các số liệu này dùng để định vị hệ thống điện cực thu sét và xác định vùng bảo vệ chống sét LPZ 0b (xem 1.5.2)
Bảng 2 - Giá trị nhỏ nhất của dòng sét và bán kính quả cầu lăn tương ứng với LPL
| Tiêu chí | LPL | |||
| I | II | III | IV | |
| Dòng đỉnh nhỏ nhất I, kA | 3 | 5 | 10 | 16 |
| Bán kính quả cầu lăn r, m | 20 | 30 | 45 | 60 |
1.5.2. Vùng bảo vệ chống sét
Các biện pháp bảo vệ như LPS, các dây che chắn, che chắn điện từ và SPD sẽ quyết định các vùng bảo vệ chống sét. Việc phân biệt các vùng bảo vệ chống sét được đặc trưng bởi sự chênh lệch đáng kể của xung điện từ do sét tại các vùng bảo vệ.
Tuỳ theo mức độ ảnh hưởng của sét, các vùng bảo vệ chống sét được định nghĩa:
LPZ 0a Là vùng có nguy cơ chịu sét đánh trực tiếp và toàn bộ trường điện từ do sét. Các hệ thống trong đó có thể chịu toàn bộ hoặc một phần dòng xung sét;
LPZ 0b Là vùng đã được bảo vệ khỏi sét đánh trực tiếp nhưng vẫn chịu sự đe doạ của toàn bộ trường điện từ do sét. Các hệ thống trong đó có thể chịu một phần dòng xung sét;
LPZ 1 Là vùng trong đó dòng xung được hạn chế do sự chia dòng và các SPD tại vị trí ranh giới. Việc che chắn không gian có thể làm suy giảm trường điện từ do sét;
LPZ 2,...,n Là vùng trong đó dòng xung được hạn chế hơn nữa do sự chia dòng và các SPD bổ sung tại vị trí ranh giới. Việc che chắn không gian bổ sung có thể làm suy giảm hơn nữa trường điện từ do sét.
CHÚ THÍCH 1: Nói chung, mức của một LPZ càng cao thì các tham số môi trường điện từ càng thấp.
Nguyên tắc chung của việc bảo vệ là, đối tượng cần bảo vệ phải nằm trong vùng LPZ có các đặc tính về điện từ tương thích với khả năng của chịu đựng của đối tượng với tác động do sét gây ra thiệt hại cần phải giảm bớt (thiệt hại vật lý, hư hỏng các hệ thống điện và điện tử do quá áp).

2. QUY ĐỊNH KỸ THUẬT
2.1. Yêu cầu về rủi ro do sét gây ra
2.1.1. Yêu cầu đối với trạm viễn thông
Trạm viễn thông phải được trang bị các biện pháp bảo vệ sao cho giá trị rủi ro không được vượt quá giá trị rủi ro chấp nhận được sau:
Bảng 3 - Giá trị rủi ro chấp nhận được đối với trạm viễn thông
| Loại tổn thất | Rt (năm-1) |
| Rủi ro tổn thất về con người Rinjury | 10-5 |
| Rủi ro tổn thất về dịch vụ Rloss | 10-3 |
2.1.2. Yêu cầu đối với mạng cáp ngoại vi viễn thông
Mạng cáp ngoại vi viễn thông phải được trang bị các biện pháp bảo vệ sao cho giá trị rủi ro không được vượt quá giá trị rủi ro chấp nhận được sau:
Bảng 4 - Giá trị rủi ro chấp nhận được đối với mạng cáp ngoại vi viễn thông
| Loại tổn thất | Rt (năm-1) |
| Rủi ro tổn thất về dịch vụ Rloss | 10-3 |
CHÚ THÍCH: Đối với các cáp ngoại vi viễn thông, không xét đến rủi ro tổn thất về con người.
Phương pháp tính toán rủi ro do sét gây ra đối với trạm viễn thông và mạng cáp ngoại vi viễn thông được trình bày trong 2.2.
2.2. Phương pháp tính toán rủi ro do sét
2.2.1. Tính toán rủi ro do sét gây ra đối với trạm viễn thông
Rủi ro do sét gây ra đối với trạm viễn thông được tính theo công thức sau:
Rinjury = L.pinj Σ Fi. (2.1)
Rloss = L Σ Fi (2.2)
Trong đó:
Fi: Tần suất thiệt hại do sét gây ra đối với nhà trạm, do các nguyên nhân sét đánh trực tiếp vào nhà trạm, sét đánh vào cột ăng ten kề bên, sét đánh xuống đất gần nhà trạm, sét lan truyền qua các đường dây đi vào nhà trạm; được tính toán theo 2.2.1.1.
L: Trọng số tổn thất, thể hiện mức độ tổn thất trong một lần thiệt hại do sét gây ra đối với nhà trạm.
- Với rủi ro tổn thất về con người: L = 1;
- Với rủi ro tổn thất về dịch vụ L = 2.74 x 10-3.
Pinj: xác suất giảm nhỏ thiệt hại cho con người, do các biện pháp bảo vệ trong Bảng 8 và Bảng 9.
2.2.1.1. Tính toán tần suất thiệt hại do sét gây ra đối với khu vực trạm viễn thông
Tần suất thiệt hại (F) tại một trạm viễn thông với mật độ sét của khu vực đặt trạm (Ng) khi xét đến hiệu quả của các biện pháp bảo vệ vốn có hoặc bổ sung, được xác định bằng công thức:
F = Ng (Ad.pd + An.pn + As.ps + Ag.pa) (2.3)
Hay:
F = Fd + Fn + Fs + Fa (2.4)
Trong đó:
Ng: Mật độ sét đánh tại khu vực đặt trạm, được tính tuỳ theo khu vực địa lý, xem Bảng E1, Phụ lục E.
p: Các hệ số xác suất thiệt hại khác nhau phụ thuộc vào các biện pháp bảo vệ hiện có nhằm làm giảm tần suất thiệt hại (F), xem 2.2.1.2;
Fd = Ng.Ad.pd - Tần suất thiệt hại do sét đánh trực tiếp vào nhà trạm (d);
Fn = Ng.An.pn - Tần suất thiệt hại do sét đánh xuống đất gần khu vực trạm (n);
Fs = Ng.As.ps - Tần suất thiệt hại do sét đánh vào cáp hoặc vùng lân cận cáp dẫn vào trạm (s);
Fa = Ng.Ag.pa - Tần suất thiệt hại do sét đánh trực tiếp vào các vật ở gần, ví dụ cột ăng ten có liên kết bằng kim loại với trạm viễn thông (a).
Ad - Diện tích rủi ro sét đánh trực tiếp vào trạm viễn thông:
Ad = (9πh2 + 6ah + 6bh + ab)x10-6, km2 (2.5)
Trong đó:
a: Chiều rộng của trạrn viễn thông, m;
b: Chiều dài của trạm viễn thông, m;
h: Chiều cao của nhà trạm, m.
Trong trường hợp diện tích rủi ro sét đánh trực tiếp vào cột ăng ten che phủ một phần diện tích rủi ro sét đánh trực tiếp vào nhà trạm, diện tích Ad được giảm đi phần bị che phủ đó.
An - Diện tích rủi ro do sét đánh xuống đất cạnh nhà trạm viễn thông làm tăng thế đất ảnh hưởng đến trạm viễn thông. An được tính bằng diện tích của một vùng tạo bởi một đường cách nhà trạm viễn thông một khoảng cách d = 500 m, trừ đi diện tích rủi ro do sét đánh trực tiếp vào nhà trạm Ad.
Nơi nào có các vật ở gần như các công trình xây dựng cao khác (ví dụ: cột ăng ten, nhà cao tầng) và các cáp dẫn vào thì diện tích An sẽ được giảm đi bởi phần diện tích rủi ro che phủ của các công trình đó, như minh hoạ trên Hình 5.
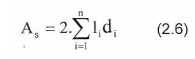
As - Diện tích rủi ro do sét đánh xuống các đường cáp (thông tin, điện lực) dẫn vào nhà trạm viễn thông. Trường hợp tổng quát, cáp dẫn vào nhà trạm viễn thông gồm các loại treo và chôn, diện tích As được tính bằng công thức:

Trong đó:
li: Chiều dài của mỗi đoạn đường dây, m;
di: Khoảng cách tương ứng của mỗi đoạn, m;
- Đối với cáp treo, di = 1000 m;
- Đối với cáp ngầm, di = 250 m;
n: Số đoạn đường dây chôn ngầm hoặc treo nổi;
Aa: Diện tích rủi ro sét đánh trực tiếp vào cột ăng ten có liên kết bằng kim loại với nhà trạm.
- Đối với cột ăng ten có dạng tháp, diện tích Aa được tính tương tự như Ad;
- Đối với cột ăng ten là cột trụ tròn, cột tam giác, cột tứ giác có dây co và kích thước nhỏ, Aa được tính bằng diện tích hình tròn bán kính 3 h (h là chiều cao cột ăng ten) Aa = πT(3h)2 .
Diện tích rủi ro do sét đánh vào khu vực trạm viễn thông được mô tả theo Hình 5.

Hình 5 - Mô tả các diện tích rủi ro sét đánh vào khu vực trạm viễn thông
2.2.1.2. Xác định các hệ số xác suất thiệt hại p
Mỗi hệ số xác suất thiệt hại p thể hiện khả năng làm giảm số thiệt hại do sét của đặc tính bảo vệ tự nhiên của công trình lắp đặt (vật liệu nhà, mạng cáp treo nổi hoặc ngầm) và các biện pháp bảo vệ cho nhà hoặc tại các giao diện cũng như các biện pháp bảo vệ khác cả bên trong và bên ngoài (các thiết bị chống sét, lưới che chắn cáp, kỹ thuật cách điện...). Trong thiết kế chống sét, khi áp dụng một biện pháp bảo vệ sẽ giảm nhỏ xác suất hư hỏng do sét đánh tương ứng, thể hiện qua các hệ số p.
Nếu áp dụng một vài biện pháp bảo vệ cho một đối tượng thì hệ số xác suất thực sự sẽ bằng tích các giá trị riêng rẽ, có nghĩa là:
Ptt = π Pi, (với Pi ≤ 1).
Các giá trị hệ số p được trình bày trong các bảng từ Bảng 5 đến Bảng 9.
Bảng 5 - Các trị số p cho các vật liệu xây dựng nhà trạm viễn thông
| Các vật liệu làm nhà trạm viễn thông | Pd, Pa, Pn |
| Không có tính che chắn (gỗ, gạch, bê tông không có thép gia cường) | 1 |
| Bê tông cốt thép có kích thước lưới chuẩn | 0,1 |
| Kim loại | 0,01 |
Bảng 6 - Các trị số p cho các biện pháp bảo vệ bên ngoài nhà trạm viễn thông
| Các biện pháp bảo vệ bên ngoài nhà trạm viễn thông | Pd, Pinj |
| Không có chống sét cho nhà cả bên ngoài lẫn bên trong | 1 |
| Trang bị hệ thống LPS bên ngoài (theo quy định tại A.1.1) | 0,1 |
CHÚ THÍCH: Pinj là hệ số xác suất gây tổn thương cho con người
Bảng 7- Các trị số p cho các biện pháp bảo vệ trên cáp dẫn vào trạm viễn thông
| Các biện pháp chống sét cảm ứng | Ps, Pn |
| Khi cáp bên ngoài không được che chắn, không có các thiết bị chống sét | 1 |
| Cáp thông tin bên ngoài được che chắn, có trở kháng truyền đạt cực đại 20 Ω/km (theo quy định tại A.1.2) | 0,5 |
| Cáp thông tin bên ngoài được che chắn, có trở kháng truyền đạt cực đại 5 Ω /km (theo quy định tại A.1.2) | 0,1 |
| Cáp thông tin bên ngoài được che chắn, có trở kháng truyền đạt cực đại 1 Ω /km (theo quy định tại A.1.2) | 0,01 |
| Lắp biến áp cách ly tại giao diện mạng hạ áp (điện áp đánh xuyên lớn hơn 20 kV) (theo quy định tại A.1.2) | 0,1 |
| Lựa chọn và lắp thiết bị chống sét có phối hợp tốt với khả năng chịu đựng của thiết bị, kỹ thuật lắp đặt có chất lượng (theo quy định tại A.1.2) | 0,01 |
| Sử dụng cáp quang phi kim loại (theo quy định tại A.1.2) | 0 |
Bảng 8 - Các trị số p cho các biện pháp bảo vệ bên trong nhà trạm viễn thông
| Các biện pháp bảo vệ bên trong nhà trạm viễn thông | Pd, Pa, Pn, Pinj |
| Thực hiện các cấu hình đấu nối và tiếp đất theo QCVN 9:2016/BTTTT | 0,5 |
| Áp dụng đồng thời các kỹ thuật lắp đặt bên trong nhà trạm (theo quy định tại phần b) và c) mục A.1.3) | 0,1 |
Bảng 9 - Các trị số p cho các lớp bề mặt sàn khác nhau để làm giảm điện áp chạm và điện áp bước
| Loại bề mặt | Pinj |
| Bê tông ẩm | 10-2 |
| Bê tông khô | 10-3 |
| Nhựa đường, gỗ | 10-5 |
| Lớp cách điện bằng vật liệu có điện áp đánh thủng lớn | 10-6 |
2.2.2. Tính toán rủi ro do sét gây ra đối với mạng cáp ngoại vi viễn thông
Xét trường hợp tổng quát, tuyến cáp (cáp kim loại hoặc cáp quang có thành phần kim loại) bao gồm các đoạn chôn ngầm và treo. Rủi ro thiệt hại (R) cần xem xét là rủi ro tổn thất dịch vụ hàng nằm do sét đánh trực tiếp. Rủi ro thiệt hại được tính bằng công thức:
R = Fpa x La + Fpb x Lb + Fps x Ls (2.7)
Trong đó:
Fpa: Tần suất thiệt hại đối với đoạn cáp treo;
Fpb: Tần suất thiệt hại đối với đoạn cáp chôn ngầm;
Fps: Tần suất thiệt hại do sét đánh trực tiếp vào kết cấu nơi cáp đi vào;
La: Lượng tổn thất trong một lần thiệt hại do sét đánh trực tiếp vào cáp treo;
Lb: Lượng tổn thất trong một lần thiệt hại do sét đánh trực tiếp vào cáp chôn ngầm;
Ls: Lượng tổn thất trong một lần thiệt hại do sét đánh trực tiếp vào kết cấu mà cáp đi vào.
- Đối với tuyến cáp kim loại:
La = 2 x 10-3;
Lb = 3 x 10-3;
Ls = 2 x 10-3;
- Đối với tuyến cáp quang:
La = Lb = Ls = 10-3;
2.2.2.1 Tần suất thiệt hại đối với đoạn cáp treo và chôn ngầm
Tần suất thiệt hại đối với đoạn cáp treo và chôn ngầm được tính bằng công thức:
Fpa = 2 x Ng x [L - 3(Ha+ Hb)] x D x p(la) x Cd x 10-6 , (thiệt hại/năm) (2.7)
Fpb = 2 x Ng x [L- 3(Ha + Hb)] x D x p(la) x Cd x Kd x 10-6, (thiệt hại/năm) (2.8)
Trong đó:
L: Độ dài đường dây, (m);
Ha: chiều cao của công trình nối với đầu “a” của đường dây, (m);
Hb : chiều cao của công trình nối với đầu “b” của đường dây, (m);
p(la): Hệ số xác suất dòng gây hư hỏng, được tính bằng công thức:
p(i) = 10-2 e(a-bi) với i ≥ 0
a = 4,605 và b = 0,0117 với i ≤ 20 kA
a = 5,063 và b = 0,0346 với i > 20 kA
cd: Hệ số vị trí;
Bảng 10 - Hệ số vị trí lắp đặt
| Vị trí lắp đặt |
|
| Đường dây lắp đặt trên đồi ở khu vực nông thôna) | 2 |
| Nông thôn | 1 |
| Ngoại vi đô thị | 0,5 |
| Đô thị | 0,1 |
| Đô thị với nhà cao tầngb) | 0,01 |
| a) Kinh nghiệm chỉ ra rằng đường dây viễn thông lắp đặt trên đỉnh đồi ở khu vực nông thôn thường chịu sét đánh trực tiếp nhiều hơn đường dây lắp đặt ở đồng bằng. Đường dây lắp đặt dọc theo sườn đồi ở khu vực nông thôn cũng tương tự. b) Nhà cao tầng cao hơn 20 m. | |
Ng: Mật độ sét, (km-2. Năm-1) (xem Phụ lục E);
D: Khoảng cách sét đánh, (m);
- Với cáp chôn:
D = 0,482 (ρ)1/2 với ρ ≤ 100 Ω.m;
D = 2,91 + 0,191 (ρ)1/2 với 100 Ω.m < ρ < 1000 Ω.m;
D = 0,283 (ρ)1/2 với ρ > 1000 Ω.m;
- Với cáp treo:
D = 3 H, (m); H là độ cao treo cáp (thường được quy định giữa 4 m đến 15 m);
la: Dòng gây hư hỏng, (kA) (xem Phụ lục C.1);
Kd: Hệ số hiệu chỉnh thiệt hại;
Kd = 2,5 với cáp chôn không được che chắn;
Kd = 1,0 với cáp chôn được che chắn;
2.2.2.2. Tần suất thiệt hại do sét đánh trực tiếp vào công trình mà cáp đi vào (Fps)
Tần suất thiệt hại do sét đánh trực tiếp vào công trình gây ra cho cáp được tính bằng công thức:
Fps = Ng.Ad.p(la). Cd (thiệt hại/năm); (2.9)
Trong đó:
Ad: Diện tích rủi ro sét đánh vào kết cấu, được tính bằng công thức:
Ad = (9πh2 + 6ah + 6bh + ab) 10-6, (km2);
Trong đó:
a = chiều dài, (m);
b = chiều rộng, (m);
c = chiều cao, (m);
p(la): Xác suất biên độ dòng sét đánh vào kết cấu tạo ra dòng điện gây hư hỏng cáp;
la: Dòng gây hư hỏng cáp, xem Phụ lục C.2.
3. QUY ĐỊNH VỀ QUẢN LÝ
Trạm viễn thông và mạng cáp ngoại vi viễn thông thuộc phạm vi điều chỉnh tại điều 1.1 phải tuân thủ các yêu cầu về quy định kỹ thuật tại Quy chuẩn này.
4. TRÁCH NHIỆM CỦA TỔ CHỨC, CÁ NHÂN
4.1. Các cơ quan, doanh nghiệp có trạm viễn thông và mạng cáp ngoại vi viễn thông có trách nhiệm:
- Đảm bảo các trạm viễn thông và mạng cáp ngoại vi viễn thông phù hợp với Quy chuẩn trong quá trình thiết kế, lắp đặt, vận hành, bảo dưỡng.
- Thực hiện công bố hợp quy chỉ tiêu mức rủi ro do sét gây ra cho trạm viễn thông phải nhỏ hơn hoặc bằng mức quy định tương ứng trong Quy chuẩn này. Việc công bố hợp quy thực hiện theo Thông tư số 28/2012/TT-BKHCN ngày 12 tháng 12 năm 2012 của Bộ Khoa học và Công nghệ và Thông tư số 02/2017/TT-BKHCN ngày 31 tháng 3 năm 2017 sửa đổi, bổ sung một số điều của Thông tư số 28/2012/TT-BKHCN ngày 12 tháng 12 năm 2012.
4.2. Cục Viễn thông có trách nhiệm tiếp nhận đăng ký công bố hợp quy, thực hiện quản lý, hướng dẫn và kiểm tra việc công bố hợp quy.
5. TỔ CHỨC THỰC HIỆN
5.1. Cục Viễn thông và các Sở Thông tin và Truyền thông có trách nhiệm hướng dẫn và tổ chức triển khai quản lý các trạm viễn thông và mạng cáp ngoại vi viễn thông theo Quy chuẩn này.
5.2. Quy chuẩn này thay thế cho QCVN 32:2011/BTTTT “Quy chuẩn kỹ thuật quốc gia về chống sét cho các trạm viễn thông và mạng cáp ngoại vi viễn thông”.
5.3. Trong trường hợp các quy định nêu tại Quy chuẩn này có sự thay đổi, bổ sung hoặc được thay thế thì thực hiện theo quy định tại văn bản mới nhất.
5.4. Trong quá trình triển khai thực hiện quy chuẩn này, nếu có vấn đề phát sinh, vướng mắc, các tổ chức và cá nhân có liên quan phản ánh bằng văn bản về Bộ Thông tin và Truyền thông (Vụ Khoa học và Công nghệ) để được hướng dẫn, giải quyết./.
Phụ lục A
(Quy định)
Các biện pháp bảo vệ chống sét cho trạm viễn thông
A.1. Các biện pháp bảo vệ chống sét cho trạm viễn thông
Để giảm nhỏ rủi ro thiệt hại đến mức cho phép quy định trong 2.2.1, cần áp dụng một số hoặc toàn bộ các biện pháp bảo vệ sau:
A.1.1. Hệ thống LPS bên ngoài (chống sét đánh trực tiếp)
Hệ thống LPS bên ngoài (chống sét đánh trực tiếp) phải bao gồm các thành phần cơ bản sau:
- Hệ thống điện cực thu sét;
- Hệ thống dây dẫn sét;
- Hệ thống tiếp đất;
- Kết cấu đỡ.
a) Hệ thống điện cực thu sét
- Các điện cực thu sét phải được bố trí, lắp đặt ở các vị trí sao cho nó tạo ra vùng bảo vệ che phủ hoàn toàn đối tượng cần bảo vệ. Vị trí lắp đặt của các điện cực thu sét được xác định bằng các phương pháp sau:
+ Phương pháp góc bảo vệ, phù hợp với các toà nhà có dạng đơn giản, nhưng hạn chế về chiều cao;
+ Phương pháp quả cầu lăn, phù hợp với mọi trường hợp;
+ Phương pháp lưới, phù hợp với việc bảo vệ các bề mặt bằng phẳng.
Chi tiết về các phương pháp trên được nêu trong Phụ lục B. Giá trị của góc bảo vệ, bán kính quả cầu lăn, kích thước lưới đối với mỗi mức của LPS được quy định trong Bảng A.1.
Bảng A.1 - Giá trị lớn nhất của bán kính quả cầu lăn, kích thước lưới và góc bảo vệ tương ứng với mức của LPS
| Mức LPS | Phương pháp bảo vệ | ||
| Bán kính quả cầu lần r, m | Kích thước lưới W, m | Góc bảo vệ α° | |
| I | 20 | 5x5 | Xem Hình A.1 |
| II | 30 | 10x10 | |
| III | 45 | 15x 15 | |
| IV | 60 | 20x20 |
|

CHÚ THÍCH:
1- Không áp dụng được với các giá trị lớn hơn giá trị được đánh dấu bởi •
2- H là độ cao của điện cực thu sét so với mặt phẳng chuẩn của diện tích được bảo vệ.
3- Góc bảo vệ không thay đổi với các giá trị H dưới 2 m.
Hình A.1 - Xác định góc bảo vệ tương ứng với mức của LPS
- Các điện cực thu sét có thể sử dụng các dạng: thanh, dây, mắt lưới và kết hợp.
- Có thể dùng các thành phần bằng kim loại của công trình như tấm kim loại che phủ vùng cần bảo vệ, các thành phần kim loại của cấu trúc mái, các ống, bình chứa bằng kim loại làm các điện cực thu sét “tự nhiên”, miễn là chúng thoả mãn các điều kiện sau:
+ Có tính dẫn điện liên tục bền vững;
+ Không bị bao phủ bởi các vật liệu cách điện;
+ Không gây ra các tình huống nguy hiểm khi bị thủng hay bị nung nóng do sét đánh.
- Các điện cực thu sét có thể có kết cấu đỡ là bản thân đối tượng cần bảo vệ; Nếu dùng kết cấu đỡ bằng cột, phải làm bằng vật liệu đảm bảo độ bền cơ học, phù hợp với điều kiện khí hậu.
b) Hệ thống dây dẫn sét
- Các dây dẫn sét phải được phân bố xung quanh chu vi của công trình cần bảo vệ sao cho khoảng cách giữa hai dây không vượt quá 30 m. Trong mọi trường hợp, cần ít nhất hai dây dẫn xuống.
- Các dây dẫn sét phải được nối với hệ thống điện cực tiếp đất.
- Các dây dẫn sét phải được lắp đặt thẳng, đứng, sao cho chúng tạo ra đường dẫn ngắn nhất, thẳng nhất xuống đất và tránh tạo ra các mạch vòng. Không lắp đặt các dây dẫn sét ở các vị trí gây nguy hiểm cho con người.
c) Hệ thống tiếp đất
- Hệ thống tiếp đất bao gồm các điện cực, dây nối các điện cực và cáp nối đất.
- Hệ thống tiếp đất phải được thiết kế và có giá trị điện trở tiếp đất theo quy định trong QCVN 9:2016/BTTTT.
- Phải lựa chọn dạng điện cực tiếp đất, cấu trúc bố trí các điện cực sao cho phù hợp với điều kiện địa hình thực tế nơi trang bị tiếp đất.
- Hệ thống điện cực tiếp đất phải được liên kết với các hệ thống tiếp đất khác (nếu có) theo quy định trong QCVN 9:2016/BTTTT.
d) Vật liệu
Vật liệu và kích thước vật liệu được lựa chọn làm hệ thống chống sét đánh trực tiếp phải đảm bảo sao cho hệ thống này không bị hư hỏng do ảnh hưởng điện, điện từ của dòng sét, ảnh hưởng của hiện tượng ăn mòn và các lực cơ học khác.
e) Các điện cực thu sét, dây dẫn sét phải được cố định và liên kết với nhau một cách chắc chắn, đảm bảo không bị gãy, đứt hoặc lỏng lẻo do các lực điện động hoặc các lực cơ học khác. Các mối nối phải được đảm bảo bằng các phương pháp hàn, vặn vít, lắp ghép bằng bu lông và có số lượng càng nhỏ càng tốt.
A.1.2. Chống sét lan truyền từ bên ngoài nhà trạm
Các thiết bị điện tử bên trong trạm viễn thông có thể bị hư hỏng do sét lan truyền và cảm ứng qua các đường dây thông tin, điện lực bằng kim loại dẫn vào nhà trạm. Để hạn chế các ảnh hưởng đó, phải áp dụng các biện pháp sau:
a) Biện pháp bảo vệ đối với đường dây thông tin đi vào trạm
- Lựa chọn loại cáp viễn thông dẫn vào và đi ra khỏi nhà trạm có vỏ che chắn với trở kháng truyền đạt nhỏ hoặc cáp quang không có thành phần kim loại; vỏ che chắn cáp phải được liên kết đẳng thế theo quy định trong QCVN 9:2016/BTTTT.
- Lắp đặt các thiết bị bảo vệ xung (SPD) trên đường dây thông tin tại giao diện dây - máy theo quy định trong TCVN 8071:2009 Công trình viễn thông - Quy tắc thực hành chống sét và tiếp đất.
b) Biện pháp bảo vệ đối với đường dây điện lực đi vào nhà trạm
- Lắp đặt thiết bị bảo vệ xung trên đường dây điện lực, nơi đường dây dẫn vào trạm theo quy định trong TCVN 8071:2009 Công trình viễn thông - Quy tắc thực hành chống sét và tiếp đất.
- Dùng máy biến thế hạ áp riêng để cung cấp nguồn điện cho nhà trạm.
A.1.3. Hệ thống chống sét bên trong (chống sét lan truyền và cảm ứng bên trong nhà trạm)
a) Liên kết đẳng thế
Thực hiện liên kết đẳng thế tại ranh giới giữa các vùng chống sét (LPZ) đối với các thành phần và hệ thống kim loại (các đường ống dẫn kim loại, các khung giá cáp, khung giá thiết bị).
b) Thực hiện các biện pháp che chắn bên trong nhà trạm
- Liên kết các thành phần kim loại của toà nhà với nhau và với hệ thống chống sét đánh trực tiếp, ví dụ mái nhà, bề mặt bằng kim loại, cốt thép và các khung cửa bằng kim loại của tòa nhà.
- Dùng các loại cáp có màn chắn kim loại hoặc dẫn cáp trong ống kim loại có trở kháng thấp, vỏ che chắn hoặc ống dẫn bằng kim loại phải được liên kết đẳng thế ở hai đầu và tại ranh giới giữa các vùng chống sét (LPZ). Ống dẫn cáp phải được chia làm hai phần bằng vách ngăn bằng kim loại, một phần chứa cáp thông tin, một phần chứa cáp điện lực và các dây dẫn liên kết.
c) Thực hiện cấu hình đấu nối và tiếp đất trong trạm viễn thông
Phải thực hiện các quy định về cấu hình đấu nối và tiếp đất bên trong nhà trạm theo QCVN 9:2016/BTTTT.
A.2. Các biện pháp bảo vệ chống sét cho mạng cáp ngoại vi viễn thông
A.2.1. Nguyên tắc chung
Một đường dây Viễn thông có khả năng chịu dòng sét đánh trực tiếp mà không bị hư hỏng, nó phụ thuộc vào độ lớn của dòng sét đánh vào. Khả năng này được xác định bởi hệ số bảo vệ (Kp), được xác định bắng tỷ số giữa số hư hỏng do sét đánh vào đường dây và số lần sét đánh vào đường dây. Tương tự như vậy hệ số bảo vệ cũng được định nghĩa cho công trình nối với đường dây.
Từ định nghĩa của nó, hệ số bảo vệ Kp là 1 số nằm giữa 0 và 1. Giá trị Kp=0 có nghĩa là đường dây hoặc công trình có thể chịu đựng sét đánh mà không hư hỏng, trong khi Kp=1 có nghĩa mọi cú sét đánh đều gây hư hỏng. Việc lựa chọn cáp phù hợp và/hoặc áp dụng biện pháp bảo vệ nào đó làm giảm hệ số bảo vệ.
Hệ số bảo vệ phụ thuộc vào giảm thiểu dòng sét đánh vào gây hư hỏng cho đường dây và phân bổ dòng sét hợp lý.
Kp= p(Ia) (A.1)
la: là dòng hư hỏng, kA
p(la): Hệ số xác suất dòng đánh hỏng
p(Ia) = 10-2 exp (a - b Ia) for Ia ≥ 0 (A.2)
Trong đó:
a = 4,605 và b = 0,0117 với Ia ≤ 20 kA
a = 5,063 và b = 0,0346 với Ia > 20 kA
Dòng gây hư hỏng (la) là giá trị nhỏ nhất của dòng sét gây ra hư hỏng đường dây Viễn thông. Nếu la quá nhỏ thì Kp = p(la)≈1 và mọi dòng sét đánh vào đường dây gây ra hư hỏng. Hình A.2 mô tả hệ số bảo vệ là hàm của dòng gây hư hỏng

Hình A.2 - Hệ số bảo vệ (Kp) là hàm của dòng gây hư hỏng (Ia)
A.2.2. Các biện pháp bảo vệ chống sét đánh trực tiếp vào cáp
a) Đối với cáp chôn, có thể xem xét các biện pháp bảo vệ sau:
- Sử dụng dây che chắn, thường là dây thép mạ kẽm;
- Sử dụng ống thép, thường là ống thép mạ kẽm.
b) Đối với cáp treo, có thể xem xét các biện pháp bảo vệ sau:
- Sử dụng dây đỡ làm dây che chắn (xem phần a), mục A.2.3);
- Thay thế bằng tuyến cáp chôn và áp dụng các biện pháp bảo vệ theo a).
c) Đối với cả cáp treo và cáp chôn, có thể xem xét các biện pháp sau:
- Thay thế bằng cáp quang không có thành phần kim loại hoặc đường truyền vô tuyến (xem phần a), mục A.2.3);
- Sử dụng cáp có dòng điện đánh thủng vỏ lớn (xem phần b), mục A.2.3);
- Sử dụng cáp có điện áp đánh thủng vỏ lớn (xem phần c), mục A.2.3).
A.2.3. Lựa chọn cáp
a) Cáp sợi quang không có thành phần kim loại
Cáp quang không có thành phần kim loại sẽ không bị sét đánh trực tiếp, vì vậy sử dụng cáp quang phi kim loại sẽ cho Kp = 0.
b) Cáp có dòng đánh thủng vỏ lớn
Nếu dòng gây hư hỏng (la) được xác định bởi dòng điện đánh thủng vỏ (ls), có thể chọn cáp có dòng điện đánh thủng vỏ lớn hơn bằng cách:
- tăng điện áp đánh thủng vỏ bằng cách chọn vật liệu cách điện bằng nhựa thay vì bằng giấy hoặc tăng cường sự cách điện tại các mối nối;
- giảm điện trở lớp vỏ bằng cách dùng vỏ kim loại dày hơn.
Hệ số bảo vệ đạt được khi tăng dòng gây hư hỏng được tính bằng công thức A.2.
c) Cáp có điện áp đánh thủng lớn
Nếu dòng gây hư hỏng được xác định bởi dòng thử (It), có thể chọn cáp có dòng thử cao hơn bằng cách:
- dùng vỏ có độ bền cơ khí cao (ví dụ bằng sắt);
- dùng vỏ kim loại dày hơn.
Hệ số bảo vệ đạt được khi tăng dòng gây hư hỏng được tính bằng công thức A.2.
A.2.4. Sử dụng thiết bị bảo vệ xung SPD
SPD có thể được lắp đặt tại điểm đường dây đi vào công trình có khả năng bị sét đánh trực tiếp, để làm giảm tần suất thiệt hại do sét đánh vào công trình (Fps). SPD phải được nối giữa các sợi của cáp với thanh liên kết đẳng thế của công trình.
Việc lắp đặt SPD sẽ làm tăng dòng đánh thủng vỏ cáp ls (xem Phụ lục C)
Hệ số bảo vệ đạt được khi tăng dòng gây hư hỏng vỏ cáp được tính theo công thức A.2 và C.4 (theo Phụ lục C).
A.2.5. Trang bị dây chống sét ngầm cho cáp chôn
Để giảm nhỏ dòng sét đánh vào cáp chôn, dùng dây chống sét ngầm bằng kim loại chôn phía trên, dọc theo tuyến cáp để thu hút một phần dòng sét. Như vậy, dây chống sét ngầm có tác dụng làm tăng dòng gây hư hỏng (la) và làm giảm tần suất thiệt hại. Dây chống sét ngầm phải được bố trí dọc theo toàn bộ chiều dài đoạn cáp cần được bảo vệ và kéo dài thêm một đoạn Y, với Y được tính bằng công thức:
Y ≥ 2,5. (ρ)1/2 , (m) (A.3)
Trong đó:
ρ = Điện trở suất của đất, Ω.m.
Giá trị dòng gây hư hỏng mới (l’a) được tính bằng công thức:
l’a = la/ƞ , (kA); (A.4)
Trong đó, ƞ là hệ số che chắn, xem Phụ lục D.
Phụ lục B
(Quy định)
Xác định vị trí lắp đặt điện cực thu sét
B.1. Xác định vị trí của hệ thống điện cực thu sét sử dụng phương pháp góc bảo vệ
Vị trí của hệ thống điện cực thu sét được coi là thoả đáng nếu đối tượng cần bảo vệ được đặt hoàn toàn bên trong vùng được bảo vệ do hệ thống điện cực thu sét tạo nên.
Để xác định vùng được bảo vệ, cần xem xét kích thước vật lý của hệ thống điện cực thu sét bằng kim loại.
B.1.1. Vùng được bảo vệ bởi hệ thống điện cực thu sét gồm 1 điện cực thẳng đứng
Vùng được bảo vệ bởi 1 điện cực thu sét thẳng đứng có dạng một hình nón có đỉnh nằm trên đỉnh của điện cực thu sét, nửa góc đỉnh là α, phụ thuộc vào mức của LPS và chiều cao của điện cực thu sét, theo như Bảng A.1. Ví dụ về vùng được bảo vệ được thể hiện trên Hình B.1 và B.2.

Ký hiệu
| A | Đỉnh của điện cực thu sét; |
| B | Mặt phẳng chuẩn; |
| OC | Bán kính vùng được bảo vệ; |
| h1 | Chiều cao của điện cực thu sét so với mặt phẳng chuẩn, trong khu vực cần bảo vệ; |
| α | Góc bảo vệ theo Bảng A.1 |
Hình B.1 - Vùng được bảo vệ bởi một điện cực thu sét thẳng đứng

h1 chiều cao vật lý của một điện cực thu sét
CHÚ THÍCH: Góc bảo vệ α1 tương ứng với độ cao h1 của điện cực thu sét, là độ cao so với mái của bề mặt được bảo vệ; góc bảo vệ α2 tương ứng với độ cao h2 = h1 + H, với mặt đất là mặt phẳng chuẩn;
Hình B.2 - Vùng được bảo vệ bởi một điện cực thu sét thẳng đứng
B.1.2. Vùng được bảo vệ bởi điện cực thu sét dạng dây
Vùng được bảo vệ bởi một dây thu sét được xác định bằng tập hợp của vùng được bảo vệ của các điện cực các thẳng đứng liên tiếp nhau có các đỉnh nằm trên dây. Xem ví dụ trên Hình B.3.

Hình B.3 - Vùng được bảo vệ bởi điện cực thu sét dạng dây
B.1.3. Vùng được bảo vệ bởi các dây dẫn dạng lưới
Vùng được bảo vệ bởi các dây dẫn kết hợp lại thành lưới được xác định bởi tập hợp các vùng được bảo vệ bởi từng dây dẫn riêng lẻ.
Ví dụ về vùng được bảo vệ bởi các dây dẫn dạng lưới được thể hiện ở Hình B.4 và B.5.

Hình B.4 - Vùng được bảo vệ bởi các dây dẫn dạng lưới tách biệt, xác định theo phương pháp góc bảo vệ và phương pháp quả cầu lăn

Hình B.5 - Vùng được bảo vệ bởi các dây dẫn dạng lưới không tách biệt, xác định theo phương pháp mặt lưới và phương pháp quả cầu lăn
B.2. Xác định vị trí của hệ thống điện cực thu sét bằng phương pháp quả cầu lăn
Áp dụng phương pháp này, việc định vị hệ thống điện cực thu sét là thoả đáng khi không có một điểm nào của vùng được bảo vệ chạm vào một hình cầu có bán kính r, phụ thuộc vào mức của LPS (xem Bảng A.1), lăn xung quanh và trên đỉnh của công trình theo tất cả các hướng. Như vậy, quả cầu chỉ chạm vào hệ thống điện cực thu sét (xem Hình B.6)

CHÚ THÍCH 1: Bán kính quả cầu lăn phải tuân theo mức LPS được lựa chọn (xem Bảng A.1)
CHÚ THÍCH 2: H= h
Hình B.6 - Thiết kế hệ thống điện cực thu sét theo phương pháp quả cầu lăn
Trên các cấu trúc có độ cao lớn hơn bán kính quả cầu lăn, có thể xảy ra hiện tượng các tia sét đánh vào thân cấu trúc. Mỗi điểm ở mặt bên của cấu trúc mà quả cầu lăn chạm phải sẽ là điểm có thể bị sét đánh. Tuy nhiên, xác suất này có thể bỏ qua với các cấu trúc thấp hơn 60 m.
Với các cấu trúc cao hơn, phần lớn các tia sét sẽ đánh vào đỉnh, các cạnh chính nằm ngang. Chỉ một lượng nhỏ các tia sét sẽ đánh vào thân cấu trúc.
Ngoài ra, các số liệu thu thập được cho thấy xác suất các tia sét đánh vào thân cấu trúc giảm nhanh chóng như độ cao của điểm sét đánh trên các cấu trúc cao khi đo từ mặt đất. Do vậy, cần phải lắp đặt điện cực thu sét ở phần thân trên cao của cấu trúc (thường là ở phần 20% phía trên cao của độ cao của cấu trúc). Trong trường hợp này, phương pháp quả cầu lăn chỉ áp dụng để định vị điện cực thu sét của phần trên của cấu trúc.
B.3. Định vị hệ thống điện cực thu sét dùng phương pháp lưới
Với mục đích bảo vệ các bệ mặt bằng phẳng, điện cực thu sét dạng lưới được coi là bảo vệ được toàn bộ bề mặt, nếu tất cả các điều kiện sau được thoả mãn:
a) Các dây dẫn thu sét được đặt tại:
- Các đường cạnh của mái;
- Phần nhô ra trên mái;
- Tại các đường trên chóp của mái, nếu độ dốc của mái vượt quá 1/10.
CHÚ THÍCH:
- Phương pháp lưới thích hợp với các mái bằng hoặc nghiêng mà không cong;
- Phương pháp lưới thích hợp với các bề mặt phẳng ở cạnh của cấu trúc để bảo vệ khỏi sét đánh vào cạnh thân của cấu trúc;
- Nếu độ dốc của mái vượt quá 1/10, có thể dùng các dây dẫn thu sét song song với nhau thay vì dạng lưới, miễn là khoảng cách giữa các dây không lớn hơn độ rộng của mắt lưới theo yêu cầu.
b) Kích thước của lưới phải không lớn hơn các giá trị cho ở Bảng A.1.
c) Hệ thống điện cực dạng lưới phải được lắp đặt sao cho dòng sét luôn luôn đi vào 2 đường dây dẫn riêng biệt xuống hệ thống điện cực tiếp đất.
d) Không có bộ phận kim loại nào nằm ngoài vùng được bảo vệ bởi hệ thống điện cực thu sét.
e) Các dây dẫn thu sét, thu sét cần phải đi theo các đường ngắn nhất và thẳng nhất.
Phụ lục C
(Quy định)
Xác định dòng gây hư hỏng cho cáp kim loại và cáp quang có thành phần kim loại
C.1. Xác định dòng gây hư hỏng đối với cáp chôn ngầm và cáp treo trong trường hợp sét đánh trực tiếp vào cáp
C.1.1. Dòng gây hư hỏng cho cáp kim loại
Dòng gây hư hỏng cho cáp kim loại, la, được xác định như sau:

Trong đó:
It: Dòng thử;
ls: Dòng đánh thủng vỏ (xem mục B.3);
C.1.2. Dòng gây hư hỏng cho cáp quang có thành phần kim loại
Dòng gây hư hỏng cho cáp quang có thành phần kim loại, la, được xác định như sau:

Trong đó:
It: Dòng thử;
lc: Dòng điện mối nối;
ls: Dòng đánh thủng vỏ (đối với cáp quang có thành phần kim loại ở cả vỏ và lõi) (xem C.3).
CHÚ THÍCH:
- Giá trị dòng Is được xét đến trong trường hợp cáp quang có thành phần kim loại ở cả vỏ và lõi.
- Giá trị dòng It, lc được xác định trong phòng thử nghiệm và có thể được cung cấp bởi nhà sản xuất cáp.
C.2. Xác định dòng gây hư hỏng, la, đối với cáp đi vào kết cấu bị sét đánh
Khi sét đánh trực tiếp vào kết cấu mà đường dây đi vào, gây hư hỏng cho cáp, dòng gây hư hỏng, la, được xác định với giả thuyết sau:
- 50% dòng sét chảy vào trong hệ thống tiếp đất của công trình;
- 50% dòng sét còn lại sẽ được chia giữa n đường dây dịch vụ đi vào công trình (đường dây viễn thông, đường dây điện lực, đường dẫn nước);
- Toàn bộ dòng sét qua đường dây viễn thông sẽ chảy vào trong vỏ của cáp có che chắn hoặc được chia giữa m sợi của cáp không có vỏ che chắn.
Đối với sét đánh xuống công trình mà đường dây viễn thông đi vào, dòng gây hư hỏng được tính như sau:
- Đối với cáp kim loại có che chắn:
la = 2.n.ls (C.3)
- Đối với cáp kim loại không có che chắn:
la = 2.n.m.lc (C.4)
Trong đó:
ls là dòng đánh thủng vỏ xác định theo mục C.3;
lc là dòng chảy vào từng sợi:
+ Với cáp không có che chắn, không có SPD, lc = 0;
+ Với cáp không có che chắn, có trang bị SPD, lc = 8.Sc; [kA]
Trong đó, Sc là thiết diện ngang của dây dẫn, tính theo mm2.
- Đối với cáp quang:

Trong đó:
n: Số đường ống và cáp kim loại đi vào kết cấu (viễn thông, điện, nước...);
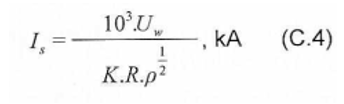
C.3. Xác định dòng đánh thủng vỏ cáp, Is
Công thức tính dòng đánh thủng vỏ cáp trong Phụ lục này được áp dụng với cáp có một lớp vỏ kim loại. Với các loại cáp viễn thông phổ biến, các giá trị điện áp đánh thủng trình bày trong bảng C.1
Bảng C.1 - Giá trị điện áp đánh thủng của cáp đối xứng
| Vật liệu cách điện | Điện áp đánh thủng (Uw) |
| Giấy | 1,5 kV |
| Nhựa | 5 kV |
Dòng đánh thủng vỏ cáp kim loại hoặc cáp quang (có thành phần kim loại ở cả vỏ và lõi) chôn ngầm được tính bằng công thức sau:

Trong đó:
K = 8: Hệ số dạng sóng dòng sét (dạng sóng 10/350 μs), (m/Ω)1/2;
R: Điện trở trên một đơn vị độ dài của vỏ cáp, Ω/km;
Uw: Điện áp đánh thủng giữa vỏ che chắn và dây cáp, kV;
ρ: Điện trở suất của đất, Ω.m;
Bảng C.2 - Bảng giá trị dòng đánh thủng vỏ điển hình của cáp (kA)
| Loại cápa) | Điện trở suất của đất | |||
| Số đôi | Trở kháng màn che (Ω/km) | 100 Ωm | 400 Ωm | 1000 Ωm |
| 400 | 1 | 62 | 31 | 20 |
| 100 | 2 | 31 | 16 | 10 |
| 50 | 3 | 21 | 10 | 7 |
| 20 | 4 | 16 | 8 | 5 |
| a) Màng che nhôm dày 0,2mm; đường kính dây 0,40 mm; Cách điện bằng nhựa. | ||||
Phụ lục D
(Quy định)
Tính toán hệ số che chắn của dây chống sét ngầm bảo vệ cáp thông tin chôn ngầm
Tác dụng che chắn của dây chống sét ngầm phụ thuộc vào vị trí lắp đặt của dây chống sét ngầm và được đánh giá bằng hệ số che chắn ƞ.
Hệ số che chắn ƞ được xác định bằng tỉ số các dòng điện trên vỏ cáp khi có (l’sh) và không có (lsh) dây chống sét ngầm như sau:
ƞ = I’sh/lsh
D.1. Hệ số che chắn của một dây chống sét ngầm
Hệ số che chắn của một dây chống sét ngầm được xác định bằng biểu thức:
ƞ = ln(x/s)/ln(x2/s.r) (D.1)
Trong đó (xem Hình D.1 a):
r: Bán kính trung bình của vỏ cáp;
s: Bán kính của dây chống sét ngầm;
x: Khoảng cách giữa các trục của cáp và dây chống sét ngầm.
Bảng D.1 và D.2 cho các giá trị hệ số che chắn đối với một số kích thước dây dẫn và khoảng cách giữa dây dẫn và dây chống sét ngầm khác nhau.
Bảng D.1 - Hệ số che chắn với r = 10 mm
| x(m) | s = 2 mm | s = 3 mm | s = 5 mm | s = 8 mm | s = 12 mm |
| 0,15 | 0,61 | 0,59 | 0,56 | 0,52 | 0,48 |
| 0,25 | 0,60 | 0,58 | 0,55 | 0,52 | 0,49 |
| 0,50 | 0,59 | 0,57 | 0,54 | 0,51 | 0,49 |
| 1,00 | 0,57 | 0,56 | 0,53 | 0,51 | 0,49 |
Bảng D.2 - Hệ số che chắn với r = 20 mm
| x (m) | s = 2 mm | s = 3 mm | s = 5 mm | s = 8 mm | s = 12 mm |
| 0,15 | 0,68 | 0,65 | 0,62 | 0,59 | 0,55 |
| 0,25 | 0,65 | 0,63 | 0,60 | 0,57 | 0,54 |
| 0,50 | 0,63 | 0,61 | 0,59 | 0,56 | 0,54 |
| 1,00 | 0,61 | 0,60 | 0,58 | 0,55 | 0,53 |
D.2. Hệ số che chắn của nhiều dây chống sét ngầm được bố trí trên một đường tròn xung quanh cáp
D.2.1. Trường hợp dùng hai dây chống sét ngầm
Xem Hình D.1 b.
Bảng D.3 - Hệ số che chắn của 2 dây chống sét ngầm
| X (m) | g = 30° | g = 45° | g = 60° | g = 90° |
| 0,15 | 0,38 | 0,36 | 0,34 | 0,33 |
| 0,25 | 0,38 | 0,35 | 0,34 | 0,33 |
| 0,50 | 0,37 | 0,35 | 0,34 | 0,33 |
| 1,00 | 0,37 | 0,35 | 0,34 | 0,33 |
D.2.2. Trường hợp dùng ba dây chống sét ngầm, với khoảng cách x = 0,25 m
Xem Hình D.1 c.
Bảng D.4 - Hệ số che chắn của 3 dây chống sét ngầm (x = 0,25 m)
| g = 30° | g = 60° | g = 90° | g = 120° |
| 0,33 | 0,26 | 0,23 | 0,22 |
D.2.3. Trường hợp dùng n dây chống sét ngầm bố trí đối xứng xung quanh cáp, với khoảng cách x = 0,25 m
Xem Hình D.1 d, D.1 e, D.1 f.
Bảng D.5 - Hệ số che chắn của n dây chống sét ngầm bố trí đối xứng xung quanh cáp (với x = 0,25 m)
| n = 4 | n = 6 | n = 8 |
| 0,16 | 0,09 | 0,06 |

Phụ lục E
(Tham khảo)
Đặc điểm dông sét của Việt Nam
Bảng E.1 - Mật độ sét tại các tỉnh, thành phố của Việt Nam
| TT | Tỉnh, Thành phố | Huyện | Mật độ sét đánh (số lần/km2/năm) |
| 1 | An Giang | Tp. Long Xuyên, Tp. Châu Đốc, An Phú , Châu Phú, Châu Thành, Chợ Mới, Phú Tân, Tân Châu, Tịnh Biên, Thoại Sơn, Tri Tôn | 13,7 |
| 2 | Bà Rịa - Vũng Tàu | Tp. Vũng Tàu, Tp. Bà Rịa, Châu Đức, Côn Đảo, Long Điền, Đất Đỏ, Xuyên Mộc | 8,2 |
| Tân Thành, Châu Đức | 10,9 | ||
| 3 | Bắc Kạn | Tp. Bắc Kạn, Bạch Thông, Chợ Đồn, Chợ Mới, Na Rì, Ngân Sơn, Pác Nặm | 8,2 |
| Chợ Đồn | 10,9 | ||
| 4 | Bắc Giang | Tp. Bắc Giang, Hiệp Hoà, Lạng Giang, Lục Nam, Lục Ngạn, Sơn Động, Tân Yên, Việt Yên, Yên Dũng, Yên Thế | 8,2 |
| 5 | Bắc Ninh | Tp. Bắc Ninh, Gia Bình, Lương Tài, Quế Võ, Yên Phong | 8,2 |
| Tx. Từ Sơn, Tiên Du, Thuận Thành | 10,9 | ||
| 6 | Bạc Liêu | Tp. Bạc Liêu | 10,9 |
| Tx. Giá Rai, Đông Hải, Hồng Dân, Phước Long, Vĩnh Lợi | 13,7 | ||
| 7 | Bến Tre | Tp. Bến Tre, Châu Thành, Chợ Lách, Giồng Trôm, Mỏ Cày | 13,7 |
| Thạnh Phú, Ba Tri, Bình Đại | 10,9 | ||
| 8 | Bình Định | Tp. Quy Nhơn, Tuy Phước | 5,7 |
| An Lão, An Nhơn, Hoài Ân, Hoài Nhơn, Phù Cát, Phù Mỹ, Tây Sơn, Vân Canh, Vĩnh Thạnh | 8,2 | ||
| 9 | Bình Dương | Tp. Thủ Dầu Một, Tp. Dĩ An, Tx. Tân Uyên, Tp. Thuận An | 13,7 |
| Bến Cát, Dầu Tiếng, Phú Giáo | 14,9 | ||
| 10 | Bình Phước | Tp. Đồng Xoài, Bình Long, Chơn Thành, Đồng Phú | 14,9 |
| Bù Đốp, Bù Đăng, Lộc Ninh, Phước Long | 13,7 | ||
| 11 | Bình Thuận | Tp. Phan Thiết, Hàm Tân, Hàm Thuận Bắc, Hàm Thuận Nam, Tánh Linh | 8,2 |
| Đức Linh | 10,9 | ||
| Phú Quý | 7,0 | ||
| Bắc Bình | 5,7 | ||
| Tuy Phong | 3,4 | ||
| 12 | Cà Mau | Tp. Cà Mau, U Minh, Thới Bình, Trần Văn Thời, Cái Nước, Đầm Dơi, Phú Tân, Năm Căn, Ngọc Hiển | 13,7 |
| 13 | Cao Bằng | Tp. Cao Bằng, Bảo Lạc, Bảo Lâm, Hà Quảng, Hạ Lang, Hà An, Nguyên Bình, Phục Hoà, Quảng Uyên, Thạch An, Thông Nông, Trà Lĩnh, Trùng Khánh | 9,2 |
| 14 | Cần Thơ | Q. Bình Thủy, Q. Cái Răng, Q. Ninh Kiều, Q. Ô Môn, Cờ Đỏ, Phong Điền, Thốt Nốt, Vĩnh Thạnh | 13,7 |
| 15 | Đà Nẵng | Q. Hải Châu, Q. Liên Chiểu, Q. Ngũ Hành Sơn, Q. Sơn Trà, Thanh Khê, Hòa Vang | 8,2 |
| Hoàng Sa | 7,0 | ||
| 16 | Đắk Lắk | Tp. Buôn Ma Thuột, Buôn Đôn, Ea Súp, Cư M'Gar, Ea H'Leo, Krông Buk, Krông Năng | 13,7 |
| Krông Păk, Krông Ana, Lắk, Krông Bông, Ea Kar | 10,9 | ||
| M'Đrắk | 8,2 | ||
| 17 | Điện Biên | Tp. Điện Biên Phủ, Điện Biên, Điện Biên Đông | 8,2 |
| Tx. Mường Lay, Mường Chà, Mường Nhé, Tủa Chùa, Tuần Giáo | 10,9 | ||
| 18 | Đắk Nông | Tp. Gia Nghĩa, Krông Nô | 10,9 |
| Đắk Mil, Đắk R'Lấp, Đắk Song, Cư Jút, Đắk Glong, Tuy Đức | 13,7 | ||
| 19 | Đồng Nai | Tp. Biên Hòa, Long Thành, Nhơn Trạch, Vĩnh Cửu, Trảng Bom | 13,7 |
| Tp. Long Khánh, Tân Phú, Định Quán, Thống Nhất | 10,9 | ||
| Xuân Lộc, Cẩm Mỹ | 8,2 | ||
| 20 | Đồng Tháp | Tp. Cao Lãnh, Lấp Vò, Tp. Sa Đéc, Tân Hồng, Tam Nông, Tháp Mười, Tx. Hồng Ngự, Cao Lãnh, Thanh Bình, Lai Vung, Châu Thành | 13,7 |
| 21 | Gia Lai | Tx. An Khê, Chư Pah, la Grai, Mang Yang, Đak Đoa, Đak Pơ | 8,2 |
| Tp. Pleiku, K’Bang, la Pa, Đức Cơ, Krông Pa | 10,9 | ||
| Chư Prông, Chư Sê, A Yun Pa | 13,7 | ||
| 22 | Hà Giang | Tp. Hà Giang, Bắc Mê, Bắc Quang, Mèo Vạc, Quản Bạ, Vị Xuyên | 10,9 |
| Hoàng Su Phì, Quang Bình, Xín Mần, Đồng Văn, Mèo Vạc, Yên Minh | 8,2 | ||
| 23 | Hà Nam | Tp. Phủ Lý, Kim Bảng, Thanh Liêm, Duy Tiên | 10,9 |
| Bình Lục, Lý Nhân | 8,2 | ||
| 24 | Hà Nội | Q. Ba Đình, Q. Cầu Giấy, Q. Đống Đa, Q. Hai Bà Trưng, Q. Hoàng Mai, Q. Hoàn Kiếm, Q. Long Biên, Q. Tây Hồ, Q. Thanh Xuân, Gia Lâm, Thanh Trì, Từ Liêm, Đông Anh | 10,9 |
| Sóc Sơn | 8,2 | ||
| Q. Hà Đông, Tx. Sơn Tây, Ba Vì, Chương Mỹ, Đan Phượng, Hoài Đức, Mỹ Đức, Phú Xuyên, Phúc Thọ, Quốc Oai, Thạch Thất, Thanh Oai, Thường Tín, Ứng Hòa | 10,9 | ||
| Phúc Thọ, Đan Phượng, Thạch Thất, Quốc Oai, Hoài Đức | 8,2 | ||
| 25 | Hà Tĩnh | Tp. Hà Tĩnh, Cẩm Xuyên, Can Lộc, Đức Thọ, Hương Sơn, Kỳ Anh, Nghi Xuân, Thạch Hà, Vũ Quang, Tx. Kỳ Anh | 8,2 |
| Hương Khê | 10,9 | ||
| 26 | Hậu Giang | Châu Thành, Phụng Hiệp, Tp. Ngã Bảy | 10,9 |
| Tp. Vị Thanh, Vị Thủy, Long Mỹ, Châu Thành A | 13,7 | ||
| 27 | Hải Dương | Tp. Hải Dương, Bình Giang, Cẩm Giàng, Tp. Chí Linh, Gia Lộc, Nam Sách, Ninh Giang, Thanh Miện | 8,2 |
| Kinh Môn, Kim Thành, Thanh Hà, Tứ Kỳ | 10,9 | ||
| 28 | Hải Phòng | Q. Hồng Bàng, Q. Kiến An, Q. Lê Chân, Q. Ngô Quyền, An Dương, An Lão, Kiến An, Bạch Long Vĩ, Thủy Nguyên | 10,9 |
| Q. Hải An, Tx. Đồ Sơn, Tiên Lãng, Vĩnh Bảo, Kiến Thụy, Cát Hải | 8,2 | ||
| 29 | Hoà Bình | Tp. Hòa Bình, Đà Bắc, Kim Bôi, Kỳ Sơn, Lạc Thủy, Lương Sơn, Mai Châu | 10,9 |
| Cao Phong, Tân Lạc, Lạc Sơn, Yên Thủy | 13,7 | ||
| 30 | Hưng Yên | Tp. Hưng Yên, Phù Cừ, Tiên Lữ | 8,2 |
| Ân Thi, Khoái Châu, Kim Động, Tx. Mỹ Hào, Văn Giang, Văn Lâm, Yên Mỹ | 10,9 | ||
| 31 | Khánh Hoà | Tp. Nha Trang | 3,4 |
| Tp. Cam Ranh, Diên Khánh, Vạn Ninh, Ninh Hòa | 5,7 | ||
| Khánh Sơn, Khánh Vĩnh. | 8,2 | ||
| Trường Sa | 7,0 | ||
| 32 | Kiên Giang | Tp. Rạch Giá, Tx. Hà Tiên, An Biên, An Minh, Châu Thành, Giồng Riềng, Gò Quao, Hòn Đất, Kiên Hải, Kiên Lương, Tân Hiệp, Vĩnh Thuận | 13,7 |
| Phú Quốc | 7,0 | ||
| 33 | Kon Tum | Tp. Kon Tum, Kon Plông, Kon Rẫy, Đắk Glei, Đắk Hà, Sa Thầy | 8,2 |
| Đắk Tô, Ngọc Hồi | 5,7 | ||
| 34
| Lâm Đồng | Tp. Đà Lạt, Đam Rông, Đơn Dương, Đức Trọng, Lâm Hà | 10,9 |
| Tp. Bảo Lộc, Bảo Lâm, Cát Tiên, Di Linh 8,2 Đạ Huoai, Đạ Tẻh | 5,7 | ||
| Lạc Dương | 13,7 | ||
| 35 | Lào Cai | Tp. Lào Cai, Tx. Sa Pa, Bắc Hà, Bát Xát, Mường Khương, Si Ma Cai | 8,2 |
| Bảo Thắng, Bảo Yên, Văn Bàn | 10,9 | ||
| 36 | Lạng Sơn | TP. Lạng Sơn, Bắc Sơn, Bình Gia, Cao Lộc, Chi Láng, Đình Lập, Hữu Lũng, Lộc Bình, Tràng Định, Văn Lãng, Văn Quan | 8,2 |
| 37 | Lai Châu | Tp. Lai Châu, Mường Tè, Phong Thổ, Sìn Hồ, Tam Đường, Than Uyên | 8,2 |
| 38 | Long An | Tp. Tân An, Bến Lức, Cần Đước, Cần Giuộc, Châu Thành, Đức Hòa, Tân Trụ, Tân Hưng, Tân Thạnh, Thủ Thừa | 13,7 |
| Đức Huệ, Mộc Hóa, Thạnh Hóa, Vĩnh Hưng | 14,9 | ||
| 39 | Nam Định | Tp. Nam Định, Giao Thủy, Hải Hậu, Mỹ Lộc, Nam Trực, Nghĩa Hưng, Trực Ninh, Vụ Bản, Xuân Trường, Ý Yên | 8,2 |
| 40 | Nghệ An | Tp. Vinh, Tx. Cửa Lò, Hưng Nguyên, Nam Đàn, Thanh Chương, Đô Lương, Yên Thành, Quỳnh Lưu, Diễn Châu, Tx. Hoàng Mai | 8,2 |
| Anh Sơn, Con Cuông, Nghĩa Đàn, Tân Kỳ, Tương Dương, Kỳ Sơn, Quế Phong | 10,9 | ||
| Quỳ Châu, Quỳ Hợp | 13,7 | ||
| 41 | Ninh Bình | Tp. Ninh Bình, Tp. Tam Điệp, Hoa Lư, Kim Sơn, Yên Khánh, Yên Mô | 8,2 |
| Gia Viễn, Nho Quan | 10,9 | ||
| 42 | Ninh Thuận | Tp. Phan Rang, Ninh Phước | 1,4 |
| Bắc Ái, Ninh Sơn | 5,7 | ||
| Ninh Hải | 3,4 | ||
| 43 | Phú Thọ | Tp. Việt Trì, Tx. Phú Thọ, Đoan Hùng, Hạ Hoà, Lâm Thao, Phù Ninh, Cẩm Khê, Tam Nông, Thanh Ba, Thanh Sơn, Thanh Thủy, Yên Lập | 10,9 |
| 44 | Phú Yên | Tp. Tuy Hòa | 3,4 |
| Đông Xuân, Sông Hinh, Sơn Hòa | 8,2 | ||
| Phù Hòa, Sông Cầu, Tuy An, Tuy Hòa | 5,7 | ||
| 45 | Quảng Bình | Tp. Đồng Hới, Bố Trạch, Lệ Thủy, Minh Hóa, Quảng Ninh, Quảng Trạch | 8,2 |
| Tuyên Hóa | 10,9 | ||
| 46 | Quảng Nam | Tp. Tam Kỳ, Tp. Hội An, Bắc Trà My, Duy Xuyên, Đại Lộc, Điện Bản, Nam Trà My, Phú Ninh, Núi Thành, Quế Sơn, Thăng Bình, Tiên Phước, Hiệp Đức | 8,2 |
| Đông Giang, Nam Giang, Phước Sơn, Tây Giang, Nam Trà My | 10,9 | ||
| 47 | Quảng Ngãi | Tp. Quảng Ngãi, Bình Sơn, Đức Phổ, Lý Sơn, Mộ Đức, Nghĩa Hành, Tư Nghĩa, Sơn Tịnh | 8,2 |
| Ba Tơ, Minh Long, Sơn Hà, Sơn Tây, Tây Trà, Trà Bồng | 10,9 | ||
| 48 | Quảng Ninh | Tp. Hạ Long, Tp. Uông Bí, Đông Triều, Yên Hưng, Hoành Bồ, Bình Liêu | 8,2 |
| Tp. Móng Cái, Ba Chẽ, Cô Tô, Đầm Hà, Hải Hà, Hoành Bồ, Tiên Yên, Vân Đồ, Tp. Cẩm Phả | 10,9 | ||
| 49 | Quảng Trị | Tp. Đông Hà, Cam Lộ, Cồn Cỏ, Đa Krông, Gio Linh, Hải Lăng, Hướng Hóa, Vĩnh Linh | 8,2 |
| Tx. Quảng Trị, Đa Krông, Hải Lăng, Triệu Phong | 10,9 | ||
| 50 | Sơn La | Tp. Sơn La, Bắc Yên, Mai Sơn, Mộc Châu , Mường La, Phù Yên, Quỳnh Nhai, Sông Mã, Sốp Cộp, Thuận Châu, Yên Châu | 10,9 |
| 51 | Sóc Trăng | Tp. Sóc Trăng, Cù Lao Dung, Kế Sách, Long Phú, Mỹ Xuyên, Vĩnh Châu | 10,9 |
| Mỹ Tú, Ngã Năm, Thạnh Trị | 13,7 | ||
| 52 | Tây Ninh | Tp. Tây Ninh, Châu Thành, Hòa Thành, Tân Biên, Tân Châu | 13,7 |
| Gò Dầu, Trảng Bàng, Bến Cầu, Dương Minh Châu | 14,9 | ||
| 53 | Thái Bình | Tp. Thái Bình, Đông Hưng, Hưng Hà, Kiến Xương, Quỳnh Phụ, Thái Thụy, Tiền Hải, Vũ Thư | 8,2 |
| 54 | Thái Nguyên | Tp. Thái Nguyên, Định Hóa, Đồng Hỷ, Phổ Yên, Phú Bình, Phú Lương, Võ Nhai, Tp. Sông Công, Đại Từ | 8,2 |
| 55 | Thanh Hoá | Tp. Thanh Hóa, Tx. Bỉm Sơn, Tp. Sầm Sơn, Đông Sơn, Hà Trung, Hậu Lộc, Hoằng Hóa, Như Thanh, Như Xuân, Nông Cống, Nga Sơn, Thiệu Hóa, Thọ Xuân, Quảng Xương, Tĩnh Gia, Triệu Sơn, Vĩnh Lộc, Yên Định | 8,2 |
| Bá Thước, Thạch Thành, Cẩm Thủy | 13,7 | ||
| Lang Chánh, Mường Lát, Quan Hóa, Quan Sơn, Thường Xuân, Ngọc Lặc, Cẩm Thủy | 10,9 | ||
| 56 | Thừa Thiên - Huế | Tp. Huế, Phong Điền, Phú Lộc, Phú Vang, Quảng Điền | 10,9 |
| A Lưới, Hương Trà, Hương Thủy, Nam Đông | 13,7 | ||
| 57 | Tiền Giang | Tp. Mỹ Tho, Tx. Gò Công, Cái Bè, Cai Lậy, Châu Thành, Tân Phước, Chợ Gạo, Gò Công Đông, Gò Công Tây | 13,7 |
| 58 | Tp. Hồ Chí Minh | Quận 2, Quận 3, Quận 4, Quận 5, Quận 6, Quận 7, Quận 8, Quận 9, Quận 10, Quận 11, Q. Tân Phú, Q. Bình Tân, Q. Bình Thạnh, Q. Gò Vấp, Q. Phú Nhuận, Q. Tân Bình, Q. Thủ Đức, Bình Chánh, Nhà Bè, Hóc Môn | 13,7 |
| Cần Giờ | 10,9 | ||
| Củ Chi | 14,9 | ||
| 59 | Trà Vinh | Tp. Trà Vinh, Càng Long | 13,7 |
| Cầu Kè, Cầu Ngang, Châu Thành, Duyên Hải, Tiểu Cần, Trà Cú | 10,9 | ||
| 60 | Tuyên Quang | Tp. Tuyên Quang, Chiêm Hóa, Hàm Yên, Na Hang, Sơn Dương | 10,9 |
| Sơn Dương | 8,2 | ||
| 61 | Vĩnh Long | Tp. Vĩnh Long, Long Hồ, Mang Thít | 13,7 |
| Tam Bình, Trà Ôn, Vũng Liêm, Bình Minh | 10,9 | ||
| 62 | Vĩnh Phúc | Tp. Vĩnh Yên, Tx. Phúc Yên, Bình Xuyên, Lập Thạch, Tam Dương, Vĩnh Tường, Yên Lạc. | 10,9 |
| Tam Đảo, Mê Linh | 8,2 | ||
| 63 | Yên Bái
| Tp. Yên Bái, Tx. Nghĩa Lộ, Lục Yên, Mù Cang Chải, Trạm Tấu, Trấn Yên, Văn Chấn, Văn Yên, Yên Bình | 10,9 |
CHÚ THÍCH:
- Số liệu mật độ sét được lấy trên số liệu thu thập của Viện vật lý địa cầu và được công bố trong bảng 5.1 QCVN 02:2009/BXD Quy chuẩn kỹ thuật quốc gia số liệu điều kiện tự nhiên dùng trong xây dựng.
- Trong trường hợp quy chuẩn QCVN 02:2009/BXD được sửa đổi bổ sung thì lấy số liệu trong bản sửa đổi bổ sung mới nhất.
Bảng E.2 - Sự phân bố các đặc tính chính của sét mặt đất
| TT | Đặc tính sét | Tỷ lệ phần trăm các khả năng trị số đặc tính có thể xảy ra lớn hơn giá trị sau đây | Đơn vị | ||||||
|
|
| 99 | 90 | 75 | 50 | 25 | 10 | 1 |
|
| 1 | Số sét lặp | 1 | 1 | 2 | 3 | 5 | 7 | 12 |
|
| 2 | Khoảng thời gian giữa các sét | 10 | 25 | 35 | 55 | 90 | 150 | 400 | ms |
| 3 | Dòng sét thứ nhất, Imax | 5 | 12 | 20 | 30 | 50 | 80 | 130 | kA |
| 4 | Biên độ dòng sét tiếp theo | 3 | 6 | 10 | 15 | 20 | 30 | 40 | kA |
| 5 | Độ dốc sét thứ nhất, (dl/dt) | 6 | 10 | 15 | 25 | 30 | 40 | 70 | GA/s |
| 6 | Độ dốc sét tiếp theo, (dl/dt) | 6 | 15 | 25 | 45 | 80 | 100 | 200 | GA/s |
Phụ lục F
(Tham khảo)
Tính toán rủi ro tổn thất cho một trạm viễn thông điển hình
Tính toán rủi ro thiệt hại do sét cho một trạm viễn thông tại thành phố Tuy Hoà, tỉnh Phú Yên, có các số liệu cơ sở:
- Kích thước và vật liệu nhà trạm: 5mx3mx3m; bê tông cốt thép;
- Độ cao ăng ten và khoảng cách từ ăng ten tới nhà: cao 80 m, cách nhà 4 m;
- Đặc điểm và chiều dài của các cáp vào nhà trạm:
+ Cáp điện lực dài 600 m, không có che chắn, chôn ngầm;
+ Cáp thông tin dài 1000m, không có che chắn, treo nổi;

F.1. Tính toán các diện tích rủi ro, A
- Diện tích rủi ro sét đánh trực tiếp vào nhà trạm, trong trường hợp này Ad = 0 (do nhà được bao phủ bởi diện tích rủi ro của cột ăng ten);
- Diện tích rủi ro sét đánh trực tiếp vào cột ăng ten:
Aa= π (3h)2 = π. (3x80)2 = 1800956 (m2) = 0,2 (km2);
- Diện tích rủi ro sét đánh xuống đường cáp thông tin:
Astele = 2.d1tele-Ltele - Aa/2= 2x1000x1000 - 90000 = 1.91.10-6 (m2) = 1,9 (km2) - (diện tích rủi ro sét đánh xuống các đường cáp được giảm do sự che phủ bởi diện tích rủi ro sét đánh xuống cột ăng ten);
- Diện tích rủi ro sét đánh xuống cáp điện lực:
Aspower = 2. d1power.Lpower-Aa/2 = 2 x 250x 600 - 90000 = 0.21.10-6 (m2) = 0,2 (km2)
- Diện tích rủi ro sét đánh xuống lân cận nhà trạm, An, được giảm do sự bao phủ của diện tích rủi ro sét đánh vào cột ăng ten và diện tích rủi ro sét đánh vào các đường dây, riêng từng trường hợp ta có:
+ Trường hợp bao phủ bởi cáp thông tin:
An(tele) = π d2/2 - Aa/2 = 0,3 (km2);
+ Trường hợp bao phủ bởi cáp điện lực :
An(power) = π d2/2 - Aa/2 + (πd2/3 - 2 d1.d1√3/2) = 0,5 (km2) - (các thành phần trong ngoặc biểu thị diện tích của mảnh vòng tròn khi d= 2 d1 )

F.2. Tính toán tần suất thiệt hại
Mật độ sét của khu vực đặt trạm viễn thông tại thành phố Tuy Hoà, tỉnh Phú Yên, theo Bảng D.1, Phụ lục D là Ng = 3,7 lần/km2.năm.
Tần suất thiệt hại F phụ thuộc vào Ng, các diện tích rủi ro vừa tính toán trên và các hệ số xác suất thiệt hại tương ứng với các biện pháp bảo vệ, có giá trị lấy theo các Bảng 5 đến Bảng 9.
Khi không có các biện pháp bảo vệ, chỉ xét che chắn của cấu trúc nhà và sự đấu nối vỏ che chắn của cáp ăng ten vào trạm, tần suất thiệt hại sẽ là:
- Tần suất thiệt hại do sét đánh trực tiếp vào nhà trạm:
Fd = Ng.Ad. pd = 0 (do Ad = 0)
- Tần suất thiệt hại do sét đánh xuống đất gần khu vực nhà trạm:
Fn = Ng. An.pn = Ng.(An(tele) + An(power)).pn
với pn = 0,1 do toà nhà có cấu trúc bê tông cốt thép (theo Bảng 5),
Fn = 3,7 x (0,3 + 0,5) x 0,1 = 0,296 (lần/ năm);
- Tần suất thiệt hại do sét đánh vào cáp hoặc vùng lân cận cáp:
Fs = Ng. (AS(tele) + As(power)). Ps
với ps = 1 do không có các biện pháp bảo vệ trên cáp (theo Bảng 7):
Fs = 3,7 x (1,9 + 0,2).1 = 7,7 (lần/năm)
- Tần suất thiệt hại do sét đánh trực tiếp vào cột ăng ten:
Fa = Ng. Ag. pa
với pa = 0,01 do toà nhà có cấu trúc bê tông cốt thép (theo Bảng 5) và giả thiết cáp được nối đất tốt với cốt thép toà nhà:
Fa = 3,7 x 0,2 x 0,01 = 0,0047 (lần/ năm);
F.3. Tính toán rủi ro tổn thất
- Rủi ro tổn thất cho con người ở bên trong khu vực trạm viễn thông được tính theo công thức 2.1, với giả thiết lớp bề mặt sàn làm bằng bê tông khô (Pinjury= 10-3 theo Bảng 9):
Rinjury = L. pinjury.ΣFi = 1.10-3 x (0,296 + 7,7 + 0,0047) = 8.10-3
Rủi ro như trên là quá cao so với yêu cầu rủi ro cho phép (10-5), do vậy cần trang bị thêm các biện pháp bảo vệ.
- Rủi ro tổn thất dịch vụ được tính theo công thức 2.2:
Rloss = L.ΣFi = 2,47.10-3 x 8 = 19,76.10-3
Rủi ro như trên là quá cao so với tiêu chuẩn rủi ro cho phép (10-3), do vậy cần trang bị thêm các biện pháp bảo vệ.
Từ tính toán trên, ta thấy nguồn tần suất thiệt hại do sét lớn nhất là từ các đường dây thông tin và điện lực (Fs= 7,7 lần/năm), do vậy, cần phải lắp đặt trang bị bảo vệ trên các đường dây này. Nếu phương pháp lắp đặt có chất lượng, sẽ làm giảm Fn và Fs một hệ số p = 0,01. Nhờ vậy, tần suất thiệt hại sẽ là:
ΣF = 3,7 x [0,8.10-1.10-2 + 2,1.10-2 + 0,2.10-2] = 8,51.10-2 (lần/ năm)
- Rủi ro tổn thất cho con người có thể được giảm bằng cách trang bị hệ thống chống sét bên ngoài (Pinjury = 0,1 theo Bảng 6) và bề mặt của diện tích làm việc được phủ bằng vật liệu nhựa đường hoặc gỗ (Pinjury = 10-5), thì rủi ro tổn thất cho con người sẽ là:
Rinjury = 8,51.10-2.10-1.10-5 = 8,51.10-8
Giá trị này là đạt so với tiêu chuẩn cho phép. Vì vậy, việc trang bị bảo vệ cho con người như trên là đã đủ.
- Rủi ro tổn thất dịch vụ:
Rloss = 8,51.10-2. 2,74.10-3 = 23,3.10-5 = 0,233.10-3
Giá trị này là đạt so với tiêu chuẩn cho phép. Vì vậy, việc trang bị bảo vệ cho dịch vụ như trên là đã đủ.
Thư mục tài liệu tham khảo
[1] IEC 62305-1:2010, Protection against lightning - Part 1: General principles
[2] IEC 62305-2:2010, Protection against lightning - Part 2: Risk management
[3] IEC 62305-3:2010, Protection against lightning - Part 3: Physical damage to structures and life hazard
[4] ITU-T Recommendation K.39 (1996), Risk assessment of damages to telecommunication sites due to lightning discharges
[5] ITU-T Recommendation K.40 (2018), Protection against lightning electromagnetic pulses in telecommunication centres
[6] ITU-T Recommendation K.47 (2012), Protection of telecommunication lines against direct lightning flashes
______________________________
Bạn chưa Đăng nhập thành viên.
Đây là tiện ích dành cho tài khoản thành viên. Vui lòng Đăng nhập để xem chi tiết. Nếu chưa có tài khoản, vui lòng Đăng ký tại đây!