- Tổng quan
- Nội dung
- Quy chuẩn liên quan
- Lược đồ
- Tải về
Quy chuẩn QCVN 46:2022/BTNMT Quan trắc khí tượng
| Số hiệu: | QCVN 46:2022/BTNMT | Loại văn bản: | Quy chuẩn Việt Nam |
| Cơ quan ban hành: | Bộ Tài nguyên và Môi trường | Lĩnh vực: | Tài nguyên-Môi trường |
|
Ngày ban hành:
Ngày ban hành là ngày, tháng, năm văn bản được thông qua hoặc ký ban hành.
|
27/10/2022 |
Hiệu lực:
|
Đã biết
|
| Người ký: | Đang cập nhật |
Tình trạng hiệu lực:
Cho biết trạng thái hiệu lực của văn bản đang tra cứu: Chưa áp dụng, Còn hiệu lực, Hết hiệu lực, Hết hiệu lực 1 phần; Đã sửa đổi, Đính chính hay Không còn phù hợp,...
|
Đã biết
|
TÓM TẮT QUY CHUẨN VIỆT NAM QCVN 46:2022/BTNMT
Quy chuẩn kỹ thuật quốc gia về quan trắc khí tượng
Ngày … tháng … năm 2022, Bộ Tài nguyên và Môi trường đã ban hành Quy chuẩn kỹ thuật quốc gia QCVN 46:2022/BTNMT về quan trắc khí tượng, do Tổng cục Khí tượng Thủy văn biên soạn và Bộ Khoa học và Công nghệ thẩm định. Quy chuẩn này có hiệu lực kể từ ngày ban hành.
Quy chuẩn điều chỉnh các kỹ thuật liên quan đến quan trắc khí tượng bề mặt và khí tượng trên cao, áp dụng cho các cơ quan, tổ chức và cá nhân tham gia vào hoạt động quan trắc này.
Phương tiện đo và thiết bị quan trắc Quy chuẩn quy định rõ về các phương tiện và thiết bị đo dùng trong quan trắc khí tượng. Tất cả phương tiện đo phải nằm trong danh mục kiểm định, hiệu chuẩn theo quy định pháp luật. Được phép sử dụng các chỉ tiêu kỹ thuật quốc gia và quốc tế với độ chính xác tương đương hoặc cao hơn quy định trong quy chuẩn.
Quy định về quan trắc khí tượng bề mặt Quy định về vị trí và công trình quan trắc được thực hiện theo các tiêu chuẩn quy định trong các tài liệu ngành. Các thông số kỹ thuật liên quan đến phương tiện đo thủ công và tự động được nêu rõ trong bảng thông số tương ứng, như nhiệt kế, ẩm ký, khí áp kế, với các độ sai số cho phép.
Tần suất và trình tự quan trắc Quy chuẩn yêu cầu các trạm quan trắc khí tượng thực hiện quan trắc theo tần suất cụ thể: 4 lần trong ngày đối với trạm mạng lưới quốc gia và 10 phút/lần đối với trạm tự động. Trình tự thực hiện công tác quan trắc cũng được chỉ dẫn chi tiết, bao gồm việc theo dõi tình hình thời tiết liên tục, chuẩn bị thiết bị, và ghi lại số liệu.
Kiểm tra và lưu trữ số liệu Kết quả quan trắc được ghi chép cẩn thận vào sổ hoặc hệ thống điện tử, và cần được kiểm tra để đảm bảo độ chính xác. Tổng cục Khí tượng Thủy văn có trách nhiệm lưu trữ và bảo quản số liệu gốc. Số liệu phải được mã hóa đúng quy định của Tổ chức Khí tượng Thế giới (WMO) và truyền đúng thời gian.
Sản phẩm quan trắc Các trạm được yêu cầu thực hiện báo cáo định kỳ, bao gồm báo cáo tháng và quý. Nội dung báo cáo phải rõ ràng và chi tiết, đáp ứng các quy định về giới thiệu, tổng kết hoạt động, và các hiện tượng thời tiết bất thường nếu có.
Quy chuẩn này có vai trò quan trọng trong việc đưa ra các tiêu chuẩn và quy định nhằm nâng cao chất lượng, độ chính xác của công tác quan trắc khí tượng, từ đó phục vụ tốt hơn cho công tác dự báo thời tiết và ứng phó với thiên tai.
Tải quy chuẩn Việt Nam QCVN 46:2022/BTNMT
QCVN 46:2022/BTNMT
QUY CHUẨN KỸ THUẬT QUỐC GIA VỀ QUAN TRẮC KHÍ TƯỢNG
National technical regulation on meteorological observations
LỜI NÓI ĐẦU
QCVN 46:2022/BTNMT do Tổng cục Khí tượng Thủy văn biên soạn, Vụ Khoa học và Công nghệ, Vụ Pháp chế trình duyệt, Bộ Khoa học và Công nghệ thẩm định và được ban hành theo Thông tư số ……/2022/TT-BTNMT ngày ….. tháng ….. năm 2022 của Bộ trưởng Bộ Tài nguyên và Môi trường.
QUY CHUẨN KỸ THUẬT QUỐC GIA VỀ QUAN TRẮC KHÍ TƯỢNG
National technical regulation on meteorological observations
I. QUY ĐỊNH CHUNG
1. Phạm vi điều chỉnh
Quy chuẩn kỹ thuật này quy định kỹ thuật quan trắc khí tượng bề mặt và khí tượng trên cao.
2. Đối tượng áp dụng
Quy chuẩn kỹ thuật này áp dụng đối với các cơ quan, tổ chức, cá nhân có liên quan đến việc quan trắc khí tượng bề mặt và khí tượng trên cao.
3. Quy định về phương tiện đo trong quan trắc
3.1. Phương tiện đo, thiết bị đo dùng trong quan trắc khí tượng bề mặt, khí tượng trên cao thuộc danh mục phải kiểm định, hiệu chuẩn được thực hiện đúng quy định của pháp luật về đo lường.
3.2. Các chỉ tiêu thông số kỹ thuật đối với các phương tiện đo tối thiểu đạt mức quy định trong Quy chuẩn này.
3.3. Chấp nhận những chỉ tiêu thông số kỹ thuật quốc gia và quốc tế có độ chính xác tương đương hoặc cao hơn các quy định trong Quy chuẩn này.
3.4. Phương tiện đo không thuộc danh mục phương tiện đo phải kiểm định, hiệu chuẩn phải có hồ sơ về nguồn gốc xuất xứ, đặc tính kỹ thuật phù hợp với quy chuẩn kỹ thuật do cơ quan nhà nước có thẩm quyền ban hành.
4. Tài liệu viện dẫn
Các tài liệu viện dẫn sau đây là cần thiết khi áp dụng Quy chuẩn này. Với tài liệu không ghi năm hoặc ghi năm được bổ sung, sửa đổi thì áp dụng phiên bản mới nhất.
- Thông tư số 70/2015/TT-BTNMT ngày 23 tháng 12 năm 2015 của Bộ trưởng Bộ Tài nguyên và Môi trường quy định kỹ thuật đối với hoạt động của các trạm khí tượng thủy văn tự động.
- Thông tư số 40/2017/TT-BTNMT ngày 23 tháng 10 năm 2017 của Bộ trưởng Bộ Tài nguyên và Môi trường quy định kỹ thuật chuẩn bộ dữ liệu về quan trắc, điều tra, khảo sát khí tượng thủy văn, môi trường không khí và nước.
- Thông tư số 43/2017/TT-BTNMT ngày 23 tháng 10 năm 2017 của Bộ trưởng Bộ Tài nguyên và Môi trường quy định kỹ thuật về kiểm tra trạm khí tượng trên cao và ra đa thời tiết.
- Thông tư số 48/2017/TT-BTNMT ngày 20 tháng 11 năm 2017 của Bộ trưởng Bộ Tài nguyên và Môi trường ban hành Quy chuẩn kỹ thuật quốc gia về mã luật khí tượng trên cao và ra đa thời tiết, mã số QCVN 64:2017/BTNMT.
- Thông tư số 30/2018/TT-BTNMT ngày 26 tháng12 năm 2018 của Bộ trưởng Bộ Tài nguyên và Môi trường quy định kỹ thuật về quan trắc và cung cấp thông tin dữ liệu khí tượng thủy văn đối với trạm khí tượng thủy văn chuyên dùng.
- Thông tư số 01/2020/TT-BXD ngày 6 tháng 4 năm 2020 của Bộ trưởng Bộ Xây dựng ban hành Quy chuẩn kỹ thuật quốc gia về an toàn cháy cho nhà và công trình, mã số QCVN 06:2020/BXD.
- TCVN 7447-4-41:2010 (IEC 60364-4-41:2005) Hệ thống lắp đặt điện hạ áp - Phần 4-41: Bảo vệ an toàn, bảo vệ chống điện giật.
- TCVN 9888-3:2013 (IEC 62305-3:2010) Bảo vệ chống sét - Phần 3: Thiệt hại vật chất đến kết cấu và nguy hiểm tính mạng.
- TCVN 12635-1:2019 Phần 1 - Vị trí, công trình quan trắc đối với trạm khí tượng bề mặt.
- TCVN 12636-1:2019 Phần 1 - Quan trắc khí tượng bề mặt.
- TCVN 12636-6:2020 Phần 6 - Quan trắc thám không vô tuyến.
- TCVN 12636-7:2020 Phần 7 - Quan trắc gió trên cao.
5. Giải thích thuật ngữ
Trong Quy chuẩn này sử dụng các thuật ngữ nêu trong TCVN 126361:2019, TCVN 12636-6:2020, TCVN 12636-7:2020, QCVN 64:2017/BTNMT, các từ ngữ dưới đây được hiểu như sau:
5.1. Trạm khí tượng trên cao (Upper-air station): là vị trí mà tại đó thực hiện quan trắc các yếu tố khí tượng trên cao.
5.2. Trạm đo gió trên cao (Upper-wind observation station): là vị trí mà tại đó các quan trắc hướng và tốc độ gió trong khí quyển được thực hiện bằng phương tiện quang học hoặc điện tử.
5.3 Quan trắc gió trên cao (Upper-wind observation): là quan trắc hướng và tốc độ gió trong khí quyển tại những độ cao xác định hoặc của một lần quan trắc thám không hoàn chỉnh.
II. QUY ĐỊNH KỸ THUẬT
Phần 1. ĐỐI VỚI QUAN TRẮC KHÍ TƯỢNG BỀ MẶT
1. Quy định vị trí, công trình quan trắc đối với các yếu tố khí tượng bề mặt
1.1. Quy định về vị trí, công trình quan trắc thủ công
Thực hiện theo quy định tại Điều 4.1 trong TCVN 12635-1:2019.
1.2. Quy định về công trình quan trắc tự động
Thực hiện theo quy định tại Điều 4.2 trong TCVN 12635-1:2019.
2. Quy định thông số kỹ thuật của phương tiện đo trong quan trắc
2.1. Quy định thông số kỹ thuật của phương tiện đo thủ công
2.1.1. Phương tiện đo thủ công
Bảng 1: Bảng thông số kỹ thuật phương tiện đo thủ công
| TT | Phương tiện đo | Đơn vị đo | Khoảng đo | Độ phân giải | Sai số |
| 1 | Nhiệt kế | Độ celsius (oC) | Từ - 25 oC đến + 50 oC | 0,1 oC | ± 0,3 oC |
| 2 | Nhiệt kế tối cao | Độ celsius (oC) | Từ - 10 oC đến + 70 oC | 0,5 oC | ± 0,5 oC |
| 3 | Nhiệt kế tối thấp | Độ celsius (oC) | Từ - 20 oC đến + 40 oC | 0,5 oC | ± 0,5 oC |
| 4 | Nhiệt ký | Độ celsius (oC) | Từ - 10 oC đến + 50 oC | 1,0 oC | ± 1,0 oC |
| 5 | Ẩm ký | Phần trăm (% RH) | Từ 0 % RH đến 100 % RH | Từ 2 % RH đến 5 % RH | 2 % khi ẩm độ ≥ 98 % và 6 % khi ẩm độ < 98 % |
| 6 | Khí áp kế | Hectopascal (hPa) | Từ 810 hPa đến 1060 hPa | 0,1 hPa | ± 0,5 hPa |
| 7 | Khí áp ký | Hectopascal (hPa) | Từ 955 hPa đến 1050 hPa | 1,0 hPa | ± 1,0 hPa |
| 8 | Nhiệt kế thường đất | Độ celsius (oC) | Từ - 35 oC đến + 80 oC | 0,5 oC | ± 0,5 oC |
| 9 | Nhiệt kế tối cao đất | Độ celsius (oC) | Từ -15 oC đến + 80 oC | 0,5 oC | ± 0,5 oC |
| 10 | Nhiệt kế tối thấp đất | Độ celsius (oC) | Từ - 50 oC đến + 40 oC | 0,5 oC | ± 0,5 oC |
| 11 | Bốc hơi từ bề mặt ẩm | Milimet (mm) | Từ 0 mm đến 15 mm | 0,1 mm | ± 0,1 mm khi lượng bốc hơi ≤ 5 mm; ± 2 % khi lượng bốc hơi > 5 mm |
| 12 | Bốc hơi từ bề mặt nước | Milimet (mm) | Từ 15 mm đến 30 mm | 0,1 mm | |
| 13 | Lượng mưa | Milimet (mm) | Từ 0,1 mm đến 4 mm/phút | 0,1 mm | ± 0,4 mm khi lượng mưa ≤ 10 mm; ± 4 % khi lượng mưa > 10 mm |
| 14 | Thời gian nắng | Giờ | Từ 5 giờ đến 19 giờ | 0,1 giờ | ± 0,1 giờ |
| 15 | Gió | Hướng gió: độ (o); hướng la bàn | Từ 0o đến 360o; 16 hướng la bàn | 11,5o; 1 hướng la bàn | ± 11,5o; 1 hướng la bàn |
| Tốc độ: mét/giây (m/s) | Từ 0 m/s đến 40 m/s | 1 m/s | ± 0,5 m/s khi tốc độ ≤ 5 m/s; 10% khi tốc độ > 5 m/s |
Ghi chú: đối với các phương tiện đo tự ghi đường ghi trên giản đồ nhỏ hơn 0,5 mm.
2.1.2. Quy định đối với hiện tượng và yếu tố khác
2.1.2.1. Mây
Quan trắc lượng mây tổng quan, lượng mây dưới, lượng mây của từng loại mây, loại mây, độ cao chân mây (mây dưới), dạng mây, tính mây, dạng phụ.
2.1.2.2. Hiện tượng khí tượng
Quan trắc hiện tượng khí tượng bao gồm: xác định loại hiện tượng, thời gian bắt đầu và kết thúc, đặc điểm, tính chất, cường độ, hướng xuất hiện.
2.1.2.3. Xác định trạng thái mặt đất
Bảng 2. Xác định trạng thái mặt đất không có lớp tuyết hoặc lớp băng
| Nội dung trạng thái | Mã |
| Mặt đất khô không nứt, không có bụi hoặc cát tơi với lượng đáng kể. | 0E |
| Mặt đất ẩm. | 1E |
| Mặt đất ướt (có vũng nước nhỏ hay lớn). | 2E |
| Ngập nước. | 3E |
| Mặt đất đông giá. | 4E |
| Mặt đất có váng băng. | 5E |
| Bụi hoặc cát tơi khô không phủ kín mặt đất. | 6E |
| Lớp mỏng của bụi hoặc cát tơi, phủ kín mặt đất. | 7E |
| Lớp dầy hay trung bình của bụi hay cát tơi, phủ kín mặt đất. | 8E |
| Đất rất khô, có những khe nứt. | 9E |
Bảng 3. Xác định trạng thái mặt đất có lớp tuyết hoặc lớp băng
| Nội dung trạng thái | Mã |
| Phần lớn mặt đất bụi băng phủ. | 0E’ |
| Tuyết đặc hay xốp có hay không có băng phủ chưa hết một nửa mặt đất. | 1E’ |
| Tuyết đặc hay xốp có hay không có băng phủ một nửa hay hơn, nhưng chưa kín hoàn toàn mặt đất. | 2E’ |
| Lớp đồng đều tuyết đặc hay xốp, phủ kín hoàn toàn mặt đất. | 3E’ |
| Lớp không đồng đều tuyết đặc hay xốp, phủ kín hoàn toàn mặt đất. | 4E’ |
| Bột tuyết khô phủ chưa hết một nửa mặt đất. | 5E’ |
| Bột tuyết khô phủ một nửa hay hơn nhưng chưa kín hoàn toàn mặt đất. | 6E’ |
| Lớp đồng đều bột tuyết khô, phủ kín hoàn toàn mặt đất. | 7E’ |
| Lớp không đồng đều bột tuyết khô, phủ kín hoàn toàn mặt đất. | 8E’ |
| Tuyết phủ kín hoàn toàn mặt đất, có đống tuyết cao. | 9E’ |
2.1.2.4. Xác định cấp tầm nhìn ngang
Bảng 4. Cấp tầm nhìn ngang
| Cấp tầm nhìn ngang | Khoảng cách cấp tầm nhìn ngang (m) |
| 0 | Từ 0 đến < 50 |
| 1 | Từ 50 đến < 200 |
| 2 | Từ 200 đến < 500 |
| 3 | Từ 500 đến < 1000 |
| 4 | Từ 1000 đến < 2000 |
| 5 | Từ 2000 đến < 4000 |
| 6 | Từ 4000 đến < 10000 |
| 7 | Từ 10000 đến < 20000 |
| 8 | Từ 20000 đến < 50000 |
| 9 | Từ 50000 trở lên |
Bảng 5. Bảng cấp gió Beaufort
| Cấp gió | Mức độ | Tốc độ tương đương | Độ cao sóng trung bình | Tác động của gió | |
| m/s | km/h | Mức độ nguy hại | |||
| 0 | Lặng gió | 0 - 0,2 | < 1 | - | - Gió nhẹ. - Không gây nguy hại. |
| 1 | Gió gần như lặng | 0,3 - 1,5 | 1 - 5 | 0,1 | |
| 2 | Gió rất nhẹ | 1,6 - 3,3 | 6 - 11 | 0,2 | |
| 3 | Gió khá nhẹ | 3,4 - 5,4 | 12 - 19 | 0,6 | |
| 4 | Gió nhẹ | 5,5 - 7,9 | 20 - 28 | 1,0 | - Cây nhỏ cỏ lá bắt đầu lay động, ảnh hưởng đến lúa đang phơi màu. - Biển hơi động, thuyền đánh cá bị chao nghiêng, phải cuốn bớt buồm. |
| 5 | Gió vừa | 8,0 - 10,7 | 29 - 38 | 2,0 | |
| 6 | Gió hơi mạnh | 10,8 - 13,8 | 39- 49 | 3,0 | - Cây cối rung chuyển, khó đi ngược gió. - Biển động. Nguy hiểm đối với tàu, thuyền. |
| 7 | Gió khá mạnh | 13,9 - 17,1 | 50 - 61 | 4,0 | |
| 8 | Gió mạnh | 17,2 - 20,7 | 62 - 74 | 5,5 | - Gió làm gãy cành cây, tốc mái nhà gây thiệt hại về nhà cửa. Không thể đi ngược gió. - Biển động rất mạnh. Rất nguy hiểm đối với tàu, thuyền. |
| 9 | Gió rất mạnh | 20,8 - 24,4 | 75 - 88 | 7,0 | |
| 10 | Gió khá dữ dội | 24,5 - 28,4 | 89 - 102 | 9,0 | - Làm đổ cây cối, nhà cửa, cột điện. Gây thiệt hại rất nặng. - Biển động dữ dội. Làm đắm tàu thuyền. |
| 11 | Gió dữ dội | 28,5 - 32,6 | 103 - 117 | 11,5 | |
| 12 | Gió rất dữ dội | 32,7 - 36,9 | 118 - 133 | 14,0 | - Sức tàn phá cực kỳ lớn. - Sóng biển cực kỳ mạnh. Đánh đắm tàu biển có trọng tải lớn. |
| 13 | 37,0 - 41,4 | 134 - 149 | > 14,0 | ||
| 14 | 41,5 - 46,1 | 150 - 166 | > 14,0 | ||
| 15 | 46,2 - 50,9 | 167 - 183 | > 14,0 | ||
| 16 | 51,0 - 56,0 | 184 - 201 | > 14,0 | ||
| 17 | 56,1 - 61,2 | 202 - 220 | > 14,0 | ||
2.1.2.1. Xác định hướng gió
Bảng 6. Bảng xác định hướng gió
| Tên | Ký hiệu | Từ đến | Mã số |
| Độ (o) | |||
| Lặng |
|
| 00 |
| Bắc đông bắc | NNE | 12 - 33 | 02 |
| Đông bắc | NE | 34 - 56 | 05 |
| Đông đông bắc | ENE | 57 - 78 | 07 |
| Đông | E | 79 - 101 | 09 |
| Đông đông nam | ESE | 102 - 123 | 11 |
| Đông nam | SE | 124 - 146 | 14 |
| Nam đông nam | SSE | 147 - 168 | 16 |
| Nam | S | 169 - 191 | 18 |
| Nam tây nam | SSW | 192 - 213 | 20 |
| Tây nam | SW | 214 - 236 | 23 |
| Tây tây nam | WSW | 237 - 258 | 25 |
| Tây | W | 259 - 281 | 27 |
| Tây tây bắc | WNW | 282 - 303 | 29 |
| Tây bắc | NW | 304 - 326 | 32 |
| Bắc tây bắc | NNW | 327 - 348 | 34 |
| Bắc | N | 349 - 11 | 36 |
| Đổi hướng |
|
| 99 |
2.2. Quy định thông số kỹ thuật của thiết bị đo tự động
Bảng 7. Thông số kỹ thuật các thiết bị đo tự động
| TT | Thiết bị đo | Đơn vị đo | Khoảng đo | Độ phân giải | Sai số |
| 1 | Áp suất | Hectopascal (hPa) | Từ 810 hPa đến 1060 hPa | 0,1 hPa | ± 0,5 hPa |
| 2 | Lượng bốc hơi | Milimet (mm) | Từ 0 mm đến 15 mm | 0,1 mm | ± 0,1 mm khi lượng bốc hơi ≤ 5 mm; ± 2% khi lượng bốc hơi > 5 mm |
| 3 | Nhiệt độ không khí | Độ celsius (oC) | Từ - 10 oC đến + 50 oC | 0,1 oC | ± 0,3 oC |
| 4 | Độ ẩm không khí | Phần trăm (% RH) | Từ 0 % RH đến 100 % RH | 1 % RH | ± 6 % RH |
| 5 | Nhiệt độ sđất | Độ celsius (oC) | Từ - 10 oC đến + 80 oC | 0,5 oC | ± 0,5 oC |
| 6 | Mưa | Milimet (mm) | Từ 0 mm/phút đến 4 mm/phút | 0,2 mm | ± 0,4 mm khi lượng mưa ≤ 10 mm; ± 4 % khi lượng mưa > 10 mm |
| 7 | Thời gian nắng | Phút | Từ 0 giờ đến 24 giờ | 1 phút | ± 6 phút |
| 8 | Tầm nhìn ngang | Mét (m) | Từ 10 m đến 50.000 m; | 1 m | ± 50 m khi tầm nhìn ≤ 600 m; ± 10 % khi tầm nhìn > 600 m và ≤ 1500 m; ± 20 % khi tầm nhìn>1500 m |
| 9 | Gió | Tốc độ mét/giây (m/s) | + Từ 0 m/s đến 40 m/s áp dụng cho vùng núi và trung du; + Từ 0m/s đến 60 m/s áp dụng cho vùng đồng bằng và ven biển; + Từ 0 m/s đến 80 m/s áp dụng cho vùng bờ biển và hải đảo. | 0,5 m/s | ± 0,5 m/s với tốc độ ≤ 5 m/s ± 10 % với tốc độ > 5 m/s |
|
|
| Hướng độ (o) | Từ 0o đến 360o | 1o | ± 5o |
3. Quy định về kỳ quan trắc, trình tự quan trắc
3.1. Kỳ quan trắc
3.1.1. Trạm thuộc mạng lưới trạm khí tượng thủy văn quốc gia
Đối với trạm thực hiện quan trắc 4 lần/ngày, tiến hành quan trắc vào các giờ: 1 giờ, 7 giờ, 13 giờ, 19 giờ (giờ Việt Nam).
Đối với trạm thực hiện quan trắc 8 lần/ngày, tiến hành quan trắc vào các giờ: 1 giờ, 4 giờ, 7 giờ, 10 giờ, 13 giờ, 16 giờ, 19 giờ, 22 giờ (giờ Việt Nam).
Trường hợp có thời tiết nguy hiểm trạm thực hiện quan trắc 30 phút/lần hoặc 1 giờ/lần theo yêu cầu của Tổng cục Khí tượng Thủy văn.
3.1.2. Trạm chuyên dùng, công trình phải quan trắc khí tượng thủy văn
- Trạm chuyên dùng thực hiện theo điểm 3 Điều 10 chương II Luật Khí tượng thủy văn số 90/2015/QH13 ngày 23 tháng 11 năm 2015.
Công trình phải quan trắc khí tượng thủy văn thực hiện theo tiểu mục 1, mục 2, Điều 1 Nghị định số 48/2020/NĐ-CP ngày 15 tháng 4 năm 2020 của Chính phủ sửa đổi, bổ sung một số điều của Nghị định số 38/2016/NĐ-CP ngày 15 tháng 5 năm 2016 của Chính phủ quy định chi tiết một số điều của Luật Khí tượng thủy văn.
3.1.3. Trạm quan trắc tự động
Đo liên tục và truyền số liệu 10 phút/lần (tại các phút tròn chục trong phút thứ: 00, 10, 20, 30, 40, 50).
3.2. Trình tự quan trắc
3.2.1. Trạm thuộc mạng lưới trạm khí tượng thủy văn quốc gia
- Theo dõi tình hình thời tiết liên tục 24/24 giờ;
- Trước giờ tròn 60 phút đến 15 phút:
+ Làm công tác chuẩn bị (kiểm tra về tình trạng công trình, các phương tiện, thiết bị đo, nguồn điện, các trang thiết bị phụ trợ, sổ ghi, giản đồ, nhận định một số yếu tố như trạng thái mặt đất, tầm nhìn ngang, hiện tượng khí tượng, mây, gió ...);
+ Quan trắc bốc hơi từ bề mặt nước (nếu có).
- Trước giờ tròn 15 phút đến 11 phút: quan trắc nhiệt độ các lớp đất sâu, tuyết (nếu có);
- Trước giờ tròn 10 phút đến giờ tròn:
+ Quan trắc trạng thái mặt đất, nhiệt độ mặt đất, nhiệt độ các lớp đất sâu;
+ Quan trắc mây;
+ Quan trắc nhiệt kế (khô, ướt, tối cao, tối thấp), bốc hơi (từ bề mặt ẩm);
+ Quan trắc nhiệt ký, ẩm ký: đánh mốc giờ, đọc giá trị;
+ Đổi thùng đo mưa (đánh mốc vũ lượng ký nếu có tại vườn quan trắc);
+ Quan trắc tầm nhìn ngang, hiện tượng thời tiết;
+ Quan trắc gió.
- Đúng giờ tròn: quan trắc áp suất không khí; đánh mốc áp ký;
- Sau giờ tròn đến 5 phút: xác định đặc điểm, giá trị của biến thiên khí áp trên giản đồ (nếu có); đánh mốc vũ ký; đo lượng mưa từ thùng vũ kế (nếu có); tính toán số liệu, thảo mã điện và truyền phát số liệu;
- Không quá 20 phút sau kỳ quan trắc 7 giờ: thay giản đồ các phương tiện đo tự ghi gồm nhiệt độ, độ ẩm không khí, áp suất khí quyển, lượng mưa;
- Sau đánh mốc 8 giờ kiểm tra số liệu quan trắc, quy toán các loại giản đồ, nhập số liệu vào phần mềm;
- Trạm thực hiện quan trắc yếu tố bốc hơi, trạng thái mặt đất 2 lần/ngày tại 7 giờ, 19 giờ; nhiệt độ mặt đất, nhiệt độ các lớp đất sâu quan trắc 4 lần/ngày tại 1 giờ, 7 giờ, 13 giờ và 19 giờ.
3.2.2. Trạm chuyên dùng, công trình phải quan trắc khí tượng thủy văn
- Đối với trạm chuyên dùng thực hiện theo điểm c khoản 2 Điều 13 chương II Luật Khí tượng thủy văn số 90/2015/QH13 ngày 23 tháng 11 năm 2015;
- Công trình phải quan trắc khí tượng thủy văn thực hiện theo khoản 1 Điều 4 mục 1 chương II Nghị định số 48/2020/NĐ-CP ngày 15 tháng 4 năm 2020 của Chính phủ sửa đổi, bổ sung một số điều của Nghị định số 38/2016/NĐ-CP ngày 15 tháng 5 năm 2016 của Chính phủ quy định chi tiết một số điều của Luật Khí tượng thủy văn.
3.2.3. Trạm đo tự động
Thực hiện theo quy định tại Phụ lục K
4. Các quy định về quan trắc thủ công
4.1. Quan trắc áp suất khí quyển
4.1.1. Đối với phương tiện đo khí áp kế
- Đọc nhiệt kế phụ thuộc;
- Đọc giá trị khí áp của phương tiện đo;
- Hiệu chính khí áp mực trạm;
- Hiệu chính khí áp mực biển:
+ Trạm có phương tiện đo khí áp có độ cao nhỏ hơn hoặc bằng 20 m so với mực nước biển, số hiệu chính về mặt biển sau khi tính là hằng số;
+ Trạm có phương tiện đo khí áp có độ cao lớn hơn 20 m so với mực nước biển, dùng nhiệt độ không khí quy về độ chẵn và khí áp mực trạm quy tròn về đơn vị 5 hPa, để tra bảng hiệu chính khí áp về mực biển. Lấy khí áp mực trạm cộng đại số với số hiệu chính khí áp về mực biển, được khí áp mực biển;
+ Trạm có phương tiện đo khí áp có độ cao từ 800 m đến 2300 m so với mực nước biển, không tính khí áp mực biển, mà tính độ cao quy về mặt đẳng áp 850 hPa, theo mét địa thế vị.
- Tính biến thiên khí áp:
+ Biến thiên khí áp 3 giờ;
+ Biến thiên khí áp 24 giờ;
+ Xác định khuynh hướng khí áp trên phương tiện đo khí áp ký.
4.1.2. Đối với phương tiện đo khí áp kế hiện số
- Đọc kết quả đo hiển thị trên màn hình;
- Tính biến thiên khí áp:
+ Biến thiên khí áp 3 giờ;
+ Biến thiên khí áp 24 giờ.
4.1.3. Đối với phương tiện đo khí áp tự ghi (áp ký)
- Đọc trị số khí áp trên giản đồ;
- Đánh mốc giản đồ: tiến hành đánh mốc giản đồ vào các kỳ quan trắc 8 giờ, 13 giờ, 19 giờ, 1 giờ, 7 giờ;
- Quy toán giản đồ:
+ Hiệu chính từng giờ trên giản đồ;
+ Đọc giá trị tại các giờ tròn, làm hiệu chính giá trị;
+ Xác định giá trị cao nhất, thấp nhất, giờ xuất hiện cực trị trong ngày trên giản đồ sau khi tiến hành hiệu chính.
(Phương pháp quan trắc chi tiết tại Phụ lục A)
4.2. Quan trắc gió bề mặt
Quan trắc các giá trị của hướng và tốc độ gió trung bình trong 2 phút. Trường hợp quan trắc bằng cấp gió Beaufort, thực hiện quan trắc trong 10 phút.
4.2.1. Quan trắc gió bề mặt bằng phương tiện đo gió tự báo, hiện số
Quan trắc tại bộ hiển thị các giá trị của hướng, tốc độ và đặc điểm gió.
4.2.2. Quan trắc gió bề mặt bằng phương tiện đo gió tự ghi
- Quan trắc trên giản đồ các giá trị trung bình của hướng và tốc độ gió trong 10 phút;
- Quy toán giản đồ:
+ Làm hiệu chính từng giờ;
+ Đọc giá trị tốc độ và hướng gió trung bình 10 phút;
+ Xác định hướng gió và tốc độ gió trung bình mạnh nhất trong ngày, thời gian xuất hiện;
+ Xác định hướng gió, tốc độ gió giật mạnh nhất trong ngày và thời gian xuất hiện.
4.2.3. Quan trắc gió bề mặt bằng cấp gió Beaufort
- Quan trắc ước lượng trên các vật đối chứng (vật được lựa chọn để tiến hành quan trắc);
- Xác định hướng gió theo dải phong tiêu;
- Xác định tốc độ gió theo bảng cấp gió Beaufort (Bảng 5. Bảng cấp gió Beaufort).
(Phương pháp quan trắc chi tiết tại Phụ lục B)
4.3. Quan trắc bốc hơi
4.3.1. Quan trắc bốc hơi từ bề mặt ẩm
- Quan trắc giá trị bề mặt ngang mặt lõm của mực nước trên phương tiện đo bốc hơi;
- Tính lượng bốc hơi (đối với lượng bốc hơi từ mặt ẩm lượng bốc hơi là hiệu số giữa số đọc kỳ quan trắc).
4.3.2. Quan trắc bốc hơi từ mặt nước
- Quan trắc lượng nước hao hụt trong thùng quan trắc bốc hơi, tính bằng hiệu số mức nước kỳ quan trắc trước trừ mực nước tại kỳ quan trắc sau;
- Đọc nhiệt độ mặt nước bao gồm: nhiệt độ tức thời, nhiệt độ tối cao, nhiệt độ tối thấp trong 12 giờ qua;
- Quan trắc gió bằng máy đo gió cầm tay ở độ cao 2 m, tổng tốc độ gió 12 giờ qua;
- Đo lượng mưa (nếu có).
(Phương pháp quan trắc chi tiết tại Phụ lục C)
4.4. Quan trắc nhiệt độ và độ ẩm không khí
Quan trắc nhiệt độ, độ ẩm không khí bao gồm xác định giá trị nhiệt độ, độ ẩm tại thời kỳ quan trắc; các giá trị cực trị giữa hai kỳ quan trắc, xác định các cực trị trong ngày.
4.4.1. Quan trắc nhiệt độ, độ ẩm không khí bằng phương tiện đo nhiệt kế:
- Quan trắc nhiệt độ không khí khô, ướt (qua bảng tra độ ẩm);
- Quan trắc nhiệt độ không khí tối thấp;
- Quan trắc nhiệt độ không khí tối cao;
- Hàng ngày chọn các cực trị tối cao, tối thấp.
4.4.2. Quan trắc bằng phương tiện đo tự ghi
- Đọc các giá trị nhiệt độ và độ ẩm trên giản đồ của phương tiện đo tự ghi;
- Quy toán giản đồ:
+ Hiệu chính từng giờ trên giản đồ;
+ Đọc giá trị tại các giờ tròn, làm hiệu chính giá trị nhiệt độ, độ ẩm;
+ Xác định giá trị cao nhất, thấp nhất, giờ xuất hiện của nhiệt độ và độ ẩm trong ngày trên giản đồ sau khi tiến hành hiệu chính.
- Đối với ẩm ký giá trị độ ẩm là giá trị sau khi tiến hành hiệu chỉnh qua bảng hiệu chỉnh ẩm ký.
(Phương pháp quan trắc chi tiết tại Phụ lục D)
4.5. Quan trắc nhiệt độ bề mặt đất, các lớp đất và trạng thái mặt đất
4.5.1. Quan trắc nhiệt độ bề mặt đất
- Đọc giá trị nhiệt độ bề mặt đất tại nhiệt kế thường;
- Đọc giá trị nhiệt kế tối thấp;
- Đọc giá trị nhiệt kế tối cao.
4.5.2. Quan trắc nhiệt độ các lớp đất sâu
- Đọc giá trị trên thang độ của phương tiện đo lần lượt 5 cm, 10 cm, 15 cm, 20 cm;
- Đối với phương tiện đo nhiệt độ đất sâu hiện số: bật công tắc phương tiện đo đọc các giá trị hiển thị lần lượt 5 cm, 10 cm, 15 cm, 20 cm.
4.5.3. Quan trắc trạng thái mặt đất
Quan trắc trạng thái mặt đất được tiến hành thủ công bằng mắt tại vườn khí tượng và vùng lân cận ở khu đất trần, kết hợp với khu có cỏ. Trường hợp quan trắc được nhiều mã số chọn mã số lớn nhất.
Trạng thái mặt đất được đánh giá bằng mã số (bảng 2 và bảng 3). Trong bảng 4 để chỉ định các mã 0, 1, 2, 4 tập trung chú ý tại vùng đất không có cỏ. Với các mã khác được nhìn nhận kết hợp cả khu không có cỏ, khu có cỏ trong vườn và vùng lân cận. Để chỉ định các mã trong bảng 5, cần theo dõi và quan sát trên cả khu vực trạm, đặc biệt trên vùng đất quang đãng tiêu biểu.
(Phương pháp quan trắc chi tiết tại Phụ lục E)
4.6. Quan trắc lượng mưa
4.6.1. Quan trắc bằng vũ kế
Tại các giờ quan trắc theo qui định, mang thùng ra thay cho thùng đang dùng và đưa vào phòng làm việc để đo. Trường hợp mưa to đo ngay sau khi mưa hoặc trong khi mưa. Những ngày trời nắng để tránh sự bốc hơi đo ngay sau khi dừng mưa.
4.6.2. Quan trắc bằng phương tiện đo tự ghi, hiện số
- Đối với phương tiện đo hiện số đọc giá trị lượng mưa trên bộ hiển thị (giá trị lượng mưa giữa hai kỳ quan trắc) hoặc hiệu lượng mưa giữa hai kỳ quan trắc đối với bộ hiện thị lượng mưa tích lũy;
- Đối với phương tiện đo tự ghi đọc giá trị lượng mưa trên giản đồ;
- Quy toán giản đồ mưa:
+ Hiệu chính giờ trên giản đồ;
+ Tính hiệu chính cho từng mm hoặc đường tháo nước trên giản đồ;
+ Giá trị lượng mưa từng giờ (tử số là lượng mưa trong giờ, mẫu số là thời gian có mưa trong giờ), chọn các giá trị cực trị trong ngày (lượng mưa lớn nhất trong 60 phút, đợt mưa liên tục lớn nhất) sau khi đã tiến hành hiệu chính.
(Phương pháp quan trắc chi tiết tại Phụ lục F)
4.7. Quan trắc thời gian nắng
4.7.1. Quan trắc thời gian nắng bằng phương tiện đo tự ghi
- Thời gian nắng là vết cháy trên giản đồ được tính đến 0,1 giờ khi đường ghi bắt đầu từ lúc cường độ trực xạ của bức xạ mặt trời đạt tới giá trị ≥ 0,1 KW/m2 (lớn hơn hoặc bằng 0,2 calo/cm2 phút);
- Quy toán giản đồ nắng:
+ Hiệu chính giờ;
+ Tính thời gian nắng trong từng khoảng giờ.
4.7.2. Quan trắc thời gian nắng bằng phương tiện đo tự động: đọc các giá trị hiển thị thời gian nắng từng giờ trên bộ hiển thị.
(Phương pháp quan trắc chi tiết tại Phụ lục G)
4.8. Quan trắc tầm nhìn ngang
4.8.1. Quan trắc thủ công
Xác định tầm nhìn ngang bằng mắt dựa trên các tiêu điểm và cấp tầm nhìn ngang đã được xác định từ trước.
4.8.2. Quan trắc bằng thiết bị đo tự động dựa trên độ trong suốt của khí quyển.
(Phương pháp quan trắc chi tiết tại Phụ lục H)
4.9. Quan trắc mây
- Tiến hành tại một vị trí cố định, nơi quang đảm bảo để quan sát thấy cả bầu trời;
- Xác định loại mây, lượng mây, kết hợp với tình hình diễn biến của mây trong khoảng thời gian từ quan trắc trước đến kỳ quan trắc hiện tại:
+ Lượng mây tổng quan;
+ Lượng mây dưới;
+ Loại, dạng, tính mây, dạng phụ, mây phụ, lượng và độ cao chân mây của từng loại mây dưới.
(Phương pháp quan trắc chi tiết tại Phụ lục I)
4.10. Quan trắc hiện tượng khí tượng
Thực hiện quan trắc liên tục 24/24 giờ.
Nội dung quan trắc:
- Loại hiện tượng khí tượng;
- Thời gian bắt đầu và kết thúc;
- Đặc điểm và cường độ của hiện tượng;
- Hướng xuất hiện của hiện tượng;
- Kích thước (đối với một số hiện tượng).
(Phương pháp quan trắc chi tiết tại Phụ lục J)
5. Các quy định về quan trắc tự động
(Phương pháp quan trắc chi tiết tại Phụ lục K)
6. Chấp nhận các phương pháp quan trắc khác
Chấp nhận các phương pháp xác định theo những tiêu chuẩn quốc gia và quốc tế có độ chính xác tương đương hoặc cao hơn các quy định trong Quy chuẩn này.
7. Quy định cách ghi và kiểm tra số liệu quan trắc
7.1. Trạm thuộc mạng lưới trạm khí tượng thủy văn quốc gia
- Kết quả quan trắc khí tượng bề mặt được ghi vào sổ quan trắc bằng bút chì đen hoặc sổ quan trắc điện tử và nhập số liệu vào phần mềm do đơn vị sử dụng quy định sau khi đã được tính toán, kiểm tra;
- Phải hiệu chính sai số máy trên các phương tiện đo trước khi tính toán, kiểm tra, chọn các giá trị đặc trưng;
- Sau thời điểm quan trắc 8 giờ hàng ngày, phải quy toán giản đồ các phương tiện đo tự ghi, kiểm tra và nhập số liệu vào phần mềm do đơn vị sử dụng quy định.
7.2. Trạm chuyên dùng, công trình phải quan trắc khí tượng thủy văn
Theo yêu cầu của đơn vị quản lý.
7.3. Trạm đo tự động
Đo liên tục 24/24. File số liệu được thiết lập theo định dạng quy định tại Thông tư số 40/2017/TT-BTNMT ngày 23 tháng 10 năm 2017 của Bộ trưởng Bộ Tài nguyên và Môi trường quy định kỹ thuật chuẩn bộ dữ liệu về quan trắc, điều tra, khảo sát khí tượng, thủy văn, hải văn, môi trường không khí và nước.
8. Quy định về phát báo và lưu trữ kết quả quan trắc
8.1. Số liệu thủ công
8.1.1. Số liệu trước khi phát báo và lưu trữ phải đảm bảo đầy đủ và chính xác.
8.1.2. Số liệu được mã hóa đúng quy định của Tổ chức Khí tượng Thế giới (WMO). Thực hiện theo quy định tại Điều 2.1.1, QCVN 16:2008/BTNMT.
8.1.3. Mã điện được phát báo về các địa chỉ đã quy định, đảm bảo đúng thời gian.
8.2. Số liệu tự động
8.2.1. Số liệu được truyền phát tự động 10 phút/lần.
8.2.2. Số liệu file phải được kiểm tra thẩm định trước khi đưa vào lưu trữ.
8.3. Số liệu trạm thủ công và tự động được truyền liên tục, được đánh giá, thẩm định trước khi lưu trữ.
8.4. Tổng cục Khí tượng Thủy văn thuộc Bộ Tài nguyên và Môi trường có trách nhiệm lưu trữ và bảo quản số liệu gốc.
8.5. Số liệu định dạng do đơn vị sử dụng quy định theo quy định tại Thông tư số 40/2017/TT-BTNMT ngày 23 tháng 10 năm 2017 của Bộ trưởng Bộ Tài nguyên và Môi trường quy định kỹ thuật chuẩn bộ dữ liệu về quan trắc,điều tra, khảo sát khí tượng, thủy văn, hải văn, môi trường không khí và nước.
8.6. Sản phẩm quan trắc được, đảm bảo tuân thủ đầy đủ các yêu cầu theo quy định.
9. Quy định sản phẩm giao nộp
9.1. Đối với mạng lưới trạm khí tượng thủy văn quốc gia
9.1.1. Báo cáo kết quả hoạt động trạm (mẫu chi tiết tại Phụ lục L)
- Báo cáo tháng: gửi 01 lần/tháng vào ngày 03 tháng sau (mục báo cáo tháng A.1);
- Báo cáo quý: gửi 3 lần/tháng vào ngày 03 tháng sau (mục báo cáo Quý A.2).
9.1.2. Tài liệu giấy: gửi 01 lần/tháng vào ngày 03 tháng sau. File tài liệu số được gửi sau quan trắc 8 giờ ngày 01 tháng sau.
9.1.3. Trạm quan trắc thủ công: sổ quan trắc, giản đồ tự ghi, file số liệu, báo cáo tháng, báo cáo quý, báo cáo về các hiện tượng thời tiết đặc biệt (nếu có), tài liệu giao nộp phải có địa chỉ, được ký tên, đóng dấu của Trạm.
9.2. Đối với trạm chuyên dùng, công trình phải quan trắc khí tượng thủy văn
- Đối với trạm chuyên dùng thực hiện theo Thông tư số 30/2018/TT-BTNMT ngày 26 tháng 12 năm 2018 của Bộ Tài nguyên và Môi trường Thông tư quy định kỹ thuật về quan trắc và cung cấp thông tin dữ liệu khí tượng thủy văn đối với trạm khí tượng thủy văn chuyên dùng;
- Công trình phải quan trắc khí tượng thủy văn thực hiện theo khoản 3 Điều 13 chương II Luật Khí tượng thủy văn số 90/2015/QH13 ngày 23 tháng 11 năm 2015.
9.3. Đối với trạm tự động
Số liệu được truyền phát tự động và thực hiện báo cáo theo quy định tại Thông tư số 70/2015/TT-BTNMT ngày 23 tháng 12 năm 2015 của Bộ trưởng Bộ Tài nguyên và Môi trường quy định kỹ thuật đối với hoạt động của các trạm khí tượng thủy văn tự động.
Phần 2. ĐỐI VỚI QUAN TRẮC KHÍ TƯỢNG TRÊN CAO
1. Quy định về an toàn lao động
Áp dụng các nội dung về an toàn lao động tại mục 1.5.3, 3.1.8 của QCVN 06:2020/BXD Quy chuẩn kỹ thuật quốc gia về an toàn cháy cho nhà và công trình ban hành kèm theo Thông tư số 01/2020/TT-BXD ngày 06 tháng 4 năm 2020 của Bộ trưởng Bộ Xây dựng. Ngoài ra, áp dụng các quy định sau:
1.1. An toàn lao động đối với các loại phương tiện khí tượng
1.1.1. Các phương tiện, thiết bị đặt trên các nhà cao tầng, trên núi phải có hệ thống chống sét. Cách bố trí hệ thống chống sét theo mục 5 (Hệ thống bảo vệ chống sét bên ngoài) và mục 6 (Hệ thống bảo vệ chống sét bên trong) của TCVN 9888-3:2013 (IEC 62305-3:2010) Bảo vệ chống sét - Phần 3: Thiệt hại vật chất đến kết cấu và nguy hiểm tính mạng.
1.1.2. Các phương tiện, thiết bị đang nối điện phải được nối dây tiếp đất và thực hiện việc bảo vệ chống điện giật, áp dụng phù hợp tuỳ theo các mục 411 đến 414 của TCVN 7447-4-41:2010 (IEC 60364-4-41:2005) Hệ thống lắp đặt điện hạ áp - Phần 4-41: Bảo vệ an toàn, bảo vệ chống điện giật.
1.2. An toàn lao động đối với thiết bị điều chế khí hydro
1.2.1. Nhà điều chế khí hydro phải xây dựng xa khu dân cư, xa đất canh tác, xa nguồn lửa và nguồn dẫn lửa, xa nguồn nước sinh hoạt, xa lò nung, xa công xưởng, nơi ít người qua lại và xây dựng quy cách nhà điều chế khí hydro kiên cố.
1.2.2. Các dây dẫn điện, công tắc điện, nguồn chiếu sáng đều phải bố trí bên ngoài nhà điều chế khí hydro hoặc phải trong phòng riêng biệt ngăn cách với nhà điều chế khí hydro và nơi chứa khí hydro.
1.2.3. Tuyệt đối cấm đưa các nguồn gây lửa vào nhà điều chế khí hydro và nơi chứa khí hydro (như hút thuốc, sử dụng điện thoại di động, đi giày đinh, soi đèn dầu, làm va chạm các đồ bằng kim loại, mặc các đồ dễ gây dòng tĩnh điện và các nguồn dễ gây phát lửa khác).
1.2.4. Khi làm việc tại nhà điều chế khí hydro phải mở hết các cửa sổ và cửa ra vào. Phải mang đầy đủ trang phục, bảo hộ lao động.
1.2.5. Phải có biển “CẤM LỬA” ở khu vực xung quanh cách nhà điều chế khí hydro không dưới 10 m, nhà điều chế hydro đều phải được bố trí 02 loại bình chữa cháy (bình chữa cháy khí CO2 và bình chữa cháy dạng bột), số lượng tối thiểu 3 bình mỗi loại.
2. Quy định về phương tiện đo, thiết bị, vật tư dùng trong quan trắc
2.1. Quy định chung
2.1.1. Các phương tiện đo, thiết bị dùng trong quan trắc khí tượng trên cao phải được chứng nhận kiểm định của cơ quan có thẩm quyền; thực hiện đầy đủ chế độ bảo quản, bảo dưỡng định kỳ các phương tiện đo, thiết bị và bảo quản vật tư theo khuyến cáo của nhà sản xuất.
2.1.2. Các phương tiện đo nếu phát tín hiệu vô tuyến tại dải tần phải đăng ký thì phải được cấp phép của Cục Tần số vô tuyến điện. Đối với hệ thống thám không vô tuyến dải tần hoạt động đăng ký từ 400 MHz đến 406 MHz.
2.1.3. Thiết bị điều chế khí hydro
2.1.3.1. Thiết bị điều chế khí hydro phải được kiểm định chất lượng định kỳ và an toàn phòng chống cháy nổ theo quy định.
2.1.3.2. Thiết bị điều chế khí hydro yêu cầu phải có chế độ tự ngắt khi bình chứa khí đầy.
2.1.3.3. Đối với quan trắc thám không vô tuyến, thiết bị điều chế khí hydro phải có công suất sinh khí tối thiểu 0,3 m3/h, thể tích bình chứa khí tối thiểu 6 m3, độ sạch khí > 98 %.
2.1.3.4. Đối với quan trắc gió trên cao, thiết bị điều chế khí hydro phải có công suất sinh khí tối thiểu 0,065 m3/h, thể tích bình chứa khí tối thiểu 2 m3, độ sạch khí > 98 %.
2.1.3.5. Khí dùng cho quan trắc khí tượng trên cao nếu được đóng bình sẵn phải có đủ chứng từ kiểm định chất lượng bình chứa.
2.1.4. Nước cất: sử dụng nước cất công nghiệp.
2.1.5. Xút (KOH hoặc NaOH): sử dụng loại xút khô tinh khiết chất lượng đạt 98%.
2.2. Quan trắc thám không vô tuyến
2.2.1. Thiết bị mặt đất
Thiết bị mặt đất của trạm khí tượng trên cao phải đảm bảo các tiêu chuẩn theo quy định của Tổ chức Khí tượng Thế giới (WMO), cơ bản gồm có các thiết bị sau:
2.2.1.1. Bộ ăng ten và máy thu sóng vô tuyến có chức năng thu, xử lý tín hiệu từ máy thám không và hệ thống định vị toàn cầu GPS sau đó chuyển đổi sang đơn vị khí tượng;
2.2.1.2. Bộ xử lý tín hiệu chuyển đổi và hiển thị các phép đo khí tượng để sử dụng theo yêu cầu;
2.2.2 Máy thám không
2.2.2.1. Máy thám không phải có đầy đủ các hồ sơ kỹ thuật, nguồn gốc, thời gian sản xuất và đáp ứng các yêu cầu kỹ thuật do WMO quy định.
2.2.2.2. Máy thám không trước khi thả phải được hiệu chuẩn, phải đạt tiêu chuẩn kỹ thuật.
2.2.2.3. Máy thám không không gây độc hại cho sức khỏe người sử dụng và môi trường, không có các chức năng khác ngoài chức năng đo đạc các yếu tố khí tượng.
2.2.2.4. Máy thám không phải có dải tần số hoạt động nằm trong dải tần được quy định bởi Hiệp hội Viễn thông quốc tế ITU (International Telecommunication Union).
2.2.2.5. Máy thám không khi thả phải được dán nhãn của cơ quan, đơn vị quản lý hoạt động quan trắc.
2.2.2.6. Pin của máy thám không phải có đủ công suất để cung cấp dòng điện cần thiết trong tối thiểu 1 giờ (hoặc để máy thám không đạt được độ cao tối thiểu 200 hPa với tốc độ lên thẳng từ 5 m/s đến 8 m/s).
2.2.2.7. Sai số của máy thám không tối thiểu phải đảm bảo các quy định sau:
- Sai số của bộ cảm biến áp: ± 1 hPa;
Sai số của bộ cảm biến nhiệt độ: thời gian cảm ứng nhanh hơn 1 giây, sai số tối đa dưới 1 oC;
- Sai số của bộ cảm biến độ ẩm tối đa 10 % trong điều kiện nhiệt độ lớn hơn - 20 oC.
2.2.2.8. Chiều dài dây tời
Áp dụng mục 7.4 quy định về dây tời, TCVN 12636-6:2020, ngoài ra đối với quan trắc so sánh, chiều dài dây tời tối thiểu 30 m.
2.2.3. Bóng thám không
Áp dụng mục 7.3 TCVN 12636-6:2020. Đối với quan trắc thám không vô tuyến, bóng sử dụng phải có trọng lượng tối thiểu 600 g, tối đa 800 g, đạt được độ cao 30.000 m và phải mang được tải trọng từ 200 g đến 2.500 g với tốc độ lên thẳng từ 5 m/s đến 8 m/s.
2.2.4. Tần số vô tuyến điện dùng cho trạm khí tượng trên cao
Máy thám không chỉ được phép hoạt động ở tần số đã đăng ký.
2.2.5. Sai số của phép đo áp dụng theo mục 6 của TCVN 12636-6:2020.
2.3. Quan trắc gió trên cao
2.3.1. Máy kinh vĩ quang học
- Nhiệt độ cho phép sử dụng từ -10 oC đến +50 oC;
- Quan trắc được đến hết tầng đối lưu (khoảng 16.000 m);
- Độ phóng đại của hệ thống kính dùng quan trắc tối thiểu: 20x;
- Góc quang trường của hệ thống kính dùng quan trắc tối thiểu: 2o;
- Độ phóng đại của hệ thống kính tìm bóng tối thiểu: 4x;
- Góc quang trường của hệ thống kính tìm bóng tối thiểu: 11o;
- Độ phóng đại của hệ thống đọc số tối thiểu: 12x;
- Trị số ghi độ nguyên của thang độ: 1o;
- Trị số ghi phần lẻ của thang độ: 0,1o;
- Độ chính xác của số đọc: < 0,01o;
- Sai số của thiết bị cho phép đối với góc cao và góc hướng là: ≤ ± 0,2o.
2.3.2. Bóng pilot
- Áp dụng mục 8.3 TCVN 12636-7:2020;
- Riêng đối với quan trắc gió trên cao bằng phương pháp vô tuyến bóng sử dụng phải có trọng lượng tối thiểu 100 g, tối đa 600 g, đạt được độ cao 12.000 m, và phải mang được tải trọng từ 100 g đến 200 g với tốc độ tốc độ lên thẳng từ 5 m/s đến 8 m/s.
2.3.3. Sai số của phép đo thực hiện theo mục 7.2 của TCVN 126367:2020.
2.4. Quan trắc gió trên cao bằng phương pháp vô tuyến
Áp dụng các khoản 2.2.1; 2.2.2 và 2.3.2 Quy chuẩn này.
3. Quy định về yếu tố đo, đơn vị đo, phạm vi đo, độ chính xác của phép đo
3.1. Áp dụng khoản 6.2.1.1; 6.2.2.1; điểm a khoản 6.2.3.1 và khoản 6.2.4.1 TCVN 12636-6:2020 đối với quan trắc thám không vô tuyến.
3.2. Áp dụng khoản 7.2.1.1 TCVN 12636-7:2020 đối với quan trắc gió trên cao bằng kinh vĩ quang học và khoản 7.2.2.1 TCVN 12636-7:2020 Quan trắc khí tượng thủy văn - Phần 7: Quan trắc gió trên cao.
4. Quy định về chế độ và thời gian quan trắc
4.1. Đối với các trạm khí tượng trên cao thuộc mạng lưới trạm khí tượng thủy văn quốc gia
4.1.1. Chế độ quan trắc
Áp dụng mục 5.1 TCVN 12636-6:2020 đối với quan trắc thám không vô tuyến.
Áp dụng mục 6.1 TCVN 12636-7:2020 Quan trắc khí tượng thủy văn - Phần 7: Quan trắc gió trên cao.
4.1.2. Thời gian quan trắc
4.1.2.1. Thời gian quan trắc khí tượng trên cao được quy định cụ thể như sau:
- Đối với quan trắc thám không vô tuyến: thời gian quan trắc được tính từ thời điểm trước 60 phút so với giờ tròn đến khi kết thúc công việc truyền và phát báo kết quả quan trắc, trong đó khoảnh khắc thả máy thám không cho phép thực hiện từ trước giờ tròn 14 phút đến giờ tròn, trường hợp đặc biệt thì cho phép thả máy trước giờ tròn không quá 29 phút và sau giờ tròn không quá 60 phút;
- Đối với quan trắc gió trên cao bằng phương pháp vô tuyến: thời gian quan trắc được tính từ thời điểm trước 60 phút so với giờ tròn đến khi kết thúc công việc truyền và phát báo kết quả quan trắc, trong đó khoảnh khắc thả máy thám không cho phép thực hiện từ trước giờ tròn 05 phút đến giờ tròn, trường hợp đặc biệt cho phép bắt đầu thả máy trước giờ tròn không quá 20 phút và sau giờ tròn không quá 30 phút;
- Đối với quan trắc gió trên cao bằng kinh vĩ quang học (pilot): thời gian quan trắc được tính từ thời điểm trước 30 phút so với giờ tròn đến khi kết thúc công việc truyền và phát báo kết quả quan trắc, trong đó khoảnh khắc thả bóng cho phép từ trước giờ tròn 30 phút đến giờ tròn, trường hợp đặc biệt có thể lùi giờ thả đến sau giờ tròn 180 phút.
4.1.2.2. Kỳ quan trắc được quy định vào các thời điểm 07:00, 13:00, 19:00 và 01:00 giờ (giờ Việt Nam). Số kỳ quan trắc được quy định cụ thể đối với từng trạm khí tượng trên cao, kỳ quan trắc tăng cường thực hiện theo yêu cầu.
4.2. Đối với các trạm không thuộc mạng lưới trạm khí tượng thủy văn quốc gia
Kỳ quan trắc, chế độ quan trắc, thời gian quan trắc theo nhu cầu của người sử dụng.
5. Quy định về quy trình quan trắc
5.1. Quan trắc thám không vô tuyến
Quy trình quan trắc thám không vô tuyến được thể hiện trên sơ đồ 1.

Sơ đồ 1. Sơ đồ biểu diễn quy trình quan trắc thám không vô tuyến
5.1.1. Chuẩn bị bóng thám không
5.1.1.1. Tùy thuộc vào điều kiện thời tiết, phải tính toán sức nâng để bơm bóng đạt tốc độ thăng từ 5 đến 8 m/s; liên tục kiểm tra bóng trong quá trình bơm và trước khi thả.
5.1.1.2. Thời gian từ khi bơm khí hydro vào bóng thám không đến khi đạt tới sức nâng cần thiết từ 20 phút đến 30 phút. Bóng bơm xong, trong vòng 20 phút phải thả. Nếu vượt quá thời gian 20 phút thì trước khi thả phải kiểm tra lại tình hình thời tiết, tình trạng của bóng và sức nâng đã bơm. Bổ sung thêm khí (nếu cần).
5.1.1.3. Quy trình bơm bóng thám không thực hiện theo hướng dẫn tại Phụ lục M.
5.1.2. Hiệu chuẩn máy thám không
5.1.2.1. Máy thám không phải được hiệu chuẩn trước khi thả, nếu máy không đủ tiêu chuẩn thì loại bỏ.
5.1.2.2. Số liệu quan trắc bằng các bộ cảm ứng của máy thám không phải được kiểm tra so sánh với số liệu được quan trắc bằng thiết bị mặt đất đặt tại vườn quan trắc trước khi thả.
5.1.3. Thả máy và quan trắc các yếu tố khí tượng khoảnh khắc thả
5.1.3.1. Lựa chọn địa điểm trong vườn thả máy để phù hợp với hướng gió mặt đất, thả máy đúng giờ quy định, đúng thao tác.
5.1.3.2. Quan trắc các yếu tố khí tượng khoảnh khắc thả được áp dụng phụ lục A, B, D, I, J Thông tư này.
5.1.4. Nhập số liệu khoảnh khắc thả, kiểm tra và theo dõi ca quan trắc
5.1.4.1. Số liệu khoảnh khắc thả phải được kiểm tra lại và so sánh với các số liệu được quan trắc bằng thiết bị tham chiếu trước khi nhập vào phần mềm quan trắc.
5.1.4.2. Trong suốt quá trình quan trắc, quan trắc viên phải liên tục theo dõi hệ thống quan trắc và các số liệu hiển thị trên phần mềm để phát hiện và xử lý kịp thời các sự cố ảnh hưởng đến ca quan trắc.
5.1.5. Kết thúc quan trắc
Việc kết thúc quan trắc xảy ra tự động hoặc thủ công; ca quan trắc được coi là đạt kết quả khi độ cao quan trắc tối thiểu phải đạt 200 hPa, nếu không đạt độ cao này việc có tiếp tục quan trắc hay không do cấp có thẩm quyền quyết định.
5.2. Quan trắc gió trên cao bằng kinh vĩ quang học
5.2.1. Trước giờ thả bóng 30 phút: đặt máy kinh vĩ, chuẩn bị đồng hồ báo phút, sổ sách và bút chì để ghi số liệu.
5.2.2. Trước giờ thả 15 phút đến 10 phút: quan trắc các yếu tố khí tượng mặt đất (áp suất khí quyển, gió, nhiệt độ, độ ẩm không khí, mây, hiện tượng khí tượng) áp dụng các phụ lục A, B, D, I, J Thông tư này; cân bóng chính xác đến 01 g, tính hệ số hiệu chỉnh, xác định tốc độ lên thẳng của bóng; ghi các giá trị tương ứng vào sổ; bơm bóng để có tốc độ lên thẳng tiêu chuẩn hoặc không tiêu chuẩn.
5.2.3. Trước giờ thả 05 phút: quan trắc các yếu tố khí tượng (gió, mây, hiện tượng khí tượng); ghi các giá trị tương ứng vào sổ.
5.2.4. Tại khoảnh khắc thả bóng: ghi giờ thả bóng bao gồm giờ mặt trời trung bình địa phương và giờ Việt Nam.
5.2.5. Quan trắc lấy số liệu: ghi kết quả quan trắc vào sổ.
5.2.6. Kết thúc quan trắc: việc kết thúc quan trắc phụ thuộc điều kiện thời tiết và khả năng theo dõi của quan trắc viên.
5.3. Quan trắc gió trên cao bằng phương pháp vô tuyến
Áp dụng điểm 5.1.1.1 khoản 5.1.1; khoản 5.1.2; khoản 5.1.3; 5.1.4; 5.1.5 mục 5 phần 2, riêng độ cao quan trắc tối thiểu đối với quan trắc gió trên cao bằng phương pháp vô tuyến phải đạt 12.000 m.
5.4. Đối với các trạm khí tượng trên cao thuộc mạng lưới quan trắc khí tượng thủy văn quốc gia, ngoài quy định về quy trình quan trắc tại điểm 5 mục 5 phần 2, thực hiện theo quy định của cơ quan quản lý có thẩm quyền cho từng loại thiết bị cụ thể.
6. Quy định về phát báo và lưu trữ kết quả quan trắc
6.1. Đối với các trạm khí tượng trên cao thuộc mạng lưới trạm khí tượng thủy văn quốc gia
6.1.1. Số liệu trước khi phát báo và lưu trữ phải đảm bảo tính đầy đủ và chính xác.
6.1.2. Mã điện được mã hóa theo quy định tại các mục 2.1, 2.2 và 2.3 QCVN 64:2017/BTNMT.
6.1.3. Mã điện được phát báo về các địa chỉ quy định đúng thời gian (không chậm hơn 90 phút kể từ lúc thả bóng); trường hợp thả muộn, thả lại, dẫn đến ca quan trắc kết thúc quá giờ phát báo thì phải phát báo mã điện TempA, TempB không chậm hơn 60 phút kể từ khi thả.
6.1.4. Các trạm khí tượng trên cao có trách nhiệm lưu trữ và đảm bảo số liệu gốc trong thời gian tối thiểu 03 tháng.
6.2. Đối với các trạm không thuộc mạng lưới trạm khí tượng thủy văn quốc gia việc phát báo, lưu trữ số liệu quan trắc khí tượng trên cao theo yêu cầu của đơn vị sử dụng.
III. QUY ĐỊNH VỀ QUẢN LÝ
1. Quy chuẩn này thay thế Quy chuẩn kỹ thuật quốc gia về quan trắc khí tượng, mã số QCVN 46:2012/BTNMT được ban hành tại Thông tư số 25/2012/TT-BTNMT ngày 28 tháng 12 năm 2012 của Bộ trưởng Bộ Tài nguyên và Môi trường.
2. Quy định công tác báo cáo áp dụng cho các trạm khí tượng bề mặt và khí tượng trên cao thuộc mạng lưới trạm khí tượng thủy văn quốc gia hàng tháng các trạm phải nộp báo cáo bằng văn bản về các địa chỉ quy định.
3. Quan trắc viên khí tượng
Quan trắc viên làm việc tại các trạm khí tượng bề mặt thuộc mạng lưới trạm khí tượng thủy văn quốc gia phải có chuyên môn nghiệp vụ về khí tượng.
Quan trắc viên làm việc tại các trạm khí tượng trên cao thuộc mạng lưới trạm khí tượng thủy văn quốc gia, ngoài chuyên môn nghiệp vụ về khí tượng, phải có chuyên môn nghiệp vụ về khí tượng trên cao.
4. Quy định về việc kiểm tra đối với trạm khí tượng trên cao
Áp dụng Thông tư số 43/2017/TT-BTNMT ngày 23 tháng 10 năm 2017 của Bộ trưởng Bộ Tài nguyên và Môi trường quy định kỹ thuật kiểm tra trạm khí tượng trên cao và ra đa thời tiết.
5. Trạm chuyên dùng, công trình phải quan trắc khí tượng thủy văn
Thực hiện theo Thông tư số 30/2018/TT-BTNMT ngày 26 tháng 12 năm 2018 của Bộ trưởng Bộ Tài nguyên và Môi trường quy định kỹ thuật về quan trắc và cung cấp thông tin dữ liệu khí tượng thủy văn đối với trạm khí tượng thủy văn chuyên dùng.
IV. TRÁCH NHIỆM CỦA TỔ CHỨC, CÁ NHÂN
Bộ, cơ quan ngang Bộ, cơ quan thuộc Chính phủ, Ủy ban nhân dân các tỉnh, thành phố trực thuộc Trung ương và các tổ chức, cá nhân có liên quan chịu trách nhiệm thi hành Quy chuẩn kỹ thuật này.
V. TỔ CHỨC THỰC HIỆN
Tổng cục trưởng Tổng cục Khí tượng Thủy văn tổ chức phổ biến, đôn đốc, kiểm tra áp dụng Quy chuẩn này cho các đối tượng có liên quan.
Căn cứ vào yêu cầu quản lý, Tổng cục Khí tượng Thủy văn có trách nhiệm đề xuất, kiến nghị Bộ Tài nguyên và Môi trường sửa đổi, bổ sung nội dung Quy chuẩn kỹ thuật khi cần thiết.
PHỤ LỤC A
QUAN TRẮC ÁP SUẤT KHÍ QUYỂN
1. Quan trắc khí áp bằng khí áp kế thủy ngân
Đơn vị đo khí áp: Hectopascal, viết tắt là hPa.
Bảng 1. Bảng so sánh đơn vị đo khí áp
| hPa | mb | mmHg | inHg |
| 1 | 1 | 0,750062 | 0,02095300 |
| 1,333224 | 1,333224 | 1 | 0,03937008 |
| 33,8639 | 33,8639 | 25,4 | 1 |
|
|
|
|
|
mb - milibar (mm. Hg) - milimet thủy ngân (in.Hg) - inch thủy ngân
1.1. Phương pháp quan trắc
- Đối với khí áp kế Kew quan trắc theo trình tự sau:
+ Đọc nhiệt kế phụ thuộc chính xác tới 0,1 oC;
+ Dùng ngón tay gõ nhẹ vào thành ống, khoảng gần đầu cột thủy ngân, để làm giảm ảnh hưởng của mao dẫn;
+ Vặn thước chạy vec ni ê, đầu tiên cho thước chạy vượt lên trên mặt thủy ngân, sau vặn dần dần xuống và dừng lại, khi đáy thước chạy tiếp giáp với đỉnh cột thủy ngân, sao cho hai bên của điểm tiếp giáp còn lại hai hình tam giác;
+ Đọc trị số khí áp, chính xác tới 0,1 hPa. Khi đọc mắt quan trắc viên cần ở vị trí ngang bằng với đáy thước chạy vec ni ê;
+ Đọc phần số nguyên trên thang độ ở ngay dưới vạch 0 của thước chạy;
+ Đọc phần số thập phân: tìm trên thước chạy một vạch chia trùng với một vạch nào đó của thang độ, số đọc của vạch trên con chạy là phần số lẻ - phần mười. Nếu không có một cặp vạch nào thật trùng nhau, thì chọn cặp vạch “gần trùng” hơn cả.
- Đối với khí áp kế Fortin tiến hành quan trắc như sau:
+ Đọc nhiệt kế phụ thuộc chính xác tới 0,1 oC;
+ Dùng ngón tay gõ nhẹ vào thành ống gần đầu cột thủy ngân, để làm giảm ảnh hưởng của thành ống;
+ Vặn ốc điều chỉnh dưới đáy chậu, đưa mặt thủy ngân lên vừa chạm đầu kim ngà, sao cho mũi kim ngà và bóng của nó trên mặt thủy ngân làm thành hai góc đối đỉnh.
- Vặn thước chạy và đọc như đối với khí áp kế Kew.
- Đọc xong, vặn ốc đưa mặt thủy ngân xuống cách mũi kim ngà vài mm.
1.2. Cách tính hiệu chính khí áp mực trạm
Trị số đọc khí áp kế khi đưa về khí áp mực trạm cần phải làm các hiệu chính:
- Hiệu chính khí cụ: là hiệu chính sai số của phương tiện đo so với khí áp kế chuẩn;
- Hiệu chính về nhiệt độ 0 oC;
- Hiệu chính về vĩ độ 45o;
- Hiệu chính về độ cao mực 0 m.
Số hiệu chính về vĩ độ 45o và về độ cao 0 m gọi là số hiệu chính gia tốc trọng trường. Hai số hiệu chính này kết hợp với số hiệu chính về nhiệt độ 0 oC gọi là số hiệu chính tổng hợp. Số hiệu chính này được tính sẵn, khi quan trắc ở trạm chỉ cần tra bảng. Sau khi quan trắc khí áp kế, làm hiệu chính khí cụ. Lấy trị số nhiệt độ phụ thuộc khí áp kế và số đọc khí áp kế đã hiệu chính khí cụ, tra bảng hiệu chính khí áp tổng hợp sẽ được khí áp mực trạm.
Chú thích: khi tra bảng hiệu chính cần quy các phần mười của nhiệt độ và khí áp kế theo quy tắc quy về nhiệt độ tròn gần nhất.
1.3. Cách tính khí áp về mực biển
Trị số khí áp mực trạm muốn đưa về mực mặt biển được tính như sau:
a. Đối với trạm có độ cao nhỏ hơn 20 m, số hiệu chính về mặt biển là hằng số (sau khi được tính), lấy khí áp mực trạm cộng đại số với số hiệu chính, được khí áp mực biển.
b. Những trạm có độ cao lớn hơn 20 m, dùng nhiệt độ không khí quy về độ chẵn và khí áp mực trạm quy tròn về đơn vị 5 hPa, để tra bảng hiệu chính khí áp rút về mực biển. Lấy khí áp mực trạm cộng đại số với số hiệu chính khí áp về mực biển, được khí áp mực biển.
c. Các trạm có độ cao cách biển từ 800 m đến 2300 m, không tính khí áp mực biển, mà tính độ cao quy về mặt đẳng áp 850 hPa, theo mét địa thế vị.
1.4. Cách tính độ cao mặt đẳng áp chuẩn theo mét địa thế vị
Các trạm ở độ cao từ 800 m đến độ cao 2300 m, báo độ cao mặt đẳng áp 850hPa bằng mét địa thế vị (mđtv) theo công thức:
| h850≈ h - Ah | khi khí áp mực trạm < 850 hPa. |
| h850≈ h + Ah | khi khí áp mực trạm > 850 hPa. |
Với:
h850 là độ cao mặt đẳng áp 850 hPa bằng mđtv.
h độ cao chậu khí áp kế bằng m.
∆h là khoảng cách từ mực trạm tới mặt đẳng áp 850 hPa.
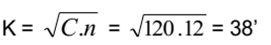
Trị số ∆h được tính sẵn theo bảng. Cách tra ∆h gồm 2 bước:
Bước 1: tính nhiệt độ trung bình của không khí trong 12 giờ vừa qua (T) theo công thức:

Với:
T nhiệt độ không khí lúc quan trắc.
T12: nhiệt độ không khí ở 12 giờ trước.
h: độ cao chậu khí áp kế tính bằng m.
Bước 2: căn cứ vào khí áp mực trạm P0 (tới phần mười hPa) và nhiệt độ trung bình của không khí 12 giờ qua T, tra bảng sẽ được giá trị ∆h.
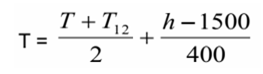
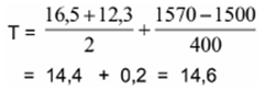
Thí dụ: trạm Sa Pa (h = 1570 m), quan trắc 13 giờ, nhiệt độ không khí T = 16.5 oC, nhiệt độ không khí lúc 1giờ là 12,3 oC, khí áp mực trạm lúc 13 giờ là P0 = 872,6 hPa.
Bước 1: 
Bước 2: (nội suy theo 2 chiều).
|
| 10 | 20 |
| 872 | 212 | 219 |
| 873 | 221 | 229 |
| Tìm ∆h với | P0 = 872 hPa và | T = 14,6 oC: |
| T = 10oC | P0 = 872 hPa | ∆h = 212 |
| T = 20oC | P0 = 872 hPa | ∆h = 219 |
Nội suy được:

Tìm Δh với P0 = 873 hPa và T = 14,6 oC
| P0 = 873 hPa | P0 = 873hPa | ∆h = 219 | |||
| T = 10 oC | ∆h = 221 | T = 20oC | ∆h = 229 | ||
Nội suy được:

Tìm ∆h với P0 = 872,6 hPa và T = 14,6 oC:
| P0 = 872 hPa | ∆h = 215,2 | P0 = 873 hPa | ∆h = 224,7 |
| T = 14.6 oC |
| T = 14,6 oC |
|
Nội suy được:
∆h = 215,2 + (224,7 - 215,2)(872,6 - 872,0)
= 215,2 + 9,5 x 0,6 = 215,2 + 5,7 = 220,9 ≈ 221
Độ cao mặt đẳng áp 850 hPa
h850 ≈ h + ∆h
≈ 1570 + 221
≈ 1791 mđtv
Báo hhh = 791
Bảng 2. Khoảng cách từ mực trạm đến mặt đẳng áp 850hPa (∆h) mđtv
|
| - 10 | 0 | 10 | 20 | 30 | 40 |
|
| - 10 | 0 | 10 | 20 | 30 | 40 |
| 760 | 862 | 895 | 928 | 961 | 993 | 1026 |
| 795 | 515 | 535 | 554 | 574 | 594 | 613 |
| 761 | 852 | 884 | 917 | 949 | 982 | 1014 |
| 796 | 506 | 525 | 544 | 563 | 583 | 602 |
| 762 | 842 | 874 | 906 | 938 | 970 | 1002 |
| 797 | 496 | 515 | 534 | 553 | 571 | 590 |
| 763 | 832 | 864 | 895 | 927 | 958 | 990 |
| 798 | 486 | 505 | 523 | 542 | 560 | 579 |
| 764 | 822 | 853 | 884 | 916 | 947 | 978 |
| 799 | 477 | 495 | 513 | 531 | 549 | 567 |
| 765 | 812 | 843 | 873 | 904 | 935 | 966 |
| 800 | 467 | 484 | 503 | 520 | 538 | 556 |
| 766 | 802 | 832 | 863 | 893 | 923 | 954 |
| 801 | 457 | 474 | 492 | 509 | 527 | 544 |
| 767 | 791 | 822 | 852 | 882 | 912 | 942 |
| 802 | 448 | 464 | 482 | 499 | 516 | 533 |
| 768 | 782 | 811 | 841 | 871 | 900 | 930 |
| 803 | 438 | 454 | 472 | 488 | 505 | 521 |
| 769 | 771 | 801 | 830 | 859 | 889 | 918 |
| 804 | 429 | 444 | 461 | 477 | 494 | 510 |
| 770 | 761 | 790 | 819 | 848 | 877 | 906 |
| 805 | 419 | 435 | 451 | 467 | 483 | 499 |
| 771 | 752 | 780 | 809 | 837 | 866 | 894 |
| 806 | 409 | 425 | 441 | 456 | 471 | 487 |
| 772 | 741 | 770 | 798 | 826 | 854 | 882 |
| 807 | 400 | 415 | 430 | 445 | 461 | 476 |
| 773 | 731 | 759 | 787 | 815 | 843 | 871 |
| 808 | 390 | 405 | 420 | 435 | 450 | 465 |
| 774 | 722 | 749 | 776 | 804 | 831 | 859 |
| 809 | 381 | 395 | 410 | 424 | 439 | 453 |
| 775 | 712 | 739 | 766 | 793 | 820 | 847 |
| 810 | 371 | 385 | 400 | 413 | 428 | 442 |
| 776 | 702 | 728 | 755 | 782 | 808 | 835 |
| 811 | 362 | 375 | 389 | 403 | 417 | 431 |
| 777 | 692 | 718 | 744 | 771 | 797 | 823 |
| 812 | 352 | 365 | 379 | 392 | 406 | 419 |
| 778 | 682 | 708 | 734 | 760 | 786 | 811 |
| 813 | 343 | 355 | 369 | 382 | 395 | 408 |
| 779 | 672 | 697 | 723 | 749 | 774 | 800 |
| 814 | 333 | 346 | 359 | 371 | 384 | 397 |
| 780 | 662 | 687 | 712 | 738 | 763 | 788 |
| 815 | 324 | 336 | 349 | 361 | 374 | 385 |
| 781 | 652 | 677 | 702 | 727 | 751 | 776 |
| 816 | 314 | 326 | 339 | 350 | 363 | 374 |
| 782 | 642 | 667 | 691 | 716 | 740 | 764 |
| 817 | 305 | 316 | 328 | 340 | 352 | 363 |
| 783 | 633 | 657 | 681 | 705 | 729 | 753 |
| 818 | 296 | 306 | 318 | 329 | 341 | 352 |
| 784 | 623 | 646 | 670 | 694 | 717 | 741 |
| 819 | 286 | 297 | 308 | 319 | 330 | 341 |
| 785 | 613 | 636 | 659 | 683 | 706 | 729 |
| 820 | 277 | 287 | 298 | 308 | 319 | 329 |
| 786 | 603 | 626 | 649 | 672 | 695 | 718 |
| 821 | 267 | 277 | 288 | 298 | 308 | 318 |
| 787 | 593 | 616 | 638 | 661 | 684 | 706 |
| 822 | 258 | 267 | 278 | 287 | 298 | 307 |
| 788 | 583 | 606 | 628 | 650 | 672 | 694 |
| 823 | 249 | 258 | 268 | 277 | 287 | 296 |
| 789 | 574 | 595 | 617 | 639 | 661 | 683 |
| 824 | 239 | 248 | 258 | 266 | 276 | 285 |
| 790 | 564 | 585 | 607 | 628 | 650 | 671 |
| 825 | 230 | 238 | 248 | 256 | 265 | 274 |
| 791 | 554 | 575 | 596 | 617 | 638 | 659 |
| 826 | 221 | 229 | 238 | 246 | 255 | 263 |
| 792 | 544 | 565 | 586 | 606 | 627 | 648 |
| 827 | 211 | 219 | 228 | 235 | 244 | 251 |
| 793 | 535 | 555 | 575 | 596 | 616 | 636 |
| 828 | 202 | 209 | 218 | 225 | 233 | 240 |
| 794 | 525 | 545 | 565 | 585 | 605 | 625 |
| 829 | 193 | 200 | 208 | 214 | 222 | 229 |
| 795 | 515 | 535 | 554 | 574 | 594 | 613 |
| 830 | 183 | 190 | 198 | 204 | 212 | 218 |
| 831 | 174 | 180 | 188 | 194 | 201 | 207 |
| 861 | 99 | 103 | 107 | 110 | 114 | 118 |
| 832 | 165 | 171 | 178 | 183 | 190 | 196 |
| 862 | 108 | 112 | 116 | 120 | 125 | 129 |
| 833 | 156 | 161 | 168 | 173 | 180 | 185 |
| 863 | 117 | 121 | 126 | 130 | 135 | 139 |
| 834 | 146 | 152 | 158 | 163 | 169 | 174 |
| 864 | 126 | 131 | 135 | 140 | 145 | 150 |
| 835 | 137 | 142 | 148 | 153 | 158 | 163 |
| 865 | 135 | 140 | 145 | 150 | 155 | 161 |
| 836 | 128 | 132 | 138 | 142 | 148 | 152 |
| 866 | 144 | 149 | 155 | 160 | 166 | 171 |
| 837 | 119 | 123 | 128 | 132 | 137 | 141 |
| 867 | 153 | 158 | 164 | 170 | 176 | 182 |
| 838 | 109 | 113 | 118 | 122 | 127 | 130 |
| 868 | 162 | 168 | 174 | 180 | 186 | 192 |
| 839 | 100 | 104 | 108 | 112 | 116 | 119 |
| 869 | 170 | 177 | 183 | 190 | 196 | 203 |
| 840 | 91 | 94 | 98 | 101 | 105 | 108 |
| 870 | 179 | 186 | 193 | 200 | 207 | 213 |
| 841 | 82 | 85 | 88 | 91 | 95 | 98 |
| 871 | 188 | 195 | 202 | 210 | 217 | 224 |
| 842 | 73 | 75 | 79 | 81 | 84 | 87 |
| 872 | 197 | 205 | 212 | 219 | 227 | 234 |
| 843 | 64 | 66 | 69 | 71 | 74 | 76 |
| 873 | 206 | 214 | 221 | 229 | 237 | 245 |
| 844 | 55 | 56 | 59 | 61 | 63 | 65 |
| 874 | 215 | 223 | 231 | 239 | 247 | 255 |
| 845 | 45 | 47 | 49 | 50 | 53 | 54 |
| 875 | 223 | 232 | 240 | 249 | 257 | 266 |
| 846 | 36 | 37 | 39 | 40 | 42 | 43 |
| 876 | 232 | 241 | 250 | 259 | 267 | 276 |
| 847 | 27 | 28 | 29 | 30 | 32 | 32 |
| 877 | 241 | 250 | 259 | 269 | 278 | 287 |
| 848 | 18 | 18 | 20 | 20 | 21 | 22 |
| 878 | 250 | 259 | 269 | 278 | 288 | 297 |
| 849 | 9 | 9 | 10 | 10 | 11 | 11 |
| 879 | 259 | 268 | 278 | 288 | 298 | 308 |
| 850 | 0 | 0 | 0 | 0 | 0 | 0 |
| 880 | 267 | 277 | 288 | 298 | 308 | 318 |
| 851 | 9 | 9 | 10 | 10 | 10 | 11 |
| 881 | 276 | 287 | 297 | 308 | 318 | 329 |
| 852 | 18 | 19 | 20 | 20 | 21 | 22 |
| 882 | 285 | 296 | 307 | 317 | 328 | 339 |
| 853 | 27 | 28 | 29 | 30 | 31 | 32 |
| 883 | 294 | 305 | 316 | 327 | 338 | 349 |
| 854 | 36 | 38 | 39 | 40 | 42 | 43 |
| 884 | 302 | 314 | 325 | 337 | 348 | 360 |
| 855 | 45 | 47 | 49 | 50 | 52 | 54 |
| 885 | 311 | 323 | 335 | 346 | 358 | 370 |
| 856 | 54 | 56 | 58 | 60 | 62 | 64 |
| 886 | 320 | 332 | 344 | 356 | 368 | 380 |
| 857 | 63 | 66 | 68 | 70 | 73 | 75 |
| 887 | 328 | 341 | 353 | 366 | 378 | 391 |
| 858 | 72 | 75 | 78 | 80 | 83 | 86 |
| 888 | 337 | 350 | 363 | 376 | 388 | 401 |
| 859 | 81 | 84 | 87 | 90 | 93 | 97 |
| 889 | 346 | 359 | 372 | 385 | 398 | 411 |
| 860 | 90 | 94 | 97 | 100 | 104 | 107 |
| 890 | 354 | 368 | 381 | 395 | 408 | 422 |
| 891 | 363 | 377 | 391 | 405 | 418 | 432 |
| 921 | 618 | 642 | 665 | 689 | 712 | 736 |
| 892 | 372 | 386 | 400 | 414 | 428 | 442 |
| 922 | 627 | 651 | 674 | 698 | 722 | 746 |
| 893 | 380 | 395 | 409 | 424 | 438 | 453 |
| 923 | 635 | 659 | 683 | 708 | 732 | 756 |
| 894 | 389 | 404 | 419 | 433 | 448 | 463 |
| 924 | 643 | 668 | 692 | 717 | 741 | 766 |
| 895 | 398 | 413 | 428 | 443 | 458 | 473 |
| 925 | 652 | 677 | 701 | 726 | 751 | 776 |
| 896 | 406 | 422 | 437 | 453 | 468 | 484 |
| 926 | 660 | 685 | 710 | 735 | 760 | 786 |
| 897 | 415 | 431 | 446 | 462 | 478 | 494 |
| 927 | 668 | 694 | 719 | 745 | 770 | 795 |
| 898 | 424 | 440 | 456 | 472 | 488 | 504 |
| 928 | 677 | 703 | 728 | 754 | 780 | 805 |
| 899 | 432 | 448 | 465 | 481 | 498 | 514 |
| 929 | 685 | 711 | 737 | 763 | 789 | 815 |
| 900 | 441 | 457 | 474 | 491 | 508 | 524 |
| 930 | 693 | 720 | 746 | 772 | 799 | 825 |
| 901 | 448 | 466 | 483 | 500 | 517 | 534 |
| 931 | 702 | 728 | 755 | 782 | 808 | 835 |
| 902 | 458 | 475 | 493 | 510 | 527 | 545 |
| 932 | 710 | 737 | 764 | 791 | 818 | 845 |
| 903 | 466 | 484 | 502 | 519 | 537 | 555 |
| 933 | 718 | 745 | 773 | 800 | 827 | 855 |
| 904 | 475 | 493 | 511 | 529 | 547 | 565 |
| 934 | 727 | 754 | 782 | 809 | 837 | 865 |
| 905 | 483 | 502 | 520 | 538 | 557 | 575 |
| 935 | 735 | 763 | 791 | 818 | 846 | 874 |
| 906 | 492 | 511 | 529 | 548 | 566 | 585 |
| 936 | 743 | 771 | 800 | 828 | 856 | 884 |
| 907 | 500 | 519 | 538 | 557 | 576 | 595 |
| 937 | 751 | 780 | 808 | 837 | 865 | 894 |
| 908 | 509 | 528 | 548 | 567 | 586 | 606 |
| 938 | 759 | 788 | 817 | 846 | 875 | 904 |
| 909 | 517 | 537 | 557 | 576 | 596 | 616 |
| 939 | 768 | 797 | 826 | 855 | 884 | 914 |
| 910 | 526 | 546 | 566 | 586 | 606 | 626 |
| 940 | 776 | 805 | 835 | 864 | 894 | 923 |
| 911 | 534 | 555 | 575 | 595 | 616 | 636 |
| 941 | 784 | 814 | 844 | 873 | 903 | 933 |
| 912 | 543 | 563 | 584 | 604 | 625 | 646 |
| 942 | 792 | 822 | 852 | 882 | 913 | 943 |
| 913 | 551 | 572 | 593 | 614 | 635 | 656 |
| 943 | 800 | 831 | 861 | 892 | 922 | 952 |
| 914 | 560 | 581 | 602 | 623 | 645 | 666 |
| 944 | 809 | 839 | 870 | 901 | 931 | 962 |
| 915 | 568 | 590 | 611 | 633 | 654 | 676 |
| 945 | 817 | 848 | 879 | 910 | 941 | 972 |
| 916 | 577 | 598 | 620 | 642 | 664 | 686 |
| 946 | 825 | 856 | 888 | 919 | 950 | 982 |
| 917 | 585 | 607 | 629 | 652 | 674 | 696 |
| 947 | 833 | 865 | 896 | 928 | 960 | 991 |
| 918 | 593 | 616 | 638 | 661 | 683 | 706 |
| 948 | 841 | 873 | 905 | 937 | 969 | 1001 |
| 919 | 602 | 625 | 647 | 670 | 693 | 716 |
| 949 | 849 | 882 | 914 | 946 | 978 | 1011 |
| 920 | 610 | 633 | 656 | 680 | 703 | 726 |
| 950 | 857 | 890 | 923 | 955 | 988 | 1020 |
Chú thích:
- Khí áp từ 760 hPa đến 850 hPa dùng công thức: h850≈ h- ∆h;
- Khí áp từ 851 hPa đến 950 hPa dùng công thức: h850≈ h+ ∆h.
1.5. Cách tính biến áp 3 giờ
- Xác định giá trị biến thiên khí áp 3 giờ bằng cách lấy trị số khí áp mực trạm lúc quan trắc trừ đi khí áp mực trạm 3 giờ trước. Nếu khí áp lúc quan trắc cao hơn khí áp 3 giờ trước giá trị và đặc điểm biến thiên khí áp có dấu (+), nếu thấp hơn giá trị và đặc điểm biến thiên khí áp có dấu (-);
- Ngoài ra xác định đặc điểm biến thiên khí áp 3 giờ qua trên giản đồ khí áp ký.
1.6. Cách tính biến áp 24 giờ
Tính biến áp 24 giờ qua bằng cách lấy trị số khí áp mực trạm lúc quan trắc trừ đi trị số khí áp mực trạm trước đó 24 giờ, chính xác tới 0,1 hPa.
2. Quan trắc khí áp bằng khí áp kế hiện số PA - 11
Khí áp kế hiện số PA - 11 dùng để đo áp suất khí quyển, cho số đọc đến phần mười hPa bằng số trên màn hiện số.
Phương pháp quan trắc:
Ấn nút ON/OFF về vị trí ON, lúc đó màn hình hiện số + 1888,8 chứng tỏ phương tiện đo hoạt động tốt. Sau 10 giây số + 1888,8 biến mất và xuất hiện trị số khí áp cần đo.
3. Quan trắc khí áp bằng khí áp kế hiện số PTB
Phương pháp quan trắc
- Quan trắc khí áp mực trạm: bật công tắc phương tiện đo, chờ sau 20 giây đọc trị số khí áp, được trị số khí áp mực trạm (sau khi hiệu chính khí cụ);
- Quan trắc khí áp mực biển: dựa vào trị số khí áp mực trạm và nhiệt độ không khí để tra bảng tính số hiệu chính khí áp về mực biển, sau khi hiệu chính được trị số khí áp mực biển.
4. Quan trắc khí áp bằng khí áp kế hộp
- Trị số khí áp đo bằng khí áp kế hộp không phải làm hiệu chính rút về mực trạm, chỉ làm hiệu chính nhiệt độ;
- Phương pháp quan trắc:
+ Đọc nhiệt kế phụ thuộc;
+ Gõ nhẹ vào mặt kính, đọc trị số khí áp;
+ Lấy nhiệt độ đọc ở khí áp kế hộp, với số đọc khí áp, tra bảng hiệu chính, được số hiệu chính. Cộng đại số trị số khí áp đọc được với số hiệu chính, được trị số khí áp mực trạm (sau khi hiệu chính khí cụ).
5. Quan trắc khí áp bằng khí áp ký
Khí áp ký dùng để ghi sự biến thiên liên tục của áp suất khí quyển.
5.1. Phương pháp quan trắc
- Hàng ngày đánh mốc và đọc giá trị trên giản đồ vào lúc: 1 giờ ,7 giờ ,13 giờ, 19 giờ, 8 giờ. Dùng đầu bút chì gạt nhẹ cần kim để tạo thành mốc, khi đường ghi đi lên, gạt kim xuống dưới; khi đường ghi đi xuống, gạt kim lên không để mốc bậc thang;
- Cần giữ cho nét mực ngòi bút tự ghi thanh mảnh và chú ý tra thêm mực, tránh khô mực, mất số liệu. Khi trị số đọc trên giản đồ khí áp ký và trị số khí áp mực trạm đo được ở khí áp kế chênh lệch lớn hơn 1 hPa, cần theo dõi, điều chỉnh cần kim lên hoặc xuống một giá trị tương ứng vào lúc thay giản đồ;
- Hàng ngày thay giản đồ khí áp ký vào sau quan trắc 7 giờ.
5.2. Phương pháp quy toán giản đồ khí áp ký
- Hiệu chính từng giờ: dùng bút chì vạch một đường thẳng, chia giờ theo những mốc tương ứng các mốc giờ chính (mốc đầu đường ghi: 8 giờ, 13 giờ, 19 giờ, 1 giờ, 7 giờ);
- Đọc trị số từng giờ, chính xác tới 0,1 hPa và ghi bằng bút chì vào vị trí tương ứng;
- Tính trị số hiệu chính:
+ Ghi trị số khí áp mực trạm đọc từ khí áp kế 8 giờ, 13 giờ, 19 giờ, 1 giờ, 7 giờ vào vị trí các giờ tương ứng, gạch dưới các trị số này. Tính hiệu số giữa khí áp mực trạm với số đọc trên giản đồ ở các mốc giờ này, nếu khí áp mực trạm lớn hơn số đọc thì hiệu số mang dấu (+), ngược lại mang dấu (-);
+ Tính số hiệu chính cho từng giờ theo công thức:

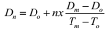
Dn: Trị số hiệu chính tại Tn;
Do: Trị số hiệu chính tại mốc đầu;
Dm: Trị số hiệu chính tại mốc giờ sau;
To: Giờ có trị số Do;
Tn: Giờ cần tìm trị số hiệu chính Dn;
Dm- Do: Là tổng biến sai trong khoảng thời gian từ To đến Tm;
n = (To đến Tn) = 1,2,3,... là số thứ tự thời gian kể từ giờ tròn sau To;
Tm giờ có trị số Dm;
Thời gian từ To đến Tn là khoảng thời gian tính bằng giờ từ mốc đầu đến giờ cần tính Dn;
Thời gian từ To đến Tm là khoảng thời gian tính bằng giờ giữa hai mốc;
+ Sau khi tìm được số hiệu chính cho từng giờ, sẽ tính được các trị số khí áp đã hiệu chính. Các trạm sử dụng bảng tính sẵn để làm hiệu chính.
- Trường hợp giản đồ có mốc bậc thang lớn hơn hoặc bằng 0,3 hPa (hoặc lớn hơn hoặc bằng 0,3 oC) phải làm 2 số hiệu chính;
- Tìm áp triều và tính hiệu chính của các trị số áp triều:
+ Hàng ngày từ 0 giờ đến 24 giờ, khí áp có hai lần lên và hai lần xuống. Lần xuống thứ nhất - gọi là tối thấp thứ nhất - thường xẩy ra từ 0 giờ đến 7 giờ, lần lên thứ nhất - gọi là tối cao thứ nhất - thường xảy ra từ 7 giờ đến 13 giờ, lần xuống thứ hai - gọi là tối thấp thứ hai - thường xảy ra từ 13 giờ đến 19 giờ, lần lên thứ hai - gọi là tối cao thứ hai - thường xảy ra từ 19 giờ đến 24 giờ. Tìm những điểm thấp nhất và cao nhất ở các khoảng thời gian tương ứng trên giản đồ, đánh dấu các điểm ấy bằng các mũi tên, đọc trị số, ghi giờ, phần lẻ giờ theo phần mười và tính số hiệu chính cho các trị số đó;
+ Nếu các trị số xuất hiện đúng giờ tròn thì lấy trị số đã hiệu chính ở các giờ đó; nếu áp triều ở khoảng hai giờ tròn, thì chia giờ tròn thành 6 phần, trị số hiệu chính ở hai giờ được xem như trị số hiệu chính từ hai mốc cơ sở và tính số hiệu chính theo công thức trên;
+ Các trị số tối cao hay tối thấp xuất hiện vào nhiều giờ liên tiếp, chọn trị số áp triều vào giờ xuất hiện đầu tiên. Chú ý chọn tối cao ưu tiên số đọc trên giản đồ cao hơn, chọn tối thấp ưu tiên số đọc trên giản đồ thấp hơn;
+ Trường hợp có gió mùa Đông bắc tràn về, đường ghi khí áp ký đi lên từ 19 giờ ngày hôm trước đến 1 - 2 giờ ngày hôm sau, sau đó đường ghi khí áp ký đi xuống, chọn tối cao thứ 2 vào thời điểm đó, ghi giờ xuất hiện là 25,0 giờ hay 26,0 giờ;
+ Trường hợp có gió mùa Đông bắc tràn về, đường ghi khí áp ký đi lên liên tục từ 19 giờ hôm trước đến 6 - 7 giờ hôm sau, áp triều bị phá vỡ, không chọn tối cao thứ 2 ngày hôm trước và tối thấp thứ 1 ngày hôm sau;
+ Trường hợp có bão, đường ghi khí áp ký đi xuống liên tục, áp triều bị phá vỡ, không chọn áp triều.
- Tìm trị số tối cao, tối thấp trong ngày:
+ Trị số khí áp cao nhất và thấp nhất trong ngày được chọn từ 0 giờ đến 24 giờ. Trị số tối cao thường trùng với một trong hai trị số tối cao của áp triều, trị số tối thấp thường trùng với một trong hai trị số tối thấp của áp triều. Trường hợp do dông mạnh, khí áp tăng vọt lên, hay tụt hẳn xuống, áp triều không chọn vào các trị số này, nhưng trị số đó cao hơn hoặc thấp hơn trị số áp triều, thì chọn trị số tối cao hay tối thấp của ngày vào vị trí đó và tính số hiệu chính như phương pháp trên;
+ Khi có gió mùa Đông bắc hay bão, áp triều bị phá vỡ, không chọn áp triều, vẫn chọn trị số tối cao, tối thấp hàng ngày.
PHỤ LỤC B
QUAN TRẮC GIÓ BỀ MẶT
1. Nội dung quan trắc gió
- Quan trắc hướng gió trung bình trong 2 phút hoặc 10 phút và đặc điểm của hướng;
- Quan trắc tốc độ gió trung bình trong 2 phút hoặc 10 phút và đặc điểm của tốc độ;
- Quan trắc gió mạnh nhất kèm hướng (trong 2 phút hay 10 phút);
- Quan trắc gió giật kèm hướng;
- Gió giật là gió biến đổi tốc độ một cách nhanh chóng. Tốc độ mạnh nhất và nhỏ nhất chênh lệch lớn hơn hoặc bằng 8m/s, xẩy ra trong khoảng thời gian đo (2 phút hoặc 10 phút trong kỳ quan trắc gió). Nếu tốc độ gió lớn nhất và nhỏ nhất chênh lệch nhỏ hơn 8 m/s là gió đều;
- Gió đổi hướng là gió biến đổi hướng gió một cách nhanh chóng, trong khoảng thời gian đo (2 phút hoặc 10 phút trong kỳ quan trắc gió) hướng gió thay đổi quá một độ la bàn 16 hướng gọi là gió đổi hướng (> 22,5o). Nếu hướng gió không thay đổi quá một độ la bàn gọi là gió định hướng (< 22,5o);
- Gió mạnh nhất trong ngày là tốc độ gió trung bình lớn nhất trong 2 phút hoặc trong 10 phút, xẩy ra trong ngày từ 19 giờ hôm trước đến 19 giờ hôm sau;
- Khi có bão ảnh hưởng tới trạm, gió mạnh nhất trong cơn bão là tốc độ gió trung bình lớn nhất trong 2 phút hay trong 10 phút. Gió mạnh nhất tức thời là gió lớn nhất xẩy ra trong khoảng thời gian từ 2 giây.
2. Quan trắc gió bằng phương tiện đo gió tự báo EL
- Phương tiện đo gió tự báo EL dùng để đo tốc độ gió và hướng gió tức thời từ xa, phương tiện đo gồm hai bộ phận: bộ phận cảm ứng đặt ở ngoài vườn khí tượng trên cột gió có độ cao 10 m đến 12 m, bộ phận chỉ thị đặt ở trong phòng làm việc;
- Bộ phận cảm ứng có hệ thống gáo để đo tốc độ gió và một phong tiêu chỉ hướng gió. Bộ phận chỉ thị có 2 đồng hồ, đồng hồ bên trái báo tốc độ, đồng hồ bên phải chỉ hướng gió;
- Trên mặt đồng hồ báo tốc độ, 2 thang độ chữ đỏ ở ngoài cùng chỉ tốc độ gió bằng cấp gió Beaufort; 2 thang độ bên trong chỉ tốc độ gió bằng m/s, thang độ trên chỉ tốc độ gió từ 0 m/s đến 40 m/s, thang độ dưới chỉ tốc độ từ 0 m/s đến 20 m/s;
- Trên mặt đồng hồ chỉ hướng, các hướng N, NE, E, SE, S, SW, W, NW ở vòng ngoài có đèn báo sáng khi phong tiêu chỉ hướng gió tương ứng; các hướng NNE, ENE, ESE, SSE, SSW, WSW, WNW, NNW ở vòng trong không có đèn báo sáng;
- Phương tiện đo gió EL dùng điện AC 220V hay DC 12V. Khi mất điện hay hết điện acquy, vẫn quan trắc được tốc độ gió, quan trắc hướng gió bằng phong tiêu ngoài trời.
Phương pháp quan trắc:
- Khi quan trắc gió, bật đồng thời cả 2 công tắc đo tốc độ và đo hướng gió để xác định tốc độ, hướng, đặc điểm gió trong 2 phút. Sau khi quan trắc xong phải tắt bộ phận quan trắc hướng gió, tránh bị cháy do dông sét. Quan trắc tốc độ gió, khi tốc độ gió < 20 m/s bật công tắc tốc độ về phía dưới, tốc độ gió ≥ 20 m/s bật công tắc lên phía trên. Nếu để công tắc ở vị trí giữa, đồng hồ tốc độ gió không hoạt động;
- Đặc điểm của gió gồm: gió giật, gió đều, gió đổi hướng, gió không đổi hướng;
- Quan trắc tốc độ gió:
+ Trước giờ tròn 2 phút quan sát sự dao động của kim đồng hồ đo tốc độ, sử dụng đồng hồ bấm giây, cứ 30 giây ghi một trị số tốc độ gió trong 2 phút quan trắc sẽ ghi được 5 trị số tốc độ gió. Giá trị tốc độ gió tại kỳ quan trắc được tính bằng trung bình của 5 giá trị tốc độ trên được báo bằng số nguyên;
+ Quy định làm tròn trị số quan trắc gió: khi giá trị trung bình < 0,5 m/s khi đó tốc độ được xác định số nguyên. Nếu giá trị sau dấu phẩy ≥ 0,5 m/s thì tốc độ được quy lên;
+ Khi giá trị trung bình < 0,5 m/s nhưng > 0 m/s được qui thành 1 m/s.
- Quan trắc hướng gió:
+ Quan trắc hướng gió đồng thời với quan trắc tốc độ trong 2 phút, quan sát sự thay đổi của hướng gió trên bộ phận chỉ hướng gió, sử dụng đồng hồ bấm giây, cứ 30 giây ghi một hướng gió trong 2 phút quan trắc sẽ ghi được 5 trị số hướng trên, chỉ số hướng gió tại kỳ quan trắc được tính trung bình của 5 giá trị trên. Hướng gió trung bình được đọc và ghi theo các tên hướng in sẵn trên mặt đồng hồ như N, NNE, NE, ... Khi đèn hướng có sáng nhưng tốc độ gió bằng 0 (lặng gió) hướng gió ghi là (-).
- Quan trắc đặc điểm gió:
+ Trong lúc quan trắc (2 phút) nếu hướng gió xê dịch trong góc > 22,5o (số ô hướng được chiếu sáng lớn hơn hoặc bằng 3 ô), đặc điểm gió là gió đổi hướng. Nếu trong 2 phút lúc quan trắc hướng gió xê dịch ≤ 22,5o (số ô hướng được chiếu sáng nhỏ hơn 3), đặc điểm gió là không đổi hướng;
+ Trong 2 phút lúc quan trắc, nếu tốc độ gió thay đổi ≥ 8 m/s (tốc độ cao nhất trừ tốc độ thấp nhất ≥ 8 m/s), đặc điểm gió là gió giật, nếu tốc độ gió thay đổi < 8 m/s (tốc độ cao nhất trừ tốc độ thấp nhất < 8 m/s), đặc điểm gió là đều.
+ Khi tốc độ gió quan trắc được lớn hơn giá trị thang đo của phương tiện đo ghi dấu >.
Thí dụ: quan trắc 13 giờ quan trắc có gió > 40 m/s ghi là > 40 m/s. Trong sổ quan trắc trị số được báo tốc độ = 40 m/s.
3. Quan trắc gió bằng phương tiện đo gió YOUNG có bộ lưu giữ
Phương pháp quan trắc:
- Quan trắc đặc điểm gió:
+ Dòng trên hiển thị số liệu hướng và tốc độ gió hiện thời tính trung bình trong 2 giây và thời gian xuất hiện giá trị đó;
+ Dòng dưới hiển thị số liệu hướng và tốc độ gió hiện thời tính trung bình trong 2 phút và thời gian xuất hiện giá trị đó.
- Quan trắc gió mạnh nhất tức thời và gió giật:
+ Dòng trên hiển thị số liệu hướng và tốc độ gió cực đại tính trung bình trong 2 giây từ kỳ quan trắc trước đến lúc hiện thời và thời gian xuất hiện giá trị đó, chu kỳ thời gian quan trắc được tính 30 phút;
+ Dòng dưới hiển thị số liệu hướng và tốc độ gió cực đại tính trung bình trong 2 giây và thời gian xuất hiện giá trị đó của kỳ quan trắc trước liền kề, chu kỳ thời gian quan trắc được tính 60 phút.
- Quan trắc gió mạnh nhất trong ngày:
+ Dòng trên hiển thị số liệu hướng và tốc độ gió cực đại tính trung bình trong 2 giây từ kỳ quan trắc trước đến lúc hiện thời và thời gian xuất hiện giá trị đó, chu kỳ thời gian quan trắc được tính 180 phút. Số liệu này để báo gió mạnh nhất tức thời;
+ Dòng dưới hiển thị số liệu hướng và tốc độ gió cực đại tính trung bình trong 2 phút và thời gian xuất hiện. Thời gian được tính từ 19 giờ đến thời gian hiện tại, chu kỳ từ 19 giờ hôm trước đến 19 giờ hôm sau. Hướng và tốc độ gió mạnh nhất trong cơn bão được lấy tại dòng này (sau 19 giờ màn hình không hiển thị lại).
4. Quan trắc gió bằng phương tiện đo gió YOUNG sử dụng bộ hiển thị
Bộ hiển thị Model 06201 của phương tiện đo gió YOUNG là màn hình nhỏ gọn hiển thị hướng gió và tốc độ gió, chuỗi tín hiệu đầu vào/đầu ra và tín hiệu báo động. Gồm:
- Màn hình hiển thị tốc độ gió cực đại;
- Hiển thị đơn vị tốc độ gió;
- Hiển thị tình trạng đèn tín hiệu;
- Hiển thị tính số liệu trung bình;
- Màn hình hiển thị hướng gió hoặc tốc độ gió cực đại;
- Màn hình hiển thị đặc điểm và hướng gió.
Phương pháp quan trắc:
- Khi bật phương tiện đo sẽ hiển thị với số phiên bản phần mềm xấp xỉ 4 giây. Sau đó hiển thị các thông tin về gió. Gồm:
+ Tốc độ gió;
+ Hướng gió;
+ Đặc điểm của hướng gió;
+ Đơn vị tính tốc độ gió;
+ Hướng gió và tốc độ gió mạnh nhất.
- Quan trắc trong 2 phút hoặc 10 phút các giá trị hiển thị trên màn hình là hướng gió, tốc độ gió và đặc điểm gió.
- Trường hợp khi có bão hoặc áp thấp nhiệt đới thực hiện quan trắc và phát báo như sau:
+ Quan trắc hướng và tốc độ gió: khi tốc độ gió ≥ 10 m/s trong thời gian 2 giây;
+ Trường hợp gió đổi hướng nhưng tốc độ ≤3 m/s, báo dd = 99, khi tốc độ gió ≥ 4 m/s, báo dd là hướng gió chỉ lâu nhất trong thời gian quan trắc. Gió giật, dd báo bằng mã số của hướng gió cộng thêm 50. Trường hợp gió vừa giật và đổi hướng báo như gió giật.
5. Quan trắc gió bằng phương tiện đo gió Munro
Phương tiện đo gió Munro dùng để đo và ghi lại trên giản đồ hướng gió tức thời (theo các hướng N, E, S, W, N hoặc theo độ 0o đến 360o) và tốc độ gió tức thời (m/s). Gồm các bộ phận:
- Ống áp suất và bộ phận phong tiêu;
- Hệ thống dẫn áp lực và truyền hướng gió từ phong tiêu;
- Bộ phận ghi tốc độ và hướng gió.
Hướng gió và tốc độ gió được ghi lại trên giản đồ phương tiện đo gió Munro bằng 2 kim chỉ hướng và 1 kim chỉ tốc độ.
Yêu cầu kỹ thuật:
- Kim chỉ tốc độ và 2 kim chỉ hướng phải chỉ cùng thời gian trên giản đồ;
- Kim chỉ tốc độ 0 m/s khi nhấn trục phải ở vị trí thấp nhất;
- Hai kim chỉ hướng phải chỉ đúng hướng N trên giản đồ khi kim ở vị trí thấp nhất và cao nhất.
Phương pháp quan trắc
- Vào các kỳ quan trắc đọc hướng gió và tốc độ gió trên giản đồ trước khi đọc khí áp kế. Tốc độ gió và hướng gió là giá trị trung bình trong thời gian 10 phút tính từ thời điểm đọc giản đồ trở về trước. Tốc độ gió tính bằng m/s; hướng gió tính theo la bàn 16 hướng: N, NNE, NE, ... , NW, NNW;
- Khi tốc độ gió trung bình là 0 m/s, đường ghi kéo ngang là lặng gió;
- Xác định hướng và tốc độ gió mạnh nhất tức thời:
- Trên giản đồ từ 0 giờ đến 24 giờ, xác định tốc độ gió tức thời lớn nhất trong ngày (vị trí đường ghi cao nhất), sau đó xác định hướng tương ứng với tốc độ lớn nhất tức thời và giờ phút xuất hiện.
- Thay giản đồ:
+ Giản đồ phương tiện đo gió Munro thay vào lúc 9 giờ 10 phút hàng ngày. Khi có gió lớn hơn 15 m/s thì chưa thay giản đồ, chờ gió nhỏ hơn 15 m/s thay. Nếu từ 9 giờ đến 10 giờ gió vẫn lớn hơn hoặc bằng 15 m/s, để cho phương tiện đo hoạt động đến 10 giờ rồi xoay giản đồ vượt qua nẹp cho phương tiện đo gió hoạt động tiếp, chờ khi gió nhỏ hơn 15 m/s thay và ghi thời gian thay chính xác tới phút;
+ Hàng ngày đánh mốc giản đồ vào lúc 10 giờ, 13 giờ, 19 giờ, 1 giờ, 7 giờ. Dùng bút chì gạch một nét trên giản đồ, không chạm vào kim chỉ hướng hay kim chỉ tốc độ.
- Quy toán giản đồ:
+ Hiệu chính giờ như các giản đồ phương tiện đo tự ghi;
+ Hướng gió thịnh hành và tốc độ gió của từng giờ trong ngày (đọc giá trị trung bình 10 phút trước giờ tròn);
+ Hướng gió và tốc độ gió trung bình lớn nhất trong 60 phút và 10 phút (giờ, phút có giá trị này);
+ Hướng gió và tốc độ gió tức thời lớn nhất trong ngày (giờ phút có giá trị này). Chọn ở vị trí có tốc độ lớn nhất trên giản đồ;
+ Trên giản đồ từ 0 giờ đến 24 giờ, chọn ở khoảng thời gian có tốc độ lớn nhất, rồi xác định tốc độ trung bình lớn nhất trong 10 phút, sau đó xác định hướng trung bình tương ứng với tốc độ lớn nhất đó và ghi giờ phút bắt đầu.
+ Nếu trong ngày có hai đợt gió trong 10 phút có tốc độ trung bình lớn nhất có giá trị bằng nhau, thì ghi lại cả hai đợt gió mạnh đó.
6. Quan trắc gió bằng phương tiện đo gió cầm tay
Phương tiện đo gió cầm tay dùng để đo tốc độ gió trung bình nhỏ hơn 20 m/s trong một khoảng thời gian nhất định.
Phương pháp quan trắc:
- Trước khi quan trắc tốc độ gió bằng phương tiện đo gió cầm tay cần chuẩn bị sẵn một đồng hồ bấm giây.
- Lắp phương tiện đo vào đầu một cột gỗ trồng thẳng đứng, cao trên mặt đất 2 mét. Gạt khoá hãm phương tiện đo không cho kim chạy, ghi trị số ban đầu, rồi bấm đồng hồ đếm giây, đồng thời mở khoá 6 cho kim phương tiện đo gió bắt đầu chạy. Thông thường để phương tiện đo chạy 100 giây đồng hồ thì hãm lại và đọc trị số của các kim. Trị số tốc độ trung bình chưa hiệu chính là:

Muốn có trị số tốc độ gió đúng, phải hiệu chính tốc độ qua chứng từ kiểm định.
Thí dụ: trị số ban đầu là 1003, sau khi cho phương tiện đo chạy 100 giây, số đọc là: 1163.

Tra chứng từ kiểm định đối chứng với giản đồ tốc độ = m/s
Cách tra: trục tung là biểu đồ quan hệ giữa V (số vòng quay) và N (tính bằng giây) (V/s)
Trục hoành là V (m/s), từ trục tung kẻ đường song song với trục hoành gặp đường trung bình trên giản đồ của chứng từ, kẻ đường song song với trục tung xuống trục hoành điểm gặp trục hoành là giá trị gió.
7. Quan trắc gió bằng cấp gió Beaufort
Chuẩn bị sẵn phương án xác định tốc độ gió bằng cấp gió Beaufort khi phương tiện đo gió hỏng. Cách chuẩn bị như sau:
- Chuẩn bị một dải phong tiêu vải dài 1 m, rộng 0,15 m để quan trắc hướng;
- Quan trắc tốc độ gió theo cấp gió Beaufort tiến hành trong 10 phút quan trắc được những biểu hiện của cây và cảnh vật quanh trạm xác định được cấp gió, tra bảng 3 được tốc độ gió. Xác định hướng gió theo dải phong tiêu.
PHỤ LỤC C
QUAN TRẮC LƯỢNG BỐC HƠI
1. Quan trắc bốc hơi bằng ống Piche
- Hàng ngày quan trắc bốc hơi vào lúc 7 giờ và 19 giờ, lượng bốc hơi là lượng nước hao hụt trong ống piche, tính bằng hiệu số mức nước kỳ quan trắc trước trừ mực nước tại kỳ quan trắc sau;
- Đọc trị số bốc hơi ở vị trí ngang mặt lõm của mực nước trong ống Piche;
- Hàng ngày sau quan trắc 7 giờ phải đổ thêm nước và thay giấy thấm ống Piche. Sau khi đổ thêm nước, chờ cho nước thấm hết giấy rồi đọc trị số, ghi bên cạnh số đọc lúc 7 giờ để tính lượng bốc hơi lúc 19 giờ.
2. Quan trắc bốc hơi bằng chậu bốc hơi CLASS - A
2.1. Bộ dụng cụ đo nước bốc hơi CLASS - A
- Chậu bốc hơi CLASS - A;
- Một ống lặng sóng;
- Một gáo to đong nước bốc hơi, ứng với 1 mm; một gáo bé ứng với 0,1 mm;
- Một phương tiện đo gió tổng tốc độ;
- Một phao mang nhiệt kế gồm: nhiệt kế thường, nhiệt kế tối cao, nhiệt kế tối thấp;
- Thùng đo mưa.
2.2. Nội dung quan trắc bốc hơi
- Đo lượng bốc hơi biểu thị qua lượng nước hao hụt trong thùng quan trắc bốc hơi, tính bằng hiệu số mức nước kỳ quan trắc trước trừ mực nước tại kỳ quan trắc sau:
+ Đọc nhiệt độ mặt nước bao gồm: nhiệt độ tức thời, nhiệt độ tối cao, nhiệt độ tối thấp trong 12 giờ qua;
+ Đọc tổng tốc độ gió 12 giờ qua, tính giá trị tốc độ gió trung bình;
+ Đo lượng mưa, nếu có.
Bảng 3. Trình tự quan trắc bốc hơi
| Giờ | Phút | Công việc phải làm |
| 6, 18 | 30 | Chuẩn bị; |
| 6, 18 | 35 | Đọc nhiệt kế (nhiệt kế thường, tối cao, tối thấp, đưa con trỏ về mặt rượu, vẩy nhiệt kế tối cao); |
| 6, 18 | 37 - 40 | Đo lượng bốc hơi; |
| 6, 18 | 41 | Đọc phương tiện đo gió; |
| 6, 18 | 42 - 45 | Đo mưa. |
- Trong ngày khi kiểm tra lượng nước trong chậu xuống thấp hoặc cao hơn mức cho phép, phải đổ vào hoặc múc ra một lượng tương ứng phù hợp với mực nước cho phép;
- Trường hợp có mưa: mực nước trong chậu cao hơn mực chuẩn, dùng gáo múc ra 1 lượng nước bằng lượng mưa đo được ở thùng đo mưa, nếu lúc này mực nước trong chậu thấp hơn mực nước chuẩn thì đổ nước vào;
- Trường hợp có mưa lớn kéo dài, để tránh cho chậu bốc hơi bị tràn nước, nên múc bớt đổ đi một số gáo nước trong thùng mỗi khi cần thiết;
- Đến giờ quan trắc, trước khi đo lượng nước bốc hơi, tính lượng nước phải đổ đi ứng với lượng mưa hứng được tại thùng đo mưa;
- Trường hợp nếu trời sắp mưa có thể quan trắc trước 60 phút hoặc sau nhưng thời gian kết thúc quan trắc không quá 60 phút sau giờ tròn.
3. Quan trắc bốc hơi bằng thùng bốc hơi GGI - 3000
3.1. Bộ thùng đo bốc hơi GGI - 3000
- Một thùng bốc hơi;
- Một thùng đo mưa;
- Một bình đong và các ống đo.
Ống đo lượng bốc hơi bằng thủy tinh gồm một bộ 2 ống:
+ Ống bầu nhỏ để đo lượng nước ít, thể tích bầu tính đến vạch chia đầu tiên là 10 cm3, một vạch chia ứng với 0,1 mm;
+ Ống bầu lớn, thể tích bầu tính đến vạch chia đầu tiên là 30 cm3, mỗi vạch chia ứng với 0,1 mm.
Thùng đo mưa cũng bằng tôn, cao 50 cm, miệng thùng đặt phễu hình nón, tiết diện 3000 cm2.
Mưa chảy qua lỗ vào thùng chứa. Thùng chứa có dung tích 15 lít, tương ứng với lượng mưa 50 mm.
Ống đo lượng mưa, đồng thời là ống đo lượng nước đổ vào hoặc múc ra trong thùng bốc hơi, ống khắc vạch nhỏ, mỗi vạch ứng với 5 cm3.
3.2. Nội dung quan trắc bốc hơi
- Đọc nhiệt độ nước;
- Đo mực nước trong thùng bốc hơi;
- Đo lượng giáng thủy;
- Quan trắc gió ở độ cao 2 m;
- Tính lượng bốc hơi.
Bảng 4. Trình tự quan trắc bốc hơi GGI - 3000
| Giờ | Phút | Công việc phải làm |
| 6, 18 | 30 | Đặt nhiệt kế; |
| 6, 18 | 35 - 40 | Đọc nhiệt kế..... Đo lượng bốc hơi; |
| 6, 18 | 40 - 45 | Thay thùng chứa và đo mưa (nếu có). |
Phương pháp quan trắc
- Đọc và ghi trị số của nhiệt kế đặt trong thùng;
- Đo lượng bốc hơi:
+ Đặt bình đong bốc hơi lên đầu trục giữa thùng, xoay bình cho xuống hết cỡ, nới nút cho nước vào bình, chờ nước ngang bằng mực nước bên ngoài, vặn chặt nút, lấy bình đong khỏi trục, đổ nước vào ống đo, đọc trị số đúng đến 0,1 mm;
+ Đọc xong một lượt, đổ nước trong ống vào thùng, lại đặt bình đong vào đầu trục và làm như lần đầu thêm 2 lần nữa để có 3 số đọc ghi vào sổ quan trắc.
- Chú thích:
+ Phải giữ cho mực nước trong thùng có số đọc ở ống đo từ 15 mm đến 30 mm, lớn hơn 30 mm thì phải múc bớt nước ra, nhỏ hơn 15 mm phải đổ thêm nước vào thùng;
+ Sau khi đo xong phải lấy bình đo ra khỏi thùng;
- Nếu quan trắc bốc hơi vào lúc đang mưa, sai số sẽ rất lớn. Do vậy gặp mưa lúc quan trắc phải đo vào lúc tạnh hay ngớt hạt. Có thể làm sớm hay muộn hơn, nhưng không chậm hơn 60 phút;
- Khi có mưa lấy thùng đựng giáng thủy ra, thay thùng khác vào, mang thùng có nước vào phòng làm việc và đo mưa.
- Tính lượng mưa: khi mưa to, phải theo dõi để múc nước ra, nước múc ra được đem vào phòng làm việc đo ngay và ghi lại. Thùng đựng nước mưa chỉ chứa được 15 lít nước, ứng với một lượng mưa là 50 mm. Vì vậy khi có mưa lớn hơn 40 mm, phải chú ý thay thùng, không để nước tràn thùng.
- Tính lượng bốc hơi: lượng nước hao hụt trong thùng quan trắc bốc hơi, tính bằng hiệu số mức nước kỳ quan trắc trước trừ mực nước tại kỳ quan trắc sau (là trị số trung bình 3 lần đo).
PHỤ LỤC D
QUAN TRẮC NHIỆT ĐỘ, ĐỘ ẨM KHÔNG KHÍ
1. Trình tự đọc các nhiệt kế trong lều khí tượng
1.1. Trình tự đọc phương tiện đo trong lều khí tượng
- Nhiệt kế khô, ướt;
- Đỉnh cột rượu nhiệt kế tối thấp;
- Con trỏ;
- Nhiệt kế tối cao;
- Vẩy nhiệt kế tối cao, đặt lại vị trí cũ, đọc trị số sau khi vẩy;
- Đưa con trỏ về đầu cột rượu;
- Đọc lại nhiệt kế khô;
- Đọc ống Piche.
1.2. Yêu cầu kỹ thuật
- Đọc nhiệt kế tối thấp phải xác định đúng điểm thấp nhất trên mặt lõm cột rượu, con trỏ đọc về phía bên phải. Thang độ chia nửa độ, nên phải ước lượng chính xác tới 0,1 oC;
- Đọc nhiệt kế tối cao cần chú ý hiện tượng lều bị rung chuyển có thể làm cột thủy ngân trượt lên đầu ống. Trường hợp này, nhẹ tay nâng đầu nhiệt kế lên để cột thủy ngân trở về vị trí, tiến hành đọc chính xác tới 0,1 oC;
- Sau khi đọc trị số nhiệt kế tối cao, giá trị nhiệt độ tối cao không khí cao hơn giá trị nhiệt kế khô lớn hơn 0,5 oC phải vảy nhiệt kế tối cao, dùng tay phải nhấc nhiệt kế ra khỏi giá, nắm chặt nửa trên ngón tay trỏ đặt song song với cạnh của nhiệt kế, duỗi thẳng tay, nâng lên một góc 30o đến 40o rồi vẩy đủ mạnh, để thủy ngân chảy về bầu, cho đến lúc trị số sau khi vẩy trên nhiệt kế tối cao xấp xỉ trị số nhiệt kế khô;
- Nếu nhiệt kế khô hỏng chưa kịp thay thế, có thể lấy trị số nhiệt kế tối cao sau khi vẩy cùng kỳ quan trắc thay thế;
- Nếu nhiệt kế khô và nhiệt kế tối cao đều hỏng, có thể thay trị số nhiệt kế khô bằng trị số cột rượu của nhiệt kế tối thấp sau khi đã làm hiệu chính phụ;
- Khi nhiệt kế ướt hỏng, chưa có điều kiện thay ngay thì lấy số liệu ẩm độ tương đối từ ẩm ký đã hiệu chính, rồi với trị số nhiệt kế khô t, ẩm độ tương đối f, tìm trong bảng tính ẩm độ sẽ được các trị số áp suất hơi nước e, độ thiếu hụt bão hoà d và điểm sương Td tương ứng;
- Nếu nhiệt kế tối cao và tối thấp bị hỏng, thì thay giá trị nhiệt độ tối cao và tối thấp bằng trị số tối cao và tối thấp trên giản đồ nhiệt ký đã quy toán trong khoảng thời gian tương ứng.
1.3. Cách chọn giá trị cực trị hàng ngày
- Cách chọn trị số tối cao:
+ Quan trắc 4 lần/ngày, trị số nhiệt độ không khí tối cao chọn từ 6 trị số nhiệt kế khô lúc 19 giờ hôm trước 1 giờ, 7 giờ, 8 giờ, 13 giờ, 19 giờ và 4 trị số nhiệt độ tối cao lúc 1 giờ, 7 giờ, 13 giờ, 19 giờ;
+ Quan trắc 8 lần/ngày, trị số nhiệt độ không khí tối cao chọn từ 10 trị số nhiệt kế khô và 4 trị số nhiệt kế tối cao.
- Cách chọn trị số tối thấp:
+ Quan trắc 4 lần/ngày, trị số nhiệt độ không khí tối thấp chọn từ 6 trị số nhiệt kế khô lúc 19 giờ hôm trước 1 giờ, 7 giờ, 8 giờ, 13 giờ, 19 giờ và 4 trị số con trỏ của nhiệt kế tối thấp;
+ Quan trắc 8 lần/ngày, trị số nhiệt độ không khí tối thấp chọn từ 10 trị số nhiệt kế khô và 4 trị số con trỏ.
+ Trị số con trỏ cần làm hiệu chính phụ nhiệt kế tối thấp.
+ Cách tính hiệu chính phụ nhiệt kế tối thấp như sau: các kỳ quan trắc 7 giờ và 19 giờ, tính chênh lệch giữa trị số nhiệt kế khô và cột rượu lấy trị số nhiệt kế khô làm chuẩn. Cuối tháng cộng tổng đại số các chênh lệch trên và chia cho số kỳ quan trắc có số liệu, được số hiệu chính phụ nhiệt kế tối thấp.
+ Nếu số liệu sau hiệu chính lớn hơn số liệu đo được bằng nhiệt độ không khí khô ở kỳ quan trắc nào trong ngày thì nhiệt độ thấp nhất trong ngày được lấy nhiệt độ không khí khô ở kỳ quan trắc đó.
2. Cách tính các đặc trưng ẩm độ không khí
- Lấy nhiệt độ không khí khô trừ nhiệt độ ướt bằng số chênh giữa khô và ướt căn cứ vào số chênh này kiểm tra để xem có Ae hay không. Trường hợp không có khí áp kế, lấy trị số khí áp là 1000 hPa;
- Dùng trị số nhiệt kế khô, nhiệt độ ướt và khí áp mực trạm để tính ẩm độ không khí theo bảng tra ẩm độ, được các giá trị: ẩm độ tương đối, nhiệt độ điểm sương, áp suất hơi nước, độ thiếu hụt bão hoà. Trạm không có khí áp kế, lấy trị số khí áp là 1000 hPa.
3. Nhiệt ký
3.1. Cách thay giản đồ nhiệt ký
- Hàng ngày thay giản đồ nhiệt ký sau quan trắc 7 giờ. Giản đồ phải đúng quy cách chủng loại. Khi thay giản đồ phải ghi đầy đủ tên trạm, số của phương tiện đo, giờ, ngày, tháng, năm thay giản đồ. Giản đồ phải bám sát vào trụ đồng hồ, các đường hoành của cùng trị số phải thẳng hàng với nhau;
- Hàng ngày đánh mốc giản đồ vào các giờ: 8 giờ, 13 giờ, 19 giờ, 1 giờ, 7 giờ; quan trắc nhiệt kế khô lúc 8 giờ.
3.2. Quy toán giản đồ nhiệt ký tiến hành theo trình tự
- Hiệu chính từng giờ trên giản đồ;
- Đọc các trị số nhiệt độ từng giờ trên giản đồ chính xác tới 0,1 oC;
- Lấy các trị số nhiệt kế khô các giờ: 8 giờ, 13 giờ, 19 giờ, 1 giờ, 7 giờ, ghi dưới các trị số đọc trên giản đồ vào các giờ tương ứng. Sau đó làm hiệu chính cho trị số nhiệt độ từng giờ, tương tự như tính hiệu chính khí áp và tính được nhiệt độ không khí từng giờ;
- Chọn trị số nhiệt độ cao nhất và thấp nhất trên giản đồ, từ 0 giờ đến 24 giờ, các trị số này cũng được tính hiệu chính như các trị số nhiệt độ từng giờ.
4. Ẩm ký
4.1. Cách thay giản đồ:
Hàng ngày thay giản đồ ẩm ký sau quan trắc 7 giờ. Cách thay giản đồ, đánh mốc giản đồ, như phương pháp của nhiệt ký.
4.2. Cách quy toán giản đồ
- Quy toán giản đồ ẩm ký hiệu chính giờ như quy toán giản đồ nhiệt ký, đọc giá trị trên giản đồ chính xác tới 1%. Tính hiệu chính giản đồ ẩm ký căn cứ vào ẩm độ đo bằng ẩm kế (tra bảng), hiệu chính các trị số ẩm độ trên giản đồ ẩm ký thông qua BKT - 9 (bảng hiệu chỉnh ẩm ký).
- Lập BKT - 9: là bảng in sẵn trục tung biểu thị trị số độ ẩm tương đối lấy từ ẩm kế, trục hoành biểu thị trị số độ ẩm tương đối đọc trên giản đồ ẩm ký. Với một cặp trị số (ẩm độ tương đối từ ẩm kế và ẩm ký) trong một kỳ quan trắc (1 giờ, 7 giờ, 13 giờ, 19 giờ) chấm được một điểm trên BKT - 9. Trường hợp số liệu lặp lại nhiều lần, thì mỗi lần thêm một vạch nhỏ vào chấm đã ghi. Nếu phương tiện đo ẩm ký tốt tập hợp các chấm trên BKT - 9 là một đường nghiêng 45o. Vẽ đường trung bình đi qua điểm giữa của tập hợp các chấm sao cho số chấm ở trên và dưới đường trung bình là như nhau. Lưu ý các chấm được lặp lại nhiều lần chỉ được tính là một. Từ BKT - 9 các số đọc trên trục hoành kẻ các đường song song với trục tung gặp đường trung bình ở các điểm tương ứng, từ các điểm trên đường trung bình kẻ các đường song song với trục hoành gặp các điểm tương ứng trên trục tung. Các cặp trị số giữa trục hoành và trục tung thông qua đường trung bình là giá trị của số đọc trên giản đồ đã được hiệu chính thông qua BKT - 9.
5. Ẩm kế thông gió Assman
Ẩm kế thông gió rất thuận tiện trong công tác quan trắc lưu động, về nguyên tắc hoạt động giống ẩm kế trong lều, chỗ khác căn bản là tốc độ chuyển động của không khí giáp với bầu nhiệt kế gần như không đổi (1,8 m/s đến 2,0 m/s) trong khi ẩm kế trong lều bị phụ thuộc vào tốc độ gió trong lều.
Bộ phận chính của ẩm kế thông gió gồm 2 nhiệt kế đồng nhất đặt trong khung kim loại, quanh bầu nhiệt kế ướt có vải ẩm kế được thấm nước bao bọc, cánh quạt có thể quay khi đã lên giây cót bằng chìa khoá, ngoài bộ phận che gió, ống đếm giọt bơm nước cho vải ẩm kế, và móc treo.
Phương pháp quan trắc
- Khi quan trắc, ẩm kế được mang đặt tại nơi định đo ẩm độ, 15 phút trước lúc quan trắc. Dùng ống đếm giọt bơm nước thấm ướt vải ẩm kế, ngoài vải ẩm kế, không bơm nước ướt các bộ phận khác. Lên giây cót quạt gió cho cánh quạt quay, đồng thời xem hướng gió bên ngoài và đặt bộ phận che gió vào phía đón gió. Quạt quay được 3 phút, ta lần lượt đọc trị số, cũng như đọc ẩm kế trong lều, cần đọc nhanh các số lẻ phần mười độ của nhiệt kế khô và nhiệt kế ướt, sau đó đọc và ghi độ nguyên. Khi quan trắc phải đứng ở vị trí gió thổi theo hướng từ ẩm kế đến người, do ẩm kế phải hút không khí từ ngoài vào, nên nếu làm khác đi, kết quả quan trắc có thể sai lệch;
- Khi nhiệt độ nhỏ hơn hoặc bằng 0 oC cần chú ý kiểm tra ở vải ẩm kế là băng hay nước như với ẩm kế trong lều;
- Tra các trị số của ẩm độ thông qua chứng từ kiểm định phương tiện đo, được các giá trị độ ẩm tương đối, nhiệt độ điểm sương áp suất hơi nước, độ hụt bão hoà;
- Sau khi quan trắc, phải lau ẩm kế bằng khăn sạch và đặt vào trong hộp, không để gỉ, mờ, xây xát...
PHỤ LỤC E
QUAN TRẮC NHIỆT ĐỘ MẶT ĐẤT, NHIỆT ĐỘ CÁC LỚP ĐẤT SÂU VÀ TRẠNG THÁI MẶT ĐẤT
1. Quan trắc nhiệt độ mặt đất
Quan trắc nhiệt độ mặt đất đọc chính xác tới 0,1 oC. Khi quan trắc thực hiện theo trình tự sau:
- Đọc trị số nhiệt kế thường;
- Đọc trị số cột rượu, con trỏ của nhiệt kế tối thấp;
- Đọc trị số nhiệt độ tối cao, vẩy nhiệt kế tối cao (giá trị nhiệt độ tối cao đất cao hơn giá trị nhiệt kế thường lớn hơn 0,5 oC phải vảy nhiệt kế tối cao), ghi trị số sau khi vẩy.
- Đưa con trỏ về cột rượu.
2. Quan trắc nhiệt độ đất ở các lớp đất sâu
2.1. Quan trắc bằng nhiệt kế
Đọc các nhiệt kế các lớp đất theo thứ tự 5 cm, 10 cm, 15 cm, 20 cm.
2.2. Quan trắc bằng phương tiện đo hiện số
Trước giờ quan trắc bật thiết bị đo trước 1 phút để thiết bị ổn định, tiến hành quan trắc đọc giá trị lần lượt từ: 5 cm, 10 cm, 15 cm, 20 cm.
3. Quan trắc trạng thái mặt đất
Quan trắc trạng thái mặt đất được tiến hành thủ công bằng mắt tại vườn khí tượng, ở khu đất trần, kết hợp với khu có cỏ và vùng lân cận. Trạng thái mặt đất được đánh giá bằng mã số.
PHỤ LỤC F
QUAN TRẮC LƯỢNG MƯA
1. Quan trắc mưa bằng vũ lượng kế
- Hàng ngày đo giáng thủy vào lúc 1 giờ, 7 giờ, 13 giờ và 19 giờ.
- Tại các giờ quan trắc theo qui định, mang thùng dự trữ thay cho thùng đang dùng và đem vào phòng làm việc để đo. Trường hợp mưa to thì đo ngay sau khi mưa hoặc trong khi mưa, những ngày trời nắng, để tránh sự bốc hơi, đo ngay sau khi dừng mưa.
- Lượng mưa nhỏ hơn hoặc bằng 10 mm chỉ đo một lần, nếu lớn hơn 10 mm phải đo nhiều lần. Khi đo mở nắp vòi, nghiêng thùng đổ nước vào ống đo và dốc cho hết nước. Khi đọc, dùng ngón tay cái và ngón tay trỏ nâng ống đo lên, sao cho mực nước ở điểm thấp nhất của mặt lõm ngang tầm mắt, ống đo được giữ ở tư thế tự do, để mặt nước ngang bằng không sóng sánh;
- Trường hợp mưa lớn, phải đong nhiều ống mới hết, thì mỗi lần đo phải ghi vào giấy và đổ nước ra chậu riêng, đề phòng khi cần đo lại;
- Lượng mưa nhỏ hơn 1/2 độ chia, thì ghi là 0,0; lớn hơn 1/2 độ chia ghi 0,1; không mưa ghi -;
- Khi có sương mù, sương móc, sương muối nếu có lượng nước do các hiện tượng này gây ra cũng phải đo lượng nước và ghi ký hiệu hiện tượng bên cạnh lượng nước đó. Khi có mưa đá, phải nhanh chóng làm cho các hạt đá hoá lỏng để đo lượng nước;
- Phải xác định đường kính trung bình của các hạt mưa đá và đường kính hạt lớn nhất.
2. Quan trắc mưa bằng phương tiện đo tự ghi
2.1. Quan trắc bằng vũ lượng ký xyphon
- Vũ lượng ký xyphon gồm có bộ phận cảm ứng chính là bình chứa phao, ống xyphon, bên cạnh bình chứa phao là bộ phận tự ghi gồm đồng hồ và cần kim mang ngòi tự ghi. Diện tích mặt hứng nước là 500 cm2;
- Hàng ngày đánh mốc vũ lượng ký vào các giờ: 8 giờ, 13 giờ, 19 giờ, 1 giờ, 7 giờ. Khi quan trắc trời đang mưa, ngòi bút đã lên gần vị trí xyphon hoạt động, dùng bút chì gạch mốc tại vị trí ngòi bút đang ghi.
- Vũ lượng ký thay giản đồ sau quan trắc 7 giờ. Tiến hành:
+ Đo lượng nước từ thùng kiểm tra;
+ Đo lượng nước đổ thêm;
+ Lượng giáng thủy thực là hiệu số giữa lượng nước đo được từ thùng kiểm tra với lượng nước đổ thêm;
+ Lượng nước đọc được trên giản đồ;
+ Tổng số hiệu chính: sai số giữa lượng nước đọc được trên giản đồ với lượng nước thực.
- Nếu trong 24 giờ qua không có mưa hoặc có lượng nhỏ hơn 0,2 mm không thay giản đồ, đổ thêm nước cho kim lên trên vạch cũ 0,5 mm đến 1 mm. Ghi vào giản đồ số nước đổ thêm, quay trụ đồng hồ qua nẹp và cho phương tiện đo chạy, đường ghi của ngày nào ghi rõ của ngày đó. Không thay giản đồ 3 ngày liên tiếp không có mưa. Thay giản đồ sau quan trắc 7 giờ, vào các ngày 29 và ngày 30 (tháng có 30 ngày và 31 ngày) dù có hay không có mưa vẫn tiến hành thay giản đồ;
- Đến giờ thay giản đồ nhưng trời đang mưa trung bình hay mạnh thì thực hiện một trong hai cách sau:
+ Quay trụ đồng hồ cho kim vượt qua nẹp để phương tiện đo tiếp tục ghi, chờ ngớt mưa thì thay;
+ Đến 8 giờ dù trời đang mưa vẫn phải thay giản đồ như bình thường: tháo nước nhân tạo, ghi đầy đủ lượng nước đổ thêm, đo lượng nước trong thùng kiểm tra;
- Để có số liệu quy toán giản đồ, việc đo lại lượng nước trong thùng kiểm tra là bắt buộc, vì thế mỗi lần thay giản đồ đều phải cho xyphon hoạt động nhân tạo, ghi lượng nước đổ thêm, lượng nước đo được trong thùng kiểm tra vào sau mặt giản đồ;
- Những ngày có mưa lớn liên tục, phải chú ý đo lượng nước trong thùng kiểm tra để tránh tràn thùng mất số liệu;
- Không quy toán những giản đồ:
+ Giản đồ có đường ghi bậc thang;
+ Giản đồ có đường ghi kéo ngang, tháo nước xuống nửa chừng;
+ Giản đồ có đường ghi kéo ngang phía trên đường 10 mm;
+ Giản đồ có đường ghi dạng hình răng cưa;
+ Giản đồ có đoạn đi xuống mặc dù trời đang mưa.
- Những giản đồ này ghi rõ lý do không quy toán vào mặt sau, đóng chung vào tập trong tháng.
- Cách quy toán giản đồ vũ lượng ký:
+ Hiệu chính giờ như các phương tiện đo tự ghi khác;
+ Đọc, tính và ghi số đọc lượng mưa trong từng khoảng thời gian giữa 2 giờ tròn liên tiếp, đọc đúng đến 0,1 mm;
+ Tính hiệu chính sai số phương tiện đo;
+ Không phải làm hiệu chính khi trên giản đồ không có xyphon hoạt động tự nhiên;
+ Khi lượng nước trên giản đồ lớn hơn lượng nước ở thùng kiểm tra, số hiệu chính là 0,0;
+ Khi giản đồ có xyphon hoạt động tự nhiên, thì sai số AR cho mỗi lần xyphông hoạt động sẽ là:

+ Sai số ∆R được cộng vào số đọc lượng giáng thủy của giờ có số lần xyphon hoạt động tự nhiên. Khoảng giờ có n lần xyphon hoạt động tự nhiên thì cộng thêm n∆R vào số đọc lượng mưa đọc được trên giản đồ của giờ đó. Riêng giờ có khi xyphon hoạt động nhân tạo không cộng ∆R. Sai số ∆R là: khi xyphon hoạt động tự nhiên lượng mưa vẫn liên tục chảy vào bình phao.
+ Khi tính ∆R, chia đến phần mười mm mà phép chia vẫn chưa thực hiện hết, thì số dư còn lại phân phối cho các giờ có xyphon hoạt động theo quy tắc tỷ lệ thuận.
- Đọc và tính thời gian có mưa trong từng khoảng giờ. Khi tính thời gian có mưa từng giờ, phải kết hợp với thời gian có mưa ghi trong sổ quan trắc;
- Ghi lượng mưa đã hiệu chính ở tử số, thời gian có mưa ở mẫu số vào từng khoảng thời gian thích hợp;
- Chọn lượng mưa lớn nhất trong 60 phút, chọn khoảng thời gian có mưa lớn nhất đủ 60 phút, chọn lượng mưa lớn nhất trong 60 phút có thể bắt đầu từ giờ này và kết thúc ở giờ sau nhưng thời gian kết thúc không sang ngày hôm sau, không kể đến khoảng thời gian đó mưa có liên tục hay không liên tục, làm hiệu chính;
- Chọn lượng mưa lớn nhất của đợt liên tục, chọn đợt liên tục có lượng lớn nhất. Đợt mưa cách khoảng lớn hơn 10 phút không chọn đợt liên tục, làm hiệu chính;
- Khi có 2 đợt liên tục (hoặc 60 phút) có lượng bằng nhau, nhưng thời gian mưa kéo dài, ngắn khác nhau, chọn đợt liên tục (hoặc 60 phút) có thời gian ngắn hơn. Lượng mưa lớn nhất trong 60 phút và đợt liên tục chọn từ 0 giờ đến 24 giờ hàng ngày;
- Trường hợp có mưa đá: do hạt mưa đá trong phương tiện đo mưa tan chậm, nên khi hết mưa đá, nước của hạt mưa đá tan ra, làm giản đồ đi lên. Cần ghi lượng mưa đọc trên giản đồ do mưa đá tan, vào thời gian có mưa đá.
2.2. Quan trắc mưa bằng vũ lượng ký chao lật SL 1
Phương tiện đo gồm có hai bộ phận chính: bộ cảm ứng đặt ở ngoài vườn quan trắc, bộ chỉ thị đặt trong phòng làm việc. Hai bộ phận được gắn với nhau bằng dây cáp.
Bộ cảm ứng gồm:
- Miệng hứng nước;
- Phễu hứng;
- Cụm chao lật, có 3 chao: chao lật phía trên, chao lật cảm ứng, chao lật đếm. Ngoài ra còn có bình hứng nước và ống đong lượng mưa;
Sử dụng vũ lượng ký SL 1 cần chú ý điều chỉnh chao lật cho chính xác, đảm bảo lượng mưa 0,1 mm chao lật làm việc.
Phương pháp quan trắc:
- Hàng ngày thay giản đồ vũ lượng ký sau quan trắc 7 giờ. Trước khi thay giản đồ, đưa kim lên điểm 10 để sau đó kim trở về điểm 0, đưa dãy số ở bộ đếm về điểm 0;
- Nếu cả ngày không có mưa, hoặc lượng mưa không đáng kể (nhỏ hơn hoặc bằng 0,2 mm), thì không phải thay giản đồ, chỉ ấn công tắc đưa kim lên 1 mm (10 lần ấn) rồi quay kim qua nẹp, cho phương tiện đo chạy tiếp. Nếu 3 ngày liền không có mưa tiến hành thay giản đồ;
- Đến giờ thay giản đồ, nhưng đang có mưa lớn cho phương tiện đo chạy tiếp đến 8 giờ, nếu 8 giờ vẫn còn mưa lớn quay trụ đồng hồ cho kim vượt qua nẹp để phương tiện đo hoạt động tiếp, khi mưa nhỏ thì thay giản đồ.
- Cách ghi trên giản đồ:
+ Mặt trước giản đồ ghi: tên trạm, số phương tiện đo, ngày, tháng, năm, giờ phút thay giản đồ.
- Mặt sau ghi:
* Lượng mưa đọc từ bộ đếm;
* Lượng mưa đo được ở vũ lượng kế;
* Lượng mưa đọc trên giản đồ;
* Sai số giữa lượng mưa ở vũ kế và số đọc trên giản đồ;
* Số hiệu chính cho từng mm nước trên giản đồ.
- Đánh mốc giản đồ vũ lượng ký vào các giờ 1 giờ, 7 giờ, 13 giờ, 19 giờ và 8 giờ hàng ngày.
- Sau khi đánh mốc, đọc trị số lượng mưa trên phần hiện số và ghi kết quả vào sổ quan trắc;
- Quy toán giản đồ:
+ Làm hiệu chính giờ;
+ Đọc lượng mưa từng giờ;
+ Tính số hiệu chính cho từng mm nước trên giản đồ theo biểu thức:

+ Số hiệu chính cho lượng mưa từng giờ bằng số hiệu chính cho 1 mm nhân lượng mưa từng giờ đọc trên giản đồ;
+ Trường hợp lượng mưa đọc trên giản đồ lớn hơn lượng nước ở vũ lượng kế (∆R < 0), đọc lượng mưa trên giản đồ, không làm hiệu chính;
+ Lấy số đọc lượng mưa từng giờ cộng với số hiệu chính cho lượng mưa từng giờ, được lượng mưa thực tế từng giờ. Ghi lượng mưa ô tử số, thời gian mưa ở mẫu số vào giờ tương ứng;
+ Lượng mưa lớn nhất trong 60 phút, trong một đợt mưa liên tục trong ngày, số hiệu chính lượng mưa lớn nhất cách tính như lượng mưa từng giờ;
+ Các số liệu quy toán được ghi vào mặt trước của giản đồ.
PHỤ LỤC G
QUAN TRẮC THỜI GIAN NẮNG
1. Quan trắc nắng bằng nhật quang ký Campbell Stokes
Thời gian nắng là đường ghi bắt đầu từ lúc cường độ mặt trời đạt tới lớn hơn hoặc bằng 0,1 KW/m2 (lớn hơn hoặc bằng 0,2 calo/cm2phút)
1.1. Phương pháp thay giản đồ
- Khi lắp giản đồ, vạch 12 giờ của giản đồ phải trùng với vạch trắng mục tiêu ở giữa giá đỡ giản đồ;
Bảng 5. Các loại giản đồ sử dụng theo thời gian trong năm
| Giản đồ Ao - 001 (Rãnh giữa) | Giản đồ Ao - 002 (Rãnh trên) | Giản đồ Ao - 003 (Rãnh dưới) |
| Từ ngày 01 tháng 3 đến ngày 11 tháng 4 Từ ngày 3 tháng 9 đến ngày 14 tháng 10 | Từ ngày 15 tháng 10 đến hết tháng 2 | Từ ngày 12 tháng 4 đến ngày 2 tháng 9 |
1.2. Phương pháp quy toán giản đồ
Quy toán giản đồ nắng chính xác tới 1/10 giờ.
Cả giờ có nắng ghi 1,0; kéo dài 1/10 ghi 0,1; kéo dài 5/10 ghi 0,5....
Vết nắng gồm vết cháy đen, vết vàng và cả những vết đổi màu do nắng tạo nên. Nếu cả ngày chỉ có một chấm, dù chấm rất nhỏ vẫn tính 0,1 giờ. Nếu trong một khoảng giờ có từ hai chấm trở lên, phải tính gộp lại để xác định thời gian có nắng. Những chấm nhỏ (nhỏ hơn 0,5 của 0,1 giờ) nằm rải rác trong một số khoảng giờ tổng lượng vẫn chỉ nhỏ hơn hoặc bằng 0,1 giờ, thì tính là 0,1 giờ và ghi 0,1 vào trong các khoảng giờ đó.
2. Quan trắc nắng bằng nhật quang ký Universal
2.1. Cách thay giản đồ
- Giản đồ nhật quang ký có 2 loại: loại thẳng và loại cong;
+ Từ ngày 16 tháng 10 đến hết tháng 2 dùng giản đồ loại cong đặt ở khe trên của máng;
+ Từ ngày 01 tháng 3 đến ngày 15 tháng 4 và từ ngày 01 tháng 9 đến ngày 15 tháng 10 dùng giản đồ loại thẳng đặt ở khe giữa;
+ Từ ngày 16 tháng 4 đến ngày 31 tháng 8 dùng giản đồ cong và đặt ở khe dưới.
- Trước khi thay giản đồ, cần ghi tên trạm, giờ, ngày tháng năm ở phía sau giản đồ. Giản đồ buổi sáng ghi chữ A, buổi chiều ghi chữ B. Buổi sáng lắp giản đồ lúc 5 giờ 30 phút, buổi trưa lúc 12 giờ, giờ địa phương. Buổi tối sau khi mặt trời lặn, tháo giản đồ, quay úp máng và cắm chốt ở phía dưới. Việc thay giản đồ cần được thực hiện nhanh chóng, nếu lúc thay đang nắng phải che phương tiện đo, để không có vết cháy ghi trên giản đồ mới. Lỗ cắm kim (chốt) giản đồ buổi sáng trùng với đường kẻ 10 giờ ở giản đồ A, giản đồ B đồ buổi chiều trùng với đường kẻ 18 giờ.
2.2. Quy toán giản đồ
Thực hiện như mục 1.2. Phương pháp quy toán giản đồ.
PHỤ LỤC H
QUAN TRẮC TẦM NHÌN NGANG
1. Quan trắc theo sơ đồ tiêu điểm tầm nhìn ngang
1.1. Thiết lập tiêu điểm tầm nhìn ngang ban ngày
Để xác định tầm nhìn ngang đủ chính xác, tin cậy, mỗi trạm phải có ít nhất 9 tiêu điểm ứng với tiêu chuẩn xác định tầm nhìn ngang: 50 m, 200 m, 500 m, 1000 m, 2000 m, 4000 m, 10000 m, 20000 m và 50000 m. Ngoài các tiêu điểm chính nói trên, cần chọn thêm các tiêu điểm phụ, trong và ngoài phạm vi các khoảng cách quy định.
Bảng 6. Xác định khoảng cách quy định cho các tiêu điểm
| Tầm nhìn xác định (m) | 50 | 200 | 500 | 1000 | 2000 | 4000 | 10000 | 20000 | 50000 | |
| Tiêu điểm cách trạm | Từ | 40 | 160 | 400 | 800 | 1600 | 3200 | 8000 | 16000 | 40000 |
| Đến | 60 | 240 | 600 | 1200 | 2400 | 4800 | 12000 | 24000 | 60000 | |
Có thể chọn tiêu điểm ở bất cứ hướng nào, nhưng không nên chọn các tiêu điểm cạnh đường nhiều bụi, gần nhà máy nhiều khói, trên mặt đồng lầy hay có sương mù.
Một tiêu điểm tốt phải có các điều kiện sau:
- Màu sẫm, không thay đổi theo mùa hay rất ít thay đổi. Trường hợp bất đắc dĩ mới dùng các tiêu điểm màu trắng hay các màu nhạt khác;
- Tiêu điểm phải in trên nền trời. Có thể chọn tiêu điểm in trên bối cảnh khác (núi, rừng cây...) nhưng chỉ khi tiêu điểm có bờ ngoài rõ rệt và bối cảnh nằm ở khá xa tiêu điểm.
Trường hợp bối cảnh sáng hơn tiêu điểm thì khoảng cách từ tiêu điểm đến bối cảnh phải ít nhất là 1,5 lần khoảng cách từ nơi quan trắc tới tiêu điểm. Nếu bối cảnh sẫm hơn thì khoảng cách ít nhất phải 2 lần.
- Kích thước góc của tiêu điểm không nhỏ hơn 0,5o, được xác định theo công thức:

K: Kích thước góc
C: Góc cao
n: Góc ngang
Ví dụ: C = 2o, n = 12'

Góc nhìn cao của tiêu điểm không được lớn hơn 5o đến 6o trên mặt phẳng chân trời. Riêng trường hợp trạm miền núi, không thể có các tiêu điểm thấp có thể chọn các tiêu điểm có góc cao tới 11o.
Việc chọn tiêu điểm phải làm ngay từ khi khảo sát địa điểm đặt trạm vào ngày trời tốt, khí quyển ít bụi. Sau khi chọn phải đo khoảng cách thực tới tiêu điểm và đo kích thước góc. Khoảng cách của các tiêu điểm gần dưới 500 m có thể đo bằng thước dây hoặc máy đánh thăng bằng, với các tiêu điểm xa thì xác định trên bản đồ tỷ lệ 1/100.000 hay lớn hơn.
Quan trắc tầm nhìn ngang ước lượng theo cấp tại bảng 7
Bảng 7. Cấp tầm nhìn ngang
| Cấp tầm nhìn ngang | Khoảng cách cấp tầm nhìn ngang (m) |
| 0 | Từ 0 đến nhỏ hơn 50 |
| 1 | Từ 50 đến < 200 |
| 2 | Từ 200 đến < 500 |
| 3 | Từ 500 đến < 1000 |
| 4 | Từ 1000 đến < 2000 |
| 5 | Từ 2000 đến < 4000 |
| 6 | Từ 4000 đến < 10000 |
| 7 | Từ 10000 đến < 20000 |
| 8 | Từ 20000 đến < 50000 |
| 9 | Từ 50000 trở lên |
1.2. Vẽ sơ đồ tiêu điểm tầm nhìn ngang
Sau khi chọn xong tiêu điểm, lập bảng danh sách tiêu điểm ghi theo thứ tự từ gần đến xa cho từng hướng, từ Bắc qua Đông, sang Nam, đến Tây rồi vẽ sơ đồ. Sơ đồ tiêu điểm vẽ thành 2 bản, một bản cho các tiêu điểm có khoảng cách từ 50 m đến 1000 m, một bản cho các tiêu điểm có khoảng cách từ 2000 m đến 50000 m.
2. Phương pháp quan trắc tầm nhìn ngang theo tiêu điểm lúc trời sáng
- Quan trắc tầm nhìn ngang được thực hiện tại một nơi cố định, ở đó mắt quan trắc vườn xấp xỉ độ cao chuẩn trên mặt đất (khoảng 1,50 m), không làm quan trắc trên gác hay trên nóc nhà.
- Khi quan trắc lần lượt nhìn cả 9 tiêu điểm, bắt đầu từ tiêu điểm gần nhất tới tiêu điểm xa nhất, xác định xem tiêu điểm nào thấy được và tiêu điểm nào không thấy được. Những tiêu điểm nào dù chỉ hiện lờ mờ trên bối cảnh cũng coi như là trông thấy. Những tiêu điểm hoàn toàn lẫn vào bối cảnh không thể nhận ra bằng mắt thường mới coi là không trông thấy. Các cấp tầm nhìn được xác định ứng với khoảng cách giữa 2 tiêu điểm liên tiếp nhau.
- Nếu thiếu tiêu điểm gần, thì căn cứ vào tiêu điểm xa nhất có thể thấy được để ước định tầm nhìn.
Thí dụ: không có tiêu điểm 2000 m. Lúc quan trắc thấy tiêu điểm 1000 m, không thấy được tiêu điểm 4000 m thì tầm nhìn ước định theo cách sau:
+ “Thấy rõ” tiêu điểm 1000 m, có thể coi như trông thấy 2000 m, ước định tầm nhìn cấp 5.
+ “Thấy mờ mờ” tiêu điểm 1000 m, ước định tầm nhìn cấp 4.
- Trạm thiếu tiêu điểm xa thì dùng phương pháp nhân.
Thí dụ: có các tiêu điểm 50 m, 200 m, 500m, 1000 m, 2000 m, 4000 m và 5000m, thiếu các tiêu điểm 10000 m, 20000 m, thì ước định tầm nhìn theo cách sau:
+ “Thấy rất rõ” các tiêu điểm 50 m, 200 m, 500m, 1000m, 2000 m và 4000 m, không thấy tiêu điểm 50000 m. Ước định tầm nhìn: 4000 x 10 = 40000 m.
+ “Thấy rõ” tiêu điểm 4000 m, không thấy tiêu điểm 50000 m, ước định tầm nhìn: 4000 m x 4 = 16000 m.
+ Tại miền núi, tiêu điểm xa thường ở vị trí quá cao, không đạt tiêu chuẩn góc cao của tiêu điểm, nên khi quan trắc phải kết hợp với biện pháp ước định tầm nhìn theo cách nhân.
3. Phương pháp quan trắc tầm nhìn ngang lúc trời tối
Quan trắc tầm nhìn lúc trời tối, phải làm quen với bóng tối trước khi quan trắc từ 10 phút đến 15 phút. Phải đứng ở vị trí thông thoáng quy định.
3.1. Trường hợp có các tiêu điểm sáng
Để quan trắc tầm nhìn ban đêm bằng mắt thường, tốt nhất có một hệ thống tiêu điểm sáng bằng đèn màu trắng ở những vị trí quy định. Quan trắc tầm nhìn ban đêm bằng các tiêu điểm sáng giống như quan trắc tầm nhìn ban ngày.
3.2. Trường hợp không có các tiêu điểm sáng
- Chú ý tham khảo tình hình tầm nhìn ban ngày, đặc biệt tầm nhìn vào giờ trước khi mặt trời lặn.
+ Nếu ban đêm không xuất hiện hiện tượng khí tượng nào mang đặc tính làm giảm tầm nhìn, có thể ước định tầm nhìn ban đêm là tầm nhìn lúc chiều.
+ Nếu xuất hiện hiện tượng làm giảm tầm nhìn thì căn cứ vào cường độ của hiện tượng để ước định tầm nhìn theo bảng quy định cường độ hiện tượng phần quan hệ với tầm nhìn.
- Đêm có trăng, sao, chớp... thì lợi dụng ánh sáng thiên nhiên để nhìn các tiêu điểm ban ngày mà xác định tầm nhìn.
PHỤ LỤC I
QUAN TRẮC MÂY
1. Xác định loại, dạng, tính, dạng phụ và mây phụ của mây
Mây được xác định theo cách phân loại mây quốc tế. Khi xác định loại, dạng, tính, dạng phụ và mây phụ, quan trắc viên cần theo đúng những hướng dẫn trong Atlas mây quốc tế.
1.1. Xác định mây
Bắt đầu từ loại mây có nhiều nhất, rồi đến những mây ít hơn.
1.2. Xác định mây ban đêm
Kết hợp sự theo dõi mây hiện tại với tình hình mây lúc hoàng hôn, kết hợp với những tính chất của các hiện tượng khí tượng (mưa, dông, chớp, quầng, tán...)
Xác định lượng mây bằng cách nhìn sao, để ước lượng phần bầu trời không thấy sao. Cách này không áp dụng cho các loại mây mỏng như Ci, Cs... vì qua những mây này vẫn quan sát thấy sao.
Trước khi quan sát mây phải đứng trong bóng tối khoảng 10 - 15 phút để mắt quen nhìn trong tối. Trong điều kiện không thể xác định được đủ chính xác loại, thì ghi dấu (?), không ghi suy diễn.
1.3. Trạm trên núi
Khi quan trắc có mây ở thấp hơn mực trạm, không tính lượng mây dưới mực trạm, chỉ xác định lượng mây từ mặt trạm trở lên và phải xác định cả loại, dạng, tính mây đó.
2. Quan trắc độ cao chân mây
2.1. Độ cao chân mây: là khoảng cách từ mặt dưới các lớp mây tới mặt đất nơi quan trắc.
Độ cao chân mây không đồng nhất, nên nói độ cao chân mây của một mây nào đó, là nói đến độ cao của những đám mây thấp nhất trong lớp đó.
Độ cao chân mây được xác định bằng nhiều cách:
Dùng mắt nhìn, dùng cầu bay hay đèn chiếu (khi trời tối) hay dùng máy bay đi vào các đám mây rồi xác định độ cao bằng cao kế, phương tiện đo chiều cao chân mây.
2.2. Xác định độ cao chân mây bằng quan trắc thủ công: phương pháp này thông dụng nhất, nhưng cũng kém chính xác nhất, đòi hỏi người quan trắc phải nhiều kinh nghiệm.
Trường hợp mây thấp, có thể căn cứ trên những tiêu điểm cao, đỉnh núi, nóc nhà, cột cờ... để xác định độ cao chân mây.
Trường hợp mây cao thì căn cứ trên dạng mây, màu sắc của mây, tốc độ di chuyển của mây mà ước đoán theo kinh nghiệm.
2.3. Độ cao chân mây trung bình:
Độ cao chân mây thay đổi theo vĩ độ, theo mùa và địa hình.
Bảng 8. Độ cao thông thường của các loại mây ở miền nhiệt đới
| Tên mây | Độ cao trung bình (m) | Độ dầy của mây (m) |
| Ci | 6000 - 12000 |
|
| Cc | 6000 - 8000 |
|
| Cs | 6000 - 8000 |
|
| Ac | 2500 - 6000 |
|
| As | 2500 - 6000 |
|
| Ns | 2000 - 5000 |
|
| Sc | < 2500 | 500 - 1000 |
| St | < 2000 | Hàng chục đến hàng trăm mét |
| Cu | < 2000 | < 5000 |
| Cb | < 2000 | - 15000 |
3. Phân hạng mây
3.1. Phân hạng mây theo quy ước quốc tế:
Việc quan trắc mây phải tuân thủ định nghĩa, nội dung mô tả và phải đối chiếu với ảnh mây trong Atlas mây do WMO xuất bản.
Theo quy ước quốc tế, mây được phân thành loại, dạng, tính, dạng phụ, mây phụ và mây mẹ. Căn cứ theo độ cao, hình dáng bên ngoài và kiến trúc nội bộ của mây, chia mây thành 3 họ mây: mây trên, mây giữa, mây dưới. Mỗi họ mây có nhiều loại mây khác nhau như trong bảng 9 dưới đây:
Bảng 9. Bảng phân loại mây
| Họ mây | Loại mây | Tên tiếng việt | Ký hiệu quốc tế |
|
| Cirrus | Ti | Ci |
| Mây trên | Cirrocumulus | Ti tích | Cc |
|
| Cirrostratus | Ti tầng | Cs |
|
| Altocumulus | Trung tích | Ac |
| Mây giữa | Altostratus | Trung tầng | As |
|
| Nimbostratus | Vũ tầng | Ns |
|
| Stratocumulus | Tầng tích | Sc |
| Mây dưới | Stratus | Tầng | St |
|
| Cumulus | Tích | Cu |
|
| Cumulonimbus | Vũ tính | Cb |
- Mây ti (Cirrus):
Mây riêng biệt, hình sợi trắng mịn, hoặc đám hay dải trắng. Những mây ấy có dạng sợi (giống như tóc), hoặc ánh mịn như tơ, hoặc cả hai.
- Mây ti tích (Cirrocumulus):
Đám, màn, hoặc lớp mây mỏng trắng, không có bóng, gồm những phân tử rất nhỏ hình dạng như những hạt, nếp nhăn. Kết hợp với nhau hay riêng biệt và sắp xếp đều đặn nhiều hay ít, đa số các phân tử có bề rộng biểu kiến nhỏ hơn 1o.
- Mây ti tầng (Cirrostratus):
Màn mây trong và trắng nhạt, dạng tơ sợi (giống như tóc) hoặc nhẵn lì, che cả bầu trời hay một phần và thường sinh ra hiện tượng quầng.
- Mây trung tích (Altocumulus):
Đám, màn hoặc lớp mây trắng, hoặc xám, hoặc vừa trắng vừa xám, thường có bóng, gồm những phiến mỏng, khối tròn, cuộn... đôi khi có bộ phận dáng sợi hoặc mờ, kết hợp lại hay không, đa số những phần tử nhỏ sắp xếp đều đặn, thường có bề ngang biểu kiến khoảng từ 1ođến 5o. Mây Ac thường cho tán mặt trời hay tán mặt trăng.
- Mây trung tầng (Altostratus):
Màn hoặc lớp mây màu xám hoặc xanh nhạt, dáng vết khía, tơ sợi, hoặc đồng nhất, che toàn thể hoặc một phần bầu trời, có đôi chỗ khá mỏng để nhìn thấy mặt trời mờ mờ, như qua một tấm kính mờ. Mây as không cho hiện tượng quầng, nhiều khi cho mưa.
- Mây vũ tầng (Nimbostratus):
Lớp mây xám, thường tối, dạng hoá mờ vì mưa hay tuyết, sự rơi ít nhiều liên tục, đa số trường hợp là tới mặt đất. Mây đủ dầy để che khuất hoàn toàn mặt trời, ở dưới lớp mây Ns thường có những mây thấp tơi tả liên kết hay không với nó.
- Mây tầng tích (Stratocumulus):
Đám, màn hoặc lớp mây màu xám hoặc trắng nhạt, hoặc đồng thời xám và trắng nhạt, gần như bao giờ cũng có bộ phận tối, gồm những khối tròn, gạch lát, đá cuội, cuộn... không có dạng tơ sợi (trừ virga), kết hợp lại hay không. Đa số những phân tử nhỏ sắp xếp đều đặn, có bề rộng biểu kiến lớn hơn 5o. Mây Sc cho mưa với cường độ nhỏ.
- Mây tầng (Stratus):
Lớp mây thường màu xám, chân mây khá đồng nhất, thường cho mưa phùn, có thể cho mưa phùn tinh thể đá, hoặc tuyết hạt. Khi mặt trời thấy được qua mây, vành mặt trời phân biệt được rõ ràng. St không cho hiện tượng quầng, trừ khi nhiệt độ rất thấp. Đôi khi St thể hiện dưới dạng những đám mây tơi tả.
- Mây tích (Cumulus):
Mây riêng biệt, thường đặc và bờ ngoài rõ ràng, phát triển theo chiều thẳng đứng thành hình đồi, vòm tròn hoặc tháp mà phần trên phình lên thường tựa cải hoa. Phần mây được mặt trời chiếu luôn trắng xoá, chân mây tương đối đen và khá bằng. Đôi khi Cu có dạng tơi tả. Nếu cho mưa, mây cho mưa rào. Khi đám mây chưa xác định rõ giữa Cu và Cb, nếu có chớp hoặc dông thì xác định là Cb.
- Mây vũ tích (Cumulonimbus):
Mây lớn và đặc, phát triển theo chiều thẳng đứng dữ dội, thành hình núi hoặc tháp đồ sộ. ít nhất một phần ở bộ phận trên thường nhẵn lì, dạng tơ sợi hay vết khía và dẹt. Phần này toả thành hình đe, hoặc bó lúa. Dưới chân mây này rất tối, thường có mây thấp rách xác xơ, kết hợp với mây Cb hay không, giáng thủy đôi khi không tới đất. Mây Cb thường cho dông, chớp, nhiều khi kèm mưa rào.
3.2. Dạng, tính, dạng phụ, mây phụ và mây mẹ
Mỗi loại mây có những dạng, tính, dạng phụ, mây phụ và mây mẹ khác nhau (xem các bảng 10 đến bảng 14).
Bảng 10. Bảng dạng mây
| Dạng | Ký hiệu | Tên tiếng Việt |
| Fibratus | Fib | Tơ sợi |
| Uncinus | Unc | Hình móc câu |
| Spissatus | Spi | Tơ sợi dầy |
| Castellanus | Cas | Mây thành |
| Flocus | Flo | Hình kén hoặc túm |
| Stratiformis | Str | Mây thành màn lớp |
| Nebulosus | Neb | Dạng sương mù |
| Lenticularis | Len | Dạng thấu kính, hình con cá, hạt hạnh nhân |
| Fratus | Fra | Mảnh xơ xác |
| Humilis | Hum | Dạng dẹt (đạm) |
| Mediocris | Med | Dạng trung gian |
| Congestus | Con | Dạng dầy đặc |
| Calvus | Cal | Dạng hói |
| Capillatus | Cap | Dạng có tóc |
Mỗi loại mây chỉ có thể có một dạng mây, nhưng một dạng mây lại có thể chung cho nhiều loại mây.
Mỗi mây còn có những đặc điểm về độ trong suốt, cách sắp xếp các phần tử ... gọi là tính.
Bảng 11. Bảng tính mây
| Tính | Ký hiệu | Tên tiếng Việt |
| intortus | in | rối loạn |
| vertebratus | ve | hình xương sống |
| undulatus | un | làn sóng |
| radiatus | ra | rẻ quạt |
| lacunosus | la | tổ ong |
| duplicatus | du | chồng chất |
| translucidus | tr | thấu quang |
| perlucidus | pe | có khoảng trống |
| opacus | op | tế quang |
Ngoài dạng và tính mây, còn có dạng phụ và mây phụ.
Bảng 12. Bảng dạng phụ
| Dạng phụ | Ký hiệu | Tên tiếng Việt |
| incus | inc | hình đe |
| mamma | mam | hình vú |
| virga | vir | giáng thủy không tới đất |
| praecipitatio | pra | giáng thủy tới mặt đất |
| arcus | arc | hình vòng cung |
| tuba | tub | cột mây |
Bảng 13. Bảng mây phụ
| Mây phụ | Ký hiệu | Tên tiếng Việt |
| Pileus | pil | hình mũ nồi hay khăn quàng |
| Velum | vel | màn mây hẹp xuyên qua mây khác |
| Pannus | pan | hình xác xơ |
Bảng 14. Bảng loại mây và dạng, tính, dạng phụ, mây phụ, mây mẹ
| Loại | Dạng | Tính | Dạng phụ mây phụ | Mây mẹ | |
| Genitus | Mutatus | ||||
| Cirrus | fibratus uncinus spissatus castellanus flocus | intortus radiatus vertebratus duplicatus | mamma | cirrocumulus altocumulus cumulonimbus | cirrostratus |
| Cirrocumulus | stratiformis lenticularis castellanus floccus | undulatus lacunosus | virga mamma |
| cirrus cirrostratus altocumulus |
| Cirrostratus | fibratus nebulosus | duplicatus undulatus |
| cirrocumulus cumulonimbus | cirrus cirrocumulus altostratus |
| Altocumulus | stratiformis lenticularis castellanus floccus | translucidus perlucidus opacus duplicatus undulatus radiatus lacunosus | virga mamma | cumulus scumulonimbus | cirrocumulus altostratus nimbostratus stratocumulus |
| Altostratus |
| translucidus opacus duplicatus undulatus radiatus | virga praecipitatio pannus mamma | altocumulus cumulonimbus | cirrostratus nimbostratus |
| Nimbostratus |
|
| praecipitatio virga pannus | cumulus cumulonimbus | altocunulus altostratus stratocumulus |
| Stratocumulus | stratiformis lenticularis castellanus | translucidus perlucidus opacus duplicatus undulatus radiatus lacunosus | praecipitatio virga mamma | altostratus nimbostratus cumulus cumulonimbus | altocumulus nimbostratus stratus |
| Stratus | nebulosus fratus | opacus translucidus undulatus | praecipitatio | nimbostratus cumulus cumulonimbus | stratocumulus |
| Cumulus | humilis mediocris congestus fratus | radiatus | pileus velum virga praecipitatio arcus pannus tuba | altocumulus stratocumulus | stratocumulus stratus |
| Cumulonimbus | calvus capillatus |
| praecipitatio virga pannus incus mamma pileus velum arcus tuba | altocumulus altostratus nimbostratus stratocumulus cumulus | cumulus |
4. Quan trắc mây
Quan trắc mây phải đứng ở nơi cố định, quang đãng có thể nhìn thấy cả bầu trời.
Phải theo dõi liên tục bầu trời, kết hợp với diễn biến của mây, kết hợp với hiện tượng thời tiết để xác định mây.
Quan trắc lượng mây tổng quan: ước lượng phần bầu trời bị mây che phủ, không phân biệt mây trên, mây giữa và mây dưới.
Lượng mây dưới: ước lượng phần bầu trời bị mây dưới (Sc, Cu, Cb, St) che phủ.
Lượng từng loại mây: phần bầu trời bị che phủ bởi loại mây đó.
Lượng mây thấp nhất + lượng mây cao hơn không tính phần của lượng mây thấp che khuất lớn hơn mây tổng quan (chồng mây).
Quan trắc lượng mây tổng quan, mây dưới: mây tổng quan là phần bầu trời bị các loại, dạng và tính mây che khuất. Mây dưới là phần bầu trời bị các loại, dạng, tính mây dưới che khuất.
Xác định lượng riêng của loại mây là phần bầu trời bị mây đó che khuất, khi xác định lượng của một loại mây thì coi các loại mây khác như không tồn tại.
Phải thường xuyên theo dõi để nắm vững quá trình biến đổi của mây đến kỳ quan trắc theo trình tự quan trắc.
Quan trắc mây về ban đêm: cần kết hợp sự theo dõi mây hiện tại với tình hình mây lúc hoàng hôn, kết hợp với những tính chất và cường độ của các hiện tượng khí tượng (mưa, dông, chớp, quầng, tán...) xác định lượng mây bằng cách nhìn sao. Không áp dụng cho các loai mây mỏng như Ci, Cs….vì qua mây này vẫn nhìn thấy sao. Trước khi quan trắc mây phải đứng trong bóng tối khoảng 10 phút đến 15 phút để mắt quen nhìn trong bóng tối. Trong điều kiện không thể xác định được thì ghi (?).
Miền núi khi quan trắc có mây thấp hơn mực trạm, thì không tính lượng mây dưới mực trạm, chỉ xác định lượng mây từ mặt trạm trở lên và phải xác định cả loại, dạng, tính mây đó.
PHỤ LỤC J
QUAN TRẮC HIỆN TƯỢNG KHÍ TƯỢNG
1. Nội dung quan sát nhằm xác định
- Loại hiện tượng;
- Thời gian bắt đầu và chấm dứt;
- Đặc điểm và cường độ của hiện tượng;
- Hướng xuất hiện của hiện tượng;
- Kích thước (đối với một số hiện tượng).
2. Mô tả hiện tượng khí tượng
Mỗi hiện tượng khí tượng được ký hiệu bởi một ký hiệu riêng, quy định trong bảng 15 và mô tả hiện tượng dưới đây:
Bảng 15. Bảng ký hiệu các hiện tượng khí tượng
Bảng 15. Bảng ký hiệu các hiện tượng khí tượng
| KÝ HIỆU | TÊN HIỆN TƯỢNG | KÝ HIỆU | TÊN HIỆN TƯỢNG |
|
| Mưa |
| Sương mù sát lớp mặt |
|
| Mưa rào |
| Mặt nước bốc hơi |
|
| Mưa phùn |
| Mù |
|
| Tuyết |
| Vòi rồng |
|
| Tuyết rào |
| Mù khô |
|
| Mưa lẫn tuyết |
| Kim nước đá |
|
| Tuyết hạt |
| Lốc bụi hay lốc cát |
|
| Mưa đá nhỏ |
| Khói |
|
| Mưa đá |
| Bụi cuốn hay cát cuốn |
|
| Sương móc |
| Quầng mặt trời |
|
| Sương muối |
| Quầng mặt trăng |
|
| Sương mù kết băng |
| Tán mặt trời |
|
| Mưa đông kết |
| Tán mặt trăng |
|
| Sương mù không thấy trời |
| Cầu vồng |
|
| Sương mù thấy trời |
| Dông |
|
| Hạt băng |
| Chớp |
|
| Sương mù băng |
| Gió lớn |
|
| Bão |
| Tố |
- Mưa: giáng thủy dưới dạng những hạt nước, đường kính > 0,5 mm, hoặc nhỏ hơn thường rất thưa.
Mưa thường rơi từ mây Ns, As, Sc.
- Mưa rào: giáng thủy do những hạt nước thường lớn hơn những hạt mưa thường. Đặc điểm của mưa rào là thời điểm bắt đầu và kết thúc đột ngột thời gian mưa của mỗi đợt không dài, cường độ biến đổi nhanh rõ rệt. Vì thế xác định mưa rào phải căn cứ vào tính chất giáng thủy, không căn cứ vào lượng nước mưa.
Mưa rào do mây Cu, Cb gây ra.
- Mưa phùn: giáng thủy từ mây St, hạt nước nhỏ, đường kính nhỏ hơn 0,5 mm, rất dầy, rơi chậm, tựa như lơ lửng trong không khí.
Hạt mưa phùn rơi xuống mặt nước không gây ra vòng sóng, rơi trên gỗ khô không gây vết ướt, chỉ làm gỗ ẩm dần. Còn hạt mưa khi rơi xuống mặt nước gây ra vòng sóng, rơi trên gỗ khô gây ra vết ướt.
- Tuyết: giáng thủy dưới dạng những tinh thể đá, phần lớn hình lục lăng và có cánh hình sao, đôi khi bằng tinh thể đá không có nhánh.
Tuyết sinh ra từ mây As, Ns, Sc, Cb.
- Tuyết bông: giáng thủy dưới dạng những hạt nước đá trắng và đục kiến trúc giống như tuyết. Những hạt tuyết bông tròn, đôi khi hình chóp, đường kính từ 2 mm đến 5 mm.
Tuyết bông sinh ra từ mây Sc, Cb.
- Tuyết hạt: giáng thủy dưới những hạt nước đá trắng và đục. Kiến trúc giống như tuyết. Tuyết hạt khác tuyết bông là kích thước nhỏ hơn, đường kính < 1 mm, hình dẹp và dài hơn. Tuyết hạt sinh ra từ mây St hoặc từ sương mù.
- Mưa đá phùn: giáng thủy dưới dạng những hạt nước đã đông lại, hơi trong, hình tròn, ít khi hình chóp, đường kính từ 2 mm đến 5 mm. Thông thường những hạt đó có một hạt nhân là tuyết bông bọc ngoài một vỏ đá rất mỏng. Những hạt đó rơi trên mặt đất rắn, không bị vỡ.
Mưa đá phùn sinh ra từ mây: As, Ns, Cb.
- Mưa lẫn tuyết: giáng thủy dưới dạng những hạt nước lẫn với tinh thể băng thường quan sát được khi nhiệt độ gần 0 oC.
Mưa đá: giáng thủy dưới dạng các hạt nước đá lớn hay nhỏ, giữa là nhân màu trắng đục, chung quanh là nhiều lớp trong suốt hay trắng mờ. Kích thước hạt mưa đá từ 5 mm đến hàng cm. Mưa đá sinh ra từ màn mây Cb.
- Sương mù: hiện tượng khí tượng do những hạt nước rất nhỏ lơ lửng trong không khí và làm giảm tầm nhìn ngang xuống dưới 1000 m.
Thông thường sương mù màu trắng, nhưng ở vùng công nghiệp có thể có màu vàng đục hay xám.
Có hai loại sương mù: sương mù không thấy trời và sương mù thấy trời
- Sương mù băng: sương mù băng hình thành bởi trong không khí có nhiều tinh thể băng làm giảm tầm nhìn xuống dưới 1000 m.
Sương mù băng chỉ quan sát được khi nhiệt độ thấp, độ ẩm cao. Khi sương mù băng che mặt trời quan sát được quang hiện tượng: cột sáng hay quầng 22o.
- Sương mù sát mặt đất: sương mù thành lớp mỏng màu trắng, bề dầy không quá 2 m, thường xuất hiện ở những nơi tương đối thấp hay trên mặt sông hồ.
Sương mù sát đất thường xảy ra sau những đêm bầu trời quang và thường tan sau lúc mặt trời mọc.
- Mù: hiện tượng khí tượng do những hạt nước rất nhỏ lơ lửng trong không khí thành một màn khá mỏng màu xam xám, bao phủ cảnh vật, làm giảm tầm nhìn xuống dưới 10000 m, nhưng vẫn còn trên 1000 m.
- Mặt nước bốc hơi: một loại mù mỏng thường thấy trên mặt sông, hồ về mùa đông trong trường hợp có sự chênh lệch rõ rệt giữa nhiệt độ không khí và nhiệt độ nước hồ hay sông.
Hiện tượng mặt nước bốc hơi, khi có gió mạnh, có thể bị cuốn lên cao và lan vào phía trong bờ.
- Sương móc: hạt nước hình thành trên bề mặt đồ vật, cây cỏ.... trên mặt đất mà nhiệt độ hạ thấp xuống khiến hơi nước trong không khí tiếp giáp các vật ngưng tụ lại.
Sương móc thường xuất hiện về đêm, đôi khi vào buổi chiều do mặt đất bị bức xạ trong điều kiện trời quang hay ít mây mỏng, ẩm độ tương đối cao, lặng gió hay gió nhẹ. Lượng nước do sương đôi khi > 0,5 mm.
- Sương muối: hạt nước đá đọng lại dưới dạng tinh thể hình vẩy, kim, lông hoặc hình quạt, trên những đồ vật, cây cỏ.... trên mặt đất về mùa đông.
Sương muối hình thành do sự kết băng của hơi nước trong không khí tiếp xúc với các vật có nhiệt độ < 0 oC. Điều kiện thời tiết thuận lợi để hình thành sương muối là: trời quang hay ít mây mỏng, nhiệt độ gần 0 oC, ẩm độ tương đối cao, lặng gió hay gió nhẹ. Sương muối thường xuất hiện ở nơi trũng, trên những lá cây, mái nhà ...
- Mưa kết băng: lớp băng hình thành trên mặt đất hay cây cỏ, đồ vật do những hạt mưa hay mưa phùn quá lạnh rơi xuống mặt đất hay các vật có nhiệt độ nhỏ hơn 0 oC. Mưa kết băng cũng có thể sinh ra bởi những hạt mưa hoặc mưa phùn không quá lạnh rơi trên những vật có nhiệt độ nhỏ hơn 0 oC và thành băng ngay.
- Vòi rồng: gió xoáy mạnh sinh ra từ chân mây Cb, cuốn mây xuống thành hình vòi voi khổng lồ.
Trục vòi rồng thẳng đứng hay nghiêng, đôi khi ngoằn ngoèo, đường kính khoảng vài chục mét tới hàng trăm mét.
Khi vòi rồng tới gần mặt đất hay mặt nước thì bụi cát hoặc nước, nhiều khi cả những vật nặng (nhà cửa, xe cộ, cây cối, vật nặng ...) bị cuốn lên khá cao. Vòi rồng có sức phá hoại khủng khiếp do tốc độ gió xoáy rất lớn trong vòi rồng.
- Mù khô: không khí vẩn đục do những phần tử khô lơ lửng mà mắt thường không phân biệt được, nhiều khi không khí có màu vàng mờ mờ.
Những tiêu điểm ở xa màu xẫm nhìn qua mù khô thì thể hiện màu xanh nhạt. Mặt trời ở thấp, nhìn qua mù khô, thì màu vàng và đỏ.
Trong mù khô, ẩm độ tương đối thấp (nhỏ hơn 50 %), tầm nhìn thường dưới 10000 m; đôi khi mù khô dầy, tầm nhìn giảm xuống dưới 1000 m, có thể che cả bầu trời, trông giống mây Cs, nhưng màu vàng hơn và không sinh ra hiện tượng quầng.
- Khói: trong không khí lơ lửng những phần tử nhỏ, tàn dư của sự cháy. Màn khói có thể ở gần mặt đất hay cao hơn trong không khí tự do. Trông qua khói thì mặt trời lúc mọc hay lặn có màu rất đỏ.
- Bụi cuốn hay cát cuốn: bụi hay cát bị gió khá mạnh đưa lên khỏi mặt đất, tùy theo hiện tượng ở sát mặt đất hay ở cao mà phân biệt.
Bụi cuốn hay cát cuốn thấp: bụi hay cát bị đưa lên khỏi mặt đất không cao, tầm nhìn ngang tầm mắt không bị giảm rõ rệt, những vật ở thấp bị mờ hay bị che khuất.
Bụi cuốn hay cát cuốn cao: bụi hay cát bị đưa lên khá cao trên mặt đất, tầm nhìn ngang bị giảm rõ rệt.
- Lốc bụi hay lốc cát: bụi hay cát bị gió xoáy cuốn lên cao khỏi mặt đất thành hình một cột xoáy thẳng đứng, độ cao và đường kính cột đó luôn biến đổi.
Hiện tượng xẩy ra trong những ngày trời nắng, mặt đất bị đốt nóng mạnh mẽ sinh ra lốc. Lốc không lan rộng và thường nhanh chóng kết thúc.
- Quầng: hiện tượng quang học do ánh sáng mặt trời hay mặt trăng khi đi qua các mây Ci, Cs, có kiến trúc tinh thể đá, bị khúc xạ hay phản xạ sinh ra những vòng tròn, cánh cung với tâm là mặt trời hay mặt trăng, hoặc sinh ra cột sáng hay vết sáng.
Khi quầng sinh ra do ánh sáng mặt trời bị khúc xạ thì có nhiều màu, do ánh sáng mặt trăng thì thông thường màu trắng.
Phần lớn quan sát được quầng nhỏ có bán kính 22o, màu trắng hay màu vàng, vòng phía trong có màu đỏ và đôi khi phía ngoài có màu tím.
Đôi khi quan sát được vòng có góc 46o, gọi là quầng lớn, có độ sáng kém quầng nhỏ. Có thể quan sát được một giải sáng thẳng đứng suốt từ phía trên đến phía dưới mặt trời gọi là “cột sáng”.
- Tán: một hai hoặc ba vòng có màu, mà tâm là mặt trời hay mặt trăng. Vòng phía trong màu tím hay xanh và vòng phía ngoài màu đỏ, những màu khác có thể xuất hiện giữa hai vòng ấy. Thông thường góc từ vòng sáng đến tâm không quá 5o.
Hiện tượng tán sinh ra do ánh sáng mặt trời hay mặt trăng chiếu qua sương mù hoặc mây mỏng cấu tạo bởi các hạt nước rất nhỏ, bị khuếch tán. Đôi khi tán quan sát được trên mây có hình không được tròn do có sự khác nhau của các phần tử cấu tạo mây biến đổi trong đám mây. Tán không tròn hoặc tán không đủ vòng sinh ra do nguồn sáng có hình lưỡi liềm.
- Vân ngũ sắc: quang hiện tượng xuất phát từ mây thành một hiện tượng hỗn hợp những giải có màu sắc khác nhau (màu xanh lá cây và hồng là chủ yếu) xen kẽ, gần song song với cạnh mây. Màu vân ngũ sắc thường sáng, trông tựa màu xà cừ.
Trong khoảng 10o từ mặt trời, vân ngũ sắc chủ yếu sinh ra từ ánh sáng bị khuyếch tán. Ngoài 10o, thông thường ánh sáng bị giao thoa là nhân tố chính. Vân ngũ sắc đôi khi phát triển trong một góc quá 40o từ mặt trời mà màu sắc có thể còn sáng.
- Cầu vồng: vòng cung sáng, màu từ đỏ, da cam, vàng, xanh lá cây, xanh lơ, chàm và tím xuất hiện khi có mưa, sương mù ở một phía còn mặt trời hoặc mặt trăng ở phía đối diện.
Cầu vồng sinh ra do ánh sáng mặt trời hay mặt trăng bị khúc xạ và phản xạ. Màu sắc và bề rộng hẹp các giải màu sắc của cầu vồng, do độ lớn của hạt mưa, hạt sương mù quyết định. Cầu vồng do mặt trời, màu sắc thường sáng, cầu vồng do mặt trăng đôi khi có màu trắng. Thông thường cầu vồng có màu tím ở bên trong, màu đỏ ở vòng cung bên ngoài.
Có khi quan sát được cầu vồng thứ hai, không sáng bằng cầu vồng thứ nhất và bản rộng gần bằng hai. Ở cầu vồng này, màu đỏ phía trong (góc 50o), màu tím phía ngoài (góc 54o). Bờ ngoài cầu vồng thứ nhất có thể có màu xanh, tím hoặc da cam do hiện tượng giao thoa ánh sáng gây ra.
- Cầu vồng do sương mù: cầu vồng do sương mù, kích thước như cầu vồng thứ nhất, do khúc xạ và phản xạ ánh sáng mặt trời hay mặt trăng. Cầu vồng xuất hiện ngay trên màn sương mù, là một giải màu trắng, thông thường có giải màu hơi đỏ ở ngoài và xanh nhạt ở trong.
- Dông: một hoặc nhiều hiện tượng phóng điện trong khí quyển thể hiện bằng ánh sáng lóe ra (chớp) và tiếng rung động (sấm). Cơn dông được cho là chấm dứt sau khi nghe được tiếng rung động (sấm) cuối cùng.
Dông phát sinh từ mây Cb và thường kèm theo giáng thủy tới đất dưới dạng mưa rào, tuyết hoặc mưa đá.
- Chớp: hiện tượng ánh sáng kèm theo sự phóng điện thiên nhiên, bất thình lình và mạnh, xuất hiện giữa mây và đất, hoặc giữa hai đám mây, hoặc từ hai bộ phận của một đám mây hoặc giữa đám mây và không khí trong sáng.
Có năm loại chớp:
+ Chớp mờ: chớp có hình một dạng sáng rộng mà không có phần nào sáng hơn ở bộ phận khác; đây là chớp trong mây hoặc là loại chớp thẳng nhìn qua mây.
+ Chớp thẳng: chớp có hình một vệt dài, trắng, thường hẹp, ngoài bờ rõ ràng và gần thẳng; loại chớp này ngắn, nếu dài hơn thì chớp có những chỗ khúc khuỷu.
+ Chớp chuỗi: chớp thẳng hay khúc khuỷu gẫy thành nhiều đoạn ngắn, có thể trở thành hình cầu tròn và tồn tại trong một khoảng thời gian đáng kể.
+ Chớp nhiệt: chớp ở xa, trông thấy ở chân trời nhưng không nghe được sấm.
+ Chớp cục: quả cầu sáng xuất hiện sau khi phóng điện nổ ra, đường kính từ vài phân đến một mét, lơ lửng trong không khí hoặc bị cuốn theo các dòng khí.
- Gió lớn: gió có tốc độ trung bình trong 2 phút lớn hơn 15 m/s, quan sát được ở các kỳ quan trắc hay trong khoảng thời gian giữa các kỳ quan trắc.
Ứng với cấp Beaufort gió lớn là gió từ cấp 7 trở lên.
- Tố: gió có tốc độ tăng lên đột ngột, biến thiên tốc độ lớn hơn hoặc bằng 8m/s, tốc độ gió phải lớn hơn hoặc bằng 11 m/s, hướng cũng thay đổi bất chợt quan trắc được trong thời gian từ 1 phút, nhiệt độ không khí giảm xuống mạnh, ẩm độ tăng nhanh thể hiện trên giản đồ phương tiện đo tự ghi và thường kèm dông, mưa rào, đôi khi có mưa đá.
3. Quan trắc hiện tượng khí tượng
Hiện tượng khí tượng được theo dõi liên tục. Quan trắc hiện tượng khí tượng bao gồm: xác định loại hiện tượng, thời gian bắt đầu và chấm dứt đặc điểm (tính chất) và cường độ hiện tượng; một số hiện tượng cần xác định hướng xuất hiện và kích thước của hiện tượng.
Bảng 16. Quy định cường độ hiện tượng khí tượng
| Ký hiệu | Hiện tượng | Cường độ | ||
| Nhẹ | Trung bình | Mạnh | ||
| Ký hiệu 0 | Không có ký hiệu | Ký hiệu 2 | ||
|
| Mưa | Lượng nước nhỏ hơn hoặc bằng 2,5 mm trong một giờ, hay cường độ lớn nhất trong 6 phút nhỏ hơn 0,25 mm. | Lượng nước từ 2,6 mm đến 7,5 mm trong 1 giờ hay cường độ từ 0,26 mm đến 0,75 mm trong 6 phút. | Lượng nước lớn hơn hoặc bằng 7,6 mm trong 1 giờ, hay cường độ nhỏ nhất là 0,76 mm trong 6 phút |
|
| Mưa rào | Mưa rơi từng hạt rõ rệt, không có hiện tượng mưa bay, hạt mưa rơi xuống đá, hay ngói không bắn tung toé, sau khi mưa 2 phút thì đá hay ngói mới ướt, hạt mưa rơi trên mái ngói thành tiếng tí tách. ww = 60, 61, 80 VV ≥10 km | Mưa rơi thành đường, khó nhìn thấy hạt mưa. Mưa đến vật rắn hay mái ngói nước bắn tung toé. Mưa rơi trên mái ngói thành tiếng rào rào. ww = 62, 63, 81 Riêng với mưa 4 km ≤ VV < 10 km | Mưa như trút nước thành màn mờ mịt. Mưa đến vật rắn, nước bắn cao mấy centimet, nước đọng thành vũng rết nhanh. Mưa rơi trên mái ngói thành tiếng ầm ầm. Tầm nhìn ngang xấu. ww = 64, 65, 82 VV < 4 km |
|
| Mưa phùn | Tầm nhìn ngang > 1 km | Tầm nhìn ngang từ 0,5 km - 1 km | Tầm nhìn ngang < 0,5 km |
|
| Tuyết |
|
|
|
|
| Tuyết rào | ww = 50, 51, 70, 71,85 | ww = 52, 53, 72, 73, 86 | ww = 54, 55, 74 ,75, 86 |
|
| Mưa đông kết Mưa phùn đông kết | Trong 1 giờ, hạt đông kết tụ trên dây điện có độ dày nhỏ hơn 3,2 mm. ww = 56, 66 | Trong 1giờ, hạt đông kết tụ trên đây điện có độ đày từ 3,2 mm đến 6,4 mm. ww = 57, 67 | Trong 1 giờ hạt đông kết tụ trên dây điện có độ dày lớn hơn 6,4 mm. ww = 57, 67 |
|
| Mưa đá | Chỉ thấy một ít hạt mưa đá, không thấy hạt mưa đá chồng chất trên mặt đất. | Đã có hạt mựa đá chồng chất trên mặt đất, tuy chưa nhiều. | Hạt mưa đá rơi hàng loạt, nhanh chóng chồng chất trên mặt đất. |
|
| Mưa đá phùn (nhỏ) | ww = 87, 89 | ww = 88, 90 | ww = 88, 90 |
|
| Dông | Có sấm, tiếng một hay sấm rền, khi mây Cb tràn tới, gió chưa đạt mức “gió lớn" và không có móc dông trên giản đồ khí áp ký, nhiệt ký, ẩm ký. | Có sấm tiếng một hay sấm rền, khi mây Cb tràn tới, gió chưa đạt mức “gió lớn” nhưng có móc dông trên giàn đồ khí áp ký, nhiệt ký, ẩm ký. | Sấm to nổ liên hồi, khi mây Cb trán tới, gió đạt mức “gió lớn” và có móc dông trên giản đồ khí áp ký, nhiệt ký, ẩm ký. |
| ww = 95, 96 (có giáng thủy) | ww = 95, 96 (có giáng thủy) | ww = 97, 99 (có giáng thủy) | ||
| Dông không có giáng thủy ww = 17 | ||||
|
| Sương móc | Hạt sương nhỏ và thưa, phải chú ý mới thấy. | Hạt sương lớn và nhiều, nhưng lượng đọng trong vũ kế chưa tới 0,05 mm. | Hạt sương lớn và nhiều, lượng đọng trong vũ kế lớn hơn hoặc bằng 0,05 mm. |
|
Mim hf | Sương muối |
|
|
|
|
| Sương mù | Tầm nhìn ngang (VV) 0,5 km ≤VV< 1 km | Tầm nhìn ngang (VV) 50 m ≤ VV < 500 m | Tầm nhìn ngang (VV) VV < 50 m |
|
| Mù | 4 km ≤VV< 10 km | 2 km ≤ VV < 4 km | 1 km ≤ VV < 2 km |
|
| Mù khô | 2 km ≤ VV< 10 km | 1 km ≤ VV < 2 km | VV < 1 km |
Xác định và mã hóa hiện tượng thời tiết hiện tại (ww) và hiện tượng thời tiết đã qua (W1W2).
ww là thời tiết lúc quan trắc (từ 10 phút trước giờ tròn đến giờ tròn) hay trong khoảng giờ trước lúc quan trắc (từ giờ tròn trước liền kế đến giờ tròn). Theo nguyên tắc chọn ưu tiên (những hiện tượng xẩy ra từ 10 phút trước giờ tròn đến giờ tròn trừ mã số 17 được ưu tiên từ 00 đến 49). Chọn ww có mã số lớn, các hiện tượng trong ww chưa mô tả hết được báo bổ xung nhóm 960...và 961...
W1W2 các hiện tượng xẩy ra trong khoảng thời gian đã qua. Mã hóa theo nguyên tắc W1 chọn mã số lớn, W2 chọn mã số nhỏ hơn chú ý W1W2 không chọn các mã số đã được mổ tả đầy đủ trong ww và thời gian xẩy ra hiện tượng đó không thuộc thời gian của W1W2.
3.2. Xác định hiện tượng khí tượng
Căn cứ vào hiện tượng xẩy ra tại nơi quan trắc hoặc vùng lân cận đối chiếu với mô tả trên để xác định loại hiện tượng khí tượng. Khi xác định hiện tượng cần kết hợp với mây, với tầm nhìn ngang... để đảm bảo chính xác. Bảng 17 là một số hiện tượng và mây nguồn gốc sinh ra chúng:
Bảng 17. Nguồn gốc hiện tượng
| Hiện tượng | Mây | |||||
| As | Ns | Sc | St | Cu | Cb | |
| Mưa | + | + | + |
|
|
|
| Mưa phùn |
|
|
| + |
|
|
| Tuyết | + | + | + |
|
| + |
| Mưa rào |
|
|
|
| + | + |
| Mưa đá |
|
|
|
| + | + |
| Tuyết hạt |
|
|
| + |
|
|
| Tuyết rào |
|
|
|
|
| + |
| Mưa đá nhỏ | + | + | + |
|
| + |
3.2. Thời điểm bắt đầu và chấm dứt
Thời điểm bắt đầu là thời điểm quan sát được hiện tượng mới hình thành hay xuất hiện. Thời điểm chấm dứt là thời điểm mà hiện tượng đã kết thúc hay biến dạng. Thời điểm bắt đầu và chấm dứt ghi chính xác tới phút.
3.3. Xác định cường độ hiện tượng
Cường độ hiện tượng khí tượng được ký hiệu: nhẹ ký hiệu số 0; trung bình không ghi ký hiệu; mạnh ký hiệu số 2.
Cường độ hiện tượng xác định theo lượng: mưa, mưa rào, sương.
Cường độ hiện tượng xác định theo độ dầy: mưa đông kết, tuyết.
Cường độ hiện tượng xác định theo tầm nhìn ngang: mù, sương mù, mù khô, mưa phùn.
a. Xác định cường độ hiện tượng theo lượng:
- Đối với mưa:
+ Mưa nhẹ: lượng nước nhỏ hơn hoặc bằng 2,5 mm trong một giờ, với cường độ tối đa nhỏ hơn hoặc bằng 0,25 mm trong 6 phút.
+ Mưa trung bình: lượng nước từ 2,6 mm đến 7,5 mm trong một giờ, với cường độ tối đa trong khoảng từ 0,26 mm đến 0,75 mm trong 6 phút.
+ Mưa mạnh: lượng nước từ 7,6 mm trở lên trong một giờ với cường độ lớn hơn hoắc bằng 0,76 mm trong 6 phút.
- Đối với sương, sương muối:
+ Sương nhẹ: hạt sương trên ngọn cỏ, lá cây nhỏ và thưa, phải chú ý mới thấy hiện tượng.
+ Sương trung bình: hạt sương lớn và nhiều, lượng sương đọng trong vũ kế nhỏ hơn 0,05 mm.
+ Sương: lượng sương đọng trong vũ kế từ 0,05 mm trở lên.
b. Xác định cường độ hiện tượng theo độ dầy:
Mưa đông kết, tuyết, cường độ hiện tượng xác định theo độ dầy của các lớp thủy hiện tượng ấy, đơn vị là centimet.
c. Xác định cường độ hiện tượng theo tầm nhìn ngang:
Những hiện tượng làm giảm tầm nhìn ngang, thì xác định cường độ của chúng tuỳ theo mức độ làm giảm tầm nhìn ngang.
d. Xác định cường độ theo biểu hiện của hiện tượng qua các yếu tố khác:
Cường độ dông được xác định theo sự thay đổi về tốc độ gió và sự biến thiên của nhiệt độ, ẩm độ và khí áp.
- Dông nhẹ: có dông, nhưng trên giản đồ các phương tiện đo nhiệt ký, ẩm ký, khí áp ký không có móc dông.
- Dông trung bình: gió trong cơn dông tương đối lớn nhưng chưa đạt tới tốc độ gió mạnh. Trên các giản đồ nhiệt ký, ẩm ký, khí áp ký có móc dông.
- Dông mạnh: gió trong cơn dông đạt tới tốc độ gió lớn hơn hoặc bằng 16 m/s. Trên giản đồ nhiệt ký, ẩm ký, khí áp ký có móc dông.
3.4. Xác định tính chất liên tục hay cách khoảng của hiện tượng
Một hiện tượng khí tượng xuất hiện liên tiếp thì tính chất của hiện tượng là liên tục; ngược lại, nếu trong thời gian đó có lúc chấm dứt rồi lại xuất hiện, thời gian chấm dứt nhỏ hơn 10 phút, thì tính chất là cách khoảng. Nếu thời gian chấm dứt lớn hơn 10 phút, tính sang đợt khác.
Ký hiệu tính chất liên tục, ghi , tính chất cách khoảng, ghi “ ...” , đặt giữa thời điểm bắt đầu và chấm dứt của hiện tượng.
3.5. Hướng xuất hiện của hiện tượng khí tượng
Các hiện tượng: vòi rồng, cầu vồng, chớp phải ghi hướng xuất hiện của hiện tượng.
3.6. Kích thước hiện tượng khí tượng
a. Khi có mưa đá, cần ghi rõ kích thước, trọng lượng, hình dạng những hạt phổ biến và hạt lớn nhất.
Tính trọng lượng trung bình hạt mưa đá bằng cách, đếm một số hạt bỏ vào ống đo mưa của vũ kế, chờ đá tan hết, đọc số độ chia trên ống rồi nhân 2 (do mỗi độ chia ứng với 2 cm3), đem kết quả chia cho số hạt mưa.
b. Quầng phải xác định kích thước góc 22o hay 46o. Thông thường quầng 46o chỉ quan sát được một phần phía trên.
PHỤ LỤC K
TRẠM ĐO KHÍ TƯỢNG TỰ ĐỘNG
Hoạt động liên tục 24/24 giờ, tần suất đo và truyền số liệu 10 phút/lần.
Các yếu tố đo bao gồm: nhiệt độ không khí, độ ẩm không khí, gió, mưa, khí áp, bốc hơi, giờ nắng, bức xạ, nhiệt độ mặt đất, nhiệt độ các lớp đất, tầm nhìn ngang...
Phương pháp lấy số liệu
- Nhiệt độ không khí: giá trị nhiệt độ tức thời (tại phút tròn); giá trị lớn nhất và nhỏ nhất trong thời đoạn quan trắc;
- Độ ẩm không khí: giá trị độ ẩm tức thời (tại phút tròn); nhỏ nhất trong thời đoạn quan trắc;
- Gió:
+ Hướng và tốc độ gió được tính trong 2 phút (trước phút tròn đến phút tròn);
+ Hướng và tốc độ gió lớn nhất 2 phút (xác định trong thời đoạn quan trắc);
- Mưa: tổng lượng mưa trong 10 phút;
- Khí áp: giá trị khí áp tức thời; giá trị lớn nhất và nhỏ nhất (tại phút tròn);
- Nhiệt độ bề mặt đất, các lớp đất sâu: giá trị tức thời; giá trị lớn nhất và nhỏ nhất (tại phút tròn);
- Bốc hơi: lượng nước hao hụt trong 10 phút;
- Giờ nắng: tổng thời gian có nắng trong 10 phút;
- Bức xạ: tổng lượng bức xạ trong 10 phút;
- Nhiệt độ mặt đất, nhiệt độ các lớp đất: giá trị nhiệt độ tức thời (tại phút tròn); giá trị lớn nhất và nhỏ nhất trong thời đoạn quan trắc;
- Tầm nhìn ngang: giá trị tức thời tại phút tròn.
PHỤ LỤC L
CÁC MẪU BÁO CÁO KHÍ TƯỢNG
A. Các Mẫu báo cáo tại trạm
A.1. Mẫu báo cáo tháng BCT-2
| TỔNG CỤC KHÍ TƯỢNG Số: /KT | CỘNG HÒA XÃ HỘI CHỦ NGHĨA VIỆT NAM | ||
|
|
| BCT 2 | |
BÁO CÁO CÔNG TÁC THÁNG ....NĂM.....
1. Hạng trạm, địa điểm
2. Biên chế (Ghi họ tên, chức vụ, trình độ nghiệp vụ quan trắc, ai chuyển đi, chuyển đến trong tháng)
| TT | Họ và tên | Chức vụ, trình độ |
| 1. |
|
|
| 2. |
|
|
3. Tình hình quan trắc và thực hiện thông tư, tiêu chuẩn, quy chuẩn kỹ thuật (Ghi rõ mặt tốt, những sai phạm, lý do và tên quan trắc viên, việc phân công nhiệm vụ, thực thi các nhiệm vụ được phân công).
4. Tình hình học tập chuyên môn nghiệp vụ (Đã học tập tài liệu nghiệp vụ gì trong tháng? Thao diễn kỹ thuật mấy lần, đang lập báo biểu tháng nào?)
5. Tình hình công trình đo, phương tiện đo đạc, thiết bị và dụng cụ quan trắc (nêu những thay đổi, hư hỏng đã sửa chữa, thay thế, ghi những dụng cụ Phương tiện đo móc dự phòng hiện có ở trạm, bảo dưỡng).
+ Thay thế
| TT | Tên dụng cụ | Kiểu | Số phương tiện đo | Nước SX | Ngày thay thế | Nguyên nhân thay |
|
|
|
|
|
|
|
|
+ Dự phòng
| Số TT | Tên dụng cụ | Kiểu | Số phương tiện đo | Nước SX | Hạn kiểm định | Chất lượng |
|
|
|
|
|
|
|
|
|
|
|
|
|
|
|
|
6. Tình hình các yếu tố đo tự động tại trạm
7. Tình hình thông tin liên lạc, hành lang kỹ thuật, quan hệ địa phương
8. Hồ sơ kỹ thuật trạm
9. Những công trình sửa chữa hoặc xây dựng (sân vườn, nhà cửa...)
10. Thiên tai, thời tiết đặc biệt xảy ra trong tháng (nêu những hiện tượng ảnh hưởng đến sản xuất và đời sống)
11. Nhận xét chung nêu những ưu khuyết điểm chính trong thực hiện nhiệm vụ.
12. Những đề nghị của Trạm
|
| ....ngày....tháng….năm..... |
A.2. Mẫu báo cáo quí BCT-3
| TỔNG CỤC KHÍ TƯỢNG THỦY VĂN | THỐNG KÊ TÌNH HÌNH TRẠM | ||
|
|
| BCT 3 | |
TRẠM KHÍ TƯỢNG....
QUÝ:.....
1. Biên chế (họ và tên):
Trạm trưởng : ………………………………….. Trình độ: ………………………………………
Quan trắc viên : …………………………………Trình độ: ………………………………………
: ……………………………………… Trình độ: …………………………………………………..
2. Địa chỉ trạm:
3. Công trình, nhà trạm:
Diện tích đất của trạm:
Vườn quan trắc kích thước:……………………………………… Tình trạng: ……………….
Hàng rào: Đường đi: Mặt vườn:
| Lều gồm: Kiểu: | Tình trạng: |
| Đường đi lên vườn quan trắc: | Tình trạng: |
| Diện tích nhà làm việc, trực ca (cấp): | Tình trạng: |
| Diện tích nhà công vụ (cấp): | Tình trạng: |
Hàng rào, tường bao khu đất trạm Tình trạng:
| Mốc độ cao (số hiệu): | Tình trạng: |
| Cột gió (kiểu): | Tình trạng: |
Hành lang an toàn kỹ thuật (mô tả cụ thể tình trạng, mức độ vi phạm theo các hướng, chiều cao và khoảng cách các vật che chắn đến vườn quan trắc): Tiêu điểm tầm nhìn ngang (số tiêu điểm, tình trạng, số tiêu điểm đang sử dụng
3. Phương tiện đo, phương tiện đo, thiết bị quan trắc:
a. Các thiết bị, dụng cụ quan trắc đang hoạt động và dự phòng (theo bảng)
CÁC PHƯƠNG TIỆN ĐO ĐANG HOẠT ĐỘNG TẠI TRẠM
| TT | Tên dụng cụ | Kiểu | Số phương tiện đo | Nước SX | Hạn kiểm định | Chất lượng |
| 1 | Nhiệt ký |
|
|
|
|
|
| 2 | Ẩm ký |
|
|
|
|
|
| 3 | Khí áp kế |
|
|
|
|
|
| 4 | Khí áp ký |
|
|
|
|
|
| 5 | Bộ ẩm biểu |
|
|
|
|
|
| - | Nhiệt kế khô |
|
|
|
|
|
| - | Nhiệt kế ướt |
|
|
|
|
|
| 7 | Nhiệt kế tối cao |
|
|
|
|
|
| 8 | Nhiệt kế tối thấp |
|
|
|
|
|
| 9 | Nhật quang ký |
|
|
|
|
|
| 10 | Vũ lượng kế |
|
|
|
|
|
| 11 | Vũ lượng ký |
|
|
|
|
|
| - | Đầu đo |
|
|
|
|
|
| - | Bộ hiển thị |
|
|
|
|
|
| 12 | Ống đo mưa |
|
|
|
|
|
| 13 | Phương tiện đo gió tự báo |
|
|
|
|
|
| - | Đầu đo |
|
|
|
|
|
| - | Bộ hiển thị |
|
|
|
|
|
| 14 | Phương tiện đo gió Young |
|
|
|
|
|
| - | Đầu đo |
|
|
|
|
|
| - | Bộ hiện số |
|
|
|
|
|
| 15 | Piche |
|
|
|
|
|
| 16 | GGI-3000 |
|
|
|
|
|
| 17 | Class - A |
|
|
|
|
|
| 18 | Phương tiện đo nhiệt độ mặt đất |
|
| |||
| - | Nhiệt kế thường |
|
|
|
|
|
| - | Nhiệt kế tối cao |
|
|
|
|
|
| - | Nhiệt kế tối thấp |
|
|
|
|
|
| 19 | Phương tiện đo nhiệt độ các lớp đất sâu thủ công |
|
| |||
| - | Độ sâu 5 cm |
|
|
|
|
|
| - | Độ sâu 10 cm |
|
|
|
|
|
| - | Độ sâu 15 cm |
|
|
|
|
|
| - | Độ sâu 20 cm |
|
|
|
|
|
| 20 | Phương tiện đo nhiệt độ các lớp đất sâu tự động |
|
| |||
| 21 | Trạm đo tự động 2 yếu tố |
|
| |||
| 22 | Trạm khí tượng tự động |
|
| |||
| - | Đầu đo gió |
|
|
|
|
|
| - | Đầu đo nhiệt |
|
|
|
|
|
| - | Đầu đo ẩm |
|
|
|
|
|
| - | Đầu đo mưa |
|
|
|
|
|
| - | Đầu đo áp |
|
|
|
|
|
| - | Đầu đo bức xạ |
|
|
|
|
|
| - | Đầu đo tầm nhìn ngang |
|
|
|
|
|
| - | Đầu đo bốc hơi |
|
|
|
|
|
b. Thống kê riêng phương tiện đo bức xạ và chất lượng cho từng loại phương tiện đo (nếu có)
CÁC PHƯƠNG TIỆN ĐO ĐANG DỰ PHÒNG TẠI TRẠM
| TT | Tên dụng cụ | Kiểu | Số phương tiện đo | Nước SX | Hạn kiểm định | Chất lượng |
| 1 | Nhiệt ký |
|
|
|
|
|
| 2 | Ẩm ký |
|
|
|
|
|
| 3 | Khí áp kế |
|
|
|
|
|
| 4 | Khí áp ký |
|
|
|
|
|
| 5 | Bộ ẩm biểu |
|
|
|
|
|
| - | Nhiệt kế khô |
|
|
|
|
|
| - | Nhiệt kế ướt |
|
|
|
|
|
| 7 | Nhiệt kế tối cao |
|
|
|
|
|
| 8 | Nhiệt kế tối thấp |
|
|
|
|
|
| 9 | Nhật quang ký |
|
|
|
|
|
| 10 | Vũ lượng kế |
|
|
|
|
|
| 11 | Vũ lượng ký |
|
|
|
|
|
| - | Đầu đo |
|
|
|
|
|
| - | Bộ hiển thị |
|
|
|
|
|
| 12 | Ống đo mưa |
|
|
|
|
|
| 13 | Phương tiện đo gió tự báo |
|
|
|
|
|
| - | Đầu đo |
|
|
|
|
|
| - | Bộ hiển thị |
|
|
|
|
|
| 14 | Phương tiện đo gió Young |
|
|
|
|
|
| - | Đầu đo |
|
|
|
|
|
| - | Bộ hiện số |
|
|
|
|
|
| 15 | Piche |
|
|
|
|
|
| 16 | GGI-3000 |
|
|
|
|
|
| 17 | Class - A |
|
|
|
|
|
| 18 | Phương tiện đo nhiệt độ mặt đất |
|
| |||
| - | Nhiệt kế thường |
|
|
|
|
|
| - | Nhiệt kế tối cao |
|
|
|
|
|
| - | Nhiệt kế tối thấp |
|
|
|
|
|
| 19 | Phương tiện đo nhiệt độ các lớp đất sâu thủ công |
|
| |||
| - | Độ sâu 5 cm |
|
|
|
|
|
| - | Độ sâu 10 cm |
|
|
|
|
|
| - | Độ sâu 15 cm |
|
|
|
|
|
| - | Độ sâu 20 cm |
|
|
|
|
|
4. Thực hiện quy trình, quy phạm, bảo dưỡng công trình (ghi nhận xét)
5. Tình hình Hồ sơ kỹ thuật (những điểm bổ sung vào HSKT).
6. Quan hệ với địa phương và xung quanh:
| Trưởng trạm | …., ngày ... tháng ... năm…..
|
B. Các Mẫu báo cáo tại Đài KTTV
B.1. Báo cáo tháng về tình hình mạng lưới trạm đo thủ công
| TỔNG CỤC KHÍ TƯỢNG Số: /BC-….. | CỘNG HÒA XÃ HỘI CHỦ NGHĨA VIỆT NAM …., ngày …tháng … năm ….. |
BÁO CÁO THÁNG …. NĂM ……
Kính gửi: ………………………………………………..
I. Tình hình nhân lực và mạng lưới quan trắc
1.1. Tình hình nhân lực
1.2. Mạng lưới trạm quan trắc
II. Tình hình công trình, phương tiện đo, thiết bị quan trắc
2.1. Công trình, tuyến đo
2.2. Phương tiện đo, thiết bị quan trắc
III. Thông tin liên lạc
IV. Những khó khăn và kiến nghị đề xuất
|
| GIÁM ĐỐC |
B.2. Báo cáo tháng về tình hình mạng lưới trạm đo tự động
| TỔNG CỤC KHÍ TƯỢNG Số: …./BC-…… | CỘNG HÒA XÃ HỘI CHỦ NGHĨA VIỆT NAM …., ngày …tháng …. năm …. |
BÁO CÁO
Hoạt động của các trạm khí tượng thủy văn tự động tháng …. năm …..
Kính gửi: ……………………………………
1. Số lượng trạm khí tượng thủy văn tự động hiện có
2. Báo cáo tóm tắt tình hình hoạt động của các trạm KTTV tự động trong tháng
2.1. Về các trạm đo mưa tự động
*Công trình trạm:
*Hệ thống thiết bị:
*Hệ thống máy chủ thu nhận số liệu:
2.2. Về các trạm đo gió tự động
2.3. Về các trạm hải văn tự động
* Công trình trạm:
* Hệ thống thiết bị:
* Hệ thống thu nhận số liệu:
2.5. Về các trạm Thủy văn tự động
*Công trình trạm:
* Hệ thống thiết bị:
* Hệ thống thu nhận số liệu:
3. Kết quả khắc phục sự cố các trạm tháng trước và phương hướng khắc phục sự cố các trạm tháng tiếp theo
3.1. Kết quả khắc phục sự cố các trạm tháng trước
3.2. Phương hướng khắc phục sự cố các trạm tháng tiếp theo
4. Đề xuất, kiến nghị
|
| GIÁM ĐỐC |
B.3. Báo cáo tháng về tình hình mạng lưới trạm đo trước bão, ATNĐ
| TỔNG CỤC KHÍ TƯỢNG | CỘNG HÒA XÃ HỘI CHỦ NGHĨA VIỆT NAM |
| Số: …/ĐKV...... V/v.......................................... | …., ngày ….tháng …. năm …… |
BÁO CÁO TÌNH HÌNH HOẠT ĐỘNG CÁC TRẠM KHÍ TƯỢNG THỦY VĂN THUỘC ĐÀI KTTV KHU VỰC ......... TRƯỚC CƠN BÃO .................
Kính gửi: Tổng cục Khí tượng Thủy văn
I. Mạng lưới trạm khí tượng thủy văn
1.1. Mạng lưới trạm
1.2. Tình hình nhân lực, vật lực
1.3. Công trình chuyên môn
1.4. Thông tin liên lạc
1.5. Phương tiện đo, thiết bị quan trắc
- Trạm Khí tượng bề mặt:
- Trạm Khí tượng tự động:
- Trạm đo mưa tự động:
- Trạm Thủy văn thủ công:
- Trạm Thủy văn tự động:
- Trạm Hải văn thủ công:
- Trạm Hải văn tự động:
II. Công tác chuẩn bị của Đài
2.1. Nhân lực, vật lực
2.2. Phương tiện đo móc thiết bị dự phòng cho mạng lưới trạm
2.3. Thông tin liên lạc
2.4. Phương án ứng cứu cho các trạm KTTV khi cần thiết
|
| GIÁM ĐỐC |
B.4. Báo cáo tháng về tình hình mạng lưới trạm đo sau bão, ATNĐ
| TỔNG CỤC KHÍ TƯỢNG | CỘNG HÒA XÃ HỘI CHỦ NGHĨA VIỆT NAM |
| Số: /ĐKV.... V/v....................... | ….., ngày ….tháng …. năm …. |
BÁO CÁO TÌNH HÌNH MƯA, LŨ DO ẢNH HƯỞNG CỦA..............
(Thời gian từ ngày ... đến ngày ... tháng ... năm ...)
Kính gửi: ...........................................
I. Diễn biến mưa, lũ tại khu vực ...........................................
1.1. Tình hình mưa
1.2. Tình hình khí tượng
1.3. Tình hình thủy văn
1.4. Tình hình hải văn
1.5. Tình hình hồ chứa
II. Tình hình hoạt động của mạng lưới trạm KTTV và thông tin liên lạc
III. Đánh giá công tác dự báo phục vụ
IV. Ảnh hưởng của thiên tai
4.1. Tình hình thiệt hại của Đài KTTV khu vực:
4.2. Tình hình thiệt hại của địa phương
|
| GIÁM ĐỐC |
PHỤ LỤC M
QUY TRÌNH BƠM BÓNG THÁM KHÔNG
Bước 1: Chuẩn bị bóng và phương tiện bơm bóng:
- Quan trắc viên theo dõi: hiện tượng thời tiết, lượng và loại mây, hướng và tốc độ gió tại trạm;
- Kiểm tra tình trạng nhà điều chế khí, thiết bị điều chế khí, dàn lạnh và lượng khí (vị trí quả rọi trên thành bình chứa khí);
- Tắt thiết bị điều chế khí, xả nước dàn lạnh;
- Bật dàn lạnh sao cho đồng hồ chỉ nhiệt độ trên dàn lạnh hạ xuống dưới 10oC;
- Làm sạch đĩa cân, lấy bóng thám không ra khỏi hộp và tháo túi nilon bọc bóng;
- Kiểm tra sơ bộ tình trạng bóng thám không;
- Đặt bóng lên đĩa cân, cân chính xác đến phần đơn vị, trọng lượng tính theo g;
- Trải rộng bóng lên mặt bàn bơm bóng đã được quét sạch, rũ hết bột bóng, kiểm tra kỹ bóng để loại bóng nếu bóng không đạt tiêu chuẩn.
Bước 2: Bơm bóng
- Tính toán sức đẩy tự do và thời gian bơm bóng cho phù hợp với tình hình thời tiết tại trạm;
- Lồng cổ bóng vào đầu chén cân, dùng kẹp hoặc dây buộc chặt (hình 1);

Hình 1: Cổ bóng được lồng vào chén cân
- Treo vào chén cân các quả cân sao cho có tổng trọng lượng (kể cả chén cân) tương ứng với sức đẩy tự do cần bơm;
- Mở từ từ van bơm để khí vào bóng, thao tác này cần làm nhẹ nhàng, cẩn thận tránh gây ra tia lửa do ma sát;
- Khi bóng đã tự nâng lên được và đủ căng, quan trắc viên phải kiểm tra để phát hiện các lỗ thủng, lỗ châm kim làm rò rỉ khí hoặc các khuyết tật của bóng. Trường hợp bị rò rỉ thì xử lý kịp thời để đảm bảo cho kỳ quan trắc đạt kết quả tốt;
- Bóng được bơm đủ tiêu chuẩn là khi bóng đã nhấc bổng được chén cân cùng các quả cân lên ở vị trí cân bằng và không có chuyển động thẳng đứng (hình 2);

Hình 2: Bóng ở vị trí cân bằng
- Buộc chặt cổ bóng bằng dây mềm, thắt nút đoạn dây thừa rồi nhẹ nhàng tháo cổ bóng ra khỏi chén cân, móc dây vào chốt cố định dưới sàn bơm bóng; xếp gọn cổ bóng rồi gấp đôi lên lần nữa, buộc chặt; dùng mỏ tời luồn vào khe vừa gấp đôi ở cổ bóng (hình 3);

Hình 3: Cổ bóng được buộc vào mỏ tời
- Giữ bóng ở nguyên trạng thái này trong nhà chế hơi để chờ thả.
Bạn chưa Đăng nhập thành viên.
Đây là tiện ích dành cho tài khoản thành viên. Vui lòng Đăng nhập để xem chi tiết. Nếu chưa có tài khoản, vui lòng Đăng ký tại đây!

















































