- Tổng quan
- Nội dung
- Tiêu chuẩn liên quan
- Lược đồ
- Tải về
Tiêu chuẩn Việt Nam TCVN 6814:2001 Xác định công suất và điện năng tiêu thụ của máy
| Số hiệu: | TCVN 6814:2001 | Loại văn bản: | Tiêu chuẩn Việt Nam |
| Cơ quan ban hành: | Bộ Khoa học, Công nghệ và Môi trường | Lĩnh vực: | Nông nghiệp-Lâm nghiệp |
|
Ngày ban hành:
Ngày ban hành là ngày, tháng, năm văn bản được thông qua hoặc ký ban hành.
|
01/01/2001 |
Hiệu lực:
|
Đã biết
|
| Người ký: | Đang cập nhật |
Tình trạng hiệu lực:
Cho biết trạng thái hiệu lực của văn bản đang tra cứu: Chưa áp dụng, Còn hiệu lực, Hết hiệu lực, Hết hiệu lực 1 phần; Đã sửa đổi, Đính chính hay Không còn phù hợp,...
|
Đã biết
|
TÓM TẮT TIÊU CHUẨN VIỆT NAM TCVN 6814:2001
Tiêu chuẩn xác định công suất và điện năng tiêu thụ của máy móc trong nông nghiệp
Ngày 01/01/2001, Bộ Khoa học, Công nghệ và Môi trường đã ban hành Tiêu chuẩn Việt Nam TCVN 6814:2001, quy định về việc xác định công suất và điện năng tiêu thụ của máy và thiết bị sử dụng điện trong nông nghiệp, lâm nghiệp và thủy lợi. Tiêu chuẩn này có hiệu lực từ ngày ban hành.
Tiêu chuẩn này áp dụng cho tất cả các máy móc, thiết bị hoặc bộ phận tiêu thụ điện năng từ mạng lưới điện công nghiệp hoặc nguồn điện thích hợp khác tại các lĩnh vực nông nghiệp, thủy lợi và các lĩnh vực liên quan. Tuy nhiên, tiêu chuẩn không áp dụng cho các thiết bị sử dụng điện lưới cao thế trên 35 kV và tần số lớn hơn 400 Hz.
Nội dung quy định chung về thử nghiệm
Môi trường thử nghiệm yêu cầu nhiệt độ từ 25 ± 15°C và độ ẩm không khí đến 98% không đọng nước. Dụng cụ đo điện phải phù hợp với yêu cầu và được hiệu chuẩn. Việc đảm bảo an toàn cho người và thiết bị là bắt buộc trong quá trình thử nghiệm.
Quy trình đo và xử lý số liệu
Tiêu chuẩn quy định một quy trình cụ thể để đo lường công suất và điện năng tiêu thụ, bao gồm đấu nối thiết bị đo, vận hành thử nghiệm và thu thập dữ liệu. Kết quả đo phải được xử lý theo phương pháp thống kê và mọi sai số phải được loại bỏ. Báo cáo kết quả thử nghiệm phải đầy đủ thông tin liên quan đến thiết bị đo, đối tượng thử và kết quả tính toán.
Yêu cầu về thiết bị đo
Các thiết bị đo phải có chứng chỉ hiệu chuẩn trong thời gian hiệu lực và độ sai số không vượt quá mức quy định. Trong trường hợp sử dụng máy biến dòng hoặc biến áp đo lường, các thiết bị này cần được nối đất và có dải đo phù hợp.
Chỉ tiêu đo lường
Công suất và điện năng tiêu thụ được xác định dựa trên giá trị đo thực tế và các hệ số công suất phù hợp. Các phương pháp đo cụ thể như Vônmét- Ampemét và Oatmét được quy định chi tiết trong tiêu chuẩn. Kết quả đo phải được báo cáo và ước lượng độ không đảm bảo đo.
Tóm lại, TCVN 6814:2001 là một tài liệu quan trọng giúp đảm bảo tính chính xác trong việc xác định công suất và điện năng tiêu thụ của các máy móc, thiết bị trong lĩnh vực nông nghiệp và thủy lợi, góp phần nâng cao hiệu quả sử dụng điện trong ngành.
TIÊU CHUẨN VIỆT NAM
TCVN 6814:2001
XÁC ĐỊNH CÔNG SUẤT VÀ ĐIỆN NĂNG TIÊU THỤ
CỦA MÁY, THIẾT BỊ SỬ DỤNG ĐIỆN DÙNG TRONG NÔNG, LÂM NGHIỆP VÀ THUỶ LỢI
Determination of electric power and consumed energy by machines and
Equipments using electricity in agriculture, forestry and irrigations
TCVN 6814: 2001 do Ban Kỹ thuật tiêu chuẩn TCVN/TC 23 Máy kéo và máy dùng trong nông lâm nghiệp biên soạn trên cơ sở TCVN 3189: 1979, TCVN 1985: 1994 và TCVN 3971: 1984, Tổng cục Tiêu chuẩn Đo lường Chất lượng và Vụ Khoa học công nghệ và Chất lượng sản phẩm thuộc Bộ Nông nghiệp và Phát triển nông thôn đề nghị, Bộ Khoa học, Công nghệ và Môi trường ban hành.
1. Phạm vi áp dụng
1.1 Tiêu chuẩn này áp dụng cho máy, thiết bị hay phần tử sử dụng điện năng từ nguồn lưới điện công nghiệp hay nguồn điện thích hợp khác trong nông lâm nghịêp, thuỷ lợi và các lĩnh vực liên quan, hoạt động trên nguyên tắc biến đổi điện năng thành cơ năng, nhiệt năng hay các dạng năng lượng khác, (sau đây gọi tắt là đối tượng thử).
1.2 Tiêu chuẩn này không áp dụng cho các trường hợp điện lưới cao thế trên 35 kV, và tần số trên 400 Hz. Các phương pháp thử có liên quan đến các loại máy và thiết bị riêng biệt được quy định trong các tiêu chuẩn hoặc các yêu cầu, hướng dẫn kỹ thuật của nhà chế tạo.
1.3 Tiêu chuẩn này không đề cập đầy đủ các yêu cầu an toàn. Khi cần thiết, phải sử dụng các tiêu chuẩn, văn bản pháp quy hoặc thiết lập điều kiện an toàn bổ sung cho phù hợp với điều kiện ứng dụng để đảm bảo an toàn tuyệt đối cho người và thiết bị.
2. Tiêu chuẩn trích dẫn
TCVN 3189: 1979 Máy điện quay - Yêu cầu kỹ thuật chung.
TCVN 1985: 1994 Máy biến áp điện lực - Phương pháp thử.
TCVN 3971: 1984 Điện năng, mức chất lượng điện năng ở các thiết bị tiêu thụ điện năng nối vào lưới điện công dụng chung.
?OCT 27209-0: 1989 Trang thiết bị điện nhiệt – Phương pháp thử chung.
3. Thuật ngữ và định nghĩa
Trong tiêu chuẩn này sử dụng các định nghĩa lấy từ TCVN 3189:79 và TCVN 3971:84.
3.1 Thông số danh định
Giá trị bằng số của tất cả các đại lượng cơ và điện đặc trưng cho chế độ làm việc của đối tượng thử ở độ cao dưới 1000m so với mặt nước biển và nhiệt độ của môi trường làm nguội thể khí đến 40°C và của nước làm nguội đến 130° C.
3.2 Chế độ làm việc danh định
Chế độ làm việc được ghi trên tấm nhãn của đối tượng thử.
3.3 Công suất danh định
Công suất ghi trên tấm nhãn tương ứng với chế độ làm việc danh định của đối tượng thử, biểu thị bằng W, VA hoặc Var và bội của chúng.
Chú thích:
- Đối với động cơ điện công suất hiệu dụng trên trục được biểu thị bằng kW;
- Đối với máy phát xoay chiều công suất biểu kiến trên cực của máy phát được biểu thị bằng kVA;
- Đối với máy bù đồng bộ hoặc không đồng bộ công suất phản kháng trên cực máy bù được biểu thị bằng kVar...
3.4 Điện áp danh định
Điện áp ghi trên tấm nhãn, tương ứng với chế độ làm việc danh định của đối tượng thử.
3.5 Điện áp hình sin thực tế
Điện áp xoay chiều có giá trị tức thời bất kỳ, không sai lệch quá 5% giá trị biên độ tức thời tương ứng của sóng điều hoà cơ bản được đánh giá thông qua hệ số không sin.
3.6 Hệ thống điện áp ba pha đối xứng thực tế
Hệ thống điện áp ba pha có giá trị thành phần thứ tự nghịch và thứ tự "không" không vượt quá 1% giá trị thành phần thứ tự thuận được đánh giá thông qua hệ số không đối ứng và hệ số không đồng đều.
3.7 Hệ thống dòng điện ba pha đối xứng thực tế
Hệ thống dòng điện ba pha khi được cung cấp bằng hệ thống điện áp đối xứng thực tế tương ứng, có giá trị thành phần thứ tự nghịch và thứ tự "không " không vượt quá 5% giá trị thành phần thứ tự thuận.
3.8 Hệ số công suất (cosj)
Tỷ số giữa công suất hiệu dụng và công suất biểu kiến của đối tượng thử.
3.9 Hệ số không sin
Tỷ số giữa giá trị hiệu dụng của các thành phần điện áp hài bậc cao và giá trị hiệu dụng của điện áp tần số cơ bản.
3.10 Hệ số không đối xứng điện áp
Tỷ số giữa giá trị điện áp dây tần số cơ bản thứ tự nghịch và điện áp dây danh định.
3.11 Hệ số không đồng đều
Tỷ số giữa giá trị điện áp pha tần số cơ bản thứ tự không và điện áp pha danh định.
4. Quy định chung
4.1 Môi trường đo lường thử nghiệm phải thoả mãn các điều kiện: Nhiệt độ trong khoảng 25 ± 15° C, độ ẩm tương đối không khí đến 98% không đọng nước và áp suất khí quyển từ 8,4.104 đến 10,6.104 Pa (TCVN 1985-1994), nếu không có các qui định đối với đối tượng thử riêng biệt.
4.2 Dụng cụ, thiết bị đo điện phải phù hợp với chỉ tiêu đo thử về chủng loại, thang đo, tần số, độ phân giải và phải có chứng chỉ hiệu chuẩn trong thời gian hiệu lực. Sai số của Ampemét, Vonmét và thiết bị đo tần số phải không lớn hơn ± 0,5% (cấp chính xác 0,5). Oatmét, Cosj-mét và công tơ điện tương ứng phải có sai số không lớn hơn ± 1% và ± 1,5% (TCVN 1985-1994).
Chú thích:
- Có thể sử dụng Ampemét hoặc Oatmét dạng kìm, Otamét tương tự, Oatmét tự ghi phù hợp tính năng kỹ thuật, điều kiện và sơ đồ đo (tham khảo Phụ lục A).
- Thiết bị dùng để xác định thời gian đo thử nghiệm phải có sai số không lớn hơn 0,5%.
4.3 Tuân thủ quy định và hướng dẫn sử dụng của nhà chế tạo, đấu nối thiết bị đo điện vào vị trí đo, đảm bảo đúng chiều dòng năng lượng, tránh nơi có rung động lớn. Chọn dải đo sao cho giá trị đo nằm trong khoảng (20 ¸ 95)% thang đo.
4.4 Máy biến áp đo lường và máy biến dòng đo lường sử dụng để mở rộng thang đo bắt buộc phải được nối đất phía thứ cấp, có dải đo thích hợp, sai số không lớn hơn 0,5% và được lắp đặt theo qui định của nhà chế tạo.
Chú thích:
- Trong trường hợp không thoả mãn điều kiện trên, cho phép sử dụng máy biến dòng và biến áp đo lường có sai số đến ± 1% nhưng phải ghi rõ trong báo cáo kết quả đo thử;
- Dải đo dòng điện của công tơ phải lớn hơn 5% hoặc bằng thang đo danh định của máy biến dòng;
- Dây dẫn đấu nối trong mạch đo lường phải có tiết diện và chiều dài sao cho sụt áp cho phép nhỏ hơn hoặc bằng 0,25% điện áp danh định đối với biến áp đo lường cấp 0,5 và 0,5% - cho cấp 1,0.
4.5 Khi tiến hành đo thử nghiệm cần có biện pháp bảo vệ an toàn cho người vận hành và thiết bị. Tuyệt đối không được để hở mạch cuộn thứ cấp máy biến dòng đo lường.
4.6 Đối tượng thử và thiết bị đo phải được chuẩn bị, kiểm tra, chạy rà trơn ở chế độ định mức và chế độ thử trước khi đo thử nghiệm để đảm bảo phù hợp với quy trình, các yêu cầu kỹ thuật, an toàn lao động và an toàn điện. Tuân thủ các văn bản pháp quy về bảo vệ môi trường.
4.7 Đối tượng thử và thiết bị đo phải được điều chỉnh và vận hành đúng yêu cầu, tính năng kỹ thuật theo quy định của nhà chế tạo. Điều kiện đo thử nghiệm phải đúng hoặc gần với điều kiện sử dụng.
4.8 Chỉ tiến hành đo thử nghiệm khi đảm bảo chất lượng điện năng của lưới điện cung cấp theo các yêu cầu trong TCVN 3971: 84. Đối với lưới điện nông nghiệp:
a) Độ lệch điện áp cho phép giữa các cực nối điện của động cơ điện cho trường hợp chung là -8,0% đến + 10% và ± 8% cho các đối tượng sử dụng điện khác so với điện áp danh định.
Chú thích - Trong trường hợp đặc biệt cho phép độ sai lệch điện áp đến ³ 10% đối với động cơ điện dị bộ 3 pha nhưng phải phản ánh trong biên bản đo thử.
b) Độ lệch tần số trong chế độ làm việc và đo thử không vượt quá ± 0,5Hz so với tần số danh định.
c) Hệ số không đối xứng nhỏ hơn 2%, hệ số không sin mạng lưới điện ba pha phải nhỏ hơn giá trị cho phép theo quy định riêng biệt của các đối tượng thử, nếu áp dụng.
4.9 Trong trường hợp đo công suất điện với hệ số công suất (cosj) nhỏ, cho phép dùng Oátmét hoặc các phương pháp đo đặc biệt khác thích hợp.
Chú thích - Có thể áp dụng phương pháp ba ampamét khi điện áp nhỏ và dòng điện lớn, và phương pháp ba vônmét khi điện áp lớn và dòng điện nhỏ.
4.10 Khi tiến hành đo thử nghiệm nếu điện áp nguồn điện lưới thực tế sai khác giá trị danh định nhưng nằm trong khoảng cho phép (điều 4.8), khi đó công suất đo phải được qui đổi về trị số danh định theo công thức sau (?OCT 27209-0:89):
(1)
Trong đó:
Pn - công suất danh định, W;
P’n - giá trị đo thực, W;
Un và U- điện áp danh địnhvà điện áp thực, V.
Chú thích- Khi tính công suất biểu kiến và công suất phản kháng chỉ cần thế các kí hiệu và đơn vị đo tương ứng vào công thức trên.
5. Quy trình đo
5.1 Đo kiểm tra chất lượng lưới/nguồn điện theo điều 4.8 và ghi chép số liệu. Nếu đủ điều kiện, tiến hành các bước sau:
5.2 Đấu nối thiết bị đo vào mạng điện theo sơ đồ đo thích hợp (tham khảo Phụ lục A) hoặc quy định của nhà chế tạo, nếu áp dụng.
5.3 Vận hành và kiểm tra để chắc chắn đối tượng thử làm việc ổn định ở chế độ định mức và chế độ dự kiến thử (hoặc theo quy định nhà chế tạo). Cấp điện cho thiết bị đo, chờ khoảng 15 phút.
5.4 Thực hiện đo, thu nhập và lưu giữ dữ liệu. Tiến hành đo lặp lại ba lần khi các số đọc ở cùng một chế độ và điều kiện thử nghiệm có độ sai khác lớn nhất không quá 3%.
Chú thích - Nếu điều kiện trên không được thoả mãn: sai lệch lớn nhất đến 6% hoặc 10%, số lần đo lặp lại phải tăng lên đủ lớn (ví dụ: không ít hơn bốn hoặc sáu lần tương ứng) và phải phản ánh trong báo cáo kết quả đo.
5.4.1 Xác định công suất biểu kiến
a) Phương pháp Vônmét-Ampemét (hình 1a, b phụ lục A):
S = U.I (2)
Trong đó:
S - công suất biểu kiến, VA;
U - chỉ số đo điện áp, V;
I - chỉ số đo dòng điện, A.
b) Phương pháp Vônmét-Ampemét mạng hình sao ba hoặc bốn dây (hình 2a, phụ lục A)
S3f= S1+ S2+ S3= U1I1+ U2I2+ U3I3 (3)
Trong đó:
S3f - công suất biểu kiến ba pha, VA;
S1 S2, S3 - công suất biểu kiến của từng pha riêng rẽ tính theo (2).
Chú thích- Trong mạng ba pha đối xứng chỉ cần xác định công suất của một trong ba pha rồi nhân hệ số 3.
c) Phương pháp Vônmét-Ampemét mạng tam giác (hình 2b, phụ lục A)
S3f = S12 + S32= U12I1+ U32I3 (4)
Trong đó:
S3f - công suất biểu kiến ba pha, VA;
S12, S32 - công suất biểu kiến xác định được từ số đọc của hai Vônmét và hai Ampemét.
5.4.2 Xác định công suất hiệu dụng

Trong đó:
P - Công suất hiệu dụng một pha, W;
I1, I2, I3 - Chỉ số đo ampemét tương ứng, A;
R - Điện trở đo lường, W.
c) Phương pháp Vônmét-Ampemét điện một chiều (Hình 1a, b Phụ lục A)
P = U.I (7)
Trong đó:
P - công suất hiệu dụng, W;
U - chỉ số đo điện áp, V;
I - chỉ số đo dòng điện, A.
d) Phương pháp Vôn-Ampemét- Cosjmét một pha xoay chiều (Hình 4, phụ lục A)
P = U.I.cosj (8)
Trong đó :
P - công suất hiệu dụng một pha, W;
U - điện áp pha, V;
cosj - hệ số công suất.
Chú thích- Nếu sử dụng tổ hợp đo công suất điện tử, phải đấu nối các dây đo theo hướng dẫn của nhà chế tạo, có thể đọc các đại lượng đo (dòng điện, điện áp, tần số, công suất, cosj và năng lượng) đồng thời hoặc lần lượt trên chỉ thị.
e) Phương pháp Oatmét một pha xoay chiều (hình 4, phụ lục A)
P = k.a (9)
Trong đó:
k- Hệ số thang đo, W/vạch (số).
a- Chỉ số đọc trên thiết bị đo, vạch (số).
5.4.3 Xác định công suất hiệu dụng điện mạng ba dây ba pha xoay chiều
a) Phương pháp ba Oátmét một pha mạng ba dây và mạng bốn dây (hình5 a, b, phụ lục A)
P3f = P1+P2 +P3 = k1.a1 + k2.a2+ k3.a3 (10)
Trong đó:
P3f - công suất hiệu dụng ba pha, W;
P1, P2, P3 - công suất pha đọc trên ba oatmét, W.
Chú thích- Trong mạng ba pha đối xứng, đo công suất một pha để xác định công suất ba pha (hình 6, phụ lục A)
P3f = 3P1= 3P2= 3P3= 3k1.a1 = 3k2.a2= 3k3.a3
5.4.4 Xác định công suất hiệu dụng điện ba pha xoay chiều
Phương pháp hai Oátmét một pha (Hình 7, Phụ lục A)
P3f = P1 + P2 = k1a1 + k2a2 (11)
Trong đó:
P3f - công suất hiệu dụng ba pha, W;
P1 ,P2 - công suất đọc trên hai oatmét, W.
5.4.5 Xác định công suất hiệu dụng điện ba pha
Phương pháp Oatmét ba pha với hai cuộn dòng nối tiếp và Oatmét với ba cuộn dòng nối tiếp (hình 8a,b. Phụ lục A)
P3f = k3fa (12)
Trong đó:
P3f - Công suất ba pha, W;
k3f - Hệ số thang đo, W/ vạch (số);
a - Chỉ số của dụng cụ hay thiết bị, vạch (số).
5.4.6 Xác định công suất phản kháng một pha
Phương pháp máy đo công suất phản kháng (Varmeter) một pha, (hình 9, phụ lục A)
Qr = kr. a (13)
Trong đó:
Qr - Công suất phản kháng, VAr;
kr - Hệ số thang đo, VAr/vạch (số);
a - Chỉ số của dụng cụ hay thiết bị, vạch (số).
5.4.7 Xác định công suất phản kháng ba pha

Trong đó:
Q3f - Công suất phản kháng ba pha, VAr;
kr - Hệ số của Oatmét, VAr/vạch (số);
a1, a2 - Chỉ số đọc tương ứng của hai oátmét, vạch (số).

Trong đó :
P- Công suất hiệu dụng, W;
Q- Công suất phản kháng, VAr;
5.4.9 Xác định năng lượng điện
a) Phương pháp công tơ điện một pha/ba pha (hình 4 và hình 12, phụ lục A)
A = k. a (19)
Trong đó:
A - năng lượng điện một pha/ba pha, Wh;
K - hệ số thang đo, Wh/vạch (số);
a - chỉ số của dụng cụ hay thiết bị, vạch (số)
b) Tính từ công suất tác dụng một pha/ba pha P và thời gian tiêu thụ t tương ứng, theo công thức:
A = P. t (20)
Trong đó:
P - Công suất tác dụng, W;
T - Thời gian, h.
5.4.10 Mở rộng thang đo xác định công suất, năng lượng điện xoay chiều bằng máy biến dòng và biến áp đo lường thích hợp, nếu áp dụng (tham khảo phụ lục B).
6. Xử lý số liệu
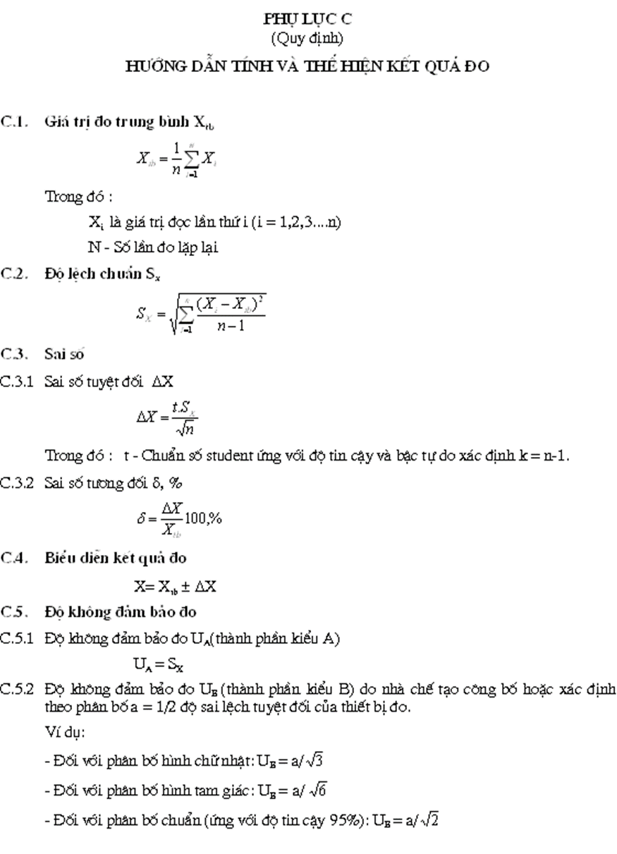
6.1 Số liệu đo phải được tính toán và ước lượng theo phương pháp xác suất thống kê (Phụ lục C).
6.2 Nếu phát hiện sai lỗi trong quá trình đo thử nghiệm và xử lý số liệu phải loại bỏ số liệu và tiến hành đo lặp lại tại điểm đo có nghi ngờ.
6.3 Kết quả đo phải được ước lượng và công bố với sai số, độ không đảm bảo đo ứng với độ tin cậy 95% kèm theo bậc tự do tương ứng.
7. Báo cáo kết quả đo thử nghiệm
Báo cáo kết quả đo thử nghiệm phải bao gồm các thông tin sau (tham khảo phụ lục D):
- Thiết bị đo (đặc tính kỹ thuật chính, chứng chỉ hiệu chuẩn trong thời gian hiệu lực);
- Đặc điểm nhận dạng máy hoặc thiết bị - đối tượng thử;
- Tiêu chuẩn/ phương pháp đo thử nghiệm;
- Bảng số liệu đo thử nghiệm và kết quả tính toán bao gồm giá trị đo trung bình, độ lệch chuẩn, số lần lặp lại, sai số và độ không đảm bảo đo, nếu áp dụng;
- Địa điểm, điều kiện môi trường, chất lượng điện áp và thời gian đo thử nghiệm;
- Cơ sở/ Người đo thử nghiệm và tính toán kết quả;
- Nhận xét/ kết luận.









Bạn chưa Đăng nhập thành viên.
Đây là tiện ích dành cho tài khoản thành viên. Vui lòng Đăng nhập để xem chi tiết. Nếu chưa có tài khoản, vui lòng Đăng ký tại đây!