- Tổng quan
- Nội dung
- Tiêu chuẩn liên quan
- Lược đồ
- Tải về
Tiêu chuẩn ngành 14TCN 112:2006 Hiệu quả kinh tế dự án thủy lợi phục vụ tưới, tiêu
| Số hiệu: | 14TCN 112:2006 | Loại văn bản: | Tiêu chuẩn ngành |
| Cơ quan ban hành: | Đang cập nhật | Lĩnh vực: | Nông nghiệp-Lâm nghiệp |
|
Ngày ban hành:
Ngày ban hành là ngày, tháng, năm văn bản được thông qua hoặc ký ban hành.
|
2006 |
Hiệu lực:
|
Đã biết
|
| Người ký: | Đang cập nhật |
Tình trạng hiệu lực:
Cho biết trạng thái hiệu lực của văn bản đang tra cứu: Chưa áp dụng, Còn hiệu lực, Hết hiệu lực, Hết hiệu lực 1 phần; Đã sửa đổi, Đính chính hay Không còn phù hợp,...
|
Đã biết
|
TÓM TẮT TIÊU CHUẨN NGÀNH 14TCN 112:2006
Nội dung tóm tắt đang được cập nhật, Quý khách vui lòng quay lại sau!
TIÊU CHUẨN NGÀNH
14TCN 112:2006
HƯỚNG DẪN
TÍNH TOÁN VÀ ĐÁNH GIÁ HIỆU QUẢ KINH TẾ DỰ ÁN THUỶ LỢI PHỤC VỤ TƯỚI, TIÊU
Guidelines for the Estimation and Evaluation of Economical Efficiency of Irrigation and Drainage Projects
1. Quy định chung
1.1. Đối tượng hướng dẫn
“Hướng dẫn tính toán và đánh giá hiệu quả kinh tế dự án thuỷ lợi phục vụ tưới, tiêu“ là những chỉ dẫn chung về phương pháp, trình tự tính toán, các giả định và chỉ tiêu cơ bản được áp dụng trong việc phân tích và đánh giá hiệu quả kinh tế dự án thuỷ lợi phục vụ tưới tiêu có kết hợp với các mục tiêu khác như cấp nước công nghiệp, sinh hoạt; phát điện; nuôi trồng thuỷ sản.v.v, nhưng mục tiêu phục vụ tưới tiêu là chính (sau đây gọi tắt là dự án tưới tiêu).
1.2. Phạm vi áp dụng
“Hướng dẫn tính toán và đánh giá hiệu quả kinh tế dự án thuỷ lợi phục vụ tưới, tiêu” này là căn cứ để tính toán và đánh giá hiệu quả kinh tế các dự án thuỷ lợi phục vụ tưới tiêu (trong các giai đoạn lập báo cáo đầu tư, lập dự án đầu tư hoặc lập báo cáo kinh tế -kỹ thuật) xây dựng mới hoặc khôi phục nâng cấp bằng vốn ngân sách nhà nước, vốn tín dụng do Nhà nước bảo lãnh, vốn tín dụng đầu tư phát triển của Nhà nước và vốn đầu tư phát triển của doanh nghiệp Nhà nước.
1.3. Thuật ngữ và định nghĩa
1.3.1. Phân tích kinh tế của dự án thuỷ lợi phục vụ tưới tiêu (viết tắt là dự án TL) là phân tích đánh giá tính bền vững về hiệu quả của dự án, trên cơ sở phân tích tương quan giữa toàn bộ chi phí cần thiết cho việc thực hiện mục tiêu kinh tế xã hội của dự án đã vạch ra và các lợi ích mà dứ án mang lại, thông qua các chỉ tiêu hiệu quả đầu tư.
1.3.2. Phân tích tài chính của dự án TL: Phân tích tài chính của dự án TL về hình thức cũng giống như phân tíchؠkinhؠtế vì cả hai loại phân tích đều đánh giá lợi ích của đầu tư. Tuy nhiên quan điểm về lợi ích trong phân tích tài chính thì không đồng nhất với lợi ích trong phân kinh tế. Phân tích tài chính dự án là xem xét lợi ích trực tiếp của dự án mang lại cho nhà đầu tư (đó là lợi nhuận của nhà đầu tư, hay nói cách khác đó lợi ích xét ở góc độ vi mô). Phân tích kinh tế dự án là xem xét lợi ích của dự án đối với toàn bộ nền kinh tế quốc dân. Một dự án được coi là có tính khả thi về mặt kinh tế thì nó phải có hiệu quả về tài chính và kinh tế. Do đó, phân tích tài chính và phân tích kinh tế bổ sung cho nhau.
1.3.3. Trong phân tích kinh tế và phân tích tài chính đều dùng đơn vị tiền tệ để xác định chi phí và lợi ích, tuy nhiên sự khác nhau cơ bản giữa hai phân tích này là cách tính toán chi phí và lợi ích. Chi phí tài chính là toàn bộ cho chi phí cần thiết cho việc hình thành dự án và được tính bằng giá tài chính (trong giá tài chính bao gồm cả các nghĩa vụ tài chính phải nộp cho Nhà nước và các chính sách của Nhà nước như thuế, phí, chính sách trợ giá.vv.) thông thường được lấy theo giá thị trường. Lợi ích tài chính là toàn bộ lợi ích dự án mang lại được tính theo giá tài chính. Chi phí kinh tế là chi phí mà nền kinh tế quốc dân bỏ ra cho việc hình thành dự án và được tính bằng giá kinh tế (giá kinh tế là giá tài chính sau khi đã loại bỏ thuế, phí, trợ giá.vv. hay gọi là phần thanh toán chuyển dịch - transfer payment). Lợi ích kinh tế là toàn bộ lợi ích do dự án mang lại đối với nền kinh tế, được tính theo giá kinh tế (là giá đầu ra của dự án có xét đến các điều kiện trao đổi hoặc không trao đổi thị trường Quốc tế.)
Nói chung, với các dự án TL phục vụ sản xuất nông nghiệp, dân sinh kinh tế xã hội thuộc loại đầu tư cơ sở hạ tầng (đầu tư công cộng ) khác với các dự án đầu tư mang tính kinh doanh thuần tuý nên việc phân tích đánh giá hiệu quả đầu tư các dự án TL chủ yếu tập trung phân tích đánh giá hiệu quả kinh tế để đánh giá lợi ích mà dự án mang lại cho nền kinh tế quốc dân. Đối với các dự án thuỷ lợi đa mục tiêu (ngoài nhiệm vụ tưới tiêu phục vụ sản xuất nông nghiệp còn kết hợp với các mục tiêu sản xuất kinh doanh khác như cấp nước công nghiệp, sinh hoạt, phát điện, nuôi trồng thuỷ sản.v.v) việc phân tích đánh giá hiệu quả đầu tư ngoài phân tích đánh giá hiệu quả kinh tế của dự án còn phải phân tích đánh giá hiệu quả tài chính dự án.
1.3.4. Nguyên tắc ” Có” và “Không có” dự án là xác định chi phí và lợi ích tăng thêm khi “Có dự án” và so sánh với khi “không có dự án”. Lợi ích thuần tuý tăng thêm này là do tác động trực tiếp của dự án mang lại. Cần lưu ý rằng nguyên tắc ” Có” và “Không có” dự án không đồng nghĩa với “trước và “sau” khi có dự án.
1.3.5. Nguyên tắc xác định lợi ích tăng thêm. Lợi ích tăng thêm của các dự án tưới tiêu là các lợi ích nhờ có dự án mang lại như tăng diện tích, tăng vụ, tăng năng suất, tăng sản lượng, giảm thiệt hai, giảm chi phí.v.v... Khi tính toán lợi ích tăng thêm ngoài lợi ích đối với sản xuất nông nghiệp cần liệt kê đầy đủ các lợi ích tăng thêm khác và tránh trùng lặp hoặc bỏ sót.
2. Trình tự và phương pháp đánh giá hiệu quả kinh tế
Trình tự và phương đánh giá hiệu quả kinh tế của dự án thuỷ lợi phục vụ tưới, tiêu thực hiện theo các bước và các yêu cầu tính toán như sau:
2.1. Điều tra, thu thập tài liệu, số liệu
2.1.1. Thu thập các tài liệu dân sinh kinh tế - xã hội vùng dự án tưới tiêu
2.1.1.1. Điều kiện sản xuất nông nghiệp (hiện trạng)
- Phân loại đất: Điều tra hiện trạng các loại đất (theo biểu phụ lục A.1)
- Hiện trạng sử dụng đất trong nông nghiệp: Tổng diện tích đất tự nhiên, đất canh tác, đất gieo trồng, đất hoang, đất được tưới hoàn toàn (bằng trọng lực, bơm) đất tưới 1 phần và đất tưới nhờ mưa (Điều tra số liệu trong 5 năm gần nhất (theo biểu phụ lục A.2).
- Diện tích năng suất, sản lượng, cơ cấu cây trồng: Tổng diện tích canh tác, diện tích và năng suất gieo trồng các loại cây theo từng vụ, thị trường tiêu thụ và giá cả. Chuỗi số liệu tối thiểu phải đủ 5 năm gần nhất (theo biểu phụ lục A.3).
- Chi phí sản xuất nông nghiệp: Chi phí sản xuất nông nghiệp phải điều tra rõ các yếu tố chi phí đầu vào của sản xuất theo từng ha đối với từng loại cây trồng theo từng vụ như giống, phân bón (đạm lân, kali, phốt phát, phân chuồng.v.v), thuốc trừ sâu, thuê máy cày bừa, máy gặt- tuốt, công lao động làm giống, gieo trồng chăm sóc , thu hoạch, thuỷ lợi phí và các chi phí khác có liên quan (Theo mẫu biểu phụ lục A.6).
- Hiện trạng tưới tiêu, tình hình úng, hạn hàng năm: Cần điều tra, đánh giá hoạt động sản xuất (diện tích hạn, úng của các loại cây trồng ngập hàng năm và ước tính thiệt hại trong 10 năm gần đây nhất).
2.1.1.2. Điều kiện cơ sở hạ tầng giao thông thuỷ lợi
- Hiện trạng các công trình tưới, tiêu hiện có trong khu vực dự án
- Hệ thống tổ chức quản lý thuỷ nông, chi phí vận hành khai thác hàng năm (bao gồm các khoản mục theo quy định như chi phí lương và các khoản phải trả theo lương, chi phí quản lý, chi phí sửa chữa thường xuyên, chi phí sửa chữa lớn, chi phí năng lượng nhiên liệu .v.v) lấy theo số liệu quyết toán của các công ty quản lý thuỷ nông trong 5 năm gần nhất theo mẫu bảng phụ lục A.5.
- Hiện trạng hệ thống đường giao thông và cơ sở hạ tầng khác trong khu vực dự án.
2.1.1.3. Thị trường trao đổi hàng hoá và tiêu thụ sản phẩm
- Mạng lưới tiêu thụ sản phẩm (nông nghiệp .v.v...) tại chỗ, ngoài tỉnh hay xuất khẩu; hệ thống thu mua, đại lý.
- Giá đầu vào các yếu tố sản xuất nông nghiệp tại vùng dự án như giá giống, phân bón (đạm lân, kali, phốt phát, phân chuồng.v.v), thuốc trừ sâu, thuê máy cày bừa, máy gặt- tuốt, giá thuê lao động trong nông nghiệp, công nghiệp (thợ xây dựng, lái xe, cày máy...), thuỷ lợi phí và các chi phí khác có liên quan đến sản xuất.v.v...
- Chi phí vận chuyển các loại vật tư, vật liệu, sản phẩm nông nghiệp bằng một số phương tiện có trong vùng dự án: Ô tô; đường sắt; đường thuỷ.
- Giá cả các loại vật tư và dịch vụ tại vùng dự án để ước tính giá thành xây dựng công trình.
2.1.2. Các tài liệu về chiến lược, kế hoạch phát triển kinh tế xã hội vùng dự án
2.1.2.1. Kế hoạch phát triển nông nghiệp
- Dự kiến kế hoạch sử dụng đất trong sản xuất nông nghiệp sau khi có dự án
- Dự kiến thay đổi cơ cấu cây trồng, năng suất, sản lượng theo các mục tiêu của dự án đặt ra (tương tự mẫu phụ lục A.3 ứng với trường hợp “Có dự án”).
- Mức độ đầu tư và chi phí sản xuất nông nghiệp dự kiến sau khi có dự án: (tương tự mẫu phụ lục A.6 ứng với trường hợp có dự án).
2.1.2.2. Mục tiêu của dự án
- Cần xác định rõ các tác động “Khi có” dự án đối với sản xuất nông nghiệp và các hoạt động sản xuất khác (nếu có) để so sánh với tình hình khi “Không có” dự án. Cụ thể cần xác định các yếu tố sau:
- Diện tích tưới được tăng thêm khi có dự án (bao gồm diện tích tưới hoàn toàn hay một phần).
- Diện tích tiêu được tăng thêm khi có dự án
- Năng suất, sản lượng, hệ số quay vòng (tăng vụ) dự kiến khi có dự án
- Các yếu tố này là cơ sở để đánh giá lợi ích của dự án sẽ được trình bày cụ thể ở mục 2.3.
2.1.3. Nguyên tắc và phương pháp thu thập tài liệu, số liệu
- Tài liệu số liệu điều tra, thu thập phải chính xác, có trích dẫn nguồn gốc rõ ràng, cụ thể.
- Đối với các số liệu thống kế, số liệu kế hoạch và các số liệu dự kiến chiến lược có thể thu thập ở các cơ quan thống kê (Trung ương, tỉnh, huyện, xã) và các cơ quan chuyên môn có liên quan như Kế hoạch đầu tư, Nông nghiệp & PTNT, Xây dựng, Tài chính vật giá; Thuỷ sản, Môi trường v.v từ Trung ương đến địa phương. Về giá cả của một số yếu tố đầu vào đầu ra của dự án trao đổi trên thị trường Quốc tế (xuất nhập khẩu) thì có thể sử dụng nguồn số liệu của các tổ chức tài chính Quốc tế như ADB, WB .v.v.
- Trước khi phân tích đánh giá hiệu quả của dự án, nhất thiết phải tiến hành điều tra, phỏng vấn tại các điểm đã được xem xét chọn lọc trong vùng dự án, tại các hộ nông dân điển hình để có được số liệu tin cậy về tác động của dự án đến từng hộ nông dân và người hưởng lợi dự án nói chung và thái độ của họ đối với dự án.
- Điều tra trực tiếp ở thị trường để có được những thông tin chính xác về hệ thống giá cả, trao đổi ở hàng hoá, thu mua, đại lý, tiếp thị ở vùng dự án.
2.2. Xác định tổng chi phí của dự án TL (C)
Tổng chi phí của dự án trong cả đời kinh tế của dự án bao gồm: Vốn đầu tư ban đầu của dự án, chi phí quản lý vận hành hàng năm, chi phí thay thế trong vòng đời của dự án.
2.2.1. Xác định vốn đầu tư của dự án (K) (tổng mức đầu tư)
Tổng vốn đầu tư dự án TL là khái toán chi phí của dự án bao gồm tổng chi phí xây dựng công trình (chi phí xây dựng, chi phí thiết bị, chi phí quản lý dự án và chi khác, chi phí dự phòng) và chi phí đền bù giải phóng mặt bằng tái định cư. Phương pháp tính toán theo hướng dẫn tại của cơ quan có thẩm quyền (hiện tại tính theo Thông tư số 04/2005/TT-BXD ngày 1/4/2005 của Bộ Xây Dựng).
2.2.1.1. Tổng chi phí xây dựng công trình
a) Chi phí xây dựng công trình (vốn đầu tư công trình): Là toàn bộ chi phí cần để xây dựng mới hoặc khôi phục nâng cấp công trình thuộc dự án. Chi phí xây dựng bao gồm chi phí xây dựng công trình, hạng mục công trình, chi phí phá dỡ san lấp mặt bằng, chi phí xây dựng công trình tạm, công trình phụ trợ, nhà tạm tại công trình để ở và điều hành thi công. Chi phí xây dựng tính theo khối lượng từ thiết kế cơ sở; ước tính một số khối lượng khác và đơn giá xây dựng cơ bản (đơn giá tổng hợp) tại thời điểm lập dự án.
b) Chi phí thiết bị: Được tính theo số lượng, chủng loại, giá trị từng loại thiết bị hoặc giá trị toàn bộ dây chuyền công nghệ theo giá thị trường ở thời điểm lập dự án hoặc theo giá của nhà cung cấp (bao gồm các chi phí dự tính như vận chuyển, bảo quản, lắp đặt và đào tạo chuyển giao công nghệ (nếu có).
c) Chi phí quản lý dự án và chi phí khác: Là toàn bộ các chi phí cần thiết để thực hiện các công việc như: quản lý chung của dự án; tổ chức thực hiện công tác đền bù giải phóng mặt bằng thuộc trách nhiệm của chủ đầu tư; thẩm định hoặc thẩm tra thiết kế, tổng dự toán, dự toán công trình; lập hồ sơ mời thầu, phân tích đánh giá hồ sơ dự thầu, hồ sơ đấu thầu; giám sát thi công xây dựng, giảm sát khảo sát xây dựng, và lắp đặt thiết bị; kiểm định và chứng nhận sự phù hợp về chất lượng công trình xây dựng; nghiệm thu quyết toán và quy đổi vốn đầu tư; lập dự án; thi tuyển kiến trúc(nếu có); khảo sát thiết kế; trả lãi vay trong thời gian xây dựng (đối với dự án vốn ODA); chỉ đạo của Ban chỉ đạo Nhà nước, nghiệm thu của Hội đồng nghiệm thu Nhà nước, đăng kiểm Quốc tế, quan trắc biến dạng công trình (nếu có); tạo vốn lưu động ban dầu cho sản xuất; cho quá trình chạy thử không tải và có tài; công tác kiểm toán, thẩm tra phê duyệt quyết toán, bảo hiểm công trình và một số chi khác.
Khoản chi phí này ước tính bằng 10-15 % tổng chi phí xây dựng và chi phí thiết bị.
d) Chi phí dự phòng: Khoản chi phí này tính bằng không quá 15 % tổng chi phí xây dựng, chi phí thiết bị và chi phí quản lý dự án và chi phí khác.
2.2.1.2. Chi phí đền bù giải phòng mặt bằng, tái định cư:
Bao gồm chi phí đền bù nhà cửa, vật kiến trúc, cây trồng trên đất.v.v...; chi phí thực hiện tái định cư, chi phí sử dụng đất, chi phí đầu tư hạ tầng kỹ thuật (nếu có). Các chi phí này được tính theo khối lượng phải đền bù tái định cư của dự án và các quy định hiện hành của các cơ quan Nhà nước về đền bù giải phóng mặt bằng tại vùng dự án.
Sau khi tính toán xác định được các chi phí trên, lập thành bảng sau:
Bảng 1. Bảng tổng hợp vốn đầu tư của dự án
| TT | Tên chỉ tiêu | Ngoại tệ (nếu có) | Nội tệ (VND) | Tổng cộng (103 VND) | |
| Ngoại tệ | Quy ra nội tệ (VND) | ||||
| I | Tổng vốn đầu tư xây dựng công trình |
|
|
|
|
| 1 | Chi phí xây dựng |
|
|
|
|
| 2 | Chi phí thiết bị |
|
|
|
|
| 3 | Chi phí quản lý dự án và chi phí khác |
|
|
|
|
| 4 | Chi phí dự phòng |
|
|
|
|
| II | Chi phí đền bù giải phóng mặt bằng, tái định cư |
|
|
|
|
| III | Tổng vốn đầu tư dự án K= (I + II) |
|
|
|
|
2.2.2. Chi phí quản lý vận hành hàng năm (CQLVH)
Chi phí quản lý vận hành công trình hàng năm bao gồm các khoản chính như: Chi phí lương và các khoản tính theo lương của cán bộ và công nhân quản lý vận hành công trình; nguyên nhiên vật liệu, năng lượng; chi phí sửa chữa thường xuyên tài sản cố định; chi phí quản lý doanh nghiệp và các khoản chi phí khác. Chi phí quản lý vận hành công trình hàng năm có thể tính bằng tỷ lệ % so với tổng vốn đầu tư xây dựng công trình.
Theo thống kế và kinh nghiệm, CQLVH có thể lấy bằng 3 ¸ 5% tổng vốn đầu tư xây dựng công trình đối với các hệ thống tưới tiêu bằng động lực và bằng từ 1,5 ¸ 3% đối với dự án hồ chứa, tưới tự chảy.
Ngoài ra có thể lấy chi phí hoạt động thực tế bình quân trên 1 ha (trong năm 5 năm gần nhất) của một hệ thống tương tự trong vùng để ước tính chi phí vận hành bảo dưỡng hàng năm. Xem phụ lục A.5.
Đối với các dự án vừa xây dựng, vừa khai thác sử dụng từng phần khi dự án chưa hoàn thành thì chi phí quản lý vận hành hàng năm tính theo quy định trên nhân với tỷ lệ % số diện tích hàng năm được tưới tiêu.
2.2.3. Chi phí thay thế (CTT):
Chi phí thay thế là chi phí sửa chữa lớn hoặc thay thế hoàn toàn thiết bị nên phải đưa vào dòng chi phí của dự án và chỉ tính đối với các dự án là trạm bơm tưới, tiêu. Sau khi dự án hoàn thành đưa vào khai thác sử dụng, cứ 5 năm đưa vào dòng chi phí của dự án một khoản chi phí thay thế.Theo kinh nghiệm lấy trong khoảng 10 – 15 % vốn đầu tư thiết bị ban đầu đối với thiết bị nội và 7 ¸ 10% đối với thiết bị nhập ngoại.
2.2.4. Tổng chi phí của dự án (C)
Sau khi xác định được tổng vốn đầu tư ban đầu của dự án (K), chi phí quản lý vận hành (CQLVH) và chi phí thay thế (CTT) lập bảng tính tổng chi phí của dự án theo từng năm trên cơ sở tiến độ thi công xây dựng và dự kiến kế hoạch khai thác sử dụng công trình theo bảng sau.
Bảng 2. Bảng tổng hợp chi phí của dự án
| Năm xây dựng và khai thác | Các khoản mục chi phí (103đồng) | Tổng cộng (C) (103đồng) | ||
| Vốn đầu tư ban đầu (K) | C.phí thay thế (CTT) | C.phí QLVH (CQLVH) |
| |
| 1 |
|
|
|
|
| 2 |
|
|
|
|
| 3 |
|
|
|
|
| 4 |
|
|
|
|
| .... |
|
|
|
|
2.3. Xác định tổng lợi ích của dự án TL (B)
Các lợi ích của dự án tưới tiêu có thể bao gồm lợi ích từ tưới, tiêu phục vụ sản xuất nông nghiệp, lợi ích từ cấp nước phục vụ công nghiệp, sinh hoạt dân sinh; lợi ích nhận từ thuỷ điện ; lợi ích từ nuôi trồng thuỷ sản.v.v nhưng mục tiêu phục vụ tưới tiêu là chính. Vì vậy bản hướng dẫn này chỉ hướng dẫn cụ thể cách xác định lợi ích của dự án đối với sản xuất nông nghiệp, phương pháp xác định các lợi ích khác (nếu có) thực hiện tương tự như phương pháp xác định lợi ích của dự án đối với sản xuất nông nghiệp.
2.3.1. Nguyên tắc xác định lợi ích của dự án TL
2.3.1.1. Lợi ích của dự án tưới, tiêu đối với sản xuất nông nghiệp được đánh giá bằng giá trị thu nhập thuần tuý tăng thêm dưới tác động của dự án.
2.3.1.2. Để đánh giá hiệu quả kinh tế của dự án phải sử dựng nguyên tắc “Có” và “Không có”dự án để tính toán thu nhập thuần tuý của dự án. Bảng 3 dưới đây là ví dụ tính toán xác định thu nhập thuần tuý của một dự án thuỷ lợi phục vụ tưới với tổng diện tích tưới khi không có dự án là 10.200 ha và khi có dự án là 13.000 ha.
Bảng 3. Thu nhập thuần tuý của dự án
TT | Mùa vụ cây trồng | Diện tích (103ha) | Thu nhập trên 1 ha (103đ) | Tổng thu nhập (103đ) |
|
| A. Trước khi có dự án |
|
|
|
| 1 | Lúa đông xuân | 9,5 | 4.510,65 | 42.851.175 |
| 2 | Lúa hè thu | 10,2 | 3.610,30 | 36.825.060 |
| 3 | Màu |
|
|
|
|
| Ngô | 6,2 | 689,80 | 4.276.760 |
|
| Khoai tây | 5,2 | 961,93 | 5.002.036 |
|
| Lạc | 4,0 | 1.683,25 | 6.733.000 |
|
| Tổng cộng |
|
| 95.688031 |
|
| B. Sau khi có dự án |
|
|
|
| 1 | Lúa đông xuân | 10,9 | 7.010,65 | 76.416.085 |
| 2 | Lúa hè thu | 13,0 | 6.360,30 | 82.683900 |
| 3 | Mầu |
|
|
|
|
| Ngô | 6,0 | 1.477,80 | 8.866.800 |
|
| Khoai tây | 5,5 | 2.061,93 | 11.340.615 |
|
| Lạc | 4,2 | 2.933,25 | 12.319.650 |
|
| Tổng cộng |
|
| 191.627.050 |
|
| Giá trị thu nhập thuần tuý: Tổng B - Tổng A = 95.939.019,0 (103đ) | |||
2.3.1.3. Đối với các dự án tiêu úng cho sản xuất nông nghiệp và các ngành kinh tế khác ngoài phần giá trị sản lượng nông nghiệp tăng thêm do tác động của dự án tiêu mang lại, lợi ích của dự án tiêu còn được đánh giá bằng giá trị thiệt hại hàng năm đã tránh được nhờ có dự án.
2.3.1.4. Khi tính toán xác định thu thập của dự án phải căn cứ vào tiến độ xây dựng và dự kiến kế hoạch đưa công trình vào khai thác sử dụng từng phần (nếu có) cho đến khi dự án hoàn thành và khai thác sử dụng đầy đủ theo năng lực thiết kế. Do đó căn cứ vào tính chất từng dự án và năng lực quản lý vận hành, cần xác định khoảng thời gian dự án phát triển đầy đủ năng lực thiết kế và khả năng phát huy hiệu quả của dự án trong từng năm (xem ví dụ ở phần phụ lục).
2.3.1.5. Khi xác định lợi ích kinh tế của dự án TL, giá các yếu tố đầu vào và đầu ra của dự án phải tính bằng giá kinh tế trong thời gian tương lai như trình bày ở mục 2.3.2.2.
- Để đánh giá hiệu quả của dự án TL đối với các hộ nông dân (về mặt tài chính) cần phải tính toán thu nhập thuần tuý ( lãi ) trên 1 ha gieo trồng của hộ nông dân điển hình. Bảng 4 là một ví dụ tính toán thu nhập thuần tuý (lãi) trên 1 ha lúa vụ Đông xuân của hộ nông dân (tính theo giá thị trường).
Bảng 4. Thu nhập thuần tuý của 1 ha lúa Đông xuân của hộ nông dân
|
| Khoản mục | Đơn vị | Số lượng | Đơn gíá | Thành tiền 103 đ |
| I | Tổng thu nhập |
|
|
|
|
|
| Tổng giá trị sản lượng lúa | Kg | 5.500 | 2.500 | 13.750 |
| II | Chi phí |
|
|
|
|
| 1 | Chi phí lao động | công | 200 | 12.000 | 2.400 |
| 2 | Chi phí đầu vào |
|
|
|
|
|
| - Giống | Kg | 120 | 3.750 | 450 |
|
| - Phân chuồng | Tấn | 7 | 200.000 | 1.400 |
|
| - Đạm | Kg | 170 | 2.800 | 476 |
|
| - Lân | Kg | 180 | 1.200 | 216 |
|
| - Kali | Kg | 70 | 2.500 | 175 |
|
| - Thuốc trừ sâu | Lít | 2 | 90.000 | 180 |
| 3 | Thuê máy cày bừa | Ha | 1 | 550.000 | 550 |
| 4 | Thuỷ lợi phí (NĐ 143) | Ha | 1 | 600.000 | 600 |
| 5 | Chi phí khác 5% x (1+2+3) |
|
|
| 292,35 |
|
| Tổng chi phí |
|
|
| 6.739,35 |
| III | Thu nhập thuần tuý (I-II) |
|
|
| 7.010,65 |
2.3.2. Phương pháp và trình tự xác định lợi ích của dự án TL(thu nhập thuần tuý)
Lợi ích của dự án tưới tiêu có thể bao gồm từ phục vụ sản xuất nông nghiệp; từ cấp nước phục vụ công nghiệp, sinh hoạt dân sinh; từ thuỷ điện; từ nuôi trồng thuỷ sản.v.v... nhưng mục tiêu phục vụ tưới tiêu là chính. Vì vậy bản hướng dẫn này chủ yếu hướng dẫn cụ thể cách xác định lợi ích của dự án đối với sản xuất nông nghiệp, đối với các lợi ích khác của dự án (nếu có) thì cách tính tương tự như đối với sản xuất nông nghiệp.
2.3.2.1. Tính toán xác định sản lượng dự kiến sẽ tăng thêm khi có dự án.
Trên cơ sở các tài liệu đã thu thập được về tình hình sản xuất nông nghiệp trong điều kiện chưa có dự án (diện tích và năng suất), tính toán xác định giá trị sản lượng đạt được của sản xuất nông nghiệp.
Dự kiến về tình hình sản xuất nông nghiệp trong điều kiện có dự án (diện tích và năng suất sẽ đạt được) như mục tiêu của dự án đã vạch ra. Tính toán được giá trị sản lượng dự kiến đạt được trong điều kiện có dự án như phụ lục A.3.
Bảng 5. Sản lượng dự kiến sẽ tăng thêm khi có dự án
| TT | Cơ cấu cây trồng
| Không có dự án | Có dự án | Sản lượng tăng lên khi có dự án (tấn) | ||||
| Diện tích (ha)
| Năng suất (tấn/ha)
| Sản lượng (tấn) | Diện tích (ha) | Năng suất (tấn/ha) | Sản lượng (tấn) | |||
| 1 | 2 | 3 | 4 | 5 = 3x4 | 6 | 7 | 8 = 6x7 | 9 = 8-5 |
| I | Lúa |
|
|
|
|
|
|
|
| 1 | Vụ Đông xuân | 8.000 | 4.5 | 36.000 | 11.000 | 5.5 | 60.500 | 24.500 |
| 2 | Vụ Hè thu | 11.50 | 4.0 | 46.000 | 12.400 | 5.1 | 63.240 | 17.240 |
|
| .v.v.v |
|
|
|
|
|
|
|
| II | Màu |
|
|
|
|
|
|
|
| 1 | Ngô | 5.000 | 1.7 | 8.500 | 5.000 | 2.1 | 10.500 | 2.000 |
| 2 | Khoai | 4.500 | 5.0 | 22.500 | 4.800 | 6.0 | 28.800 | 6.300 |
| 3 | Lạc | 3.200 | 1.4 | 4.480 | 3.500 | 1.65 | 5.775 | 1.295 |
|
| v.v... |
|
|
|
|
|
|
|
Ghi chú:
- Năng suất khi chưa có dự án lấy bằng số bình quân năng suất trong 5 năm gần nhất của vùng dự án (theo số liệu điều tra, thống kế thực tế).
- Năng suất khi có dự án lấy theo số liệu dự báo hoặc lấy bằng số bình quân năng suất trong 5 năm gần nhất của vùng khác (trong khu vực) đã có điều kiện tưới tiêu tương đối tốt, tương tự như điều kiện tưới tiêu của vùng dự án mà dự kiến sẽ đạt được khi hoàn thành (theo số liệu, điều tra, thống kê thực tế)
2.3.2.2. Tính toán, xác định giá kinh tế các yếu tố đầu vào và đầu ra của sản xuất nông nghiệp
Khi tính toán, xác định giá kinh tế các yếu tố đầu vào và đầu ra của sản xuất nông nghiệp cần phải xác định rõ yếu tố nào được buôn bán trao đổi trên thị trường Quốc tế. Các yếu tố đầu vào và đầu ra là hàng hóa được trao đổi trên thị trường Quốc tế (như ngô, gạo, cà phê, phân bón, thuốc trừ sâuv.v) có thể sử dụng giá dự báo của các tổ chức tài chính Quốc tế như ADB, WB ở các thị trường chính trên thế giới sau đó tính chuyển về giá tại vùng dự án. Nếu là hàng hoá xuất khẩu (như gạo, cà phê.v.v...) thì lấy giá FOB trên thị trường thế giới tính chuyển đổi về giá FOB tại cảng biển nước ta (gía biên giới) sau đó tính chuyển về giá tại vùng dự án (Cách tính toán minh hoạ ở bảng 6). Nếu là hàng hoá nhập khẩu (như phân bón, thuốc trừ sâu.v.v ) thì lấy giá FOB trên thị trường thế giới, tính chuyển đổi về giá CIF tại cảng biển ở nước ta, sau đó tính chuyển đổi về giá tại vùng dự án (Cách tính toán minh hoạ ở bảng 7).
Bảng 6. Xác định giá kinh tế lúa tại vùng dự án (giá dự báo năm 2007)
| TT | Khoản mục chi phí | Đơn vị | Giá dự báo 2007 |
| 1 | Giá gạo 5 % tại Bangkok năm 2007 | USD/tấn | 290 |
| 2 | Điều chỉnh chất lượng | USD/tấn | 12 |
| 3 | Chi phí vận chuyển và bảo hiểm đến cảng Hải phòng | USD/tấn | 15 |
| 4 | FOB tại cảng Hải Phòng (1-2-3) | USD/tấn | 263 |
| 5 | Chuyển đổi sang đồng tiền Việt Nam (1USD = 15500 VND) | 1000 VND/tấn | 4076,5 |
| 6 | Cảng phí, hao hụt và lợi nhuận nhà nhập khẩu. (tính khoảng 10 % x 5) | 1000 VND/tấn | 407,6 |
| 7 | Giá xuất khẩu tại cảng Hải Phòng (5-6) | Đồng/tấn | 3668,9 |
| 8 | Vận chuyển từ vùng dự án đến Hải Phòng | Đồng/tấn | 240 |
| 9 | Giá kinh tế tại ranh giới vùng dự án | Đồng/tấn | 3428,9 |
| 10 | Chi phí xay xát (trừ thu hồi cám) | Đồng/tấn | 40 |
| 11 | Giá kinh tế tại ranh giới vùng dự án (7-8-9-10) | Đồng/tấn | 3388,9 |
| 12 | Quy đổi ra thóc (0,68) | Đồng/tấn | 2304,5 |
| 13 | Chi phí bảo quản và vận chuyển trong vùng dự án | Đồng/tấn | 30 |
| 14 | Giá kinh tế của lúa tại chân ruộng (12-13) | Đồng/kg | 2274,5 |
| 15 | Giá kinh tế của lúa | Đồng/kg | 2274,5 |
(Ghi chú: Theo dự báo của WB, năm 2007 giá gạo loại 5% tại thị trường Bangkok là 290 USD/ tấn (giá FOB). Lúa là hàng hoá xuất khẩu;).
Bảng 7. Giá kinh tế phân Urê tại vùng dự án (giá dự báo năm 2007)
| TT | Tính toán | Đơn vị | Giá dự báo 2007 |
| 1 | Giá FOB tại Châu Âu (đã đóng bao) | USD/tấn | 115 |
| 2 | Chi phí vận chuyển về cảng Hải Phòng | USD/tấn | 30 |
| 3 | Giá CIF tại cảng Hải Phòng (1+2) | USD/tấn | 145 |
| 2 | Chuyển đổi sang đồng Việt Nam | 1000 đồng/tấn | 2247,5 |
| 3 | Chi phí cập cảng (15000 đồng/tấn) | 1000 đồng/tấn | 15 |
| 4 | Chi phí lưu kho (135000 đồng/tấn) | 1000 đồng/tấn | 135 |
| 5 | Chi phí vận chuyển đến vùng dự án | 1000 đồng/tấn | 300 |
| 6 | Giá kinh tế tại ranh giới dự án (2+3+4+5) | 1000 đồng/tấn | 2697,5 |
| 7 | Chi phí vận chuyển đến ruộng | 1000 đồng/tấn | 20 |
| 8 | Giá kinh tế tại ruộng (6 + 7) | 1000 đồng/tấn | 2717,5 |
|
| Giá kinh tế của Urê | Đồng/kg | 2717 |
(Ghi chú: Theo dự báo của WB, năm 2007 giá Urê tại thị trường châu Âu là 115 USD/ tấn (giá FOB). Urê là hàng hoá nhập khẩu; 1USD = 15500 VND).
Đối với hàng hoá chỉ trao đổi trên thị trường nội địa thì lấy bằng giá thị trường hiện tại và dự báo cho những năm sau.
Kết quả tính toán giá kinh tế lập thành bảng (như minh hoạ ở Bảng 8) để tính tổng thu nhập, tổng chi phí và giá trị thu nhập thuần tuý của 1 ha từng loại cây trồng trong điều kiện có và không có dự án như ví dụ trình bày ở các bảng 9 và bảng 10.
Bảng 8. Giá kinh tế các yếu tố đầu vào, đầu ra của sản xuất
| TT | Loại hàng hoá | Đơn vị | Giá kinh tế (đ) |
| 1 | Lúa | kg | 2.274,5 |
| 2 | Đậu | kg | 3.500,0 |
| 3 | Ngô | kg | 2717,0 |
| 4 | Lạc | kg | 5000,0 |
| 5 | Phân bón |
|
|
|
| - Kali | kg | 2.500,0 |
|
| - Đạm urea | kg | 2.710,0 |
|
| - Phân lân | kg | 1.200,0 |
|
| - Thuốc trừ sâu | lít | 100.000,0 |
| 6 | Công lao động | Ngày công | 12.000,0 |
|
| - v.v.v |
|
|
Bảng 9. Giá trị thu nhập thuần tuý của 1 ha cây trồng trong điều kiện không có dự án
| Khoản mục thu chi | Lúa | Khoai tây | Ngô | Lac, v.v | ||||||||||||
| Đông xuân | Hè thu | |||||||||||||||
| Đơn giá (103đ) | Số lượng (tấn) | Thành tiền (103đ) | Số lượng (tấn) | Thành tiền (103đ) | Số lượng (tấn) | Đơn giá (103đ) | Thành tiền (103đ) | Số lượng (tấn) | Đơn giá (103đ) | Thành tiền (103đ) | Số lượng (tấn) | Đơn giá (103đ) | Thành tiền (103đ) | |||
| I. Tổng thu nhập /ha cây trồng | 11.250 |
| 10.000 |
|
| 5.500 |
|
| 4.420 |
|
| 7.000 | ||||
| Tổng thu nhập /ha cây trồng | 2.500 | 4,5 | 11.250 | 4 | 10.000 | 5 | 1.100 | 5.500 | 1,7 | 2.600 | 4.420 | 1.4 | 5.000 | 7.000 | ||
| II. Tổng chi phí /ha cây trồng | 6.739,35 |
| 6.389,7 |
|
| 4.538,07 |
|
| 3.730,2 |
|
| 5.316,75 | ||||
| 1. Chi phí lao động (103đ/công) | 12 | 200 | 2.400 | 200 | 2.400 | 100 | 12 | 1.200 | 100 | 12 | 1.200 | 145 | 12 | 1.740 | ||
| 2. Chi phí đầu vào |
|
| 0 |
| 0 |
|
| 0 |
|
| 0 |
|
| 0 | ||
| - Giống (103đ/tấn) | 3.750 | 0.12 | 450 | 0,12 | 450 | 0,148 | 1.800 | 266,4 | 0,060 | 3.900 | 234 | 0,12 | 7.500 | 900 | ||
| - Phân chuồng(103đ/tấn) | 200 | 7 | 1.400 | 6 | 1.200 | 7 | 200 | 1.400 | 5 | 200 | 1.000 | 6 | 200 | 1.200 | ||
| - Đạm (103đ/tấn) | 2.800 | 0,17 | 476 | 0,14 | 392 | 0,2 | 2.800 | 560 | 0,1 | 2.800 | 280 | 0,12 | 2.800 | 336 | ||
| - Lân (103đ/tấn) | 1.200 | 0,18 | 216 | 160 | 192 | 0,16 | 1.200 | 192 | 0,1 | 1.200 | 120 | 0,12 | 1.200 | 144 | ||
| - Kali (103đ/tấn) | 2.500 | 0,07 | 175 | 0,06 | 150 | 0,07 | 2.500 | 175 | 0,04 | 2.500 | 100 | 0,05 | 2.500 | 125 | ||
| - Thuốc trừ sâu(103đ/lít) | 90 | 2 | 180 | 2 | 180 |
| 90 | 0 | 1 | 90 | 90 | 1 | 90 | 90 | ||
| 3. Thuê máy cày bừa(103đ/ha) | 550 | 1 | 550 | 1 | 550 | 1 | 300 | 300 | 1 | 300 | 300 | 1 | 300 | 300 | ||
| 4. Thuỷ lợi phí (103đ/ha) Theo NĐ số 143 | 600 | 1 | 600 | 1 | 600 | 1 | 240 | 240 | 1 | 240 | 240 | 1 | 240 | 240 | ||
| 5. Chi phí khác = 5 % x ( 1+2+3) 103đ |
|
| 292,35 |
| 275,7 |
|
| 204,67 |
|
| 166,2 |
|
| 241,75 | ||
| III. Giá trị thu nhập thuần tuý (103đ/ha) |
|
| 4.510,65 |
| 3.610,3 |
|
| 961,93 |
|
| 689,8 |
|
| 1.683,25 | ||
Bảng 10. Giá trị thu nhập thuần tuý của 1 ha cây trồng trong điều kiện có dự án
| Khoản mục thu chi | Lúa | Khoai tây | Ngô | Lạc, v.v | ||||||||||
| Đông xuân | Hè thu | |||||||||||||
| Đơn giá (103đ) | Số lượng (tấn) | Thành tiền (103đ) | Số lượng (tấn) | Thành tiền (103đ) | Số lượng (tấn) | Đơn giá (103đ) | Thành tiền (103đ) | Số lượng (tấn) | Đơn giá (103đ) | Thành tiền (103đ) | Số lượng (tấn) | Đơn giá (103đ) | Thành tiền (103đ) | |
| I. Tổng thu nhập /ha cây trồng | 11.250 |
| 10.000 |
|
| 5.500 |
|
| 4.420 |
|
| 7.000 | ||
| Tổng thu nhập /ha cây trồng | 2.500 | 4,5 | 11.250 | 4 | 10.000 | 5 | 1.100 | 5.500 | 1,7 | 2.600 | 4.420 | 1.4 | 5.000 | 7.000 |
| II. Tổng chi phí /ha cây trồng | 6.739,35 |
| 6.389,7 |
|
| 4.538,07 |
|
| 3.730,2 |
|
| 5.316,75 | ||
| 1. Chi phí lao động (103đ/công) | 12 | 200 | 2400 | 200 | 2400 | 100 | 12 | 1200 | 120 | 12 | 1440 | 145 | 12 | 1740 |
| 2. Chi phí đầu vào |
|
| 0 |
| 0 |
|
| 0 |
|
| 0 |
|
| 0 |
| - Giống (103đ/tấn) | 3750 | 0.12 | 450 | 0.12 | 450 | 0.148 | 1800 | 266.4 | 0.06 | 3900 | 234 | 0.12 | 7500 | 900 |
| - Phân chuồng(103đ/tấn) | 200 | 7 | 1400 | 6 | 1200 | 7 | 200 | 1400 | 5 | 200 | 1000 | 6 | 200 | 1200 |
| - Đạm (103đ/tấn) | 2800 | 0.17 | 476 | 0.14 | 392 | 0.2 | 2800 | 560 | 0.1 | 2800 | 280 | 0.12 | 2800 | 336 |
| - Lân (103đ/tấn) | 1200 | 0.18 | 216 | 0.16 | 192 | 0.16 | 1200 | 192 | 0.1 | 1200 | 120 | 0.12 | 1200 | 144 |
| - Kali (103đ/tấn) | 2500 | 0.07 | 175 | 0.06 | 150 | 0.07 | 2500 | 175 | 0.04 | 2500 | 100 | 0.05 | 2500 | 125 |
| - Thuốc trừ sâu(103đ/lít) | 90 | 2 | 180 | 2 | 180 |
| 90000 | 0 | 1 | 90 | 90 | 1 | 90 | 90 |
| 3. Thuê máy cày bừa(103đ/ha) | 550 | 1 | 550 | 1 | 550 | 1 | 300 | 300 | 1 | 300 | 300 | 1 | 300 | 300 |
| 4. Thuỷ lợi phí(103đ/ha) Theo NĐ số 143 | 600 | 1 | 600 | 1 | 600 | 1 | 240 | 240 | 1 | 240 | 240 | 1 | 240 | 240 |
| 5. Chi phí khác = 5 % x ( 1+2+3) 103đ |
|
| 292.35 |
| 275.7 |
|
| 204.67 |
|
| 178.2 |
|
| 241.75 |
| III. Giá trị thu nhập thuần tuý (103đ/ha) |
|
| 7010.65 |
| 6360.3 |
|
| 2061.93 |
|
| 1477.8 |
|
| 2933.3 |
- Thu nhập thuần tuý của dự án: Dựa vào kết quả tính toán thu nhập thuần tuý của 1 ha gieo trồng khi không có và khi có dự án và diện tích gieo trồng tương ứng có thể tính được thu nhập thuần tuý của dự án như ví dụ minh hoạ ở bảng 11.
Bảng 11. Giá trị thu nhập thuần tuý tăng thêm của dự án
| TT | Mùa vụ cây trồng | Diện tích (ha) | Thu nhập trên 1 ha (103đ) | Tổng thu nhập (103đ) |
| I | Khi chưa có dự án |
|
|
|
| 1 | Lúa Đông Xuân | 8000 | 4.510,65 | 36.085,20 |
| 2 | Lúa Hè Thu | 11500 | 3.610,30 | 41.518,45 |
| 3 | Màu |
|
|
|
|
| - Ngô | 5000 | 689,80 | 3.449,00 |
|
| - Khoai | 4500 | 961,93 | 4.328,68 |
|
| - Lạc | 3200 | 1.683,25 | 5.386.4 |
|
| Tổng cộng |
|
| 90.767,74 |
| II | Khi có dự án |
|
|
|
| 1 | Lúa Đông Xuân | 11000 | 7.010,65 | 77.117,15 |
| 2 | Lúa Hè Thu | 12400 | 6.360,30 | 78.867,72 |
| 3 | Màu |
|
|
|
|
| - Ngô | 5000 | 1.729,8 | 8.649,00 |
|
| - Khoai | 4800 | 2.061,93 | 9.897,26 |
|
| - Lạc | 3500 | 1.683,25 | 5.891,37 |
|
| Tổng cộng |
|
| 180.422,51 |
| Giá trị thu nhập thuần tuý tăng thêm: Tổng II - Tổng I = 89.654,77 |
| |||
Ghi chú: Đối với dự án tiêu thu nhập của dự án có thể bao gồm: Thu nhập do tăng diện tích canh tác, tăng vụ, tăng năng suất cây trồng nhờ tác động của dự án (được tính toán tương tự như trên) hoặc do hạn chế được tình trạng úng ngập (được đánh giá bằng giá trị các thiệt hại trung bình hàng năm do úng ngập gây ra ở vùng dự án đối với sản xuất nông nghiệp và các ngành kinh tế khác (theo tài liệu điều tra hàng năm) và chi phí trung bình hàng năm để khắc phục hậu quả úng ngập do có dự án mà tiết kiệm được).
2.4. Xác định các chỉ tiêu hiệu quả kinh tế của dự án TL
Muốn biết dự án có mang lại hiệu quả kinh tế cao hay thấp cần phân tích mối tương quan giữa tổng chi phí và tổng lợi ích của dự án trong toàn bộ đời sống của dự án thông qua các chỉ tiêu hiệu quả hiệu quả sau đây.
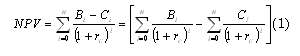
2.4.1. Giá trị thu nhập ròng (NPV)
Biểu thức xác định giá trị của NPV

Trong đó:
- Bi là là thu nhập của dự án vào năm thứ i
- Ci là tổng chi phí của dự án vào năm thứ i
- rc là mức lãi suất chiết khấu (hệ số chiết khấu)
- n là đời kinh tế của dự án (tuổi thọ của dự án tính bằng năm).
- i là chỉ số thời gian và chạy từ 0 đến n
Giá trị của NPV > 0 thì dự án mới có hiệu quả kinh tế và NPV càng lớn thì hiệu quả của dự án càng cao. Nếu NPV £ 0 thì dự án không đạt hiệu quả kinh tế.
2.4.2. Hệ số nội hoàn kinh tế (EIRR%)
Biểu thức xác định giá trị của IRR

Hệ số nội hoàn kinh tế EIRR có giá trị bằng hệ số chiết khấu trong công thức (1) mà tại đó NPV có giá trị bằng 0. Nếu NPV là chỉ tiêu tuyệt đối thì EIRR là chỉ tiêu tương đối biểu thị đầy đủ hơn tính hiệu quả về mặt kinh tế của dự án (Để tính toán NPV, EIRR sử dụng ¦x trong bảng tính Excel).
Giá trị của EIRR nhỏ hơn hoặc bằng chi phí cơ hội của vốn thì dự án không đạt hiệu quả kinh tế. EIRR càng lớn hơn thì hiệu quả kinh tế của dự án càng cao.
EIRR thường được so sánh với một mức lãi suất giới hạn do nhà nước quy định, thông thường EIRR ³ 12 %. Đối với các dự án tưới tiêu, căn cứ vào mục tiêu đầu tư, đối tượng hưởng lợi và các tác động của dự án đối với phát triển kinh tế xã hội, môi trường, an ninh quốc phòng.v.v... để quy định trị số EIRR tối thiểu phải đạt được theo từng vùng miền khác nhau (xem bảng 11).
2.4.3. Tỷ số thu nhập/chi phí (B/C)
Biểu thức xác định

Ghi chú: Để dùng (¦x) trong bảng tính Excel tính NPV; EIRR; B/C, lập bảng tính như phụ lục 2.7
2.4.4. Phân tích độ nhạy của dự án
Để đánh giá ảnh hưởng của các yếu tố bất lợi có thể xảy ra trong tương lai (rủi ro) như chi phí dự án tăng, thu nhập giảm ứng với các chỉ tiêu hiệu quả đã tính toán trên (phương án cơ sở), cần phân tích độ nhạy của dự án. Đối với dự án TL tính toán với các giải định như ở bảng 10 để rút ra kết luận.
Bảng 10. Bảng phân tích độ nhậy của dự án TL
| TT | Yếu tố thay đổi | Chỉ tiêu hiệu quả | ||
| EIRR (%) | B/C | NPV (i= %) (106 đ) | ||
|
| Phương án cơ sở |
|
|
|
| 1 | Thu nhập giảm 10% |
|
|
|
| 2 | Thu nhập giảm 20% |
|
|
|
| 3 | Chi phí tăng 10% |
|
|
|
| 4 | Chi phí tăng 20% |
|
|
|
| 5 | Chi phí tăng 10%, thu nhập giảm 10% |
|
|
|
| 6 | Chi phí tăng 20%, thu nhập giảm 10% |
|
|
|
| 7 | Chi phí tăng 10%, thu nhập giảm 20% |
|
|
|
2.4.5. Phân tích tác động của dự án TL đối với kinh tế-xã hội vùng hưởng lợi
Một số dự án tưới tiêu quy mô nhỏ ở vùng núi vùng sâu vùng xa, mục tiêu chính là giải quyết các vấn đề kinh tế xã hội (như xoá đói giảm nghèo, ổn định dân cư, tạo công ăn việc làm, an ninh quốc phòng.v.v) thông qua tác động của dự án đối với sản xuất nông nghiệp. Thông thường các dự án này sẽ không đạt được các chỉ tiêu về hiệu quả kinh tế vì vậy cần phải phân tích thêm một số yếu tố kinh tế-xã hội của dự án. Việc phân tích này vẫn theo nguyên tắc “có" và “không có” dự án. Phân tích đánh giá đầy đủ tác động của dự án đối với kinh tế xã hội thường gặp nhiều khó khăn vì nhiều yếu tố khó định lượng rõ ràng. Đối với các dự án TLnên phân tích thêm một số yêu tố chính dưới đây vì nó có tác động đến hầu hết các yêu tố khác:
2.4.5.1. Khả năng tạo công ăn việc làm của dự án
Biểu thức xác định
M = DF x mL (công)
Trong đó:
- M số lượng việc làm hàng năm tăng thêm nhờ có dự án
- DF là diện tích canh tác tăng lên nhờ có dự án (tăng diện tích, tăng vụ.vv)
- mL là số công lao động cần để sản xuất trên một đơn vị diện tích (có thể là 1ha) theo vụ hoặc năm
2.4.5.2. Tăng thu nhập cho người hưởng lợi
Biểu thức xác định
DI = DA/P
Trong đó:
DI: mức thu nhập gia tăng của người hưởng lợi
DA: Giá trị sản lượng gia tăng trong vùng nhờ có dự án (lúa, ngô, khoai.v.v...)
P: số người hưởng lợi từ dự án
2.4.5.3. Góp phần xoá đói giảm nghèo
DN = N1 - N0
Trong đó:
DN : Số hộ nghèo giảm đi nhờ có dự án (hộ)
N1: Số hộ nghèo trong vùng hưởng lợi khi có dự án (hộ)
N0 : Số hộ nghèo trong vùng hưởng lợi khi chưa có dự án (hộ)
Để đánh giá tác động của dự án đối với xoá đói giảm nghèo phải căn cứ vào tiêu chí phân hộ nghèo của Bộ Lao động TB&XH và số liệu điều tra về thu nhập của hộ gia đình trong vùng hưởng lợi khi chưa có dự án và dự kiến khả năng tăng thu nhập để dự đoán số hộ được xoá đói giảm nghèo khi có dự án.
Bảng 11. Tiêu chuẩn đánh giá hiệu quả dự án Thuỷ lợi
| Vùng hưởng lợi của dự án | Phân tích | Các chỉ tiêu để đánh giá | Điều kiện thoả mãn |
| Đồng bằng | Hiệu quả kinh tế | NPV; EIRR và B/C | EIRR ³ 15 % và NPV ³ 0, B/C ³ 1 ứng với rc = 10 %. (rc là tỷ suất chiết khấu xã hội do Nhà nước quy đinh và thường lấy bằng lãi suất cho vay dài hạn trên thị trường quốc tế) |
| ảnh hưởng của dự án đối với xã hội, môi trường. | Báo cáo đánh giá tác động môi trường | Không gây ảnh hưởng xấu đối với xã hội, môi trường | |
| Trung du | Hiệu quả kinh tế | NPV; EIRR và B/C | EIRR ³ 12 %; NPV ³ 0 B/C ³ 1 ứng với rc = 10 %. (rc là tỷ suất chiết khấu xã hội do Nhà nước quy đinh và thường lấy bằng lãi suất cho vay dài hạn trên thị trường quốc tế) |
| ảnh hưởng của dự án đối với xã hội, môi trường | Báo cáo đánh giá tác động môi trường | Có ảnh hưởng tốt về xã hội và không gây ảnh hưởng xấu đối với môi trường | |
| Vùng núi, vùng sâu, vùng xa | Phân tích tài chính | EIRR | Theo đặc thù của từng dự án |
| Phân tích xã hội | M, DI, DN và một số chỉ tiêu định tính khác | - Tạo công ăn việc làm để ổn dịnh dân cư trong vùng dự án - Tăng thu nhập để cải thiện điều kiện sống cho người dân trong vùng dự án - Góp phần xoá đói giảm nghèo, thúc đẩy phát triển kinh tế, xã hội trong vùng dự án, - Cải thiện cơ sở hạ tầng, vệ sinh môi trường, nước sạch, ổn định chính trị xã hội và các lợi ích có thể khác |
Ghi Chú:
- Với dự án tưới tiêu quy mô vừa và lớn thì báo cáo đánh giá tác động môi trường thường được thực hiện riêng vì vậy cần phải đưa vào xem xét khi ra quyết định đầu tư.
- Các chỉ tiêu đánh giá kinh tế ở bảng trên có thể thay đổi đối với dự án cụ thể, do Chủ đầu tư và cấp có thẩm quyền quyết định.
2.4.5.4. Một số yếu tố kinh tế xã hội khác
Căn cứ vào mục tiêu cụ thể của từng dự án có thể phân tích thêm một số yếu tố khác như vệ sinh, môi trường, cải thiện điều kiện sống nhờ có nước, cải thiện cơ sở hạ tầng nông thôn .v.v.v
2.5. Tổng hợp các chi tiêu hiệu quả đã tính toán với các phương án khác nhau (nếu có)
Dựa vào các chỉ tiêu hiệu quả của dự án đã tính toán ở trên lập thành bảng tóm tắt các tiêu chuẩn đánh giá hiệu quả dự án để Chủ đầu tư cân nhắc xem xét quyết định có hay không đầu tư vào dự án.
3. Tiêu chuẩn đánh giá hiệu quả
3.1. Vòng đời kinh tế của dự án (n)
Vòng đời kinh tế của dự án là thời hạn (số năm) tính toán chi phí ròng và thu nhập ròng (là số năm tính toán dự kiến của dự án, mà hết thời hạn đó lợi ích thu được là không đáng kể so với chi phí bỏ ra). Vòng đời kinh tế của dự án nhỏ hơn tuổi thọ của công trình.
Theo kinh nghiệm của các nước trong khu vực và các tổ chức tài chính quốc tế , vòng đời kinh tế của dự án tưới tiêu ở Việt Nam quy định như sau:
- Các hồ chứa có quy mô lớn, các hệ thống tưới có diện tích tưới > 20.000 ha thì vòng đời kinh tế của dự án lấy bằng 50 năm (n= 50)
- Các hồ chứa, trạm bơm, các hệ thống có quy mô vừa thì vòng đời kinh tế của dự án lấy bằng 40 năm (n= 40)
- Các hồ chứa, trạm bơm, các hệ thống có quy mô nhỏ, các dự án khôi phục nâng cấp thì vòng đời kinh tế của dự án lấy bằng 25 năm (n= 20 - 25)
3.2. Tiêu chuẩn đánh giá hiệu quả dự án TL
Xuất phát từ sự không đồng đều về điều kiện tự nhiên (khí hậu thời tiết, vị trí địa lý, thuỷ văn, địa chất, thổ nhưỡng, .v.v.), dân sinh, kinh tế và xã hội giữa các vùng lãnh thổ trong cả nước, vì vậy việc quy định các tiêu chuẩn hiệu quả của dự án TL phải phù hợp với từng vùng miền khác nhau và mục tiêu đầu tư. Một dự án TL được đánh giá là có hiệu quả thì phải thoả mãn các điều kiện như ở bảng 11.
CÁC PHỤ LỤC VÀ VÍ DỤ TÍNH TOÁN
Phụ lục A
Các biểu bảng
Phụ lục A.1. Phân loại đất vùng dự án
| TT | Nhóm đất | Diện tích (ha) |
| 1 |
|
|
| 2 |
|
|
| 3 |
|
|
| 4 |
|
|
| 5 |
|
|
Phụ lục A.2. Hiện trạng sử dụng đất vùng dự án
| TT | Sử dụng đất | Năm (Thống kê 5 năm gần nhất ) | ||||
| 200.. | 200.. | 200.. | 200.. | 200.. | ||
| 1 | Đất tự nhiên |
|
|
|
|
|
| 2 | Đất gieo trồng |
|
|
|
|
|
| 3 | Đất canh tác nông nghiệp |
|
|
|
|
|
|
| a. Lúa (theo vụ) - Tưới hoàn toàn (bơm, tự chảy) - Tưới một phần (bơm, tự chảy) - Tưới nhờ mưa b. Mầu (theo vụ) - Tưới hoàn toàn (bơm, tự chảy) - Tưới một phần (bơm, tự chảy) - Tưới nhờ mưa c. Các cây trồng khác (theo vụ) - Tưới hoàn toàn (bơm, tự chảy) - Tưới một phần (bơm, tự chảy) - Tưới nhờ mưa |
|
|
|
|
|
| 4 | Đất canh tác khác (ghi cụ thể từng loại như nuôi trồng thuỷ sản, .v.v) |
|
|
|
|
|
| 5 | Đất hoang hoá |
|
|
|
|
|
Phụ luc A.3. Sản lượng dự kiến sẽ tăng thêm khi có dự án
| TT | Cơ cấu cây trồng | Không có dự án | Có dự án | Sản lượng tăng lên khi có dự án (tấn) | ||||
| Diện tích (ha) | Năng suất (tấn/ha) | Sản lượng (tấn) | Diện tích (ha) | Năng suất (tấn/ha) | Sản lượng (tấn) | |||
| 1 | 2 | 3 | 4 | 5 = 3x4 | 6 | 7 | 8 = 6x7 | 9 = 8-5 |
| 1. | Vụ Đông Xuân |
|
|
|
|
|
|
|
|
| Lúa |
|
|
|
|
|
|
|
|
| Rau |
|
|
|
|
|
|
|
|
| Đậu |
|
|
|
|
|
|
|
|
| Ngô |
|
|
|
|
|
|
|
|
| .. |
|
|
|
|
|
|
|
| 2. | Vụ Mùa |
|
|
|
|
|
|
|
|
| Lúa |
|
|
|
|
|
|
|
|
| Rau |
|
|
|
|
|
|
|
|
| Đậu |
|
|
|
|
|
|
|
|
| .. |
|
|
|
|
|
|
|
| 3. | Vụ Đông |
|
|
|
|
|
|
|
|
| Ngô |
|
|
|
|
|
|
|
|
| Khoai |
|
|
|
|
|
|
|
|
| Ngô |
|
|
|
|
|
|
|
|
| Khoai |
|
|
|
|
|
|
|
|
| ... |
|
|
|
|
|
|
|
Phụ lục A.4. Giá cả một số vật tư nông sản chủ yếu trong vùng dự án
| TT | Loại vật tư | Đơn vị | Giá thị trường tại vùng dự án |
|---|---|---|---|
| 1 | Giá các sản phẩm đầu ra |
|
|
|
| Lúa đặc sản | kg |
|
|
| Lúa thường | kg |
|
|
| Ngô | kg |
|
|
| Đỗ | kg |
|
|
| Khoai | kg |
|
|
| Rau | kg |
|
|
| ... | kg |
|
| 2 | Giá các yếu tố đầu vào |
|
|
| 2.1 | Phân bón | kg |
|
|
| urê | kg |
|
|
| NPK | kg |
|
|
| Lân | kg |
|
|
| Kali | kg |
|
|
| ... | kg |
|
| 2.2 | Giống | kg |
|
|
| Lúa đặc sản | kg |
|
|
| Lúa thường | kg |
|
|
| Ngô | kg |
|
|
| Đỗ | kg |
|
|
| ... | kg |
|
Phụ lục A.5. Báo cáo kết quả hoạt động sản xuất kinh doanh của công ty Quản lý khai thác công trình thuỷ lợi.........
| TT | Các khoản mục | Năm | ||||
| 200.. | 200.. | 200.. | 200.. | 200.. | ||
| I | Diện tích tưới tiêu (ha) |
|
|
|
|
|
| 1 | Vụ Đông xuân (quy đổi về tưới chủ động cho lúa) - Theo hợp đồng (ha) - Theo nghiệm thu (ha) |
|
|
|
|
|
| 2 | Vụ Hè thu (quy đổi về tưới chủ động cho lúa) - Theo hợp đồng (ha) - Theo nghiệm thu (ha) |
|
|
|
|
|
| II | Tổng thu nhập (103 đồng) |
|
|
|
|
|
| 1 | Thu từ thuỷ lợi phí - Theo hợp đồng - Theo nghiệm thu - Thực thu |
|
|
|
|
|
| 2 | Khoản thu khác -Thu từ các hoạt động XSKD khác - Thu cấp bù từ cấp trên |
|
|
|
|
|
| III | Tổng chi |
|
|
|
|
|
| 1 | Lương và phụ cấp, bảo hiểm |
|
|
|
|
|
| 2 | Chi phí điện năng |
|
|
|
|
|
| 3 | Khấu hao |
|
|
|
|
|
| 4 | Sửa chữa thường xuyên |
|
|
|
|
|
| 5 | Nguyên nhiên vật liệu |
|
|
|
|
|
| 6 | Chi phí khác... |
|
|
|
|
|
(Từ kết quả trên, tính toán mức chi phí quản lý vận hành bình quân cho 1 ha tưới tiêu/năm để tính chi phí quản lý vận hành của dự án)
Phụ lục A.6. Chi phí sản xuất nông nghiệp cho 1 ha gieo trồng khi có và khi không có dự án
| Các khoản mục chi phí | Lúa | Khoai tây | Ngô | khoai, lạc, v.v | Tổng cộng | |||||||||||
| Đông xuân | Hè thu | |||||||||||||||
| Số lượng | Đơn giá(đ) | Thành tiền (đ) | Số lượng | Đơn giá (đ) | Thành tiền (đ) | Số lượng | Đơn giá(đ) | Thành tiền (đ) | Số lượng | Đơn giá(đ) | Thành tiền (đ) | Số lượng | Đơn giá(đ) | Thành tiền (đ) | ||
| Khi chưa có dự án |
|
|
|
|
|
|
|
|
|
|
|
|
|
|
|
|
| a. Chi phí lao động |
|
|
|
|
|
|
|
|
|
|
|
|
|
|
|
|
| b. Chi phí đầu vào |
|
|
|
|
|
|
|
|
|
|
|
|
|
|
|
|
| - Giống |
|
|
|
|
|
|
|
|
|
|
|
|
|
|
|
|
| - Phân chuồng |
|
|
|
|
|
|
|
|
|
|
|
|
|
|
|
|
| - Đạm |
|
|
|
|
|
|
|
|
|
|
|
|
|
|
|
|
| - Lân |
|
|
|
|
|
|
|
|
|
|
|
|
|
|
|
|
| - Kali |
|
|
|
|
|
|
|
|
|
|
|
|
|
|
|
|
| - Thuốc trừ sâu |
|
|
|
|
|
|
|
|
|
|
|
|
|
|
|
|
| c. Thuê máy kéo |
|
|
|
|
|
|
|
|
|
|
|
|
|
|
|
|
| d. Thuỷ lợi phí |
|
|
|
|
|
|
|
|
|
|
|
|
|
|
|
|
| e. Chi phí khác |
|
|
|
|
|
|
|
|
|
|
|
|
|
|
|
|
| Khi có dự án |
|
|
|
|
|
|
|
|
|
|
|
|
|
|
|
|
| a. Chi phí lao động |
|
|
|
|
|
|
|
|
|
|
|
|
|
|
|
|
| b. Chi phí đầu vào |
|
|
|
|
|
|
|
|
|
|
|
|
|
|
|
|
| - Giống |
|
|
|
|
|
|
|
|
|
|
|
|
|
|
|
|
| - Phân chuồng |
|
|
|
|
|
|
|
|
|
|
|
|
|
|
|
|
| - Đạm |
|
|
|
|
|
|
|
|
|
|
|
|
|
|
|
|
| - Lân |
|
|
|
|
|
|
|
|
|
|
|
|
|
|
|
|
| - Kali |
|
|
|
|
|
|
|
|
|
|
|
|
|
|
|
|
| - Thuốc trừ sâu |
|
|
|
|
|
|
|
|
|
|
|
|
|
|
|
|
| c. Thuê máy kéo |
|
|
|
|
|
|
|
|
|
|
|
|
|
|
|
|
| d. Thuỷ lợi phí |
|
|
|
|
|
|
|
|
|
|
|
|
|
|
|
|
| e. Chi phí khác |
|
|
|
|
|
|
|
|
|
|
|
|
|
|
|
|
Phụ lục A.7. Bảng tính các chỉ tiêu hiệu quả kinh tế
(với hệ số chiết khấu rc =10 % và rc =12 %)
Đơn vị tính: 106đồng
| Năm | Chi phí (C) | Hiệu ích (B) | Chi phí và Lợi ích quy đổi về năm đầu với hệ số chiết khấu rc =10 % | Chi phí và Lợi ích quy đổi về năm đầu với hệ số chiết khấu rc =12 % | |||||||
| K | CTT | CQLVH | Tổng (C) | CP qđ | B qđ | (B-C) qđ | CP qđ | B qđ | (B-C) qđ | ||
| 1 | 2 | 3 | 4 | 5 = 2+3+4 | 6 | 7 | 8 | 9 = 8-7 | 10 | 11 | 12=11-10 |
| 1 | 37323,53 |
|
| 37323,53 |
| 33930,48 | 0,00 | -33930,48 | 33324,69 | 0,00 | -33324,69 |
| 2 | 49833,24 |
|
| 49833,24 |
| 41184,48 | 0,00 | -41184,48 | 39726,56 | 0,00 | -39726,56 |
| 3 | 38716,16 |
| 35218,75 | 73934,91 | 36780,55 | 55548,41 | 27633,78 | -27914,63 | 52625,39 | 26179,66 | -26445,73 |
| 4 -8 |
|
| 5031,25 | 5031,25 | 52543,64 | 3436,41 | 35887,99 | 32451,58 | 3197,46 | 33392,54 | 30195,08 |
| 9 |
| 12578,13 | 5031,25 | 17609,38 | 52543,64 | 7468,10 | 22283,65 | 14815,55 | 6350,12 | 18947,76 | 12597,65 |
| 10-14 |
|
| 5031,25 | 5031,25 | 52543,64 | 1324,88 | 13836,37 | 12511,49 | 1029,49 | 10751,48 | 9721,99 |
| 15 |
| 12578,13 | 5031,25 | 17609,38 | 52543,64 | 4215,54 | 12578,53 | 8362,98 | 3217,23 | 9599,72 | 6382,49 |
| 16-17 |
|
| 5031,25 | 5031,25 | 52543,64 | 1094,95 | 11435,02 | 10340,07 | 820,70 | 8570,92 | 7750,22 |
| 21 |
| 12578,13 | 5031,25 | 17609,38 | 52543,64 | 2379,57 | 7100,27 | 4720,70 | 1629,92 | 4863,44 | 3233,52 |
| ... |
|
|
|
|
|
|
|
|
|
|
|
| 25 |
|
| 5031,25 | 5031,25 | 52543,64 | 464,36 | 4849,57 | 4385,20 | 295,95 | 3090,61 | 2794,6789 |
| Tổng cộng |
|
|
|
| 173865,42 | 373906,26 | 200.040,8 | 161,051,29 | 312,085,91 | 151.034,62 | |
Các chỉ tiêu hiệu quả kinh tế:
| Các chỉ tiêu | Với giá trị rc =10 % | Với giá trị rc =12 % |
| - EIRR | 28 % | 28 % |
| - NPV | 200.040,85 x 10 6 đồng (cột 9) | 151.034,62 x 10 6 đồng (cột 12) |
| - B/C | 2,15 (cột 8/cột 7) | 1,94 (cột 11/cột 10) |
Phụ lục B
một số ví dụ tính toán
Ví dụ 1: Dự án xây dựng trạm bơm A, ở xã X, huyện N (thuộc vùng đồng bằng) có nhiệm vụ tưới cho 9012 ha canh tác 3 vụ (2 vụ lúa và 1 vụ màu),
Tổng vốn đầu tư xây dựng dự án là: 83.915.286.000,0 (đồng) bằng vốn ngân sách Nhà nước do Bộ Nông nghiệp & PTNT quản lý, thời gian thi công dự kiến 3 năm (2006 –2008).
Năm thứ 1: 24.882.352.000
Năm thứ 2: 33.222.160.000
Năm thứ 3 25.810.774.000
Dự kiến, khi xây dựng xong trạm bơm đầu mối và kênh chính vào cuối năm 2007, trạm bơm sẽ hoạt động phục vụ sản xuất, ước tính tưới được 70 % diện tích, sau khi công trình hoàn thành (cuối năm 2008) dự án sẽ tưới đầy đủ cho cả 100% diện tích theo nhiệm vụ của dự án. Yêu cầu tính toán hiệu quả kinh tế của dự án .
1.1. Điều tra, thu thập tài liệu, số liệu
Giả sử các số liệu về vùng dự án đã được điều tra đầy đủ và lập thành các bảng như hướng dẫn ở các phụ lục A.1 đến A.6
1.2. Xác định tổng chi phí của dự án
1.2.1. Xác định vốn đầu tư của dự án
Dựa vào thiết kế cơ sở, vốn đầu tư xây dựng dự án tưới A cụ thể ở bảng B.1.1
Bảng B.1.1. Bảng tổng hợp vốn đầu tư của dự án
| TT | Tên chỉ tiêu | Ngoại tệ (nếu có) | Nội tệ (103đồng) | Tổng cộng (103đồng) | |
| Ngoại tệ | Quy ra nội tệ (đồng) | ||||
| I | Tổng vốn đầu tư xây dựng công trình | 83.854.176 | 83.854.176 | ||
| 1 | Chi phí xây dựng |
|
| 45.351.317 | 45.351.317 |
| 2 | Chi phí thiết bị |
|
| 18.260.254 | 18.260.254 |
| 3 | Chi phí quản lý dự án và chi phí khác |
|
| 17.503.568 | 17.503.568 |
| 4 | Chi phí dự phòng |
|
| 2.739.037 | 2.739.037 |
| II | Chi phí đền bù, giải phóng mặt bằng | 61.110 | 61.110 | ||
| III | Tổng vốn đầu tư dự án (I + II) |
| 83.915.286 | 83.915.286 | |
1.2.2. Chi phí quản lý vận hành hàng năm (CQLVH)
Theo số liệu thống kế chung trong khu vực vùng dự án, khoản chi phí này thường chiếm khoảng 4% tổng vốn đầu tư xây dựng công trình
CQLVH = 83.854.176.000 x 4 % = 3.354.167 (103đồng)
1.2.3. Chi phí thay thế (CTT)
Chi phí thay thế là chi phí sửa chữa lớn hoặc thay thế thiết bị, khoản chi phí lấy bằng 10% vốn đầu tư ban đầu. Chu kỳ sửa lớn khoang 5 năm một lần.
CTT = 83.854.176.000 x 10% = 8.385.417 (103đồng)
1.2.4. Tổng chi phí của dự án (C)
Bảng B.1.2. Bảng tổng hợp chi phí của dự án
| Năm xây dựng và khai thác sử dụng | Các khoản mục chi phí (103đồng) | Tổng cộng (103đồng) | ||
| Vốn đầu tư ban đầu (K) | C.phí thay thế (CTT) | C.phí QLVH (CQLVH) | ||
| 1 | 24882352 |
|
| 24882352 |
| 2 | 33222160 |
| 2347917 | 35570076.9 |
| 3 | 25810774 |
| 2347917 | 49289943 |
| 4- 8 |
|
| 3354167 | 3354167 |
| 9 |
| 8385417 | 3354167 | 11739584 |
| 10 -14 |
|
| 3354167 | 3354167 |
| 15 |
| 8385417 | 3354167 | 11739584 |
| 16-20 |
|
| 3354167 | 3354167 |
| 21 |
| 8385417 | 3354167 | 11739584 |
| 22-25 |
|
| 3354167 | 3354167 |
1.3. Xác định tổng lợi ích của dự án
1.3.1. Tính toán xác định sản lượng dự kiến sẽ tăng thêm khi có dự án.
Theo số liệu điều tra, thống kê ở vùng hưởng lợi của dự án về diện tích, năng suất và sản lượng các loại cây trồng trong điều kiện có và không có dự án lập bảng tính sản lượng dự kiến tăng thêm khi có dự án như Phụ luc A.3.
Bảng B.1.3. Sản lượng dự kiến tăng thêm khi có dự án
| TT | Cơ cấu cây trồng | Không có dự án | Có dự án | S.lượng tăng thêm (tấn) | ||||
| D.tích (ha) | N.suất (tấn/ha) | S.lượng (tấn) | D.tích (ha) | N.suất (tấn/ha) | S.lượng (tấn) | |||
| 1 | 2 | 3 | 4 | 5 = 3x4 | 6 | 7 | 8 = 6x7 | 9 = 8-5 |
| I | Lúa |
|
|
|
|
|
|
|
| 1 | Vụ Đông xuân | 8100 | 4.5 | 36450 | 8335 | 5.5 | 45843 | 9392.5 |
| 2 | Vụ Hè thu | 7900 | 4.0 | 31600 | 8540 | 5.1 | 43554 | 11954 |
|
| .v.v.v |
|
|
|
|
|
|
|
| II | Màu |
|
|
|
|
|
|
|
| 1 | Ngô | 2588 | 1.7 | 4399.6 | 5709 | 2.1 | 11989 | 7589.3 |
| 2 | Lạc | 288 | 1.4 | 403.2 | 677 | 1.65 | 1117.1 | 713.85 |
|
| v.v.v |
|
|
|
|
|
|
|
1.3.2. Tính toán, xác định giá kinh tế các yếu tố đầu vào và đầu ra của sản xuất nông nghiệp
Trong các yếu tố đầu vào và đầu ra của quá trình sản xuất, các yếu tố như phân đạm, phân Kali và gạo, ngô tham gia trao đổi trên thị trường Quốc tế vì vậy phải tính toán xác định giá kinh tế các yếu tố đó (gạo xuất khẩu; ngô, đạm, kali phải nhập khẩu). Các yếu tố còn lại tính theo giá thị trường.
Bảng B.1.4. Xác định giá kinh tế Lúa tại vùng dự án (giá dự báo năm 2007)
| TT | Khoản mục chi phí | Đơn vị | Giá dự báo 2007 |
| 1 | Giá gạo 5 % tại Bangkok năm 2007 | USD/tấn | 290,0 |
| 2 | Điều chỉnh chất lượng | USD/tấn | 12,0 |
| 3 | Chi phí vận chuyển và bảo hiểm đến cảng Hải phòng | USD/tấn | 15,0 |
| 4 | FOB tại cảng Hải Phòng (1-2-3) | USD/tấn | 263,0 |
| 5 | Chuyển đổi sang đồng tiền Việt Nam (1USD = 15500 VND) | 1000 VND/tấn | 4.076,5 |
| 6 | Cảng phí, hao hụt và lợi nhuận nhà nhập khẩu. (tính khoảng 10 % x 5) | 1000 VND/tấn | 407,6 |
| 7 | Giá xuất khẩu tại cảng Hải Phòng (5-6) | Đồng/tấn | 3668,9 |
| 8 | Vận chuyển từ vùng dự án đến Hải Phòng | Đồng/tấn | 240,0 |
| 9 | Giá kinh tế tại ranh giới vùng dự án | Đồng/tấn | 3.428,9 |
| 10 | Chi phí xay xát (trừ thu hồi cám) | Đồng/tấn | 40,0 |
| 11 | Giá kinh tế tại ranh giới vùng dự án (7-8-9-10) | Đồng/tấn | 3.388,9 |
| 12 | Quy đổi ra thóc (0,68) | Đồng/tấn | 2.304,5 |
| 13 | Chi phí bảo quản và vận chuyển trong vùng dự án | Đồng/tấn | 30 |
| 14 | Giá kinh tế của lúa tại chân ruộng (12-13) | Đồng/kg | 2274,5 |
| 15 | Giá kinh tế của lúa | Đồng/kg | 2.274,5 |
(Ghi chú: Theo dự báo của WB, năm 2007 giá gạo loại 5% tại thị trường Bangkok là 290 USD/ tấn (giá FOB). Lúa là hàng hoá xuất khẩu;).
Bảng B.1.6. Xác định giá kinh tế Ngô tại vùng dự án (giá dự báo năm 2007)
| TT | Tính toán | Đơn vị | Giá dự báo 2007 |
| 1 | Giá FOB tại Châu Âu (đã đóng bao) | USD/tấn | 115,0 |
| 2 | Chi phí vận chuyển về cảng Hải Phòng | USD/tấn | 30,0 |
| 3 | Giá CIF tại cảng Hải Phòng (1+2) | USD/tấn | 145,0 |
| 2 | Chuyển đổi sang đồng Việt Nam | 1000 đồng/tấn | 2.247,5 |
| 3 | Chi phí cập cảng (15000 đồng/tấn) | 1000 đồng/tấn | 15,0 |
| 4 | Chi phí lưu kho (135000 đồng/tấn) | 1000 đồng/tấn | 135,0 |
| 5 | Chi phí vận chuyển đến vùng dự án | 1000 đồng/tấn | 300,0 |
| 6 | Giá kinh tế tại ranh giới dự án (2+3+4+5) | 1000 đồng/tấn | 2.697,5 |
| 7 | Chi phí vận chuyển đến ruộng | 1000 đồng/tấn | 20,0 |
| 8 | Giá kinh tế tại ruộng (6 + 7) | 1000 đồng/tấn | 2717,5 |
|
| Giá kinh tế của Urê | Đồng/kg | 2.717,0 |
(Ghi chú: Theo dự báo của WB, năm 2007 tại thị trường Châu Âu giá ngô vàng là 115 USD/ tấn (giá FOB). Ngô là hàng hoá nhập khẩu;).
Bảng B.1.7. Giá kinh tế phân Đạm tại vùng dự án (giá dự báo năm 2007)
| TT | Tính toán | Đơn vị | Giá dự báo 2007 |
| 1 | Giá FOB tại Châu Âu (đã đóng bao) | USD/tấn | 130,0 |
| 2 | Chi phí vận chuyển về cảng Hải Phòng | USD/tấn | 30,0 |
| 3 | Giá CIF tại cảng Hải Phòng (1+2) | USD/tấn | 160,0 |
| 2 | Chuyển đổi sang đồng Việt Nam | 1000 đồng/tấn | 2.400,0 |
| 3 | Chi phí cập cảng (15000 đồng/tấn) | 1000 đồng/tấn | 15,0 |
| 4 | Chi phí lưu kho (135000 đồng/tấn) | 1000 đồng/tấn | 135,0 |
| 5 | Chi phí vận chuyển đến vùng dự án | 1000 đồng/tấn | 300,0 |
| 6 | Giá kinh tế tại ranh giới dự án (2+3+4+5) | 1000 đồng/tấn | 2.850,0 |
| 7 | Chi phí vận chuyển đến ruộng | 1000 đồng/tấn | 20,0 |
| 8 | Giá kinh tế tại ruộng (6 + 7) | 1000 đồng/tấn | 2.870,0 |
|
| Giá kinh tế của Urê | Đồng/kg | 2.870,0 |
(Ghi chú: Theo dự báo của WB, năm 2007 giá Urê tại thị trường châu Âu là 130 USD/ tấn (giá FOB). Urê là hàng hoá nhập khẩu;).
Bảng B.1.8. Giá kinh tế phân Kali tại vùng dự án (giá dự báo năm 2007)
| TT | Tính toán | Đơn vị | Giá dự báo 2007 |
| 1 | Giá FOB tại Châu Âu (đã đóng bao) | USD/tấn | 115,0 |
| 2 | Chi phí vận chuyển về cảng Hải Phòng | USD/tấn | 30,0 |
| 3 | Giá CIF tại cảng Hải Phòng (1+2) | USD/tấn | 145,0 |
| 2 | Chuyển đổi sang đồng Việt Nam | 1000 đồng/tấn | 2.247,5 |
| 3 | Chi phí cập cảng (15000 đồng/tấn) | 1000 đồng/tấn | 15,0 |
| 4 | Chi phí lưu kho (135000 đồng/tấn) | 1000 đồng/tấn | 135,0 |
| 5 | Chi phí vận chuyển đến vùng dự án | 1000 đồng/tấn | 300,0 |
| 6 | Giá kinh tế tại ranh giới dự án (2+3+4+5) | 1000 đồng/tấn | 2.697,5 |
| 7 | Chi phí vận chuyển đến ruộng | 1000 đồng/tấn | 20,0 |
| 8 | Giá kinh tế tại ruộng (6 + 7) | 1000 đồng/tấn | 2717,5 |
|
| Giá kinh tế của Urê | Đồng/kg | 2.717,0 |
(Ghi chú: Theo dự báo của WB, năm 2007 giá Kali tại thị trường châu Âu là 115 USD/ tấn (giá FOB). Kali là hàng hoá nhập khẩu;).
Bảng B.1.9. Giá kinh tế các yếu tố đầu vào, đầu ra của sản xuất
| TT | Loại hàng hoá | Đơn vị | Giá kinh tế (đ) |
| 1 | Lúa | kg | 2.274,5 |
| 2 | Lạc | kg | 8.000,0 |
| 3 | Ngô | kg | 2.717,0 |
| 4 | Phân bón |
|
|
|
| - Kali | kg | 2.717,0 |
|
| - Đạm urea | kg | 2.870,0 |
|
| - Phân lân | kg | 1.200 |
|
| - Thuốc trừ sâu | lít | 90.000 |
| 5 | Công lao động | Ngày công | 12000 |
| 6 | Thuê máy cày bừa | Ha | 550.000 |
|
| ...... | ... | .... |
Bảng B.1.10. Giá trị thu nhập thuần tuý của 1 ha cây trồng trong điều kiện không có dự án
| Khoản mục thu chi | Lúa | Ngô | Lac, v.v | |||||||||
| Đông xuân | Hè thu | |||||||||||
| Đơn giá (103đ) | Số lượng (tấn) | Thành tiền (103đ) | Số lượng (tấn) | Thành tiền (103đ) | Số lượng | Đơn giá (103đ) | Thành tiền (103đ) | Số lượng | Đơn giá (103đ) | Thành tiền (103đ) | ||
| I. Tổng thu nhập /ha cây trồng |
|
| 9.098 |
|
| 4.618,9 |
|
| 8.400,0 | |||
| Tổng thu nhập /ha cây trồng | 2.274,5 | 4,5 | 10.235,3 | 4,0 | 9.098,0 | 1,7 | 2.717 | 4.618,9 | 1,4 | 6,000 | 8.400,0 | |
| II. Tổng chi phí /ha cây trồng | 6,767,79 |
| 6,413,7 |
|
| 3.757,7 |
|
| 5.525,9 | |||
| 1. Chi phí lao động (103đ/công) | 12,0 | 200 | 2400,0 | 0.2 | 2400,0 | 100 | 12,0 | 1.200,0 | 145 | 12,0 | 1.740,0 | |
| 2. Chi phí đầu vào |
|
|
|
|
|
|
|
|
|
|
| |
| - Giống (103đ/tấn) | 3.750 | 120 | 450,0 | 0,12 | 450,0 | 0,06 | 4.075,5 | 244,5 | 0,12 | 9.000,0 | 1.080,0 | |
| - Phân chuồng(103đ/tấn) | 200 | 7 | 1400,0 | 6,0 | 1200,0 | 5,0 | 200,0 | 1.000,0 | 6,0 | 200,0 | 1.200,0 | |
| - Đạm (103đ/tấn) | 2.870 | 170 | 487,9 | 0,14 | 401,8 | 0,1 | 2.870 | 287,0 | 0,12 | 2.870,0 | 344,4 | |
| - Lân (103đ/tấn) | 1.200 | 180 | 216,0 | 0,16 | 192,0 | 0,1 | 1.200 | 120,0 | 0,12 | 1.200,0 | 144,0 | |
| - Kali (103đ/tấn) | 2.717 | 70 | 190,19 | 0,06 | 163,02 | 0,04 | 2.717 | 108,68 | 0,05 | 2.717,0 | 135,8 | |
| - Thuốc trừ sâu(103đ/lít) | 90 | 2 | 180,0 | 2 | 180,0 | 1 | 90,0 | 90,0 | 1 | 90,0 | 90,0 | |
| 3. Thuê máy cày bừa(103đ/ha) | 550 | 1 | 550,0 | 1 | 550,0 | 1 | 300.000 | 300,0 | 1 | 300,0 | 300,0 | |
| 4. Thuỷ lợi phí(103đ/ha) Theo NĐ số 143 | 600 | 1 | 600,0 | 1 | 600,0 | 1 | 240000 | 240,0 | 1 | 240,0 | 240,0 | |
| 5. C phí khác = 5 % x (1+2+3) 103đ |
|
| 293,7 |
| 276,8 |
|
| 1.675,10 |
|
| 2.517,1 | |
| III. Giá trị thu nhập thuần tuý (103đ/ha) (I – II) |
|
| 3467,45 |
| 2.684,3 |
|
| 8.611,8 |
|
| 2.874,0 | |
Bảng B.1.11. Giá trị thu nhập thuần tuý của 1 ha cây trồng trong điều kiện có dự án
| Khoản mục thu chi | Lúa | Ngô | Lạc, v.v | |||||||||
| Đông xuân | Hè thu | |||||||||||
| Đơn giá (103đ) | Số lượng (tấn) | Thành tiền (103đ) | Số lượng (tấn) | Thành tiền (103đ) | Số lượng | Đơn giá (103đ) | Thành tiền (103đ) | Số lượng | Đơn giá (103đ) | Thành tiền (103đ) | ||
| I. Tổng thu nhập /ha cây trồng | 12.509,75 |
| 11.599,95 |
|
| 5.705,70 |
|
| 9.900,0 | |||
| Tổng thu nhập /ha cây trồng | 2274.5 | 5,5 | 12.509,75 | 5,1 | 11.599,95 | 2,1 | 2.717 | 5.705,70 | 1,65 | 6.000 | 9.900,0 | |
| II. Tổng chi phí /ha cây trồng | 6.515,8 |
| 6.161,7 |
|
| 3.505,7 |
|
| 5.273,96 | |||
| 1. Chi phí lao động (103đ/công) | 12,0 | 180 | 2160000 | 180 | 2160000 | 80 | 12000 | 960000 | 125 | 12000 | 1500000 | |
| 2. Chi phí đầu vào |
|
|
|
|
|
|
|
|
|
|
| |
| - Giống (103đ/tấn) | 3.750 | 120 | 450,0 | 0,12 | 450,0 | 0,06 | 4.075,5 | 244,5 | 0,12 | 9.000,0 | 1.080,0 | |
| - Phân chuồng(103đ/tấn) | 200 | 7 | 1400,0 | 6,0 | 1200,0 | 5,0 | 200,0 | 1.000,0 | 6,0 | 200,0 | 1.200,0 | |
| - Đạm (103đ/tấn) | 2.870 | 170 | 487,9 | 0,14 | 401,8 | 0,1 | 2.870 | 287,0 | 0,12 | 2.870,0 | 344,4 | |
| - Lân (103đ/tấn) | 1.200 | 180 | 216,0 | 0,16 | 192,0 | 0,1 | 1.200 | 120,0 | 0,12 | 1.200,0 | 144,0 | |
| - Kali (103đ/tấn) | 2.717 | 70 | 190,19 | 0,06 | 163,02 | 0,04 | 2.717 | 108,68 | 0,05 | 2.717,0 | 135,8 | |
| - Thuốc trừ sâu(103đ/lít) | 90 | 2 | 180,0 | 2 | 180,0 | 1 | 90,0 | 90,0 | 1 | 90,0 | 90,0 | |
| 3. Thuê máy cày bừa(103đ/ha) | 550 | 1 | 550,0 | 1 | 550,0 | 1 | 300.000 | 300,0 | 1 | 300,0 | 300,0 | |
| 4. Thuỷ lợi phí(103đ/ha) Theo NĐ số 143 | 600 | 1 | 600,0 | 1 | 600,0 | 1 | 240000 | 240,0 | 1 | 240,0 | 240,0 | |
| 5. Chi phí khác = 5 % x (1+2+3) 103đ |
|
| 281,7 |
| 264,8 |
|
| 155,5 |
|
| 239,7 | |
| III. Giá trị thu nhập thuần tuý (103đ/ha) (I – II) |
|
| 5.993,95 |
| 5.438.3 |
|
| 2.199,97 |
|
| 4.626,03 | |
Bảng B.1.12. Giá trị thu nhập thuần tuý tăng thêm của dự án
| TT | Mùa vụ cây trồng | Diện tích (ha) | Thu nhập trên 1 ha (103đ) | Tổng thu nhập (103đ) |
| I | Khi chưa có dự án |
|
|
|
| 1 | Lúa Đông Xuân | 8100 | 3467,55 | 28,086,389,6 |
| 2 | Lúa Hè Thu | 7900 | 2684,39 | 21.206.278,1 |
| 3 | Màu |
|
|
|
|
| - Ngô | 2588 | 861,8 | 2.228.732,5 |
|
| - Lạc | 288 | 2874,37 | 827.722,8 |
|
| Tổng cộng |
|
| 52.349.123,0 |
| II | Khi có dự án |
|
|
|
| 1 | Lúa Đông Xuân | 8335 | 5741955.5 | 47.859.199,1 |
| 2 | Lúa Hè Thu | 8540 | 5186289 | 44.290.908,1 |
| 3 | Màu |
|
|
|
|
| - Ngô | 5709 | 1713336 | 9.781.435,2 |
|
| - Lạc | 677 | 4374037.5 | 2.961.223,4 |
|
| Tổng cộng |
|
| 104.892.765,8 |
| Giá trị thu nhập thuần tuý tăng thêm: Tổng II - Tổng I = 52.543.642,8 | ||||
1.4. Xác định các chỉ tiêu hiệu quả của dự án
1.4.1. Các chỉ tiêu hiệu quả kinh tế của dự án
1. Với hệ số chiết khấu bằng 10 %
- EIRR = 28 %
- NPV = 200,040,85 x 10 6 đồng (Cột 9)
- B/C = 373,906,26 x10 6 / 173,865,42 x10 6 = 2,15
1. Với hệ số chiết khấu bằng 12 %
- EIRR = 28 %
- NPV = 151034,62 x 10 6 đồng (cột 12)
- B/C = 312085,91x10 6/161051,29x10 6 = 1,937
1.4.2. Phân tích độ nhạy của dự án
Bảng B.1.14. Bảng phân tích độ nhậy của dự án (rủi ro)
| TT | Yếu tố thay đổi | Chỉ tiêu hiệu quả | ||
| EIRR (%) | B/C | NPV (i= %) (106 đ) | ||
| I | Phương án cơ sở | 28 | 2,15 | 200,040 |
| II | Phương án giả định |
|
|
|
| 1 | Thu nhập giảm 10% | 22 | 1,67 | 118,129,4 |
| 2 | Thu nhập giảm 20% | 19 | 1,49 | 85,685,6 |
| 3 | Chi phí tăng 10% | 26 | 1,95 | 182,654,3 |
| 4 | Chi phí tăng 20% | 23 | 1,79 | 165,267,7 |
| 5 | Chi phí tăng 10%, thu nhập giảm 10% | 19 | 1,52 | 100,742,9 |
| 6 | Chi phí tăng 20%, thu nhập giảm 10% | 17 | 1,39 | 83,856,4 |
| 7 | Chi phí tăng 10%, thu nhập giảm 20% | 16 | 1,35 | 68,299,0 |
1.5. Nhận xét kết quả tính toán
Từ các kết quả tính toán được tóm tắt trong bảng 1.14, trong mọi trường hợp rủi ro có thể xẩy ra như giả định thì dự án vẫn thoả mản các tiêu chuẩn hiệu quả theo quy định hướng dẫn tính toán hiệu quả kinh tế , cụ thể là :
- EIRR ³ 15 %; và NPV ³ 0; B/C ³ 1
Cần xem xét thêm ảnh hưởng của dự án đối với xã hội môi trường ở báo cáo đánh giá tác động môi trường, Nếu dự án không gây ảnh hưởng xấu đối với xã hội, môi trường thì việc đầu tư xây dựng dự án tưới trên đây là rất có hiệu quả.
Ví dụ 2: Xã T và P là 2 xã miền núi, tổng diện tích tự nhiên là 8.800 ha, đất canh tác khan hiếm, cả hai xã chỉ có 132 ha đất trồng lúa 1 vụ, 330 ha trồng màu còn lại là đất rừng. Xã có 766 hộ với 5058 người chủ yếu là dân tộc thiểu số (Dao, Mông). Hiện nay chưa có công trình thuỷ lợi, sản xuất nông nghiệp chủ yếu là nhờ trời nên phải sử dụng các giống lúa truyền thống của địa phương vì vậy năng suất và sản lượng thấp, đời sống của nhân dân hết sức khó khăn, 90 % hộ thuộc diện nghèo đói (bình quân lương thực chỉ đạt 120 kg /người/năm). Các hộ nghèo thường thiếu ăn từ 3-5 tháng/năm, các hộ đói thường thiếu ăn từ 6-8 tháng/năm. Do đời sống khó khăn nên dân các thôn bản chặt phá rừng để kiếm sống hàng ngày mà không ngăn ngừa được, phần lớn trẻ em trong độ tuổi đi học không đến trường. Hơn nữa do thiếu đất canh tác nên hiện tượng di dân tự do thường xuyên xẩy ra.
Dự án xây dựng công trình thuỷ lợi tại xã T (đập dâng và cống lấy nước) có nhiệm vụ tưới chủ động cho 275 ha đất trồng lúa 1 vụ (gồm có 132 ha hiện có và chuyển 143 trồng màu sang trồng lúa) nhằm thúc đẩy phát triển sản xuất, nâng cao mức sống cho nhân dân, góp phần xoá đói giảm nghèo. Chấm dứt tình trạng phá rừng, đốt rừng làm rẫy, ổn định dân cư bảo đảm an ninh quốc phòng, đặc biệt xã T là một xã ở vùng biên giới phía Bắc.
Ước tính tổng vốn đầu tư xây dựng dự án là: 10.547.819,2 x103,0 (đồng) bằng vốn ngân sách Nhà nước, thời gian thi công dự kiến 2 năm (2006 –2007).
Năm thứ 1: 5.062.953,3 x103 đ
Năm thứ 2: 5.484.865,8 x103 đ
Theo kế hoạch, khi xây dựng xong đập, cống lấy nước đầu mối và kênh chính vào cuối năm 2006, công trình sẽ tưới cho 132 ha (48 %), sau khi công trình hoàn thành (cuối năm 2007), công trình sẽ tưới đầy đủ cho 275 ha lúa một vụ.
Yêu cầu tính toán hiệu quả kinh tế, xã hội của dự án.
2.1. Điều tra, thu thập tài liệu, số liệu
Giả sử các số liệu về vùng dự án đã được điều tra đầy đủ và lập thành các bảng như hướng dẫn ở các phụ lục A.1 đến A.6
2.2. Xác định tổng chi phí của dự án tưới tiêu
2.2.1. Xác định tổng chi phí của dự án tưới
Dựa vào thiết kế cơ sở, vốn đầu tư xây dựng dự án tưới như ở bảng 2.1 sau:
Bảng B.2.1. Bảng tổng hợp vốn đầu tư của dự án
| TT | Tên chỉ tiêu | Ngoại tệ (nếu có) | Nội tệ (103đồng) | Tổng cộng (103đồng) | |
| Ngoại tệ | Quy ra nội tệ (đồng) | ||||
| I | Tổng vốn đầu tư xây dựng công trình |
|
| 10.547.819,2 | 10.547.819,2 |
| 1 | Chi phí xây dựng |
|
| 8.071.375,1 | 8.071.375,1 |
| 2 | Chi phí thiết bị |
|
|
|
|
| 3 | Chi phí quản lý dự án và chi phí khác |
|
| 1.100.641,6 | 1.100.641,6 |
| 4 | Chi phí dự phòng |
|
| 1.375.802,5 | 1.375.802,5 |
| II | Chi phí đền bù, giải phóng mặt bằng |
|
|
|
|
| III | Tổng vốn đầu tư dự án (I + II) |
|
| 10.547.819,2 | 10.547.819,2 |
2.2.2. Chi phí quản lý vận hành hàng năm (CQLVH)
Theo số liệu thống kế chung trong khu vực vùng dự án, khoản chi phí này thường chiếm khoảng 4 % tổng vốn đầu tư xây dựng công trình.
CQLVH = 10.547.819,2 x 4 % = 421.912,7 (103đồng)
2.2.3. Chi phí thay thế (CTT)
Chi phí thay thế là chi phí sửa chữa lớn hoặc thay thế thiết bị, khoản chi phí lấy bằng 10 % vốn đầu tư ban đầu. Chu kỳ sửa chữa lớn khoảng 5 năm một lần.
CTT = 10.547.819,2 x 10 % = 1.054.781,9 (103đồng)
2.2.4. Tổng chi phí của dự án (C)
Bảng B.2.2. Bảng tổng hợp chi phí của dự án
| Năm xây dựng và khai thác sử dụng | Các khoản mục chi phí (103đồng) | Tổng cộng (103đồng) | ||
| Vốn đầu tư ban đầu (K) | C.phí thay thế (CTT) | C.phí QLVH (CQLVH) | ||
| 1 | 5.062.953,3 |
|
| 5.062.953,3 |
| 2 | 5.484.865,8 |
| 202.518,08 | 5.687.383,9 |
| 3 |
|
| 421.912,67 | 421.912,7 |
| 4- 7 |
|
| 421.912,67 | 421.912,7 |
| 8 |
| 1.054.781,9 | 421.912,67 | 1.476.694,6 |
| 10 -13 |
|
| 421.912,67 | 421.912,7 |
| 14 |
| 1.054.781,9 | 421.912,67 | 1.476.694,6 |
| 16-19 |
|
| 421.912,67 | 421.912,7 |
| 20 |
| 1.054.781,9 | 421.912,67 | 1.476.694,6 |
| 22-25 |
|
| 421.912,67 | 421.912,7 |
2.3. Xác định tổng lợi ích của dự án tưới
2.3.1. Tính toán xác định sản lượng dự kiến sẽ tăng thêm khi có dự án.
Theo số liệu điều tra, thống kê ở vùng hưởng lợi của dự án về diện tích, năng suất và sản lượng các loại cây trồng trong điều kiện có và không có dự án lập bảng tính sản lượng dự kiện tăng thêm khi có dự án như phụ lục A.3.
Bảng B.2.3. Sản lượng dự kiến tăng thêm khi có dự án
| TT | Cơ cấu cây trồng | Không có dự án | Có dự án | S.lượng tăng thêm (tấn) | ||||
| D.tích (ha) | N.suất (tấn/ha)
| S.lượng (tấn) | D.tích (ha) | N.suất (tấn/ha)
| S.lượng (tấn) | |||
| 1 | 2 | 3 | 4 | 5 = 3x4 | 6 | 7 | 8 = 6x7 | 9 = 8-5 |
| I | Lúa |
|
|
|
|
|
|
|
| 1 | Vụ Đông xuân | 132 | 2.7 | 356,4 | 275 | 4.5 | 1.237,5 | 881,1 |
|
| .v.v.v |
|
|
|
|
|
|
|
| II | Màu |
|
|
|
|
|
|
|
| 1 | Ngô | 330 | 1.2 | 396,0 | 187 | 1.2 | 224,4 | - 171,6 |
|
| v.v.v |
|
|
|
|
|
|
|
2.3.2 Tính toán, xác định giá kinh tế các yếu tố đầu vào và đầu ra của sản xuất nông nghiệp
(Tương tự ví dụ 1)
Bảng B.2.4. Giá kinh tế các yếu tố đầu vào, đầu ra của sản xuất
| TT | Loại hàng hoá | Đơn vị | Giá kinh tế (đ) |
| 1 | Lúa | kg | 2.274,5 |
| 2 | Ngô | kg | 2.717,0 |
| 4 | Phân bón |
|
|
|
| - Kali | kg | 2.717,0 |
|
| - Đạm urea | kg | 2.870,0 |
|
| - Phân lân | kg | 1.200 |
|
| - Thuốc trừ sâu | lít | 90.000 |
| 5 | Công lao động | Ngày công | 12000 |
|
| ...... | ... | .... |
Bảng B.2.5. Giá trị thu nhập thuần tuý của 1 ha cây trồng rong điều kiện không có dự án
| Khoản mục thu chi | Lúa | Ngô | ||||
| Số lượng | Đơn giá (103đ) | Thành tiền (103đ) | Số lượng | Đơn giá (103đ) | Thành tiền (103đ) | |
| I. Tổng thu nhập (103đ/ha) | 2,7 | 2.274,5 | 6141150 | 1200 | 2717 | 3260400 |
| II. Tổng chi phí |
|
| 5.632,3 |
|
| 2.908,7 |
| 1. Chi phí lao động (103đ/công) | 320 | 12,0 | 3840,0 | 160 | 12000 | 1920000 |
| 2. Chi phí đầu vào |
|
|
|
|
| 0 |
| - Giống (103đ/tấn) | 0,12 | 3.750,0 | 450,0 | 60 | 4075.5 | 244530 |
| - Phân chuồng(103đ/tấn) |
|
| - |
|
| - |
| - Đạm (103đ/tấn) | 0,17 | 2.870,0 | 487,9 | 100 | 2870 | 287000 |
| - Lân (103đ/tấn) | 0,18 | 1.200,0 | 216,0 | 100 | 1200 | 120000 |
| - Kali (103đ/tấn) | 0,07 | 2.717,0 | 190,19 | 40 | 2717 | 108680 |
| - Thuốc trừ sâu(103đ/lít) | 2,0 | 90,0 | 180,0 | 1 | 90000 | 90000 |
| 3. Thuỷ lợi phí(103đ/ha) |
|
| - |
|
| - |
| 4. Chi phí khác = 5 % x ( 1+2+3) |
|
| 268,2 |
|
| 138,5 |
| III. Giá trị TN thuần tuý (I – II) |
|
| 508855.5 |
|
| 351679.5 |
Bảng B.2.6. Giá trị thu nhập thuần tuý của 1 ha cây trồng trong điều kiện có dự án
| Khoản mục thu chi | Lúa | Ngô | ||||
| Số lượng | Đơn giá (103đ) | Thành tiền (103đ) | Số lượng | Đơn giá (103đ) | Thành tiền (103đ) | |
| I. Tổng thu nhập (103đ/ha) | 4,5 | 2.274,5 | 10.235,3 | 1200 | 2717 | 3260400 |
| II. Tổng chi phí |
|
| 5.380,3 |
|
| 2.908,7 |
| 1. Chi phí lao động (103đ/công) | 300 | 12,0 | 3.600,0 | 160 | 12000 | 1920000 |
| 2. Chi phí đầu vào |
|
|
|
|
| 0 |
| - Giống (103đ/tấn) | 0,12 | 3.750,0 | 450,0 | 60 | 4075.5 | 244530 |
| - Phân chuồng(103đ/tấn) |
|
| - |
|
| - |
| - Đạm (103đ/tấn) | 0,17 | 2.870,0 | 487,9 | 100 | 2870 | 287000 |
| - Lân (103đ/tấn) | 0,18 | 1.200,0 | 216,0 | 100 | 1200 | 120000 |
| - Kali (103đ/tấn) | 0,07 | 2.717,0 | 190,19 | 40 | 2717 | 108680 |
| - Thuốc trừ sâu(103đ/lít) | 2,0 | 90,0 | 180,0 | 1 | 90000 | 90000 |
| 3. Thuỷ lợi phí(103đ/ha) |
|
| - |
|
| - |
| 4. Chi phí khác = 5 % x ( 1+2+3) |
|
| 256,2 |
|
| 138,5 |
| III. Giá trị TN thuần tuý (I – II) |
|
| 4.8550. |
|
| 351679.5 |
Bảng B. 2.7. Giá trị thu nhập thuần tuý tăng thêm của dự án
| TT | Mùa vụ cây trồng | Diện tích (ha) | Thu nhập trên 1 ha (103đ) | Tổng thu nhập (103đ) |
| I | Khi chưa có dự án |
|
|
|
| 1 | Lúa Đông Xuân | 132 | 508855.5 | 67.68,9 |
| 2 | Ngô | 330 | 351679.5 | 116.54,2 |
|
| Tổng cộng |
|
| 183.23,2 |
| II | Khi có dự án |
|
|
|
| 1 | Lúa Đông Xuân | 275 | 4854955.5 | 1.35.12,8 |
| 2 | Ngô | 187 | 351679.5 | 65.64,1 |
|
| Tổng cộng |
|
| 1.400.876,8 |
| Giá trị thu nhập thuần tuý tăng thêm: Tổng II - Tổng I = 1.217.653,7 | ||||
2.4. Xác định các chỉ tiêu hiệu quả của dự án
Bảng B.2.8. Bảng tính các chỉ tiêu hiệu quả kinh tế của dự án
(với hệ số chiết khấu rc =10 % và rc =12 % )
Đơn vị tính: 103 đồng
| Năm | Chi phí (C) | Hiệu ích (B) | Chi phí và Lợi ích quy đổi về năm đầu với hệ số chiết khấu rc =10 % | |||||
|---|---|---|---|---|---|---|---|---|
| K | CTT | CQLVH | (C) | CP qđ | B qđ | (B-C) qđ | ||
| 1 | 2 | 3 | 4 | 5 = 2+3+4 | 6 | 7 | 8 | 9=8-7 |
| 1 | 5062953,00 |
|
| 5062953,33 |
| 4602685,31 | 0,00 | -4602685,31 |
| 2 | 5484866,00 |
| 168765,07 | 5653630,90 | 675060,27 | 4672420,65 | 557900,86 | -4114519,8 |
| 3 |
|
| 351593,89 | 351593,89 | 1217653,67 | 264157,76 | 914841,47 | 650683,70 |
| 4 |
|
| 351593,89 | 351593,89 | 1217653,67 | 240143,20 | 831673,28 | 591530,09 |
| 5 |
|
| 351593,89 | 351593,89 | 1217653,67 | 218312,03 | 756066,73 | 537754,70 |
| 6 |
| 1054782,00 | 351593,89 | 1406375,56 | 1217653,67 | 793862,44 | 687333,84 | -106528,60 |
| 7 |
|
| 351593,89 | 351593,89 | 1217653,67 | 180423,22 | 624848,72 | 444425,50 |
| 8 |
|
| 351593,89 | 351593,89 | 1217653,67 | 164021,01 | 568043,96 | 404022,95 |
| 9 |
|
| 351593,89 | 351593,89 | 1217653,67 | 149110,27 | 516404,49 | 367294,22 |
| 10 |
|
| 351593,89 | 351593,89 | 1217653,67 | 135554,56 | 469457,85 | 333903,29 |
| 11 |
|
| 351593,89 | 351593,89 | 1217653,67 | 123231,55 | 426780,30 | 303548,76 |
| 12 |
| 1054782,00 | 351593,89 | 1406375,56 | 1217653,67 | 448114,85 | 387982,21 | -60132,64 |
| 13 |
|
| 351593,89 | 351593,89 | 1217653,67 | 101844,09 | 352710,43 | 250866,34 |
| 14 |
|
| 351593,89 | 351593,89 | 1217653,67 | 92585,57 | 320645,96 | 228060,39 |
| 15 |
|
| 351593,89 | 351593,89 | 1217653,67 | 84168,76 | 291496,55 | 207327,78 |
| 16 |
|
| 351593,89 | 351593,89 | 1217653,67 | 76517,03 | 264996,75 | 188479,72 |
| 17 |
|
| 351593,89 | 351593,89 | 1217653,67 | 69561,09 | 240906,69 | 171345,60 |
| 18 |
| 1054782,00 | 351593,89 | 1406375,56 | 1217653,67 | 252949,30 | 219005,97 | -33943,33 |
| 19 |
|
| 351593,89 | 351593,89 | 1217653,67 | 57488,41 | 199096,12 | 141607,70 |
| 20 |
|
| 351593,89 | 351593,89 | 1217653,67 | 52262,32 | 180996,91 | 128734,59 |
| 21 |
|
| 351593,89 | 351593,89 | 1217653,67 | 47511,23 | 164542,76 | 117031,52 |
| 22 |
|
| 351593,89 | 351593,89 | 1217653,67 | 43191,90 | 149583,88 | 106391,98 |
| 23 |
|
| 351593,89 | 351593,89 | 1217653,67 | 39265,30 | 135985,13 | 96719,82 |
| 24 |
| 105478,00 | 351593,89 | 1406375,56 | 1217653,67 | 142783,68 | 123623,51 | -19160,18 |
| 25 |
|
| 351593,89 | 351593,89 | 1217653,67 | 32450,71 | 112384,56 | 79933,85 |
| Tổng cộng |
|
|
|
| 13084616,2 | 9497308,9 | -3587307,33 | |
2.4.1. Các chỉ tiêu hiệu quả kinh tế của dự án
1, Với hệ số chiết khấu bằng 10 %
- EIRR = 4 %
- NPV = - 3.587.307,3 x 10 3 đồng (Cột 9)
- B/C = 9497308,9x10 3 / 13084616,2 x10 3 = 0,73
2.4.2. Phân tích tác động của dự án đối với kinh tế-xã hội vùng hưởng lợi
Mục tiêu của dự án chủ yêu giải quyết các vấn đề kinh tế xã hội (xoá đói giảm nghèo, ổn định dân cư, tạo công ăn việc làm, an ninh quốc phòng.v.v) thông qua tác động của dự án đối với sản xuất nông nghiệp. Vì vậy cần phân tích các tác động của dự án đối với kinh tế xã hội của vùng hưởng lợi
2.4.2.1. Khả năng tạo công ăn việc làm của dự án
Khi có dự án, ngoài việc tưới tiêu chủ động cho 132 ha lúa hiện có, còn khai hoang mở rộng để chuyển từ trồng ngô sang trông lúa được 143 ha; nhờ vậy tạo thêm công ăn việc làm cho bà con trong thôn bản
M = DF x mL (công)
Trong đó:
- M số lượng việc làm hàng năm tăng thêm nhờ có dự án
- DF là diện tích canh tác tăng lên nhờ có dự án (tăng diện tích, tăng vụ.vv)
DF = 275 –132 = 143 ha lúa)
- mL là số công lao động (công) cần để sản xuất canh tác trên một đơn vị diện tích (có thể là 1ha). Theo điều tra, mL = 320 công/ ha
DF = 143 x 320 = 45.760 công
(Mỗi năm làm một vụ, mỗi vụ làm trong khoảng 4 tháng (4 tháng x 26 ngày = 104 công thì dự án sẽ tạo ra công ăn việc làm cho 440 lao động)
2.4.2.2. Tăng thu nhập cho người hưởng lợi
DI = DA/P
Trong đó:
DI: mức thu nhập gia tăng của người hưởng lợi
DA: Giá trị sản lượng gia tăng trong vùng nhờ có dự án (lúa, ngô, khoai.v.v)
DA = 1.217.653.700;
P: số người hưởng lợi từ dự án; P = 5.058
DI = DA/P= 1.217.653.700/5058 = 240.738,1 (đồng/người)
2.4.2.3. Góp phần xoá đói giảm nghèo
DN = N1 - N0
Trong đó:
DN : Số hộ nghèo giảm đi nhờ có dự án (hộ)
N1: Số hộ nghèo trong vùng hưởng lợi khi có dự án (hộ)
N0 : Số hộ nghèo trong vùng hưởng lợi khi chưa có dự án (hộ)
Theo điều tra thu nhập bình quân hộ của 2 xã, hiện có 4552 hộ nghèo đói, khi có dự án, thu nhập bình quân 1 nhân khẩu tăng thêm 240.738,1/người /năm thì số hộ hộ nghèo đói chỉ còn 2048 hộ.
DN = 4552 - 2048= 2504 hộ
Số hộ nghèo giảm 55 %
2.4.2.4. Một số yếu tố kinh tế xã hội khác
Khi có dự án, số lao động có việc làm tăng lên, thu nhập bình quân tăng lên là điều kiện tốt để bà con dân bản không phá rừng, đốt nương làm rẫy góp phần bảo vệ môi trường sinh thái. Mặt khác bà con yên tâm làm ăn tại nơi sinh sống, không di dân tự do là điều kiện tốt để phát triển giáo dục y tế, trẻ em có điều kiện để đi học nâng cao dân trí và góp phần bảo đảm an ninh chính trị xã hội, vì 2 xã này ở gần biên giới.
2.4.3. Nhận xét kết quả tính toán
Từ phân tích đánh giá hiệu quả kinh tế xã hội của dự án có thể rút ra một số nhận xét sau:
- Nếu xét đơn thuần về hiệu quả kinh tế (EIRR = 4 %; NPV = - 3.587.307,3 x 103 đồng và B/C = 0,73) thì dự án không có hiệu quả vì không thoả mản chỉ tiêu hiệu quả.
- Dự án nằm ở vùng núi, vùng sâu, vùng xa (các xã hưởng lợi đều thuộc diện xoá đói giảm nghèo theo chương trình 135 của Chính phủ). Mục tiêu của dự án là cải thiện đời sống của nhân dân trong khu vực hưởng lợi, giảm đói nghèo, hạn chế phá rừng, ổn định dân cư tạo tiền đề để phát triển kinh tế xã hội, an ninh quốc phòng.v.v... thông qua tác động của dự án đối với sản xuất nông nghiệp.
Đối chiếu với tiêu chí đặt ra của dự án thì có thể đầu tư xây dựng dự án . (Ghi chú: Chủ đầu tư căn cứ vào mục tiêu của dự án, tham khảo các dự án khác có cùng mục tiêu để phân tích xem trước khi ra quyết định đầu tư).
Ví dụ 3: Dự án xây dựng trạm bơm tiêu TD, ở xã X, huyện TL, tỉnh HY (thuộc vùng đồng bằng) có nhiệm vụ tiêu cho 2.276 ha đất tự nhiên bảo đảm canh tác 3 vụ (2 vụ lúa và 1 vụ màu). Đặc biệt là vụ Hè thu ăn chắc.
Tổng vốn đầu tư xây dựng dự án là: 15.048.650.000,0 (đồng) (vốn vay là 9.115.1000.000,0, vốn trong nước 5.933.550.000,0) bằng vốn vay của ADB do Bộ Nông nghiệp & PTNT quản lý, thời gian thi công dự kiến 3 năm (1997 –1999).
Năm thứ 1: 6.698.000.000
Năm thứ 2: 4.771.200.000
Năm thứ 3: 3.579.450.000
Dự kiến, khi xây dựng xong trạm bơm đầu mối và nạo vét trục tiêu chính vào cuối năm 1998, trạm bơm sẽ hoạt động phục vụ sản xuất, ước tính tiêu được 90 % diện tích (hệ số tiêu 5 lít/s), sau khi công trình hoàn thành (cuối năm 1999) dự án sẽ tiêu bảo đảm cho cả 100 % diện tích vụ hè thu như nhiệm vụ của dự án. Yêu cầu tính toán hiệu quả kinh tế của dự án .
3.1. Điều tra, thu thập tài liệu, số liệu
Giả sử các số liệu về vùng dự án đã được điều tra đầy đủ và lập thành các bảng như hướng dẫn ở các phụ lục A.1 đến A.6
3.2. Xác định tổng chi phí của dự án tưới tiêu
3.2. 1. Xác định tổng chi phí của dự án tưới
Dựa vào thiết kế cơ sở, vốn đầu tư xây dựng dự án tưới như sau:
Bảng B.3.1. Bảng tổng hợp vốn đầu tư của dự án
| TT | Tên chỉ tiêu | Ngoại tệ (nếu có) | Nội tệ (103đồng) | Tổng cộng (103đồng) | |
| Ngoại tệ (USD) | Quy ra nội tệ (103đồng) | ||||
| I | Tổng vốn đầu tư xây dựng công trình |
| 15049.650 | ||
| 1 | Chi phí xây dựng | 405666,7 | 6085000 | 1266000 | 7351000 |
| 2 | Chi phí thiết bị | 135066,7 | 2026000 | 370000 | 2396000 |
| 3 | Chi phí quản lý dự án và chi phí khác | 38000,0 | 570000 | 4015000 | 4585000 |
| 4 | Chi phí dự phòng | 28940 | 434100 | 282550 | 716650 |
| II | Chi phí đền bù, giải phóng mặt bằng |
|
| ||
| III | Tổng vốn đầu tư dự án (I + II) |
|
| 15.049.650 | |
3.2.2. Chi phí quản lý vận hành hàng năm (CQLVH)
Theo số liệu thống kế chung trong khu vực vùng dự án với các trạm bơm tiêu, khoản chi phí này thường chiếm khoảng 5 % tổng vốn đầu tư xây dựng công trình.
CQLVH = 15.048.650 x 5 % = 752.432,5 (103đồng)
3.2.3. Chi phí thay thế (CTT)
Chi phí thay thế là chi phí sửa chữa lớn hoặc thay thế thiết bị, khoản chi phí lấy bằng 10 % vốn đầu tư ban đầu. Chu kỳ sửa lớn khoảng 5 năm một lần.
CTT = 15.048.650 x 10 % = 1.504.865,0 (103đồng).
3.2.4. Tổng chi phí của dự án (C)
Bảng B.3.2. Bảng tổng hợp chi phí của dự án
| Năm xây dựng và khai thác sử dụng | Các khoản mục chi phí (103đồng) | Tổng cộng (103đồng) | ||
| Vốn đầu tư ban đầu (K) | C.phí thay thế (CTT) | C.phí QLVH (CQLVH) | ||
| 1 | 6698000 |
|
| 6698000 |
| 2 | 4771200 |
| 677188,8 | 5448388,8 |
| 3 | 3579450 |
| 752432,5 | 4331882,5 |
| 4- 8 |
|
| 752432,5 | 752432,5 |
| 9 |
| 1504865,0 | 752432,5 | 2257297,5 |
| 10 -14 |
|
| 752432,5 | 752432,5 |
| 15 |
| 1504865,0 | 752432,5 | 2257297,5 |
| 16-20 |
|
| 752432,5 | 752432,5 |
| 21 |
| 1504865,0 | 752432,5 | 2257297,5 |
| 22-25 |
|
| 752432,5 | 752432,5 |
3.3. Xác định tổng lợi ích của dự án
3.3.1. Tính toán xác định sản lượng dự kiến sẽ tăng thêm khi có dự án
Theo số liệu điều tra, thống kê ở vùng hưởng lợi của dự án về diện tích, năng suất và sản lượng các loại cây trồng trong điều kiện có và không có dự án lập bảng tính sản lượng dự kiến tăng thêm khi có dự án như phụ lục A.3.
Bảng B.3.3. Sản lượng dự kiến tăng thêm khi có dự án
| TT | Cơ cấu cây trồng | Không có dự án | Có dự án | S.lượng tăng thêm (tấn) | ||||
| D.tích (ha) | N.suất (tấn/ha) | S.lượng (tấn) | D.tích (ha) | N.suất (tấn/ha) | S.lượng (tấn) | |||
| 1 | 2 | 3 | 4 | 5 = 3x4 | 6 | 7 | 8 = 6x7 | 9 = 8-5 |
| I | Lúa |
|
|
|
|
|
|
|
| 1 | Vụ Đông xuân | 2333 | 5.8 | 13531.4 | 2333.0 | 5.8 | 13531.4 | 0.0 |
| 2 | Vụ Hè thu | 1964 | 4.9 | 9623.6 | 2597.0 | 5.4 | 14023.8 | 4400.2 |
| II | Màu |
|
|
|
|
|
|
|
| 1 | Ngô | 286 | 2.1 | 600.6 | 305.0 | 2.5 | 762.5 | 161.9 |
| 2 | Đậu | 216 | 2.1 | 453.6 | 216.0 | 2.5 | 540.0 | 86.4 |
| 3 | Khoai tây, khoai lang, rau màu các loại | 735 | 10.8 | 7938.0 | 1172.0 | 11.0 | 12915.4 | 4977.4 |
(Ghi chú: Đậu.v.v tính như Ngô. Rau màu các loại khác tinh tương tự như khoai tây)
3.3.2. Tính toán, xác định giá kinh tế các yếu tố đầu vào và đầu ra của sản xuất nông nghiệp
Bảng B.3.4. Giá kinh tế các yếu tố đầu vào, đầu ra của sản xuất
| TT | Loại hàng hoá | Đơn vị | Giá kinh tế (đ) |
| 1 | Lúa | kg | 2130 |
| 2 | Đậu | kg | 2239 |
| 3 | Ngô | kg | 2239 |
| 4 | Khoai và rau màu các loại | kg | 1200 |
| 4 | Phân bón |
|
|
|
| - Kali | kg | 2435 |
|
| - Đạm urea | kg | 2458 |
|
| - Phân lân | kg | 1200 |
|
| - Thuốc trừ sâu | lít | 90000 |
|
| - Thuốc diệt cỏ, diệt nấm | lít | 180000 |
|
| - Thuốc diệt cỏ | lít | 170000 |
| 5 | Công lao động | Ngày công | 12000 |
| 6 | Thuê máy cày bừa | Ha | 350000 |
|
| ...... | ... | .... |
Bảng B.3.5. Giá trị thu nhập thuần tuý của 1 ha cây trồng trong điều kiện không có dự án
| Khoản mục thu chi | Lúa | Ngô, đậu | Rau màu các loại | ||||||||
| Đông xuân | Hè thu | ||||||||||
| Đơn giá (103đ) | Số lượng (tấn) | Thành tiền (103đ) | Số lượng (tấn) | Thành tiền (103đ) | Số lượng | Đơn giá (103đ) | Thành tiền (103đ) | Số lượng | Đơn giá (103đ) | Thành tiền (103đ) | |
| I. Tổng thu nhập /ha cây trồng |
|
| 12354,0 |
| 10.437,0 |
|
| 4701,9 |
|
| 12960 |
| Tổng thu nhập /ha cây trồng | 2130,00 | 5,80 | 12354,00 | 4,90 | 10437,00 | 2,10 | 2239,00 | 4701,90 | 10,80 | 1200,00 | 12960,0 |
| II. Tổng chi phí /ha cây trồng |
|
| 7195,65 |
| 6694,40 |
|
| 4450,74 |
|
| 12003,3 |
| 1. Chi phí lao động (103đ/công) | 12,00 | 274,00 | 3288,00 | 264,00 | 3168,00 | 220,00 | 12,00 | 2640,00 | 400,00 | 12,00 | 4800,00 |
| 2. Chi phí đầu vào |
|
|
|
|
|
|
|
|
|
|
|
| - Giống (103đ/tấn) | 3195,00 | 0,12 | 383,40 | 0,12 | 383,40 | 0,06 | 3195,00 | 191,70 | 1,10 | 3195,00 | 3514,50 |
| - Phân chuồng(103đ/tấn) | 150,00 | 7,00 | 1050,00 | 6,00 | 900,00 | 5,00 | 150,00 | 750,00 | 6,00 | 150,00 | 900,00 |
| - Đạm (103đ/tấn) | 2458,00 | 0,17 | 417,86 | 0,14 | 344,12 | 0,10 | 2458,00 | 245,80 | 0,35 | 2458,00 | 860,30 |
| - Lân (103đ/tấn) | 900,00 | 0,18 | 162,00 | 0,16 | 144,00 | 0,10 | 900,00 | 90,00 | 0,12 | 900,00 | 108,00 |
| - Kali (103đ/tấn) | 2435,00 | 0,07 | 170,45 | 0,06 | 146,10 | 0,04 | 2435,00 | 97,40 | 0,05 | 2435,00 | 121,75 |
| - Thuốc trừ sâu(103đ/lít) | 90,00 | 1,00 | 90,00 | 1,00 | 90,00 |
| 90,00 | 0,00 | 1,00 | 90,00 | 90,00 |
| - Thuốc diệt cỏ, trừ nấm | 170,00 | 0,60 | 102,00 | 0,60 | 102,00 |
| 170,00 |
| 1,00 | 170,00 | 170,00 |
| 3. Thuê máy cày bừa(103đ/ha) | 350,00 | 1,00 | 350,00 | 1,00 | 350,00 |
| 250,00 | 0,00 | 1,00 | 250,00 | 250,00 |
| 4. Thuỷ lợi phí(103đ/ha) Theo NĐ số 112 | 251,00 | 1,00 | 251,00 | 1,00 | 251,00 |
|
|
|
|
|
|
| 5. C.phí khác 5 % x ( 1+2+3) 103đ |
|
| 930,94 | 13,95 | 815,78 | 11,37 | 594,95 | 435,84 | 21,07 | 543,00 | 1188,73 |
| III. Giá trị thu nhập thuần tuý (103đ/ha) ( I – II) |
|
| 5158,35 |
| 3742,60 |
|
| 251,16 |
|
| 956,72 |
Bảng B.3.6. Giá trị thu nhập thuần tuý của 1 ha cây trồng trong điều kiện có dự án
| Khoản mục thu chi | Lúa | Ngô, đậu | Rau màu các loại | |||||||||
| Đông xuân | Hè thu | |||||||||||
| Đơn giá (103đ) | Số lượng (tấn) | Thành tiền (103đ) | Số lượng (tấn) | Thành tiền (103đ) | Số lượng | Đơn giá (103đ) | Thành tiền (103đ) | Số lượng | Đơn giá (103đ) | Thành tiền (103đ) | ||
| I. Tổng thu nhập /ha cây trồng | 12354,0 |
| 11502,0 |
|
| 5597,5 |
|
| 13224 | |||
| Tổng thu nhập /ha cây trồng | 2130 | 5,8 | 12354,0 | 5,4 | 11502,0 | 2,5 | 2239,0 | 5597,5 | 11,02 | 1200 | 13224 | |
| II. Tổng chi phí /ha cây trồng | 7195,65 |
| 6558,65 |
|
| 4495,52 |
|
| 11816,98 | |||
| 1. Chi phí lao động (103đ/công) | 12,00 | 274,00 | 3288,00 | 249,00 | 2988,00 | 220,00 | 12,00 | 2640,00 | 380,00 | 12,00 | 4560,00 | |
| 2. Chi phí đầu vào |
|
|
|
|
|
|
|
|
|
|
| |
| - Giống (103đ/tấn) | 3195,00 | 0,12 | 383,40 | 0,12 | 383,40 | 0,06 | 3195,00 | 191,70 | 1,10 | 3195,00 | 3514,50 | |
| - Phân chuồng(103đ/tấn) | 150,00 | 7,00 | 1050,00 | 6,00 | 900,00 | 5,00 | 150,00 | 750,00 | 6,00 | 150,00 | 900,00 | |
| - Đạm (103đ/tấn) | 2458,00 | 0,17 | 417,86 | 0,14 | 344,12 | 0,10 | 2458,00 | 245,80 | 0,35 | 2458,00 | 860,30 | |
| - Lân (103đ/tấn) | 900,00 | 0,18 | 162,00 | 0,16 | 144,00 | 0,10 | 900,00 | 90,00 | 0,12 | 900,00 | 108,00 | |
| - Kali (103đ/tấn) | 2435,00 | 0,07 | 170,45 | 0,06 | 146,10 | 0,04 | 2435,00 | 97,40 | 0,05 | 2435,00 | 121,75 | |
| - Thuốc trừ sâu(103đ/lít) | 90,00 | 1,00 | 90,00 | 1,00 | 90,00 |
| 90,00 | 0,00 | 1,00 | 90,00 | 90,00 | |
| - Thuốc diệt cỏ, trừ nấm | 170,00 | 0,60 | 102,00 | 0,60 | 102,00 |
| 170,00 |
| 1,00 | 170,00 | 170,00 | |
| 3. Thuê máy cày bừa(103đ/ha) | 350,00 | 1,00 | 350,00 | 1,00 | 350,00 |
| 300,00 | 0,00 | 1,00 | 300,00 | 300,00 | |
| 4. Thuỷ lợi phí(103đ/ha) Theo NĐ số 112 | 251,00 | 1,00 | 251,00 | 1,00 | 251,00 |
|
| 0,00 |
|
|
| |
| 5. Chi phí khác 5 % x ( 1+2+3) |
|
| 930,94 | 13,22 | 860,03 | 11,39 | 597,45 | 480,62 | 20,08 | 545,50 | 1192,43 | |
| III. Giá trị thu nhập thuần tuý (103đ/ha) ( I – II) |
|
| 5158,35 |
| 4943,35 |
|
| 1101,98 |
|
| 1407,02 | |
Bảng B.3.7. Giá trị thu nhập thuần tuý tăng thêm của dự án
| TT | Mùa vụ cây trồng | Diện tích (ha) | Thu nhập trên 1 ha (103đ) | Tổng thu nhập (103đ) |
| I | Khi không có dự án |
|
|
|
| 1 | Lúa Đông Xuân | 2333,00 | 5158,35 | 12034441,05 |
| 2 | Lúa Hè Thu | 1964,00 | 3742,60 | 7350464,44 |
| 3 | Màu |
|
|
|
|
| - Ngô, đậu | 502,00 | 251,16 | 126082,32 |
|
| - Rau màu các loại | 735,00 | 956,72 | 703191,04 |
|
| Tổng cộng |
|
| 20.214.178,84 |
| II | Khi có dự án |
|
|
|
| 1 | Lúa Đông Xuân | 2333,00 | 5158,35 | 12034441,05 |
| 2 | Lúa Hè Thu | 2597,00 | 4943,35 | 12837877,35 |
| 3 | Màu |
|
|
|
|
| - Ngô, đậu | 521,00 | 1101,98 | 574131,58 |
|
| - Rau màu các loại | 835,00 | 1407,02 | 1174863,79 |
|
| Tổng cộng |
|
| 26.621.313,77 |
| Giá trị thu nhập thuần tuý tăng thêm: Tổng II - Tổng I = 6.407.134,93 | ||||
3.4. Xác định các chỉ tiêu hiệu quả kinh tế của dự án
Bảng B.3.8. Bảng tính các chỉ tiêu hiệu quả kinh tế của dự án
(với hệ số chiết khấu rc =10 % và rc =12 %)
Đơn vị tính: 106đồng
| Năm | Chi phí (C) | Hiệu ích (B) | Chi phí và Lợi ích quy đổi về năm đầu với rc =10 % | Chi phí và Lợi ích quy đổi về năm đầu với rc =12 % | |||||||
|---|---|---|---|---|---|---|---|---|---|---|---|
| K | CTT | CQLVH | (C) | CP qđ | B qđ | (B-C) qđ | CP qđ | B qđ | (B-C) qđ | ||
| 1 | 2 | 3 | 4 | 5 = 2+3+4 | 6 | 7 | 8 | 9=8-7 | 10 | 11 | 12=11-10 |
| 1 | 6698,00 |
|
| 6698,00 |
| 6089,09 | 0,00 | -6089,09 | 5980,38 | 0,00 | -5980,38 |
| 2 | 4771,20 |
|
| 4771,20 |
| 3943,14 | 0,00 | -3943,14 | 3803,55 | 0,00 | -3803,55 |
| 3 | 3579,45 |
| 677,19 | 4256,64 | 5766,42 | 3198,08 | 4332,40 | 1134,32 | 3029,79 | 4104,42 | 1074,63 |
| 4 |
|
| 752,43 | 752,43 | 6407,13 | 513,92 | 4376,16 | 3862,24 | 478,19 | 4071,86 | 3593,68 |
| 5 |
|
| 752,43 | 752,43 | 6407,13 | 467,20 | 3978,32 | 3511,12 | 426,95 | 3635,60 | 3208,65 |
| 6 |
|
| 752,43 | 752,43 | 6407,13 | 424,73 | 3616,66 | 3191,93 | 381,20 | 3246,05 | 2864,84 |
| 7 |
|
| 752,43 | 752,43 | 6407,13 | 386,12 | 3287,87 | 2901,76 | 340,36 | 2898,27 | 2557,90 |
| 8 |
|
| 752,43 | 752,43 | 6407,13 | 351,02 | 2988,97 | 2637,96 | 303,89 | 2587,71 | 2283,82 |
| 9 |
| 1504,87 | 752,43 | 2257,30 | 6407,13 | 957,32 | 2717,25 | 1759,94 | 814,00 | 2310,48 | 1496,47 |
| 10 |
|
| 752,43 | 752,43 | 6407,13 | 290,10 | 2470,23 | 2180,13 | 242,26 | 2062,91 | 1820,64 |
| 11 |
|
| 752,43 | 752,43 | 6407,13 | 263,72 | 2245,66 | 1981,94 | 216,31 | 1841,92 | 1625,61 |
| 12 |
|
| 752,43 | 752,43 | 6407,13 | 239,75 | 2041,51 | 1801,76 | 193,13 | 1644,58 | 1451,45 |
| 13 |
|
| 752,43 | 752,43 | 6407,13 | 217,95 | 1855,92 | 1637,96 | 172,43 | 1468,32 | 1295,89 |
| 14 |
|
| 752,43 | 752,43 | 6407,13 | 198,14 | 1687,20 | 1489,06 | 153,96 | 1311,03 | 1157,07 |
| 15 |
| 1504,87 | 752,43 | 2257,30 | 6407,13 | 540,38 | 1533,82 | 993,44 | 412,41 | 1170,58 | 758,18 |
| 16 |
|
| 752,43 | 752,43 | 6407,13 | 163,75 | 1394,38 | 1230,63 | 122,74 | 1045,13 | 922,40 |
| 17 |
|
| 752,43 | 752,43 | 6407,13 | 148,87 | 1267,62 | 1118,75 | 109,58 | 933,14 | 823,55 |
| 18 |
|
| 752,43 | 752,43 | 6407,13 | 135,33 | 1152,38 | 1017,05 | 97,85 | 833,18 | 735,34 |
| 19 |
|
| 752,43 | 752,43 | 6407,13 | 123,03 | 1047,62 | 924,59 | 87,36 | 743,93 | 656,57 |
| 20 |
|
| 752,43 | 752,43 | 6407,13 | 111,84 | 952,38 | 840,54 | 78,00 | 664,23 | 586,22 |
| 21 |
| 1504,87 | 752,43 | 2257,30 | 6407,13 | 305,03 | 865,80 | 560,77 | 208,94 | 593,04 | 384,11 |
| 22 |
|
| 752,43 | 752,43 | 6407,13 | 92,43 | 787,09 | 694,66 | 62,18 | 529,49 | 467,30 |
| 23 |
|
| 752,43 | 752,43 | 6407,13 | 84,03 | 715,54 | 631,51 | 55,52 | 472,78 | 417,26 |
| 24 |
|
| 752,43 | 752,43 | 6407,13 | 76,39 | 650,49 | 574,10 | 49,57 | 422,10 | 372,53 |
| 25 |
|
| 752,43 | 752,43 | 6407,13 | 69,45 | 591,35 | 521,91 | 44,26 | 376,87 | 332,61 |
| Tổng cộng |
|
|
|
| 19390,80 | 46556,62 | 27165,83 | 17864,84 | 38967,63 | 21102,79 | |
3.4.1. Các chỉ tiêu hiệu quả kinh tế của dự án
Với hệ số chiết khấu bằng 10 %
- EIRR = 33%
- NPV = 27165,83 x 10 6 đồng (Cột 9)
- B/C = 46556,62x10 6 / 19390,80 x10 6 = 2,4
Với hệ số chiết khấu bằng 12 %
- EIRR = 33%
- NPV = 21102,79 x 10 6 đồng (cột 12)
- B/C = 38967,63 x10 6/ 17864,84 x10 6 = 2.18
3.4.2. Phân tích độ nhạy của dự án
Bảng phân tích độ nhậy của dự án
| TT | Yếu tố thay đổi | Chỉ tiêu hiệu quả | ||
| EIRR (%) | B/C | NPV (i= 10%) (106 đ) | ||
| I | Phương án cơ sở | 33 | 2.4 | 27165,83 |
| II | Phương án giả định |
|
|
|
| 1 | Thu nhập giảm 10% | 26 | 1,94 | 18320,0 |
| 2 | Thu nhập giảm 20% | 17 | 1,38 | 7425,8 |
| 3 | Chi phí tăng 10% | 30 | 2,18 | 25226,7 |
| 4 | Chi phí tăng 20% | 28 | 2,0 | 23834,4 |
| 5 | Chi phí tăng 10%, thu nhập giảm 10% | 27 | 1,96 | 20571,0 |
| 6 | Chi phí tăng 20%, thu nhập giảm 10% | 24 | 1,8 | 18632,0 |
| 7 | Chi phí tăng 10%, thu nhập giảm 20% | 20 | 1,5 | 12190,9 |
3.4.3. Nhận xét kết quả tính toán
Từ các kết quả tính toán, trong mọi trường hợp rủi ro có thể xẩy ra như giả định dự án vẫn thoả mãn các tiêu chuẩn hiệu quả theo quy định hướng dẫn tính toán hiệu quả kinh tế , cụ thể là :
- EIRR ³ 15 %; và NPV ³ 0; B/C ³ 1
Cần xem xét thêm ảnh hưởng của dự án đối với xã hội môi trường ở báo cáo đánh giá tác động môi trường, Nếu dự án không gây ảnh hưởng xấu đối với xã hội, môi trường thì việc đầu tư xây dựng dự án tiêu trên đây là rất có hiệu quả kinh tế./.
Bạn chưa Đăng nhập thành viên.
Đây là tiện ích dành cho tài khoản thành viên. Vui lòng Đăng nhập để xem chi tiết. Nếu chưa có tài khoản, vui lòng Đăng ký tại đây!