- Tổng quan
- Nội dung
- Quy chuẩn liên quan
- Lược đồ
- Tải về
Quy chuẩn kỹ thuật Quốc gia QCVN 14:2020/BTC đối với thóc tẻ dự trữ quốc gia
| Số hiệu: | QCVN 14:2020/BTC | Loại văn bản: | Quy chuẩn Việt Nam |
| Cơ quan ban hành: | Bộ Tài chính | Lĩnh vực: | Tài chính-Ngân hàng , Nông nghiệp-Lâm nghiệp |
|
Ngày ban hành:
Ngày ban hành là ngày, tháng, năm văn bản được thông qua hoặc ký ban hành.
|
30/10/2020 |
Hiệu lực:
|
Đã biết
|
| Người ký: | Đang cập nhật |
Tình trạng hiệu lực:
Cho biết trạng thái hiệu lực của văn bản đang tra cứu: Chưa áp dụng, Còn hiệu lực, Hết hiệu lực, Hết hiệu lực 1 phần; Đã sửa đổi, Đính chính hay Không còn phù hợp,...
|
Đã biết
|
TÓM TẮT QUY CHUẨN VIỆT NAM QCVN 14:2020/BTC
Quy chuẩn kỹ thuật Quốc gia QCVN 14:2020/BTC về Thóc tẻ dự trữ quốc gia
Ngày 30 tháng 10 năm 2020, Bộ Tài chính đã ban hành Quy chuẩn kỹ thuật Quốc gia QCVN 14:2020/BTC về Thóc tẻ dự trữ quốc gia. Quy chuẩn này chính thức thay thế QCVN 14:2014/BTC, nhằm quy định các tiêu chuẩn kỹ thuật để đảm bảo chất lượng thóc trong dự trữ quốc gia.
Quy chuẩn này áp dụng cho các đơn vị tham gia vào quá trình giao nhận, bảo quản và quản lý thóc tẻ dự trữ quốc gia. Mục đích của quy chuẩn là nhằm đảm bảo thóc tẻ được bảo quản và sử dụng đúng cách, đáp ứng nhu cầu dự trữ và cung cấp lương thực trong các tình huống khẩn cấp.
Yêu cầu chất lượng thóc nhập kho dự trữ quốc gia
Thóc nhập kho dự trữ quốc gia phải là thóc mới và đạt các yêu cầu chất lượng cụ thể. Theo Bảng 1, độ ẩm của thóc không được vượt quá 14% đối với miền Bắc và 14,5% đối với miền Nam. Các chỉ tiêu khác về tạp chất, hạt hư hỏng, hạt xanh non và tỷ lệ gạo lật cũng được quy định rõ ràng để đảm bảo chất lượng thóc.
Yêu cầu chất lượng thóc xuất kho
Thóc xuất kho cũng phải tuân thủ yêu cầu tương tự như trong quy định nhập kho, với các mức giới hạn cụ thể cho các loại tạp chất, hạt hư hỏng, hạt vàng và tỷ lệ gạo lật. Điều này nhằm đảm bảo rằng thóc được phát ra từ kho vẫn giữ được phẩm chất cao, phù hợp với tiêu chuẩn đã đặt ra.
Phương pháp thử và xác định chất lượng thóc
Quy chuẩn nêu rõ các phương pháp thử để xác định chất lượng thóc, bao gồm việc lấy mẫu trong quá trình nhập kho và bảo quản. Quy trình thử nghiệm sẽ kiểm tra độ ẩm, tỷ lệ tạp chất, xác định các loại hạt khác nhau như hạt rạn nứt, hạt hư hỏng, và hiệu suất của gạo lật.
Công nghệ bảo quản thóc
Thóc dự trữ quốc gia phải được bảo quản bằng công nghệ kín, sử dụng túi nhựa Polyvinylclorua (PVC) và các phương pháp bảo quản bằng khí Nitrogen để giảm thiểu oxygen, hạn chế sự phân hủy của thóc và sự phát triển của côn trùng. Các yêu cầu về trang thiết bị và vật tư bảo quản thóc cũng được quy định chặt chẽ nhằm bảo đảm chất lượng cho lô thóc trong suốt quá trình bảo quản.
Quy chuẩn QCVN 14:2020/BTC không chỉ giúp đảm bảo chất lượng thức ăn mà còn góp phần vào công tác an ninh lương thực của quốc gia, hướng đến việc duy trì nguồn dự trữ thóc quốc gia ổn định và đáng tin cậy.
Tải quy chuẩn Việt Nam QCVN 14:2020/BTC
QCVN 14: 2020/BTC
QUY CHUẨN KỸ THUẬT QUỐC GIA ĐỐI VỚI THÓC TẺ DỰ TRỮ QUỐC GIA
National technical regulation on paddy for national reserve
Lời nói đầu
QCVN 14: 2020/BTC thay thế QCVN 14: 2014/BTC;
QCVN 14: 2020/BTC do Tổng cục Dự trữ Nhà nước biên soạn và trình duyệt, Bộ Khoa học và Công nghệ thẩm định và được Bộ trưởng Bộ Tài chính ban hành tại Thông tư số 87/2020/TT-BTC ngày 30 tháng 10 năm 2020.
QUY CHUẨN KỸ THUẬT QUỐC GIA ĐỐI VỚI THÓC TẺ DỰ TRỮ QUỐC GIA
National technical regulation on paddy for national reserve
1. QUY ĐỊNH CHUNG
1.1. Phạm vi điều chỉnh
Quy chuẩn này quy định các yêu cầu kỹ thuật, phương pháp thử; yêu cầu về giao nhận (nhập, xuất), công nghệ bảo quản và công tác quản lý đối với thóc tẻ dự trữ quốc gia.
1.2. Đối tượng áp dụng
Quy chuẩn này áp dụng đối với các đơn vị dự trữ quốc gia, cơ quan, tổ chức, cá nhân có liên quan đến hoạt động giao nhận (nhập, xuất), bảo quản và quản lý thóc tẻ dự trữ quốc gia.
1.3. Giải thích từ ngữ
Trong Quy chuẩn này, các từ ngữ dưới đây được hiểu như sau:
1.3.1. Thóc là hạt lúa thuộc loài Oryza sativa L. chưa bóc vỏ trấu.
1.3.2. Thóc mới là thóc vừa thu hoạch trong thời gian chưa đến thời điểm thu hoạch của vụ kề sau.
1.3.3. Hạt thóc rất dài là hạt thóc có chiều dài hạt gạo lật lớn hơn 7 mm.
1.3.4. Hạt thóc dài là hạt thóc có chiều dài hạt gạo lật từ 6 mm đến 7 mm.
1.3.5. Hạt thóc ngắn là hạt thóc có chiều dài hạt gạo lật nhỏ hơn 6 mm.
1.3.6. Gạo là phần còn lại của hạt thóc sau khi đã tách bỏ hết vỏ trấu, tách một phần hay toàn bộ cám và phôi.
1.3.7. Gạo lật là phần còn lại của thóc sau khi đã bóc hết vỏ trấu.
1.3.8. Hạt vàng là hạt gạo có một phần hoặc toàn bộ nội nhũ biến đổi sang màu vàng rõ rệt.
1.3.9. Hạt bị hư hỏng là hạt gạo bị giảm chất lượng rõ rệt do ẩm, nấm mốc, sâu bệnh, côn trùng phá hại và/hoặc do nguyên nhân khác.
1.3.10. Hạt xanh non là hạt gạo từ hạt lúa chưa chín và/hoặc phát triển chưa đầy đủ.
1.3.11. Hạt bạc phấn là hạt gạo (trừ gạo nếp) có 3/4 diện tích bề mặt hạt trở lên có màu trắng đục như phấn.
1.3.12. Hạt lép là hạt thóc không có lõi.
1.3.13. Hạt lẫn loại là những hạt thóc khác giống, có kích thước và hình dạng khác với hạt thóc theo yêu cầu. Đối với thóc dự trữ quốc gia tính kích thước chiều dài hạt nêu ở điểm 1.3.3, 1.3 4, 1.3.5.
1.3.14. Hạt đỏ là hạt gạo có lớp cám màu đỏ lớn hơn hoặc bằng ¼ diện tích bề mặt của hạt.
1.3.15. Hạt rạn nứt là hạt gạo có một hay nhiều vết rạn nứt ngang, dọc.
1.3.16. Tạp chất là những vật chất không phải là thóc, bao gồm:
1.3.16.1. Toàn bộ phần lọt qua sàng có kích thước 1,60 mm x 20,00 mm.
1.3.16.2. Tạp chất vô cơ gồm đất, cát, đá, sỏi, mảnh kim loại…..
1.3.16.3. Tạp chất hữu cơ gồm hạt lép, hạt bị hư hỏng hoàn toàn, cỏ dại, hạt cây trồng khác, rơm rạ, rác, xác côn trùng...
1.3.17. Độ ẩm của thóc là lượng nước và các chất dễ bay hơi có trong thóc, tính bằng phần trăm theo khối lượng, được xác định theo phương pháp quy định trong ISO 712:2009 Cereals and cereal products - Determination of moisture content - Routine reference method (Ngũ cốc và các sản phẩm ngũ cốc - Xác định độ ẩm - Phương pháp đối chứng thông dụng) bằng cách sấy mẫu ở nhiệt độ 130°C đến 133°C trong thời gian (120 ± 5) min.
1.3.18. Lô thóc là lượng thóc xác định có cùng chất lượng, được chứa trong một ngăn kho hoặc chất xếp thành lô theo quy định.
1.4. Tài liệu viện dẫn
1.4.1. TCVN 9027: 2011 (ISO 24333: 2009) Ngũ cốc và sản phẩm ngũ cốc - Lấy mẫu.
1.4.2. ISO 712: 2009 Cereals and cereal products - Determination of moisture content - Routine reference method (Ngũ cốc và các sản phẩm ngũ cốc - Xác định độ ẩm - Phương pháp đối chứng thông dụng).
1.4.3. TCVN 3286 - 79 Nitơ kỹ thuật
1.4.4. Thông tư số 108/2018/TT-BTC ngày 15/11/2018 của Bộ trưởng Bộ Tài chính hướng dẫn kế toán dự trữ quốc gia.
2. QUY ĐỊNH VỀ KỸ THUẬT
2.1. Chất lượng thóc nhập kho dự trữ quốc gia
Thóc nhập kho dự trữ quốc gia phải là thóc mới. Tùy thuộc vào tình hình sản xuất, thời vụ từng năm, Tổng cục trưởng Tổng cục Dự trữ Nhà nước quyết định thời vụ thóc nhập kho phù hợp.
2.1.1. Yêu cầu cảm quan
- Màu sắc: Hạt thóc có màu sắc đặc trưng của giống.
- Mùi: Có mùi tự nhiên của thóc mới, không có mùi lạ.
- Trạng thái: Hạt mẩy, vỏ trấu không bị nứt, hở.
- Sinh vật hại: Thóc nhập kho không bị nấm men, nấm mốc, không có côn trùng sống, nhện nhỏ và sinh vật hại khác nhìn thấy bằng mắt thường.
2.1.2. Yêu cầu các chỉ tiêu chất lượng
Thóc nhập kho phải bảo đảm yêu cầu chất lượng theo quy định tại Bảng 1.
Bảng 1: Chỉ tiêu chất lượng của thóc nhập kho DTQG
| Chỉ tiêu chất lượng | Mức yêu cầu |
| 1. Độ ẩm, % khối lượng, không lớn hơn | 14,0 |
| Đối với thóc nhập kho tại miền Nam | 14,5 |
| 2. Tạp chất, % khối lượng, không lớn hơn | 2,5 |
| 3. Hạt xanh non, % khối lượng, không lớn hơn | 6,0 |
| 4. Hạt hư hỏng, % khối lượng, không lớn hơn | 2,0 |
| 5. Hạt vàng, % khối lượng, không lớn hơn | 0,5 |
| 6. Hạt bạc phấn, % khối lượng, không lớn hơn | 7,0 |
| 7. Hạt lẫn loại, % khối lượng, không lớn hơn | 9,0 |
| 8. Hạt đỏ, % khối lượng, không lớn hơn | 5,0 |
| 9. Hạt rạn nứt, % khối lượng, không lớn hơn | 10,0 |
| 10. Tỷ lệ gạo lật, % khối lượng, không nhỏ hơn | 77,0 |
2.2. Chất lượng thóc xuất kho dự trữ quốc gia
2.2.1. Yêu cầu cảm quan
- Màu sắc: Hạt thóc có màu sắc đặc trưng của giống.
- Mùi: Có mùi tự nhiên của thóc, không có mùi lạ.
- Trạng thái: Hạt mẩy, vỏ trấu không bị nứt, hở.
- Sinh vật hại: Thóc không bị nấm men, nấm mốc, không có côn trùng sống, nhện nhỏ và sinh vật hại khác nhìn thấy bằng mắt thường.
2.2.2. Yêu cầu các chỉ tiêu chất lượng
Thóc xuất kho phải đảm bảo yêu cầu chất lượng theo quy định tại Bảng 2.
Bảng 2: Chỉ tiêu chất lượng của thóc xuất kho DTQG
| Chỉ tiêu chất lượng | Mức yêu cầu |
| 1. Độ ẩm, % khối lượng, không lớn hơn | 14,0 |
| Đối với thóc xuất kho tại miền Nam | 14,5 |
| 2. Tạp chất, % khối lượng, không lớn hơn | 3,0 |
| 3. Hạt xanh non, % khối lượng, không lớn hơn | 6,0 |
| 4. Hạt hư hỏng, % khối lượng, không lớn hơn | 3,0 |
| 5. Hạt vàng, % khối lượng, không lớn hơn | 1,25 |
| 6. Hạt bạc phấn, % khối lượng, không lớn hơn | 7,0 |
| 7. Hạt lẫn loại, % khối lượng, không lớn hơn | 9,0 |
| 8. Hạt đỏ, % khối lượng, không lớn hơn | 5,0 |
| 9. Hạt rạn nứt, % khối lượng, không lớn hơn | 12,0 |
| 10. Tỷ lệ gạo lật, % khối lượng, không nhỏ hơn | 77,0 |
3. PHƯƠNG PHÁP THỬ
3.1. Lấy mẫu
3.1.1. Lấy mẫu
3.1.1.1. Lấy mẫu trong quá trình nhập kho
Lấy mẫu để xác định các chỉ tiêu chất lượng thóc được thực hiện theo TCVN 9027: 2011 (ISO 24333:2009) Ngũ cốc và sản phẩm ngũ cốc - Lấy mẫu.
3.1.1.2. Lấy mẫu trong quá trình bảo quản và trước khi xuất kho.
- Lấy mẫu áp dụng đối với ngăn/lô thóc bảo quản đổ rời như sau:
+ Đối với lô thóc có số lượng đến 150 tấn: Tối thiểu 8 điểm lấy mẫu, cách tường, cách phai 0,5m.
Sơ đồ lấy mẫu lô thóc đổ rời số lượng đến 150 tấn

+ Đối với lô thóc có số lượng trên 150 tấn đến 300 tấn: Tối thiểu 11 điểm lấy mẫu, cách tường, cách phai 0,5m.
Sơ đồ lấy mẫu lô thóc đổ rời số lượng trên 150 tấn đến 300 tấn

Các điểm lấy mẫu phải cách lớp kê lót 0,5 m, độ sâu lấy mẫu đến 2 m. Sử dụng loại xiên lấy mẫu dài trên 2 m. Đánh dấu vị trí các điểm lấy mẫu thóc trong suốt thời gian bảo quản.
- Lấy mẫu áp dụng đối với ngăn/lô thóc bảo quản đóng bao như sau:
+ Đối với lô thóc có số lượng đến 150 tấn:
Mẫu được lấy tại 4 mặt xung quanh của lô thóc, sử dụng xiên lấy mẫu dài 30 cm ÷ 40 cm. Hai mặt có diện tích nhỏ lấy mẫu mỗi mặt tại 2 khu vực khác nhau đại diện cho phía trên và phía giáp nền. Hai mặt có diện tích lớn lấy mẫu mỗi mặt tại 3 khu vực: phía trên, giữa và giáp nền. Mỗi lô thóc lấy 10 khu vực, mỗi khu vực lấy 3 bao sát nhau, mỗi bao lấy 0,1 kg.
Sơ đồ lấy mẫu lô thóc đóng bao có số lượng đến 150 tấn (2/4 mặt): 10 khu vực

+ Đối với lô thóc có số lượng trên 150 tấn đến 300 tấn:
Mẫu được lấy tại 4 mặt xung quanh của lô thóc, sử dụng xiên lấy mẫu dài 30 cm ¸ 40 cm. Hai mặt có diện tích nhỏ lấy mẫu mỗi mặt tại 3 khu vực khác nhau đại diện cho phía trên, giữa và phía giáp nền. Hai mặt có diện tích lớn, lấy mẫu 5 khu vực: 2 khu vực giáp nền, 2 khu vực phía trên và 1 khu vực giữa. Mỗi lô thóc lấy 16 khu vực, mỗi khu vực lấy 2 bao sát nhau, mỗi bao lấy 0,1 kg.
Sơ đồ lấy mẫu lô thóc đóng bao có số lượng trên 150 tấn đến 300 tấn (2/4 mặt): 16 khu vực

3.1.2. Chuẩn bị mẫu thử nghiệm
Từ mẫu ban đầu lấy theo điểm 3.1.1 lấy ra 3 kg mẫu chung. Dùng dụng cụ chia mẫu để lấy 1,5 kg làm mẫu thử nghiệm, 1,5 kg còn lại dùng làm mẫu lưu.
3.2. Phương pháp thử các chỉ tiêu chất lượng của thóc
Tiến hành xác định mẫu thử theo Phụ lục A Sơ đồ Quy trình phân tích thóc.
3.2.1. Đánh giá cảm quan
Trong thời gian chuẩn bị mẫu quan sát màu sắc, trạng thái, ngửi mùi của thóc, kiểm tra côn trùng, nhện nhỏ, các sinh vật hại khác và ghi chép lại tất cả các nhận xét.
3.2.2. Xác định độ ẩm
Xác định độ ẩm: Thực hiện theo ISO 712: 2009 Cereals and cereal products - Determination of moisture content - Routine reference method (Ngũ cốc và các sản phẩm ngũ cốc - Xác định độ ẩm - Phương pháp đối chứng thông dụng) hoặc có thể sử dụng phương pháp xác định độ ẩm khác cho kết quả có độ chính xác tương đương hoặc cao hơn.
3.2.2.1. Dụng cụ và thiết bị
- Máy xay phòng thí nghiệm.
- Cân phân tích, có độ chính xác đến 0,001 g.
- Chén cân bằng kim loại hoặc bằng thủy tinh, có nắp đậy kín.
- Tủ sấy, có thể khống chế được nhiệt độ ở 130°C đến 133°C.
- Bình hút ẩm.
- Máy (cối) nghiền, có các đặc tính sau:
+ Làm bằng vật liệu không hút ẩm.
+ Dễ làm sạch, có dung tích vừa với lượng mẫu cân.
+ Có khả năng nghiền nhanh và cho kích thước hạt sau khi nghiền đồng đều, không sinh nhiệt đáng kể và kín (không tiếp xúc với không khí bên ngoài).
+ Có khả năng điều chỉnh để hạt sau khi nghiền lọt hết qua sàng lỗ vuông kích thước 1,7 mm x 1,7 mm.
3.2.2.2. Cách tiến hành
Điều chỉnh máy (cối) nghiền để nhận được hạt sau khi nghiền lọt hết qua sàng lỗ vuông có kích thước 1,7 mm x 1,7 mm. Từ phần mẫu thử 1 đã loại bỏ tạp chất, nghiền 1 lượng mẫu nhỏ và bỏ đi. Sau đó tiến hành nghiền nhanh và cân ngay khoảng 5 g mẫu thử. Cân lượng mẫu đã nghiền với độ chính xác đến 0,001 g. Cho vào chén cân có nắp (chén cân và nắp đã được sấy trước đến khối lượng không đổi và cân với độ chính xác đến 0,001 g). Mở nắp chén cân rồi đặt chén cân vào trong tủ sấy, (nắp để bên cạnh trong tủ sấy). Tiến hành sấy mẫu ở nhiệt độ 130°C đến 133°C trong vòng 120 min (± 5 min) kể từ khi tủ sấy đạt được 130°C đến 133°C.
Lấy nhanh chén cân ra khỏi tủ sấy, đậy nắp và đặt vào bình hút ẩm. Sau khoảng 30 min đến 45 min khi chén nguội đến nhiệt độ phòng thì đem cân với độ chính xác đến 0,001 g.
Độ ẩm của thóc (W) tính bằng phần trăm, được xác định theo công thức:

Trong đó:
m1 là khối lượng mẫu trước khi sấy, tính bằng gam;
m2 là khối lượng mẫu sau khi sấy, tính bằng gam.
Kết quả phép thử có sai số cho phép:
Nếu chênh lệch kết quả độ ẩm của hai lần nhắc lại không vượt quá 0,2 % thì kết quả trung bình của hai lần nhắc lại được báo cáo.
Nếu kết quả của hai lần nhắc lại vượt quá sai số cho phép này thì phải thực hiện lại phép thử.
+ Nếu kết quả hai lần nhắc lại của phép thử thứ hai nằm trong sai số cho phép thì kết quả trung bình của hai lần nhắc lại này được báo cáo.
+ Nếu kết quả của hai lần nhắc lại này vẫn vượt quá sai số cho phép thì kiểm tra xem kết quả trung bình của hai phép thử có nằm trong sai số cho phép (0,2 %) hay không. Nếu hai kết quả trung bình của hai phép thử nằm trong sai số cho phép thì báo cáo kết quả trung bình này, nếu không thì phải kiểm tra lại thiết bị, các thủ tục tiến hành và thực hiện lại từ đầu.
3.2.3. Xác định hạt rạn nứt
3.2.3.1. Dụng cụ
- Cân kỹ thuật có độ chính xác đến 0,01g.
- Kính lúp.
3.2.3.2. Tiến hành
Từ phần mẫu thử 1, sau khi loại tạp chất, cân 10 g thóc với độ chính xác đến 0,01 g, tiến hành bóc vỏ trấu bằng tay sau đó dùng kính lúp tách những hạt gạo lật có vết rạn nứt, gãy và cân chính xác đến 0,01 g.
3.2.3.3. Tính toán và biểu thị kết quả
Tỷ lệ hạt rạn nứt, X1 được tính bằng phần trăm khối lượng, theo công thức

Trong đó:
m1 là khối lượng hạt rạn nứt, tính bằng gam (g);
mts là khối lượng thóc sạch, tính bằng gam (g).
Kết quả phép thử là giá trị trung bình của hai lần xác định song song trên cùng một mẫu thử khi chênh lệch giữa hai kết quả không vượt quá 1 % giá trị trung bình. Biểu thị kết quả đến một chữ số thập phân.
3.2.4. Xác định tạp chất
3.2.4.1. Dụng cụ
- Cốc thủy tinh, chổi quét phải khô, sạch.
- Sàng có kích thước lỗ sàng 1,60 mm x 20,00 mm có đáy thu nhận và nắp đậy.
- Cân kỹ thuật, có độ chính xác đến 0,01 g.
3.2.4.2. Cách tiến hành
Từ phần mẫu thử 2, cân 500 g mẫu với độ chính xác đến 0,01 g, cho lên sàng khô sạch có kích thước lỗ sàng 1,60 mm x 20,00 mm, có đáy thu nhận và nắp đậy. Sàng lắc tròn bằng tay với tốc độ từ 100 r/min đến 120 r/min trong 2 min, sau mỗi phút lại đổi chiều quay. Đổ toàn bộ phần còn lại trên sàng vào khay men trắng. Nhặt các tạp chất vô cơ và hữu cơ ở trên sàng gộp với phần tạp chất nhỏ dưới sàng cho vào cốc thủy tinh khô sạch, đã biết khối lượng. Cân toàn bộ khối lượng tạp chất, chính xác đến 0,01 g.
3.2.4.3. Tính toán và biểu thị kết quả
Tạp chất của thóc (Xtc), tính bằng phần trăm khối lượng, xác định theo công thức:

Trong đó:
mtc là khối lượng tạp chất, tính bằng gam;
m là khối lượng mẫu thử, tính bằng gam.
Kết quả phép thử là giá trị trung bình của hai lần xác định song song trên cùng một mẫu thử khi chênh lệch giữa hai kết quả không vượt quá 1 % giá trị trung bình. Biểu thị kết quả đến một chữ số thập phân.
3.2.5. Xác định tỷ lệ gạo lật
3.2.5.1. Dụng cụ
- Máy xay phòng thí nghiệm;
- Cân kỹ thuật có độ chính xác đến 0,01 g.
3.2.5.2. Tiến hành
Dùng cân kỹ thuật để cân khoảng 200 g mẫu thóc sạch (đã loại bỏ tạp chất) thu được theo 3.2.4, cân chính xác đến 0,01 g, tiến hành tách vỏ trấu bằng máy xay phòng thử nghiệm. Tách những hạt thóc chưa bóc hết vỏ trấu và xay lại. Cân khối lượng gạo lật sạch thu được, chính xác đến 0,01 g.
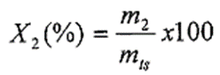
3.2.5.3. Tính toán và biểu thị kết quả
Tỷ lệ gạo lật, X2, được tính bằng phần trăm khối lượng gạo lật trên khối lượng thóc đã loại bỏ tạp chất, theo công thức:

Trong đó:
m2 là khối lượng gạo lật, tính bằng gam (g);
mts là khối lượng thóc sạch, tính bằng gam (g).
Kết quả phép thử là giá trị trung bình của hai lần xác định song song trên cùng một mẫu thử khi chênh lệch giữa hai kết quả không vượt quá 1% giá trị trung bình. Biểu thị kết quả đến một chữ số thập phân.
3.2.6. Xác định hạt lẫn loại
3.2.6.1. Dụng cụ
Cân kỹ thuật, có độ chính xác đến 0,01 g.
3.2.6.2. Cách tiến hành
Sau khi xác định tỷ lệ gạo lật theo 3.2.5, tách riêng các hạt gạo lật nguyên và cân với độ chính xác đến 0,01 g. Nhặt riêng các hạt có kích thước và hình dạng khác rõ với những hạt trong nhóm hạt chính và cân, chính xác đến 0,01 g.
3.2.6.3. Biểu thị kết quả
Hạt lẫn loại (XLL), tính bằng phần trăm khối lượng, xác định theo công thức:

Trong đó:
m1 là khối lượng gạo lật nguyên, tính bằng gam (g);
m2 là khối lượng hạt khác loại, tính bằng gam (g).
Kết quả phép thử là giá trị trung bình của hai lần xác định song song trên cùng một mẫu thử khi chênh lệch giữa hai kết quả không vượt quá 1 % giá trị trung bình. Biểu thị kết quả đến một chữ số thập phân.
3.2.7. Phân loại thóc
3.2.7.1. Dụng cụ
Dụng cụ đo kích thước hạt, có thể đo chính xác đến 0,01 mm.
3.2.7.2. Cách tiến hành
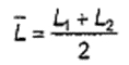
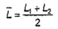
Nhặt một cách ngẫu nhiên 2 mẫu, mỗi mẫu 100 hạt gạo lật nguyên vẹn thu được ở 3.2.6. Dùng dụng cụ đo kích thước hạt tiến hành đo chiều dài của từng hạt, tính bằng mm. Tính giá trị chiều dài trung bình hạt của mỗi mẫu (L1 và L2).
3.2.7.3. Tính kết quả
Chiều dài trung bình hạt được tính theo công thức:

Nếu giá trị
lớn hơn 2 thì trả lại toàn bộ số hạt vào khay và tiến hành lặp lại theo 3.2.7.2.
3.2.8. Xác định hạt hư hỏng, hạt đỏ, hạt xanh non, hạt vàng, hạt bạc phấn
3.2.8.1. Dụng cụ
- Máy xay phòng thí nghiệm.
- Khay men trắng.
- Cốc thủy tinh.
- Thiết bị xát phòng thí nghiệm.
- Cân kỹ thuật, có độ chính xác đến 0,01 g.
3.2.8.2. Tiến hành
Từ phần mẫu thử 3, cân 100 g thóc, chính xác đến 0,01 g, dàn mỏng mẫu trên khay men trắng loại bỏ tạp chất vô cơ. Dùng máy xay phòng thí nghiệm để tiến hành tách vỏ trấu. Dàn đều mẫu gạo lật thu được trên khay men trắng, quan sát, phân loại hạt bằng cách nhặt vào các cốc thủy tinh sạch đã biết khối lượng từng loại hạt: hạt hư hỏng, hạt đỏ, hạt xanh non. Tiếp tục cho số gạo lật này xát trắng ở mức bình thường bằng thiết bị xát phòng thí nghiệm, đưa lên khay men trắng quan sát, phân loại hạt bằng cách nhặt vào các cốc thủy tinh sạch đã biết khối lượng từng loại hạt: Hạt bạc phấn, hạt vàng. Cân riêng từng loại hạt với độ chính xác đến 0,01 g.
3.2.8.3. Tính toán và biểu thị kết quả
Phần trăm từng loại hạt được tính theo công thức:
Hạt hư hỏng/hạt đỏ/hạt xanh non X1; Hạt vàng/ hạt bạc phấn X2, được tính bằng phần trăm khối lượng, xác định theo công thức:

Trong đó:
m là khối lượng gạo lật của mẫu, tính bằng gam (g);
a1 là khối lượng hạt hư hỏng/hạt đỏ/hạt xanh non, tính bằng gam (g);
ai là khối lượng hạt vàng/hạt bạc phấn, tính bằng gam (g);
m1 là khối lượng phần gạo trắng thu được sau khi xát trắng ở mức bình thường, tính bằng gam (g).
Kết quả phép thử là giá trị trung bình của hai lần xác định song song trên cùng một mẫu thử khi chênh lệch giữa hai kết quả không vượt quá 1 % giá trị trung bình. Biểu thị kết quả đến một chữ số thập phân (riêng chỉ tiêu hạt vàng biểu thị kết quả đến hai chữ số thập phân).
4. QUY ĐỊNH VỀ CÔNG NGHỆ BẢO QUẢN, QUY TRÌNH NHẬP, XUẤT
4.1. Về công nghệ bảo quản
Thóc lưu kho dự trữ quốc gia được bảo quản theo công nghệ bảo quản kín, thóc được bọc trong túi nhựa Polyvinylclorua (PVC) với 2 phương pháp là bảo quản trong điều kiện áp suất thấp, duy trì ở mức chênh lệch cột nước trên áp kế là 10 mm (áp suất âm tối thiểu 98 Pa) và bảo quản bổ sung khí N2 duy trì nồng độ ≥ 98%, nhằm giảm đến mức thấp nhất nồng độ khí ôxy trong lô thóc ≤ 2%, hạn chế quá trình ôxy hóa làm suy giảm chất lượng thóc và các hoạt động sống của côn trùng, vi sinh vật. Thóc được bảo quản theo 2 hình thức là đổ rời và đóng bao.
4.2. Yêu cầu đối với vật tư, thiết bị, dụng cụ
4.2.1. Đối với vật tư, thiết bị, dụng cụ bảo quản thóc
- Vật tư, dụng cụ kê lót phải đảm bảo yêu cầu: Khô sạch, chắc chắn, chịu lực khối hạt, không lọt thóc, không làm ảnh hưởng xấu đến chất lượng thóc.
- Các dụng cụ, thiết bị: Xiên lấy mẫu, thiết bị đo nhiệt độ và độ ẩm lô thóc...thích hợp để sử dụng đối với điều kiện bảo quản thóc.
- Thiết bị hút khí: có công suất đảm bảo hút được không khí trong lô thóc đạt áp suất âm tối thiểu là 1000 Pa (Pascan).
- Thiết bị xác định độ kín khí: Bằng áp kế (manomet) có cấu tạo là một ống thủy tinh hoặc ống nhựa trong suốt được uốn theo hình chữ U. Mỗi nhánh dài từ 30 cm đến 35 cm, đường kính lỗ 5 mm. Giữa hai nhánh đặt một thước chia vạch tới mm. Đổ nước đến giữa thân ống; vị trí mực nước thăng bằng giữa hai thân ống tương ứng với vạch số 0 của thước (nên pha màu vào nước để dễ quan sát). Toàn bộ ống và thước được gắn cố định trên tấm gỗ có giá đỡ hoặc có móc để treo. Áp kế (Manomet) đảm bảo đo được áp suất trong lô thóc với mức sai số cho phép ± 2%.
- Vòi dẫn khí là một ống nhựa dẻo đường kính từ 0,5 cm đến 1 cm. Một đầu gắn vào đỉnh lô thóc, đầu còn lại gắn vào áp kế để kiểm tra áp suất trong lô thóc.
- Cân, máy đo nhanh thủy phần, thiết bị đo nồng độ khí N2 phải được kiểm định còn hiệu lực.
- Màng PVC bảo quản thóc có độ dày (0,5 ± 0,03) mm.
- Palet được sử dụng trong trường hợp điều kiện kho tàng chưa đảm bảo, nền kho ẩm thấp, palet phải khô, sạch, được xử lý sát trùng trước khi kê, xếp thóc, chịu tải trọng tối thiểu 3 tấn/m2, không gây xước, rách màng PVC.
4.2.2. Khí N2 dùng trong bảo quản thóc
- Khí N2: Loại N2 kỹ thuật có hàm lượng khí N2 cao nhất quy định tại TCVN 3286 - 79 Nitơ kỹ thuật.
- Khí N2 đảm bảo đủ về số lượng và chất lượng để nạp vào lô thóc sau khi lô thóc đã đạt yêu cầu về độ kín.
4.2.3. Túi chính bảo quản
Túi chính bảo quản để bọc kín lô thóc được gia công từ màng PVC. Màng PVC được gắn kết với nhau bằng keo dán PVC hoặc bằng các thiết bị dán nhiệt chuyên dụng theo kích thước của lô thóc, đảm bảo độ kín các đường dán trong quá trình gắn kết các tấm màng PVC với nhau.
4.2.4. Túi bảo vệ
- Đối với thóc đổ rời: Túi bảo vệ được gia công từ bạt PP (polypropylen) và không gây ảnh hưởng xấu đến chất lượng thóc trong quá trình bảo quản. Túi bảo vệ gồm 2 lớp (lớp túi bảo vệ ngoài tiếp xúc với tường, nền kho; lớp túi bảo vệ trong tiếp xúc với thóc) để giữ cho túi chính không bị xây xước, rách thùng trong quá trình nhập, bảo quản và xuất thóc. Kích thước túi bảo vệ ngoài và túi bảo vệ trong phù hợp với kích thước túi chính, chiều cao túi bảo vệ trong lớn hơn chiều cao lô thóc 30 cm đến 40 cm.
- Đối với thóc đóng bao: túi bảo vệ gồm hai lớp bạt PP ở trên và dưới tấm sàn (màng PVC).
4.2.5. Hệ thống ống dẫn, hút khí
- Ống hút khí: Dùng để chuyển dòng khí trong khối thóc ra ngoài. Ống hút khí làm bằng ống nhựa PVC cứng, có đường kính 3,4 cm; một đầu ống nối với ống dẫn khí bằng cút thu, phần ống bên ngoài lô thóc tạo thành cửa hút khí dài khoảng 30 cm có gắn van khóa khí cách cửa hút từ 10 cm đến 15 cm. Cửa hút khí có đường kính phù hợp đảm bảo độ kín khít khi nối với thiết bị hút khí. Tùy theo kích thước kho và khối lượng thóc chứa có thể bố trí một hoặc hai cửa hút khí cho một lô thóc.
- Ống dẫn khí đối với thóc đổ rời: Được đặt trong lô thóc nhằm tạo các khoảng trống, thoáng và lưu thông khí khi hút, nạp khí. Ống dẫn khí làm bằng ống nhựa PVC cứng có đường kính từ 10 cm đến 20 cm; các lỗ thoáng được tạo (bằng cách khoan hoặc xẻ rãnh) suốt chiều dài của thân ống với mật độ và kích thước lỗ phù hợp đảm bảo hút, nạp khí thuận lợi đồng thời không để hạt thóc lọt vào trong ống.
Hệ thống ống hút khí đảm bảo không bị gãy, bẹp và biến dạng dưới tác động của quá trình nhập, xuất, bảo quản; dễ gia công (cắt, khoan lỗ, ghép nối...).
4.2.6. Bao bì đóng gói bảo quản thóc đóng bao
Thóc dự trữ quốc gia được đóng bằng bao PP và được khâu hoặc máy miệng bao đảm bảo chắc chắn, khối lượng tối thiểu 45 kg một bao. Bao PP chứa thóc đồng màu được dệt từ sợi polypropylen, đảm bảo mới, bền chắc, khô sạch, không mốc, không nhiễm sâu, mọt, hóa chất, không có mùi lạ; kích thước bao: dài (1050 ± 10) mm, rộng (600 ± 10) mm; khối lượng một vỏ bao: (120 ± 10)g.
4.3. Quy trình nhập kho
4.3.1. Chuẩn bị kho
- Cải tạo, sửa chữa kho phù hợp, thuận tiện cho việc định hình lô hàng.
- Làm phẳng nền kho, tường kho.
- Hoàn thiện hệ thống chống chim, chuột.
- Vệ sinh và sát trùng kho.
4.3.2. Kỹ thuật định hình gia công túi chính và túi bảo vệ
4.3.2.1. Đối với thóc đóng bao
- Túi chính bảo quản kín lô thóc bao gồm tấm sàn và tấm phủ (gồm mặt trên và bốn mặt xung quanh lô thóc). Chiều dài và chiều rộng túi lớn hơn kích thước khối hạt 20 cm, chiều cao túi lớn hơn từ 20 cm đến 30 cm so với chiều cao khối hạt.
Tấm phủ được gắn với tấm sàn khi nhập đầy lô. Vòi dẫn khí một đầu gắn vào đỉnh lô thóc, đầu còn lại gắn vào áp kế để kiểm tra áp suất trong lô thóc.
- Lắp đặt ống hút khí
Lắp đặt ống hút khí: Đặt ống hút khí chính giữa lô phía cửa kho cách nền kho từ 10 cm đến 30 cm, xuyên qua tấm phủ. Phần ống ngoài lô thóc dài từ 30 cm đến 40 cm, có một van khóa khí cách miệng ống từ 10 cm đến 15 cm, phần ống còn lại 2m nằm trong lô thóc được khoan các hàng lỗ so le dọc theo ống, đường kính lỗ khoan 0,5 cm, khoảng cách giữa 2 lỗ trong cùng hàng khoảng 10 cm để giúp cho việc hút khí nhanh.
Phần màng PVC tiếp xúc với ống phải kín, không bị bong trong suốt thời gian bảo quản.
4.3.2.2. Đối với thóc đổ rời
- Túi chính bảo quản:
+ Màng PVC được gia công hoàn chính thành túi có 5 mặt hoặc gia công thành từng phần (gồm các mặt xung quanh và đáy lô thóc) để tiện điều chỉnh. Chiều dài và chiều rộng túi chính theo đúng kích thước khối hạt; riêng chiều cao túi lớn hơn từ 20 cm đến 30 cm so với chiều cao khối hạt.
+ Tấm phủ được gắn kín sau khi lô thóc hoàn thành thủ tục nhập đầy lô. Kích thước tấm phủ bằng bề mặt khối hạt; các điểm lấy mẫu thóc được đánh dấu vị trí.
- Túi bảo vệ có 5 mặt gồm 2 lớp (lớp túi bảo vệ ngoài tiếp xúc với tường, nền kho; lớp túi bảo vệ trong tiếp xúc với thóc). Kích thước túi bảo vệ ngoài và túi bảo vệ trong phù hợp với kích thước túi chính, đảm bảo lồng khít túi chính ở giữa.
- Treo, cố định các lớp túi
+ Túi bảo vệ ngoài: Treo và cố định lên tường kho (mặt trước khi nhập đầy kho mới treo để thuận tiện cho việc nhập thóc).
+ Túi chính bảo quản: Đặt trong túi bảo vệ ngoài; điều chỉnh và cố định miệng túi chính vào vị trí đã định ở tường kho (dán kín mặt đáy vào thành túi nếu trước đó để rời từng bộ phận). Kiểm tra độ kín toàn bộ túi chính và xử lý những chỗ hở, rách thủng, xước.
+ Túi bảo vệ trong: Đặt bên trong túi chính và cố định theo các vị trí tương ứng của túi chính.
- Lắp đặt ống dẫn khí và ống hút khí
Lô thóc có khối lượng đến 150 tấn lắp đặt hệ thống ống dẫn, hút khí 1 tầng; các lô thóc có khối lượng trên 150 tấn trở lên lắp đặt hệ thống ống dẫn khí, hút khí 2 tầng, tầng dưới trong phạm vi 1/3 chiều cao phía dưới lô, tầng trên trong phạm vi 1/3 chiều cao phía trên lô. Số lượng ống dẫn khí và ống hút khí tùy thuộc vào kích thước loại hình kho, khối lượng lô thóc. Các ống dẫn khí có thể lắp đặt trước khi đổ thóc hoặc sau khi thóc được đổ tới độ cao đã định rồi lắp đặt.
Có 2 kiểu đặt ống dẫn khí: Kiểu song song và kiểu xương cá (xem hình vẽ mô tả).
+ Kiểu song song: Các ống dẫn khí được đặt song song với tường kho hướng ra phía cửa. Độ dài mỗi ống nhỏ hơn chiều dài lô thóc 2 m (cách tường mỗi đầu 1 m). Ống hút khí đặt cách tường bên từ 1 m đến 1,5 m, các ống cách nhau khoảng 3 m.
+ Kiểu xương cá (ít phổ biến hơn): Yêu cầu các ống được lắp đặt phân bố tương đối đều theo mặt phẳng ngang.
- Lắp đặt ống hút, tạo cửa hút khí: Ống hút khí được nối thông với ống dẫn khí bằng cút thu. Lắp van khóa khí vào phần ống hút ở phần ngoài lô cách cửa hút từ 10 cm đến 15 cm. Các lô thóc có tích lượng trên 150 tấn trở lên có thể bố trí hai cửa hút khí để tiện cho việc hút khí giải phóng nhiệt, ẩm ra khỏi lô thóc trong quá trình bảo quản.
Mô hình hệ thống ống dẫn, hút khí trong các kho:
Hình 1: Mô hình kiểu một cửa hút khí song song

Hình 2: Mô hình kiểu hai cửa hút khí song song

Hình 3: Mô hình kiểu xương cá

4.3.3. Cân nhập
- Thóc nhập kho phải qua cân 100 %. Đưa hàng lên cân phải nhẹ nhàng, khối lượng một mã cân không được quá tải trọng cho phép đối với cân.
- Thủ kho phải theo dõi, ghi chép đầy đủ, chính xác khối lượng thóc cân nhập theo quy định.
- Thóc đã qua cân được chuyển thẳng vào kho, không để ảnh hưởng đến màng. Việc đổ/chất xếp thực hiện theo hướng dẫn đảm bảo quy cách.
4.3.4. Kê xếp thóc trong kho
- Thóc bảo quản đổ rời: Độ cao khối hạt tối đa 3,5 m; chiều cao đỉnh khối hạt đảm bảo cách trần kho ít nhất 1,7 m, khối lượng một lô không quá 300 tấn. Yêu cầu trong quá trình nhập kho cần giữ cho khối hạt không bị lèn, nén chặt.
- Thóc bảo quản ở dạng đóng bao: Các bao thóc được xếp ngay ngắn tạo thành lô, từ 5 đến 6 lớp bao xếp giật lùi vào ít nhất 0,1 m tạo thành một cấp, trong mỗi lớp, các bao được xếp cài khóa vào nhau đảm bảo lô thóc không bị nghiêng, đổ trong quá trình bảo quản, chiều cao tối đa không quá 4 m, khối lượng một lô không quá 300 tấn. Lô thóc phải cách tường tối thiểu 0,5 m, đỉnh lô thóc đảm bảo cách trần kho tối thiểu 1,7 m, các lô cách nhau tối thiểu 1 m. Tạo các giếng và rãnh thông thoáng trong khi chất xếp; Lô chất xếp có khối lượng đến 100 tấn không cần tạo giếng; lô trên 100 tấn đến 150 tấn cần tạo 01 giếng; lô trên 150 tấn đến 300 tấn cần tạo 2 giếng. Giếng được tạo từ lớp bao đầu tiên tới đỉnh lô, kích thước giếng 1 m x 1 m. Theo độ cao lô thóc cần tạo 3 tầng rãnh đều nhau. Các rãnh được tạo theo cả 2 chiều rộng và dài của lô thông với giếng, kích thước của rãnh 0,3 m x 0,3 m.
4.4. Bảo quản thóc trong kho
4.4.1. Làm kín lô thóc
- Tại các điểm đã đánh dấu để lấy mẫu thóc trên tấm phủ, khoét lỗ đặt các đoạn ống nhựa cứng dài từ 25 cm đến 30 cm đối với thóc đổ rời (đối với thóc đóng bao không cần tạo các điểm lấy mẫu) đảm bảo thuận tiện cho việc lấy mẫu và kiểm tra, xử lý khi lô thóc có sự cố. Một đầu ống cắm vào lô thóc, đầu trên nhô lên khỏi mặt tấm phủ khoảng 5 cm có nắp chụp hoặc tạo ren, đảm bảo độ kín khí.
- Làm kín túi chính (dán tấm phủ vào các mặt xung quanh), kiểm tra kỹ các đường dán.
- Lắp áp kế (manomet).
- Lắp vòi dẫn khí để thử độ kín khí. Một đầu gắn vào chính giữa đỉnh lô thóc, đầu còn lại ở chân lô gắn vào áp kế để đo áp lực lô thóc.
- Trong thời gian chuẩn bị phủ màng, lô thóc cần tăng cường thông thoáng tránh hiện tượng bốc nóng.
4.4.2. Phương pháp thử độ kín của lô thóc
- Gắn áp kế vào vòi dẫn khí (đã được nối thông với lô thóc ở đỉnh lô và kéo dài xuống chân lô).
- Cho máy hút khí hoạt động và thường xuyên theo dõi mức nước ở áp kế. Hút khí lô thóc tới mức chênh lệch cột nước trên áp kế là 100 mm (áp suất âm 980,7 Pa) khóa van ở cửa hút khí đồng thời tắt máy.
- Theo dõi ghi chép:
+ Sau khi khóa van, chờ 5 min để ổn định, ghi lại mức cột nước trên áp kế và bấm đồng hồ theo dõi thời gian di chuyển của cột nước.
+ Xác định khoảng thời gian độ chênh cột nước trên áp kế giảm xuống còn 85 mm (áp suất âm 833,6 Pa). Khoảng thời gian đó đạt mức từ 40 min trở lên thì lô thóc được coi là đảm bảo độ kín, nếu ở mức dưới 40 min thì cần tiến hành các biện pháp kiểm tra xử lý.
Việc thử độ kín lô thóc tiến hành lặp lại 3 lần.
- Kiểm tra và xử lý màng bị thủng, hở: Để dò tìm các điểm thủng, hở gây lọt khí cần chọn thời điểm yên tĩnh; hút khí tới mức chênh lệch cột nước trên áp kế là 100 mm (áp suất âm 980,7 Pa); tập trung lắng nghe hoặc có thể dùng các thiết bị khuyếch đại âm thanh thông thường để kiểm tra phát hiện, xử lý. Trước hết phải kiểm tra lại toàn bộ các vị trí lộ diện ở xung quanh lô thóc (cần chú ý kiểm tra ở các mối dán ghép, cửa hút nạp khí, điểm góc).
Trường hợp sau khi kiểm tra vẫn không phát hiện được điểm rò thủng thì tiến hành bốc dỡ từng phần lô thóc để tìm phát hiện chỗ hở, xử lý làm kín.
4.4.3. Hút khí trong quá trình bảo quản thóc đối với bảo quản áp suất thấp
- Ba tháng đầu bảo quản (tính từ khi phủ màng làm kín lô thóc): Hút khí lô thóc tới mức chênh lệch cột nước trên áp kế là 100 mm (áp suất âm 980,7 Pa) và thường xuyên duy trì áp suất trong lô thóc tối thiểu mức chênh lệch cột nước trên áp kế là 20 mm (áp suất âm 196 Pa).
- Từ tháng thứ tư đến khi xuất kho: Hút khí lô thóc tới mức chênh lệch cột nước trên áp kế là 100 mm (áp suất âm 980,7 Pa); khi áp suất trong lô thóc giảm còn mức chênh lệch cột nước trên áp kế là 10 mm (áp suất âm 98 Pa) thì tiếp tục hút khí như trên.
Lưu ý:
+ Từ khi nhập đầy lô đến khi bọc kín lô thóc cần tăng cường thông gió cưỡng bức nhằm giảm nhanh nhiệt độ, độ ẩm do các hoạt động sinh lý của thóc gây ra.
+ Thường xuyên duy trì mức chênh lệch cột nước trên áp kế tối thiểu là 10 mm (áp suất âm trong lô thóc tối thiểu là 98 Pa).
4.4.4. Hút khí tăng cường và nạp khí N2 đối với bảo quản bổ sung khí N2
4.4.4.1. Hút khí tăng cường
Lô thóc sau khi thử và kiểm tra độ kín đảm bảo yêu cầu thì thực hiện tăng cường hút khí trong lô thóc ra ngoài nhằm giảm nhiệt, ẩm lô thóc và ổn định lô thóc, theo dõi độ kín lô thóc. Thực hiện hút không khí trong lô thóc ra ngoài khoảng 5 lần đến 7 lần (chọn thời điểm khô ráo trong ngày hút khí tới mức cho phép, hút khí sau khi cột nước của áp kế về mức cân bằng).
4.4.4.2. Nạp khí N2
- Chỉ nạp khí N2 khi kiểm tra ngăn/lô kho thóc đảm bảo độ kín, thóc đã ổn định: nhiệt độ trong lô thóc không vượt quá 32°C, độ ẩm của lô thóc bảo quản tại miền Nam không lớn hơn 14,5 %, miền Bắc và miền Trung không lớn hơn 14%.
- Thao tác nạp khí N2:
+ Ngay trước khi nạp khí phải hút không khí trong lô thóc cho tới khi độ chênh lệch mức nước trên áp kế đạt 100 mm.
+ Bình chứa khí được để chắc chắn, không để vỏ bình tựa vào lô thóc.
+ Tháo áp kế ra khỏi vòi dẫn khí và nút kín vòi dẫn khí khi nạp khí.
+ Nối ống dẫn khí vào cửa nạp khí và bình chứa khí, các điểm nối phải chắc chắn đảm bảo kín khí.
+ Thao tác nạp: Nạp liên tục từ từ khí N2 vào lô thóc. Khi khối lượng khí nạp đến 0,6kg N2/tấn thóc mà màng phủ phồng căng thì tạm dừng nạp khí, chờ N2 thấm vào lô thóc thì tiến hành kiểm tra nồng độ khí N2 (đối với thóc đổ rời tiến hành nạp khí nhiều lần). Nếu nồng độ khí N2 dưới 98% thì tiếp tục nạp bổ sung số lượng khí còn lại theo định mức 0,8 kg N2/tấn thóc. Trường hợp nồng độ khí vẫn chưa đạt 98% cần kiểm tra độ kín của lô thóc, phát hiện các điểm rò, rỉ khí.
+ Đo và ghi lại nồng độ khí N2 sau khi kết thúc đợt nạp (sau 10-15 ngày để khí N2 thẩm thấu vào lô thóc mới đo nồng độ khí).
4.4.4.3. Yêu cầu nồng độ khí Nitơ trong quá trình bảo quản: Nồng độ khí N2 sau khi nạp cần đạt ở mức ≥ 98% tương đương với lượng khí tối đa 0,8kg/tấn. Khi nồng độ N2 giảm xuống dưới 98% cần nạp bổ sung để đảm bảo duy trì ở mức ≥ 98%.
4.4.5. Một số chỉ tiêu cơ bản đánh giá lô thóc bảo quản an toàn
- Độ ẩm khối hạt:
+ Độ ẩm của thóc bảo quản tại miền Bắc, miền Trung không lớn hơn 14,0 %;
+ Độ ẩm của thóc bảo quản tại miền Nam không lớn hơn 14,5 %.
(Tại thời điểm chuyển sang mùa đông, nhiệt độ hạ thấp thì độ ẩm của thóc tăng thêm 0,5%).
- Nhiệt độ của khối hạt không lớn hơn 32 °C (đối với lô thóc mới nhập kho bảo quản từ tháng thứ nhất đến hết tháng thứ 3 nhiệt độ của khối hạt không lớn hơn 35 °C).
- Không có côn trùng sống và nhện nhỏ nhìn thấy bằng mắt thường.
- Nồng độ khí N2 đạt ≥ 98% đối với phương pháp bảo quản kín bổ sung khí N2.
4.4.6. Chế độ vệ sinh
- Vệ sinh lô hàng: Lau sạch màng bằng giẻ mềm.
- Vệ sinh thường xuyên trong kho: Trần, tường, các cửa ra vào, cửa thông gió.
- Vệ sinh ngoài kho: Hàng ngày quét dọn hiên, hè kho, sân kho; hàng tuần dãy cỏ xung quanh kho, dọn sạch máng nước, hệ thống thoát nước quanh kho.
4.4.7. Công tác kiểm tra
4.4.7.1. Kiểm tra hàng ngày
- Đối với thóc bảo quản trong điều kiện áp suất thấp: Hàng ngày theo dõi độ kín của lô thóc; trước mỗi lần hút khí ghi chép mức độ chênh lệch cột nước.
- Đối với thóc bảo quản bổ sung khí N2: Kiểm tra phát hiện các diễn biến bất thường về mức độ căng phồng của màng phủ lô thóc. Xác định nguyên nhân màng bị thủng, rò rỉ khí và có giải pháp khắc phục kịp thời.
- Theo dõi và ghi chép nhiệt độ khối hạt và quan sát hiện tượng đọng sương (nếu có).
4.4.7.2. Kiểm tra định kỳ
- Hàng tháng, lấy mẫu kiểm tra các chỉ tiêu cảm quan màu sắc, mùi, côn trùng sống, tình trạng nấm mốc, độ ẩm và hạt vàng của lô thóc.
- Đối với thóc bảo quản bổ sung khí N2: Mỗi tháng kiểm tra nồng độ khí N2 trong lô thóc một lần, theo dõi diễn biến của nồng độ khí có trong lô thóc để kịp thời có biện pháp xử lý.
- Hàng quý, lấy mẫu đưa về đơn vị dự trữ quốc gia kiểm tra các chỉ tiêu cảm quan màu sắc, mùi, côn trùng sống, tình trạng nấm mốc, độ ẩm và hạt vàng của lô thóc.
4.4.7.3. Kiểm tra bất thường
Kiểm tra tình hình chất lượng, công tác bảo quản khi có sự cố xảy ra hoặc theo yêu cầu của cơ quan quản lý cấp trên.
4.4.8. Xử lý phòng, chống đọng sương, chống mốc trong quá trình bảo quản
- Đề phòng nhiệt độ môi trường xuống thấp đột ngột do chuyển mùa, gió lùa qua khe cửa, trước khi có gió lạnh tiến hành đóng kín các cửa kho (cửa thông gió và cửa ra vào), hạn chế giảm nhanh nhiệt độ trong ngăn kho.
- Trường hợp phát hiện lô thóc có hiện tượng bốc nóng điểm, dùng các biện pháp kỹ thuật để xử lý. Đối với thóc bảo quản bổ sung khí N2 khi thóc ổn định kiểm tra nồng độ khí N2, nạp bổ sung đến khi đạt nồng độ quy định.
- Thường xuyên kiểm tra, kịp thời xử lý không để tình trạng đọng sương kéo dài gây men mốc. Trường hợp thóc có hiện tượng bị mốc, phải chuyển ngay số thóc mốc ra ngoài xử lý đồng thời áp dụng các biện pháp kỹ thuật để đưa khối thóc về trạng thái an toàn. Trường hợp lô thóc bị bốc nóng toàn bộ cần phải cắt màng phủ và tăng cường thông thoáng và dùng các biện pháp kỹ thuật để xử lý lô thóc để đưa lô thóc về trạng thái an toàn, tiến hành dán kín và đưa vào quy trình bảo quản theo quy định.
4.4.9. Công tác phòng, trừ sinh vật hại cho khối hạt
Áp dụng các biện pháp phòng trừ tổng hợp trong suốt quá trình bảo quản bao gồm:
4.4.9.1 Biện pháp phòng ngừa
- Trong cùng một nhà kho hay một dãy kho hạn chế để đan xen các ngăn, lô thóc cũ và mới; giữa các ngăn kho phải có vách ngăn đảm bảo hạn chế tối đa sự lây nhiễm của côn trùng.
- Không để bao bì, dụng cụ chứa đựng thóc cùng với các ngăn hoặc lô có thóc; giữ vệ sinh trong và ngoài kho luôn sạch.
- Giữ độ ẩm khối hạt luôn nằm trong giới hạn an toàn nhằm hạn chế điều kiện thuận lợi phát sinh, phát triển của côn trùng và vi sinh vật.
- Phun thuốc bảo vệ thực vật định kỳ một tháng một lần khu vực cửa kho, các khoảng trống trong kho.
4.4.9.2. Diệt trùng thóc bảo quản
Tùy thuộc vào mức độ phát sinh phát triển của côn trùng để quyết định tiến hành diệt côn trùng bằng hóa chất không quá một lần trong thời gian bảo quản; lựa chọn loại hóa chất trong danh mục được phép sử dụng và liều lượng theo quy định.
4.4.10. Phòng, trừ chuột và các sinh vật hại khác
- Đối với chuột hoặc các sinh vật hại khác (mối, chim...), biện pháp chủ yếu là phòng ngừa, kho bảo quản phải có hệ thống ngăn chặn, đảm bảo chống chuột và các sinh vật gây hại khác xuất hiện trong kho.
- Khi phát hiện trong kho có chuột hoặc các sinh vật gây hại khác phải tìm rõ nguyên nhân, khắc phục kịp thời, sử dụng phối hợp mọi biện pháp để tiêu diệt. Khi sử dụng các biện pháp trừ diệt phải đảm bảo vệ sinh môi trường, an toàn thực phẩm.
4.5. Quy trình xuất kho
- Mở van khóa khí để cân bằng áp suất không khí trong và ngoài lô thóc.
- Cắt tấm màng PVC: cắt màng để lô thóc thông thoáng trước khi xuất kho 2 h.
+ Đối với bảo quản thóc đổ rời, cắt xung quanh tường kho phủ trên mặt lô hàng (cắt theo đường dán).
+ Đối với bảo quản thóc đóng bao, cắt xung quanh chân sát với tấm sàn lô hàng (cắt theo đường dán).
- Xuất thóc theo nguyên tắc: Trong một lô xuất theo thứ tự từ trên xuống dưới, từ ngoài vào trong, xuất gọn từng lô.
- Quá trình xuất thóc chú ý bảo vệ các lớp túi và hệ thống ống dẫn, hút khí không bị hư hỏng, túi chính cần lau sạch, gấp gọn và bảo quản nếu còn tái sử dụng.
4.6. Vận chuyển
Trước khi bốc xếp thóc lên các phương tiện vận chuyển hoặc đưa thóc vào kho phải chuẩn bị đầy đủ phương tiện, dụng cụ; hướng dẫn cho người lao động, bảo đảm an toàn con người và hàng hóa trong quá trình làm việc. Các phương tiện vận chuyển thóc phải sạch sẽ và đảm bảo tránh mưa, nắng. Không để thóc chung với hóa chất và các loại hàng hóa khác làm ảnh hưởng đến chất lượng thóc.
4.7. Báo cáo chất lượng thóc
- Chậm nhất một tháng sau khi kết thúc nhập kho, Thủ trưởng đơn vị dự trữ quốc gia chỉ đạo các bộ phận chuyên môn báo cáo chất lượng thóc nhập kho về cơ quan quản lý dự trữ quốc gia chuyên trách.
- Hàng tháng, đơn vị dự trữ quốc gia trực thuộc báo cáo đơn vị dự trữ quốc gia tình hình chất lượng thóc bảo quản trước ngày 25 hàng tháng, riêng tháng cuối của quý báo cáo trước ngày 20 của tháng. Thời gian chốt số liệu tính từ ngày 15 tháng trước đến ngày 14 của tháng thuộc kỳ báo cáo.
- Hàng quý, đơn vị dự trữ quốc gia tổng hợp, báo cáo cơ quan quản lý dự trữ quốc gia chuyên trách tình hình chất lượng thóc bảo quản trước ngày 20 tháng cuối quý. Thời gian chốt số liệu tính từ ngày 15 của tháng trước kỳ báo cáo đến ngày 14 của tháng cuối quý thuộc kỳ báo cáo. Trường hợp đột xuất đơn vị gửi báo cáo riêng.
- Chậm nhất một tháng sau khi kết thúc xuất kho, đơn vị dự trữ quốc gia gửi báo cáo chất lượng thóc xuất kho và báo cáo tình hình hao hụt thóc về cơ quan quản lý dự trữ quốc gia chuyên trách.
Báo cáo được gửi bản giấy qua dịch vụ bưu chính và bản điện tử qua hệ thống quản lý nghiệp vụ dự trữ quốc gia.
Các biểu mẫu báo cáo theo phụ lục C, D, E, G, H.
5. QUY ĐỊNH VỀ QUẢN LÝ
5.1. Yêu cầu về nhà kho
- Kho bảo quản thóc dự trữ phải là loại kho kín, mái che chống nắng, mưa, gió, bão... đảm bảo ngăn được tác động trực tiếp của các yếu tố thời tiết.
- Tường và nền kho không bị thấm, ẩm ướt, đọng sương trong mùa mưa ẩm, mặt nền kho đảm bảo phẳng, nhẵn, chịu tải trọng tối thiểu 3 tấn/m2.
- Hệ thống cửa kho phải đảm bảo kín và ngăn ngừa động vật gây hại và côn trùng, vi sinh vật hại lây nhiễm, thuận tiện khi thông gió tự nhiên.
- Kho chứa thóc phải thường xuyên sạch, trong kho không có mùi lạ; xung quanh kho phải quang đãng, đảm bảo thoát nước tốt, cách ly các nguồn nhiễm bẩn, hóa chất. Yêu cầu kỹ thuật cụ thể đối với kho bảo quản thóc:
+ Kho thoáng mát, nhiệt độ trong kho không lớn hơn 35°C đối với kho A1 mái tôn và kho K; không lớn hơn 32°C đối với kho cuốn, kho A1 cải tiến, kho I.
+ Độ ẩm tương đối trong kho không lớn hơn 80%.
Khi vượt quá yêu cầu quy định, các đơn vị dự trữ quốc gia phải có biện pháp khắc phục để đảm bảo theo đúng điều kiện bảo quản.
5.2. Lập phiếu kiểm tra chất lượng thóc nhập kho
Việc kiểm tra chất lượng thóc nhập kho do các đơn vị dự trữ quốc gia trực thuộc thực hiện tại cửa kho dự trữ.
- Trước khi cân nhập, kỹ thuật viên phối hợp cùng thủ kho trực tiếp lấy mẫu đại diện của chuyến hàng để kiểm tra các chỉ tiêu chất lượng. Nếu các chỉ tiêu chất lượng đảm bảo theo quy định tại khoản 2.1 của Quy chuẩn thì kỹ thuật viên lập phiếu kiểm tra chất lượng, thóc đủ tiêu chuẩn nhập kho dự trữ. Nếu có bất kỳ một chỉ tiêu chất lượng không đảm bảo theo quy định tại khoản 2.1 của Quy chuẩn thì lô thóc không đủ tiêu chuẩn nhập kho dự trữ.
- Kỹ thuật viên lập phiếu kiểm tra chất lượng cho chuyến hàng có chất lượng đạt tiêu chuẩn nhập kho (hướng dẫn tại mẫu C77-HD ban hành theo Thông tư số 108/2018/TT-BTC ngày 15/11/2018 của Bộ trưởng Bộ Tài chính hướng dẫn kế toán dự trữ quốc gia). Thủ kho căn cứ phiếu kiểm tra tiến hành cân nhập. Trong lúc cân nhập, thủ kho kiểm tra nhanh các chỉ tiêu chất lượng. Nếu không thống nhất với kết quả trong phiếu kiểm tra, thủ kho có quyền đề nghị Lãnh đạo đơn vị cho tạm dừng cân nhập để kiểm tra lại.
5.3. Lập biên bản nhập đầy kho
Mỗi ngăn/lô thóc sau khi kết thúc nhập, chuẩn bị đưa vào bảo quản phải lập biên bản nhập đầy kho (hướng dẫn tại mẫu C76-HD ban hành theo Thông tư số 108/2018/TT-BTC ngày 15/11/2018 của Bộ trưởng Bộ Tài chính hướng dẫn kế toán dự trữ quốc gia).
Biên bản nhập đầy kho được lập thành 04 bản có đầy đủ chữ ký của thủ kho bảo quản, trưởng kho, kỹ thuật viên kiểm nghiệm, kế toán, lãnh đạo đơn vị dự trữ quốc gia trực thuộc, trong đó:
- 01 bản gửi đơn vị dự trữ quốc gia (Phòng Kỹ thuật bảo quản);
- 03 bản để tại đơn vị dự trữ quốc gia trực thuộc (01 bản thủ kho lưu hồ sơ tại ngăn/lô kho; 01 bản do kỹ thuật viên lưu theo dõi; 01 bản giao cho bộ phận kế toán).
5.4. Lập phiếu kiểm nghiệm chất lượng thóc nhập kho
Ngay sau khi lô thóc nhập đầy kho, Thủ trưởng đơn vị dự trữ quốc gia tổ chức lấy mẫu kiểm tra lập phiếu kiểm nghiệm chất lượng theo thủ tục nhập đầy lô (hướng dẫn tại mẫu C84-HD ban hành theo Thông tư số 108/2018/TT-BTC ngày 15/11/2018 của Bộ trưởng Bộ Tài chính hướng dẫn kế toán dự trữ quốc gia) và chịu trách nhiệm về kết quả kiểm nghiệm.
Phiếu kiểm nghiệm chất lượng lô được lập thành 04 bản theo quy định, trong đó:
- 01 bản lưu tại Đơn vị dự trữ quốc gia (Phòng Kỹ thuật bảo quản);
- 03 bản để tại Đơn vị dự trữ quốc gia trực thuộc (01 bản đính kèm biên bản nhập đầy kho thủ kho lưu hồ sơ tại ngăn/lô kho; 01 bản do kỹ thuật viên lưu theo dõi; 01 bản giao cho bộ phận kế toán).
Thời gian bảo quản được tính từ lúc ngăn/lô thóc nhập đầy (theo biên bản nhập đầy kho).
5.5. Thẻ lô hàng
Mỗi lô hàng đều được lập thẻ lô hàng bao gồm các nội dung sau:
- Địa điểm bảo quản: Tên lô thóc, ngăn kho, loại kho, điểm kho;
- Loại thóc (theo kích thước);
- Khối lượng ngăn/lô thóc, số lượng bao (đối với thóc bảo quản đóng bao);
- Thời gian nhập: Ngày bắt đầu nhập; ngày nhập đầy lô;
- Phương pháp bảo quản;
- Hình thức bảo quản;
- Họ, tên thủ kho bảo quản.
5.6. Chế độ ghi chép sổ sách theo dõi bảo quản hàng hóa
Sau khi nhập đầy kho đơn vị dự trữ quốc gia lập sổ theo dõi bảo quản. Thông qua kết quả theo dõi, kiểm tra ghi lại diễn biến các chỉ tiêu chất lượng ngăn/lô thóc theo thời gian, nội dung công việc bảo quản đã thực hiện, các biện pháp xử lý khắc phục sự cố và những kiến nghị đề xuất (nếu có).
5.7. Thủ tục xuất kho
- Khi có lệnh xuất hàng, thủ kho phải chuẩn bị đủ sổ sách, hồ sơ của lô hàng, lấy mẫu kiểm tra các chỉ tiêu chất lượng theo quy định tại mục 2.2 của Quy chuẩn, báo cáo chất lượng thóc xuất kho theo quy định tại mục 4.7 của Quy chuẩn.
- Khi xuất kho xong phải hoàn chỉnh các thủ tục, chứng từ giao nhận theo đúng quy định, thu gọn các vật liệu kê lót, dụng cụ, quét dọn kho sạch sẽ.
5.8. Thời hạn bảo quản
- Thóc bảo quản tại miền Bắc, miền Trung: Thời gian lưu kho đến 30 tháng.
- Thóc bảo quản tại miền Nam: Thời gian lưu kho đến 18 tháng.
5.9. Phòng chống cháy nổ
Thủ trưởng đơn vị dự trữ quốc gia có trách nhiệm tổ chức thực hiện công tác phòng chống cháy nổ theo quy định của pháp luật; bảo đảm chất lượng hàng hóa và kho dự trữ quốc gia an toàn.
5.10. An toàn lao động
Thủ kho bảo quản được trang bị đầy đủ trang thiết bị bảo hộ lao động theo đúng quy định.
Lần hút khí ngay sau khi xử lý diệt trùng phải cảnh báo và không để người đến gần khu vực xả khí. Khi nạp khí không để người không có nhiệm vụ đến gần khu vực nạp, đảm bảo an toàn lao động.
6. TRÁCH NHIỆM CỦA TỔ CHỨC, CÁ NHÂN
6.1. Các tổ chức, cá nhân cung cấp thóc dự trữ quốc gia có trách nhiệm cung cấp thóc có chất lượng phù hợp với quy định tại mục 2 của Quy chuẩn này.
6.2. Thủ trưởng đơn vị dự trữ quốc gia có trách nhiệm chỉ đạo, hướng dẫn cán bộ, công chức trong đơn vị thực hiện các nội dung của Quy chuẩn này.
6.3. Trong trường hợp lô thóc bảo quản không đảm bảo độ kín hoặc lô thóc bảo quản có biểu hiện xuống cấp về các chỉ tiêu chất lượng (tỷ lệ hạt vàng vượt quá quy định, có côn trùng phát triển, thóc bị ẩm mốc) hoặc có biểu hiện bất thường về khối lượng thì thủ kho, đơn vị quản lý trực tiếp phải kịp thời tìm biện pháp xử lý đồng thời xác định nguyên nhân, trách nhiệm; đề xuất, kiến nghị cấp có thẩm quyền giải quyết.
Tổ chức, cá nhân để xảy ra vi phạm trong quản lý chất lượng hàng dự trữ quốc gia thì tùy theo tính chất và mức độ vi phạm sẽ bị xử phạt vi phạm hành chính theo quy định của Chính phủ và các quy định pháp luật liên quan.
7. TỔ CHỨC THỰC HIỆN
7.1. Tổng cục Dự trữ Nhà nước (cơ quan dự trữ quốc gia chuyên trách) có trách nhiệm hướng dẫn và kiểm tra thực hiện Quy chuẩn này.
7.2. Trong trường hợp các tiêu chuẩn, hướng dẫn quy định tại Quy chuẩn này có sự thay đổi, bổ sung hoặc được thay thế thì thực hiện theo quy định tại văn bản mới./.
Phụ lục A
Sơ đồ Quy trình phân tích thóc

Phụ lục B
Sơ đồ quy trình nhập kho, bảo quản và xuất kho thóc DTQG

Phụ Lục C
| TỔNG CỤC DỰ TRỮ NHÀ NƯỚC | CỘNG HÒA XÃ HỘI CHỦ NGHĨA VIỆT NAM |
| Số: …/….. | …., ngày ... tháng ... năm ... |
BÁO CÁO CHẤT LƯỢNG CÔNG TÁC BẢO QUẢN THÓC DTQG QUÝ .... NĂM ....
| STT | Đơn vị, địa điểm, tuổi thóc | Tổng số lượng bảo quản (tấn) | Lượng (tấn) | Lượng (tấn) | Chỉ số của ngăn (lô) | Diệt trùng | Thời điểm kiểm tra | Lượng xuất trong quý | Ghi chú |
| ||||||||||||
| Nồng độ khí N2 (%) | Nhiệt độ khối hạt (°C) | Độ ẩm (%) | Hạt vàng (%) | Cảm quan | Côn trùng sống (con/kg) | |||||||||||||||||
| Năm nhập | Tổng | An toàn | Không an toàn | Áp suất thấp | Bổ sung N2 | Đổ rời | Đóng bao | Lượng (tấn) | Loại thuốc, nồng độ sử dụng | Ngày xuất | Lượng xuất | |||||||||||
| Màu sắc, mùi | Tình trạng nấm mốc |
| ||||||||||||||||||||
| 1 | 2 | 3 | 4 | 5 | 6 | 7 | 8 | 9 | 10 | 11 | 12 | 13 | 14 | 15 | 16 | 17 | 18 | 19 | 20 | 21 | 22 |
|
|
| Tổng cộng |
|
|
|
|
|
|
|
|
|
|
|
|
|
|
|
|
|
|
|
|
|
| A | Thóc năm... |
|
|
|
|
|
|
|
|
|
|
|
|
|
|
|
|
|
|
|
|
|
| I | Chi cục DTNN... |
|
|
|
|
|
|
|
|
|
|
|
|
|
|
|
|
|
|
|
|
|
| 1 | Lô, ngăn, kho |
|
|
|
|
|
|
|
|
|
|
|
|
|
|
|
|
|
|
|
|
|
| 2 | Lô, ngăn, kho |
|
|
|
|
|
|
|
|
|
|
|
|
|
|
|
|
|
|
|
|
|
| B | Thóc năm... |
|
|
|
|
|
|
|
|
|
|
|
|
|
|
|
|
|
|
|
|
|
| I | Chi cục DTNN... |
|
|
|
|
|
|
|
|
|
|
|
|
|
|
|
|
|
|
|
|
|
| 1 | Lô, ngăn, kho |
|
|
|
|
|
|
|
|
|
|
|
|
|
|
|
|
|
|
|
|
|
| 2 | Lô, ngăn, kho |
|
|
|
|
|
|
|
|
|
|
|
|
|
|
|
|
|
|
|
|
|
| Nơi nhận: | LẬP BIỂU | Lãnh đạo phòng KTBQ | THỦ TRƯỞNG ĐƠN VỊ |
Phụ Lục D
| CỤC DỰ TRỮ NHÀ NƯỚC KHU VỰC…. | CỘNG HÒA XÃ HỘI CHỦ NGHĨA VIỆT NAM |
| Số: …/….. | ……., ngày ... tháng ... năm .... |
BÁO CÁO CHẤT LƯỢNG CÔNG TÁC BẢO QUẢN THÓC DTQG THÁNG .... NĂM ....
| STT | Đơn vị, địa điểm, tuổi thóc | Tổng số lượng bảo quản (tấn) | Lượng (tấn) | Lượng (tấn) | Chỉ số của ngăn (lô) | Diệt trùng | Thời điểm kiểm tra | Lượng xuất trong quý | Ghi chú |
| ||||||||||||
| Nồng độ khí N2 (%) | Nhiệt độ khối hạt (°C) | Độ ẩm (%) | Hạt vàng (%) | Cảm quan | Côn trùng sống (con/kg) | |||||||||||||||||
| Năm nhập | Tổng | An toàn | Không an toàn | Áp suất thấp | Bổ sung N2 | Đổ rời | Đóng bao | Lượng (tấn) | Loại thuốc, nồng độ sử dụng | Ngày xuất | Lượng xuất | |||||||||||
| Màu sắc, mùi | Tình trạng nấm mốc |
| ||||||||||||||||||||
| 1 | 2 | 3 | 4 | 5 | 6 | 7 | 8 | 9 | 10 | 11 | 12 | 13 | 14 | 15 | 16 | 17 | 18 | 19 | 20 | 21 | 22 |
|
|
| Tổng cộng |
|
|
|
|
|
|
|
|
|
|
|
|
|
|
|
|
|
|
|
|
|
| A | Thóc năm... |
|
|
|
|
|
|
|
|
|
|
|
|
|
|
|
|
|
|
|
|
|
| I | Kho dự trữ |
|
|
|
|
|
|
|
|
|
|
|
|
|
|
|
|
|
|
|
|
|
| 1 | Lô, ngăn |
|
|
|
|
|
|
|
|
|
|
|
|
|
|
|
|
|
|
|
|
|
| 2 | Lô, ngăn |
|
|
|
|
|
|
|
|
|
|
|
|
|
|
|
|
|
|
|
|
|
| B | Thóc năm... |
|
|
|
|
|
|
|
|
|
|
|
|
|
|
|
|
|
|
|
|
|
| I | Kho dự trữ |
|
|
|
|
|
|
|
|
|
|
|
|
|
|
|
|
|
|
|
|
|
| 1 | Lô, ngăn |
|
|
|
|
|
|
|
|
|
|
|
|
|
|
|
|
|
|
|
|
|
| 2 | Lô, ngăn |
|
|
|
|
|
|
|
|
|
|
|
|
|
|
|
|
|
|
|
|
|
| Nơi nhận: | LẬP BIỂU | Trưởng bộ phận KTBQ | THỦ TRƯỞNG ĐƠN VỊ |
Phụ Lục E
| TỔNG CỤC DỰ TRỮ NHÀ NƯỚC | CỘNG HÒA XÃ HỘI CHỦ NGHĨA VIỆT NAM |
| Số: …/….. | ……., ngày ... tháng ... năm .... |
BÁO CÁO CHẤT LƯỢNG THÓC NHẬP KHO NĂM ...
| TT | Đơn vị, địa điểm nhập thóc | Tổng số (tấn) | Phương thức bảo quản | Chỉ tiêu chất lượng thóc nhập kho | Chỉ tiêu cảm quan | Thời điểm nhập đầy kho | Ghi chú | |||||||||||||
| BQ AST | BQ N2 | Độ ẩm (%) | Tạp chất (%) | Hạt xanh non (%) | Hạt hư hỏng (%) | Hạt vàng (%) | Hạt bạc phấn (%) | Hạt lẫn loại (%) | Hạt đỏ (%) | Hạt rạn nứt (%) | Tỷ lệ gạo lật (%) | Màu sắc, mùi | Côn trùng sống (con/kg) | |||||||
| Đổ rời | Đóng bao | Đổ rời | Đóng bao | |||||||||||||||||
| 1 | 2 | 3 | 4 | 5 | 6 | 7 | 8 | 9 | 10 | 11 | 12 | 13 | 14 | 15 | 16 | 17 | 18 | 19 | 20 | 21 |
|
|
|
|
|
|
|
|
|
|
|
|
|
|
|
|
|
|
|
|
|
|
|
| Tổng cộng |
|
|
|
|
|
|
|
|
|
|
|
|
|
|
|
|
|
|
|
|
|
|
|
|
|
|
|
|
|
|
|
|
|
|
|
|
|
|
|
|
|
| I | Chi Cục DTNN ... |
|
|
|
|
|
|
|
|
|
|
|
|
|
|
|
|
|
|
|
|
| Điểm kho ... |
|
|
|
|
|
|
|
|
|
|
|
|
|
|
|
|
|
|
|
| 1 | Ngăn - Lô - Kho |
|
|
|
|
|
|
|
|
|
|
|
|
|
|
|
|
|
|
|
| 2 | Ngăn - Lô - Kho |
|
|
|
|
|
|
|
|
|
|
|
|
|
|
|
|
|
|
|
| 3 | Ngăn - Lô - Kho |
|
|
|
|
|
|
|
|
|
|
|
|
|
|
|
|
|
|
|
|
| Điểm kho... |
|
|
|
|
|
|
|
|
|
|
|
|
|
|
|
|
|
|
|
| 4 | Ngăn - Lô - Kho |
|
|
|
|
|
|
|
|
|
|
|
|
|
|
|
|
|
|
|
| 5 | Ngăn - Lô - Kho |
|
|
|
|
|
|
|
|
|
|
|
|
|
|
|
|
|
|
|
| 6 | Ngăn - Lô - Kho |
|
|
|
|
|
|
|
|
|
|
|
|
|
|
|
|
|
|
|
| II | Chi Cục DTNN... |
|
|
|
|
|
|
|
|
|
|
|
|
|
|
|
|
|
|
|
|
| … |
|
|
|
|
|
|
|
|
|
|
|
|
|
|
|
|
|
|
|
| Nơi nhận: | NGƯỜI LẬP BIỂU | LÃNH ĐẠO PHÒNG KTBQ | CỤC TRƯỞNG |
Phụ Lục G
| TỔNG CỤC DỰ TRỮ NHÀ NƯỚC | CỘNG HÒA XÃ HỘI CHỦ NGHĨA VIỆT NAM |
| Số: …/….. | ……., ngày ... tháng ... năm ... |
BÁO CÁO CHẤT LƯỢNG THÓC XUẤT KHO NĂM ...
(Thời gian xuất từ ... đến ...)
| TT | Đơn vị, địa điểm xuất thóc | Tổng số (tấn) | Phương thức bảo quản | Chỉ tiêu chất lượng thóc xuất kho | Chỉ tiêu cảm quan | Thời điểm nhập đầy kho | Thời điểm xuất kho/xuất dốc kho | Ghi chú | |||||||||||||
| BQ AST | BQ N2 | Độ ẩm (%) | Tạp chất (%) | Hạt xanh non (%) | Hạt hư hỏng (%) | Hạt vàng (%) | Hạt bạc phấn (%) | Hạt lẫn loại (%) | Hạt đỏ (%) | Hạt rạn nứt (%) | Tỷ lệ gạo lật (%) | Màu sắc, mùi | Côn trùng sống (con/kg) | ||||||||
| Đổ rời | Đóng bao | Đổ rời | Đóng bao | ||||||||||||||||||
| 1 | 2 | 3 | 4 | 5 | 6 | 7 | 8 | 9 | 10 | 11 | 12 | 13 | 14 | 15 | 16 | 17 | 18 | 19 | 20 | 21 | 22 |
|
|
|
|
|
|
|
|
|
|
|
|
|
|
|
|
|
|
|
|
|
|
|
|
| Tổng cộng |
|
|
|
|
|
|
|
|
|
|
|
|
|
|
|
|
|
|
|
|
|
|
|
|
|
|
|
|
|
|
|
|
|
|
|
|
|
|
|
|
|
|
|
| I | Chi Cục DTNN ... |
|
|
|
|
|
|
|
|
|
|
|
|
|
|
|
|
|
|
|
|
|
| Điểm kho ... |
|
|
|
|
|
|
|
|
|
|
|
|
|
|
|
|
|
|
|
|
| 1 | Ngăn - Lô - Kho |
|
|
|
|
|
|
|
|
|
|
|
|
|
|
|
|
|
|
|
|
| 2 | Ngăn - Lô - Kho |
|
|
|
|
|
|
|
|
|
|
|
|
|
|
|
|
|
|
|
|
| 3 | Ngăn - Lô - Kho |
|
|
|
|
|
|
|
|
|
|
|
|
|
|
|
|
|
|
|
|
|
| Điểm kho ... |
|
|
|
|
|
|
|
|
|
|
|
|
|
|
|
|
|
|
|
|
| 4 | Ngăn - Lô - Kho |
|
|
|
|
|
|
|
|
|
|
|
|
|
|
|
|
|
|
|
|
| 5 | Ngăn - Lô - Kho |
|
|
|
|
|
|
|
|
|
|
|
|
|
|
|
|
|
|
|
|
| 6 | Ngăn - Lô - Kho |
|
|
|
|
|
|
|
|
|
|
|
|
|
|
|
|
|
|
|
|
| II | Chi Cục DTNN ... |
|
|
|
|
|
|
|
|
|
|
|
|
|
|
|
|
|
|
|
|
|
| … |
|
|
|
|
|
|
|
|
|
|
|
|
|
|
|
|
|
|
|
|
| Nơi nhận: | NGƯỜI LẬP BIỂU | LÃNH ĐẠO PHÒNG KTBQ | CỤC TRƯỞNG |
Phụ Lục H
| TỔNG CỤC DỰ TRỮ NHÀ NƯỚC | CỘNG HÒA XÃ HỘI CHỦ NGHĨA VIỆT NAM |
| Số: …/….. | ……., ngày ... tháng ... năm .... |
BÁO CÁO HAO HỤT THỰC TẾ THÓC DTQG NHẬP NĂM …, XUẤT KHO NĂM ...
(Thời gian xuất từ … đến …)
ĐVT: kg
| STT | Đơn vị, địa điểm, nhà kho, ngăn kho, lô số | Họ và tên thủ kho | Thời gian bảo quản | Phân tích hao hụt | ||||||||||
| Nhập | Xuất | Số tháng BQ | Số lượng nhập | Số lượng xuất | Hao thực tế | ĐM hao | Hao >ĐM | Hao <ĐM | ||||||
| Lượng | Tỉ lệ (%) | (%) | Lượng | Tỷ lê (%) | Lượng | Tỷ lệ (%) | ||||||||
| 1 | 2 | 3 | 4 | 5 | 6 | 7 | 8 | 9 | 10 | 11 | 12 | 13 | 14 | 15 |
|
|
|
|
|
|
|
|
|
|
|
|
|
|
|
|
|
| Tổng cộng |
|
|
|
|
|
|
|
|
|
|
|
|
|
|
|
|
|
|
|
|
|
|
|
|
|
|
|
|
|
| I | Chi Cục DTNN ... |
|
|
|
|
|
|
|
|
|
|
|
|
|
|
| Điểm kho ... |
|
|
|
|
|
|
|
|
|
|
|
|
|
| 1 | Ngăn - Lô - Kho |
|
|
|
|
|
|
|
|
|
|
|
|
|
| 2 | Ngăn - Lô - Kho |
|
|
|
|
|
|
|
|
|
|
|
|
|
| 3 | Ngăn - Lô - Kho |
|
|
|
|
|
|
|
|
|
|
|
|
|
|
| Điểm kho ... |
|
|
|
|
|
|
|
|
|
|
|
|
|
| 4 | Ngăn - Lô - Kho |
|
|
|
|
|
|
|
|
|
|
|
|
|
| 5 | Ngăn - Lô - Kho |
|
|
|
|
|
|
|
|
|
|
|
|
|
| 6 | Ngăn - Lô - Kho |
|
|
|
|
|
|
|
|
|
|
|
|
|
| II | Chi Cục DTNN ... |
|
|
|
|
|
|
|
|
|
|
|
|
|
|
| ... |
|
|
|
|
|
|
|
|
|
|
|
|
|
| Nơi nhận: | NGƯỜI LẬP BIỂU | LÃNH ĐẠO PHÒNG KTBQ | CỤC TRƯỞNG |
MỤC LỤC
Lời nói đầu
1. QUY ĐỊNH CHUNG
1.1. Phạm vi điều chỉnh
1.2. Đối tượng áp dụng
1.3. Giải thích từ ngữ
1.4. Tài liệu viện dẫn
2. QUY ĐỊNH VỀ KỸ THUẬT
2.1. Chất lượng thóc nhập kho dự trữ quốc gia
2.2. Chất lượng thóc xuất kho dự trữ quốc gia
3. PHƯƠNG PHÁP THỬ
3.1. Lấy mẫu
3.2. Phương pháp thử các chỉ tiêu chất lượng của thóc
4. QUY ĐỊNH VỀ CÔNG NGHỆ BẢO QUẢN, QUY TRÌNH NHẬP, XUẤT
4.1. Về công nghệ bảo quản
4.2. Yêu cầu đối với vật tư, thiết bị, dụng cụ
4.3. Quy trình nhập kho
4.4. Bảo quản thóc trong kho
4.5. Quy trình xuất kho
4.6. Vận chuyển
4.7. Báo cáo chất lượng thóc
5. QUY ĐỊNH VỀ QUẢN LÝ
5.1. Yêu cầu về nhà kho
5.2. Lập phiếu kiểm tra chất lượng thóc nhập kho
5.3. Lập biên bản nhập đầy kho
5.4. Lập phiếu kiểm nghiệm chất lượng thóc nhập kho
5.5. Thẻ lô hàng
5.6. Chế độ ghi chép sổ sách theo dõi bảo quản hàng hóa
5.7. Thủ tục xuất kho
5.8. Thời hạn bảo quản
5.9. Phòng chống cháy nổ
5.10. An toàn lao động
6. TRÁCH NHIỆM CỦA TỔ CHỨC, CÁ NHÂN
7. TỔ CHỨC THỰC HIỆN
Bạn chưa Đăng nhập thành viên.
Đây là tiện ích dành cho tài khoản thành viên. Vui lòng Đăng nhập để xem chi tiết. Nếu chưa có tài khoản, vui lòng Đăng ký tại đây!