- Tổng quan
- Nội dung
- Tiêu chuẩn liên quan
- Lược đồ
- Tải về
Tiêu chuẩn TCVN 7887:2018 Màng phản quang dùng cho biển báo hiệu đường bộ
| Số hiệu: | TCVN 7887:2018 | Loại văn bản: | Tiêu chuẩn Việt Nam |
| Cơ quan ban hành: | Bộ Khoa học và Công nghệ | Lĩnh vực: | Giao thông |
|
Ngày ban hành:
Ngày ban hành là ngày, tháng, năm văn bản được thông qua hoặc ký ban hành.
|
2018 |
Hiệu lực:
|
Đã biết
|
| Người ký: | Đang cập nhật |
Tình trạng hiệu lực:
Cho biết trạng thái hiệu lực của văn bản đang tra cứu: Chưa áp dụng, Còn hiệu lực, Hết hiệu lực, Hết hiệu lực 1 phần; Đã sửa đổi, Đính chính hay Không còn phù hợp,...
|
Đã biết
|
TÓM TẮT TIÊU CHUẨN VIỆT NAM TCVN 7887:2018
Nội dung tóm tắt đang được cập nhật, Quý khách vui lòng quay lại sau!
Tải tiêu chuẩn Việt Nam TCVN 7887:2018
TIÊU CHUẨN QUỐC GIA
TCVN 7887 : 2018
MÀNG PHẢN QUANG DÙNG CHO BIỂN BÁO HIỆU ĐƯỜNG BỘ
Retroreflective sheeting for traffic signs
Lời nói đầu
TCVN 7887:2018 thay thế TCVN 7887:2008.
TCVN 7887:2018 do Tổng cục Đường bộ Việt Nam biên soạn, Bộ Giao thông vận tải đề nghị, Tổng cục Tiêu chuẩn Đo lường Chất lượng thẩm định, Bộ Khoa học và Công nghệ công bố.
MÀNG PHẢN QUANG DÙNG CHO BIỂN BÁO HIỆU ĐƯỜNG BỘ
Retroreflective sheeting for traffic signs
1 Phạm vi áp dụng
Tiêu chuẩn này áp dụng cho màng phản quang mềm dẻo dùng cho biển báo hiệu đường bộ.
2 Tài liệu viện dẫn
Các tài liệu viện dẫn sau đây là cần thiết để áp dụng tiêu chuẩn này. Đối với các tài liệu viện dẫn ghi năm công bố thì áp dụng bản được nêu. Đối với các tài liệu viện dẫn không ghi năm công bố thì áp dụng phiên bản mới nhất, bao gồm cả các sửa đổi, bổ sung (nếu có).
| ASTM B209 | Specification for aluminum and aluminum-alloy sheet and plate (Yêu cầu kỹ thuật đối với tấm và màng nhôm và hợp kim nhôm) |
| ASTM B918 | Practice for Heat Treatment of Wrought Aluminum Alloys Tiêu chuẩn thực hành cho xử lý nhiệt của vật liệu hợp kim nhôm gia nhiệt |
| ASTM B947 | Practice for Hot Rolling Míll Solution Heat Treatment for Aluminum Alloy Plate Tiêu chuẩn thực hành giải pháp cán nóng cho xử lý tấm nhiệt hợp kim nhôm. |
| ASTM B557 | Test Methods for Tension Testing Wrought and Cast Aluminum and Magnesium Alloy Products Phương pháp thử kéo vật liệu hợp kim nhôm và magne |
| ASTM D 4956 | Standard Specification for Retroretlective Sheeting for Traffic Control Tiêu chuẩn kỹ thuật cho màng phản quang trong điều khiển giao thông |
| ASTM E 308 | Standard practice for computing the colors of objects by using the CIE System. (Tiêu chuẩn thực hành tính toán màu vật thể sử dụng hệ thống CIE). |
| ASTME810 | Standard test method for coefficient of retro-reflection of retroreflective sheeting utilizing the coplanar geometry. (Phương pháp thử xác định hệ số phản quang của màng phản quang sử dụng cấu hình đồng phẳng). |
| ASTM E 811 | Standard practice for measuring colorimetric characteristics of retroretlectors under nighttime conditions (Tiêu chuẩn thực hành kiểm tra đặc tính màu của mảng phản quang trong điều kiện ban đêm). |
| ASTM E 1767 | Standard Practice for Specitying the Geometries of Observation and Measurement to Characterize the Appearance of Materials (Tiêu chuẩn thực hành xác định hình học của góc quan sát và đo các tính năng của vật liệu) |
| ASTM E 2152 | Standard Practice for Computing the Colors of Fluorescent Objects from Bispectral Photometric Data (Tiêu chuẩn thực hành tính toán màu sắc huỳnh quang từ dữ liệu ánh sáng quang phổ) |
| ASTM E 2153 | Standard practice for obtaining bispectral photometric data for evaluation of fluorescent color. (Tiêu chuẩn thực hành thu thập dữ liệu quang phổ kép để đánh giá màu huỳnh quang). |
| ASTM E 2301 | Standard test method for daytime colorimetric properties of fluorescent retroreflective sheeting and marking materials for high visibility traffic control and personal safety applications using 45° normal geometry. (Phương pháp xác định các đặc tính màu ban ngày của màng phản quang huỳnh quang và các vật liệu vạch dấu để kiểm soát giao thông có tầm nhìn cao và an toàn cho con người sử dụng cấu hình chuẩn 45°). |
| ASTM E290 | Standard Test Methods for Bend Testing of Material for Ductility Tiêu chuẩn phương pháp thử uốn vật liệu kim loại |
| ASTM G 147 | Standard practice for conditioning and handling of nonmetallic materials for natural and artiticial weathering tests. (Tiêu chuẩn thực hành về bảo quản và vận chuyển vật liệu phi kim loại đối với các phép thử đánh giá độ bền thời tiết tự nhiên và nhân tạo). |
| ASTM G 7 | Standard practice for atmospheric environmental exposure testing of nonmetallic materials. (Tiêu chuẩn thực hành phơi vật liệu phi kim loại ngoài môi trường khí quyển). |
| ASTMG 151 | Standard practice for exposing nonmetallic materials in accelerated test devices that use laboratory light sources. (Tiêu chuẩn thực hành phơi mẫu vật liệu phi kim loại trong thiết bị thử nghiệm gia tốc sử dụng nguồn sáng trong phòng thí nghiệm). |
| ASTM G 152 | Standard practice for operating open flame carbon arc light apparatus for exposure of nonmetallic materials. (Tiêu chuẩn thực hành vận hành thiết bị bức xạ hồ quang cacbon ngọn lửa hở để phơi mẫu phi kim loại). |
| AASHTO M268 | Standard specification for retroreflective sheeting for flat and vertical traffic control aplications. (Tiêu chuẩn kỹ thuật đối với màng phản quang dùng cho báo hiệu đường bộ). |
| AMS 2772 | Heat Treatment of Aluminum Alloy Raw Materials Xử lý nhiệt đối với vật liệu hợp kim nhôm |
3 Thuật ngữ, định nghĩa
Trong tiêu chuẩn này, áp dụng các thuật ngữ và định nghĩa sau:
3.1 Màng phản quang (retroreflective sheeting)
Tấm nhựa mỏng, phẳng, mềm, trong suốt, có các hạt thủy tinh dạng thấu kính hoặc vi lăng kính, có tính năng phản quang đồng đều trên toàn bộ bề mặt. Mặt sau của màng phản quang được phủ sẵn lớp kết dính để gắn kết với tấm kim loại sạch làm biển báo hiệu đường bộ. Cấu tạo màng phản quang được mô tả chi tiết tại Hình 1.

Hình 1. Cấu tạo màng phản quang
3.2 Phản quang (reflection)
Hiện tượng phản xạ ánh sáng, trong đó các tia phản xạ có hướng gần trùng với hướng chiếu của tia sáng gốc, đặc tính này luôn được duy trì khi thay đổi hướng chiếu của tia sáng gốc.
3.3 Hệ số phản quang (retroreflection coefficient)
Tỷ số giữa hệ số cường độ sáng của một mặt phản xạ ánh sáng trên diện tích của chính mặt đó. Hệ số phản quang ký hiệu là candela trên lux trên mét vuông (cd.lx-1.m-2).
3.4 Hệ số cường độ sáng (coefficient of luminous intensity)
Tỷ số của độ sáng của bề mặt được nhìn từ một vị trí cụ thể (được chiếu sáng theo một cách nhất định) và độ sáng của bề mặt màu trắng phản xạ khuếch tán (được nhìn từ một vị trí tương tự).
3.5 Trục chiếu sáng (illumination axis)
Trục nối giữa vật phát sáng và tâm của bề mặt tấm thí nghiệm.
3.6 Trục quan sát (observation axis)
Trục nối giữa điểm quan sát và tâm của bề mặt tấm thí nghiệm.
3.7 Góc tới (entrance angle)
Góc giữa trục chiếu sáng và trục của vật phát quang.
3.8 Góc quan sát (observation angle)
Góc giữa trục chiếu sáng và trục quan sát.
3.9 Màng phản quang chịu va đập (reboundable sheeting )
Màng phản quang có khả năng đàn hồi dùng để dán lên các dụng cụ dễ bị các tác động va đập nhằm phân luồng giao thông.
4 Phân loại
4.1 Phân loại theo đặc tính phản quang và cấu tạo hạt phản quang
Màng phản quang được phân chia thành 9 loại từ loại I đến loại XI, trong đó loại VII và loại X được thay thế bởi loại VIII theo quy định trong Bảng 1.
Bảng 1. Phân loại màng phản quang theo đặc tính phản quang và cấu tạo hạt phản quang
| Loại | Đặc tính phản quang | Cấu tạo hạt phản quang |
| I | Trung bình | Hạt thủy tinh dạng thấu kính hoặc vi lăng kính |
| II | Trung bình khá | Hạt thủy tinh dạng thấu kính hoặc vi lăng kính |
| III | Cao | Hạt thủy tinh dạng thấu kính hoặc vi lăng kính |
| IV | Cao | Vi lăng kính không phủ kim loại |
| V | Rất cao | Vi lăng kính phủ kim loại |
| VI | Cao | Vi lăng kính |
| VII | Rất Cao (Có đặc tính phản quang với mức cao nhất ở khoảng cách dài và trung bình) | Vi lăng kính không phủ kim loại (Được thay thế bởi loại VIII) |
| VIII | Rất cao (Có đặc tính phản quang với mức cao nhất ở khoảng cách dài và trung bình) | Vi lăng kính không phủ kim loại |
| IX | Rất cao (Có đặc tính phản quang với mức cao nhất ở khoảng cách ngắn) | Vi lăng kính không phủ kim loại |
| X | Rất cao (Có đặc tính phản quang với mức cao nhất ở khoảng cách trung bình) | Vi lăng kính không phủ kim loại (Được thay thế bởi loại VIII) |
| XI | Rất cao (Có đặc tính phản quang cao ở khoảng cách xa và cao nhất ở khoảng cách trung bình và ngắn) | Vi lăng kính không phủ kim loại |
| CHÚ THÍCH - Hạt thủy tinh dạng vi lăng kính là dạng thủy tinh có kích thước rất nhỏ dạng lăng kính ba mặt được phủ lớp phản xạ ánh sáng. - Hạt thủy tinh dạng thấu kính là dạng hạt thủy tinh hình cầu có một mặt được phủ lớp phản xạ ánh sáng, hạt phản quang dạng vi lăng kính có đặc tính phản quang cao hơn loại hạt thủy tinh dạng thấu kính. - Màng phản quang loại V thường sử dụng để làm băng kiểm soát, dẫn hướng giao thông tạm thời. - Màn phản quang loại VI thường sử dụng làm biển báo tạm thời; côn dẫn hướng; băng kiểm soát, dẫn hướng giao thông tạm thời. | ||
4.2 Phân nhóm màng phản quang theo tính năng kết dính với tấm kim loại làm biển báo
Phụ thuộc vào loại lớp kết dính và điều kiện dính ép, các loại màng phản quang được phân thành 5 nhóm theo tính năng kết dính, từ nhóm 1 đến nhóm 5 trong Bảng 2.
Bảng 2. Phân nhóm màng phản quang theo tính năng kết dính
| Nhóm | Điều kiện dính ép | Tính năng kết dính |
| 1 | Cần áp lực, không cần gia nhiệt | Kết dính nhờ áp lực, không cần gia nhiệt. |
| 2 | Cần áp lực và gia nhiệt | Kết dính nhờ gia nhiệt và áp lực. Nhiệt độ cần thiết để dính ép ≥ 66 °C. Nhiệt độ sửa chữa, bóc tách màng phải < 38 °C. |
| 3 | Cần áp lực thấp, không cần gia nhiệt | Kết dính nhờ áp lực, không cần gia nhiệt. Nhiệt độ sửa chữa, bóc tách màng phải < 38 °C. |
| 4 | Cần áp lực, không cần gia nhiệt, cho phép dán ở nhiệt độ thấp | Kết dính nhờ áp lực, không cần gia nhiệt. Có khả năng kết dính ở nhiệt độ ≥ -7 °C. |
| 5 | Không lớp kết dính | Không có khả năng kết dính, dùng cho các sản phẩm: côn dẫn hướng, băng kiểm soát giao thông |
| CHÚ THÍCH - Màng phản quang loại VI là loại không có lớp kết dính (thuộc Nhóm 5). - Nhóm 1 và Nhóm 3 thuận tiện cho thi công dán màng phản quang. - Nhóm 2 khó thi công dán màng do cần áp lực và nhiệt độ cao. | ||
5 Hướng dẫn lựa chọn loại màng phản quang
Nguyên tắc lựa chọn màng phản quang: trên cùng một tuyến, đoạn tuyến, biển báo hiệu lắp đặt trên giá long môn, cần vươn phải sử dụng màng phản quang có hệ số phản quang không nhỏ hơn hệ số phản quang của biển báo hiệu lắp đặt bên lề đường, đảm bảo tính thống nhất và đồng bộ hệ thống biển báo hiệu trên toàn tuyến. Đối với biển báo cấm, biển chỉ dẫn hướng giao thông, yêu cầu sử dụng màng phản quang có hệ số phản quang cao so với loại màng phản quang dùng cho các biển báo hiệu đường bộ khác. Trên các đoạn tuyến có tốc độ thiết kế lớn, yêu cầu sử dụng màng phản quang có hệ số phản quang cao. Đối với đoạn đường nguy hiểm, đèo dốc quanh co, tầm nhìn hạn chế; đường qua khu vực thường xuyên có sương mù, khu vực trường học, khu đông dân cư, yêu cầu sử dụng màng phản quang từ loại IX trở lên.
Hướng dẫn lựa chọn loại màng phản quang phù hợp đối với các loại đường cao tốc, đường đô thị, đường ô tô thông thường và đường chuyên dùng được trình bày trong Bảng 3.
Bảng 3. Hướng dẫn lựa chọn loại màng phản quang phù hợp
| Tốc độ thiết kế km/h | Đường cao tốc | Đường đôi ngoài đô thị | Đường đô thị | Đường ô tô thông thường, đường chuyên dùng | |||
| Biển lắp đặt trên giá long môn, cần vươn | Biển lắp đặt bên lề đường | Biển lắp đặt trên giá long môn, cần vươn | Biển lắp đặt bên lề đường | Biển lắp đặt trên giá long môn, cần vươn | Biển lắp đặt bên lề đường | ||
| Vtk < 40 | - | - | - | - | IV, VIII, IX, XI | I, IV | I, II |
| 40≤ Vtk <60 | - | - | IX, XI | IV | IX, XI | IV | III, IV |
| 60≤ Vtk < 80 | XI | VIII, IX, XI | XI | IV, VIII, IX, XI | XI | IV, VIII, IX, XI | IV, VIII, IX |
| Vtk ≥ 80 | XI | IX, XI | XI | VIII, IX, XI | XI | VIII, IX, XI | - |
| CHÚ THÍCH: - Loại V chuyên dùng cho dẫn hướng; - Loại VI chuyên dùng cho biển báo tạm thời, băng điều chỉnh giao thông cho đường tạm, đường trong giai đoạn thi công, đoạn đường đang sửa chữa, bảo dưỡng. | |||||||
6 Yêu cầu kỹ thuật của màng phản quang
6.1 Hệ số phản quang
Hệ số phản quang tối thiểu của các màng phản quang (thử nghiệm theo 8.1.3) phải đạt hoặc vượt yêu cầu theo quy định ở các bảng tương ứng với từng loại màng phản quang tại các bảng từ Bảng 4 đến Bảng 12.
Bảng 4. Hệ số phản quang tối thiểu (Ra) cho màng phản quang Loại I (cd.lx-1.m-2)
| Góc quan sát | Góc tới | Trắng | Vàng | Vàng da cam | Xanh lá cây | Đỏ | Xanh lam | Nâu |
| 0,2° | -4° | 70 | 50 | 25 | 9 | 14 | 4 | 1 |
| 0,2° | +30° | 30 | 22 | 7 | 3,5 | 6 | 1,7 | 0,3 |
| 0,5° | -4° | 30 | 25 | 13 | 4,5 | 7,5 | 2 | 0,3 |
| 0,5° | +30° | 15 | 13 | 4 | 2,2 | 3 | 0,8 | 0,2 |
Bảng 5. Hệ số phản quang tối thiểu (Ra) cho màng phản quang Loại II (cd.lx-1.m-2)
| Góc quan sát | Góc tới | Trắng | Vàng | Vàng da cam | Xanh lá cây | Đỏ | Xanh lam | Nâu |
| 0,2° | -4° | 140 | 100 | 60 | 30 | 30 | 10 | 5 |
| 0,2° | +30° | 60 | 36 | 22 | 10 | 12 | 4 | 2 |
| 0,5° | -4° | 50 | 33 | 20 | 9 | 10 | 3 | 2 |
| 0,5° | +30° | 28 | 20 | 12 | 6 | 6 | 2 | 1 |
Bảng 6. Hệ số phản quang tối thiểu (Ra) cho màng phản quang Loại III (cd.lx-1.m-2)
| Góc quan sát | Góc tới | Trắng | Vàng | Vàng da cam | Xanh lá cây | Đỏ | Xanh lam | Nâu |
| 0,1° (*) | -4° | 300 | 200 | 120 | 54 | 54 | 24 | 14 |
| 0,1° (*) | +30° | 180 | 120 | 72 | 32 | 32 | 14 | 10 |
| 0,2° | -4° | 250 | 170 | 100 | 45 | 45 | 20 | 12 |
| 0,2° | +30° | 150 | 100 | 60 | 25 | 25 | 11 | 8,5 |
| 0,5° | -4° | 95 | 62 | 30 | 15 | 15 | 7,5 | 5 |
| 0,5° | +30° | 65 | 45 | 25 | 10 | 10 | 5 | 3,5 |
| (*) Các giá trị đo ở góc quan sát 0,1° là bổ sung, chỉ áp dụng khi có yêu cầu của bên mua hàng. | ||||||||
Bảng 7. Hệ số phản quang tối thiểu (Ra) cho màng phản quang Loại IV (cd.lx-1.m-2)
| Góc quan sát | Góc tới | Trắng | Vàng | Vàng da cam | Xanh lá cây | Đỏ | Xanh lam | Tím | Nâu | Vàng - xanh lá cây huỳnh quang | Vàng huỳnh quang | Vàng da cam huỳnh quang |
| 0,1° (*) | -4° | 500 | 380 | 200 | 70 | 90 | 42 | 20 | 25 | 400 | 300 | 150 |
| 0,1° (*) | +30° | 240 | 175 | 94 | 32 | 42 | 20 | 10 | 12 | 185 | 140 | 70 |
| 0,2° | -4° | 360 | 270 | 145 | 50 | 65 | 30 | 14 | 18 | 290 | 220 | 105 |
| 0,2° | +30° | 170 | 135 | 68 | 25 | 30 | 14 | 6.8 | 8,5 | 135 | 100 | 50 |
| 0,5° | -4° | 150 | 110 | 60 | 21 | 27 | 13 | 6.0 | 7,5 | 120 | 90 | 45 |
| 0,5° | +30° | 72 | 54 | 28 | 10 | 13 | 6 | 2.9 | 3,5 | 55 | 40 | 22 |
| (*) Các giá trị đo ở góc quan sát 0,1° là bổ sung, chỉ áp dụng khi có yêu cầu của bên mua hàng. | ||||||||||||
Bảng 8. Hệ số phản quang tối thiểu (Ra) cho màng phản quang Loại V (cd.lx-1.m-2)
| Góc quan sát | Góc tới | Trắng | Vàng | Vàng da cam | Xanh lá cây | Đỏ | Xanh lam | Tím |
| 0,1° (*) 0,1° (*) 0,2° 0,2° 0,5° 0,5° | -4° +30° -4° +30° -4° +30° | 2000 1100 700 400 160 75 | 1300 740 470 270 110 51 | 800 440 280 160 64 30 | 360 200 120 72 28 13 | 360 200 120 72 28 13 | 160 88 56 32 13 6 | 80 45 28 16 6,4 3,0 |
| (*) Các giá trị đo ở góc quan sát 0,1° là bổ sung, chỉ áp dụng khi có yêu cầu của bên mua hàng. | ||||||||
Bảng 9. Hệ số phản quang tối thiểu (Ra) cho màng phản quang Loại VI (cd.lx-1.m-2)
| Góc quan sát | Góc tới | Trắng | Vàng | Vàng da cam | Xanh lá cây | Đỏ | Xanh lam | Tím | Vàng - xanh lá cây huỳnh quang | Vàng huỳnh quang | Vàng da cam huỳnh quang | Hồng huỳnh quang |
| 0,1° (*) | -4° | 750 | 525 | 190 | 90 | 105 | 68 | 30 | 600 | 450 | 300 | 225 |
| 0,1° (*) | +30° | 300 | 210 | 75 | 36 | 42 | 27 | 12 | 240 | 180 | 120 | 90 |
| 0,2° | -4° | 500 | 350 | 125 | 60 | 70 | 45 | 20 | 400 | 300 | 200 | 150 |
| 0,2° | +30° | 200 | 140 | 50 | 24 | 28 | 18 | 8,0 | 160 | 120 | 80 | 60 |
| 0,5° | -4° | 225 | 160 | 56 | 27 | 32 | 20 | 9,0 | 180 | 135 | 90 | 65 |
| 0,5° | +30° | 85 | 60 | 21 | 10 | 12 | 7,7 | 3,4 | 68 | 51 | 34 | 25 |
| (*) Các giá trị đo ở góc quan sát 0,1° là bổ sung, chỉ áp dụng khi có yêu cầu của bên mua hàng. | ||||||||||||
Bảng 10. Hệ số phản quang tối thiểu (Ra) cho màng phản quang Loại VIII (cd.lx-1.m-2)
| Góc quan sát | Góc tới | Trắng | Vàng | Vàng da cam | Xanh lá cây | Đỏ | Xanh lam | Tím | Nâu | Vàng - xanh lá cây huỳnh quang | Vàng huỳnh quang | Vàng da cam huỳnh quang |
| 0,1° (*) | -4° | 1000 | 750 | 375 | 100 | 150 | 45 | 40 | 30 | 800 | 600 | 300 |
| 0,1° (*) | +30° | 460 | 345 | 175 | 46 | 69 | 21 | 18 | 14 | 370 | 280 | 135 |
| 0,2° | -4° | 700 | 525 | 265 | 70 | 105 | 32 | 28 | 21 | 560 | 420 | 210 |
| 0,2° | +30° | 325 | 245 | 120 | 33 | 49 | 15 | 13 | 10 | 260 | 200 | 95 |
| 0,5° | -4° | 250 | 190 | 94 | 25 | 38 | 11 | 10 | 7,5 | 200 | 150 | 75 |
| 0,5° | +30° | 115 | 86 | 43 | 12 | 17 | 5,0 | 4,6 | 3,5 | 92 | 69 | 35 |
| (*) Các giá trị đo ở góc quan sát 0,1° là bổ sung, chỉ áp dụng khi có yêu cầu của bên mua hàng. | ||||||||||||
Bảng 11. Hệ số phản quang tối thiểu (Ra) cho màng phản quang Loại IX (cd.lx-1.m-2)
| Góc quan sát | Góc tới | Trắng | Vàng | Vàng da cam | Xanh lá cây | Đỏ | Xanh lam | Tím | Vàng- xanh lá cây huỳnh quang | Vàng huỳnh quang | Vàng da cam huỳnh quang |
| 0,1° (*) | -4° | 660 | 500 | 250 | 66 | 130 | 30 | 26 | 530 | 400 | 200 |
| 0,1° (*) | +30° | 370 | 280 | 140 | 37 | 74 | 17 | 15 | 500 | 220 | 110 |
| 0,2° | -4° | 380 | 285 | 145 | 38 | 76 | 17 | 15 | 300 | 230 | 115 |
| 0,2° | +30° | 215 | 162 | 82 | 22 | 43 | 10 | 8,6 | 170 | 130 | 65 |
| 0,5° | -4° | 240 | 180 | 90 | 24 | 48 | 11 | 10 | 190 | 145 | 72 |
| 0,5° | +30° | 135 | 100 | 50 | 14 | 27 | 6 | 5,4 | 110 | 81 | 41 |
| 1,0° | -4° | 80 | 60 | 30 | 8 | 16 | 3,6 | 3,2 | 64 | 48 | 24 |
| 1,0° | +30° | 45 | 34 | 17 | 4,5 | 9 | 2 | 1,8 | 36 | 27 | 14 |
| (*) Các giá trị đo ở góc quan sát 0,1° là bổ sung, chỉ áp dụng khi có yêu cầu của bên mua hàng. | |||||||||||
Bảng 12. Hệ số phản quang tối thiểu (Ra) cho màng phản quang Loại XI (cd.lx-1.m-2)
| Góc quan sát | Góc tới | Trắng | Vàng | Vàng da cam | Xanh lá cây | Đỏ | Xanh lam | Tím | Nâu | Vàng- Xanh lá cây huỳnh quang | Vàng huỳnh quang | Vàng da cam huỳnh quang |
| 0,1° (*) | -4° | 830 | 620 | 290 | 83 | 125 | 37 | 33 | 25 | 660 | 500 | 250 |
| 0,1° (*) | +30° | 325 | 245 | 115 | 33 | 50 | 15 | 13 | 10 | 260 | 200 | 100 |
| 0,2° | -4° | 580 | 435 | 200 | 58 | 87 | 26 | 23 | 17 | 460 | 350 | 175 |
| 0,2° | +30° | 220 | 165 | 77 | 22 | 33 | 10 | 8,8 | 7 | 180 | 130 | 66 |
| 0,5° | -4° | 420 | 315 | 150 | 42 | 63 | 19 | 17 | 13 | 340 | 250 | 125 |
| 0,5° | +30° | 150 | 110 | 53 | 15 | 23 | 7 | 6,0 | 5 | 120 | 90 | 45 |
| 1,0° | -4° | 120 | 90 | 42 | 12 | 18 | 5 | 4,8 | 4 | 96 | 72 | 36 |
| 0,1° | +30° | 45 | 34 | 16 | 5 | 7 | 2 | 1,8 | 1 | 36 | 27 | 14 |
| (*) Các giá trị đo ở góc quan sát 0,1° là bổ sung, chỉ áp dụng khi có yêu cầu của bên mua hàng. | ||||||||||||
6.2 Độ bền thời tiết
6.2.1 Độ bền thời tiết trong điều kiện tự nhiên
Tất cả các màng phản quang sau khi thử nghiệm trong điều kiện thời tiết tự nhiên (theo 7.3.1) không xuất hiện vết nứt, bong tróc, tạo lô, phồng rộp, bong mép hay bị quăn đáng kể hay không co ngót cũng như giãn nở lớn hơn 0,8 mm. Sau khi thử nghiệm thời tiết trong điều kiện tự nhiên, tiến hành đo độ phản quang ở góc quan sát 0,2° và các góc tới ở -4° và ở +30°. Hệ số phản quang tối thiểu đạt được theo quy định tại Bảng 13.
Bảng 13. Yêu cầu Hệ số phản quang tối thiểu (Ra) sau khi thử nghiệm thời tiết tự nhiên
| Loại màng phản quang | Tháng (*) | Hệ số phản quang tối thiểu, Ra |
| I | 24 (**) | 50 % của Bảng 4 |
| II | 36 (**) | 65 % của Bảng 5 |
| III | 36 (**) | 80 % của Bảng 6 |
| IV | 36 (**) | 80 % của Bảng 7 |
| V | 36 (**) | 80 % của Bảng 8 |
| VI | 6 (**) | 50 % của Bảng 9 |
| VIII | 36 (**) | 80 % của Bảng 10 |
| IX | 36 (**) | 80 % của Bảng 11 |
| XI | 361 (**) | 80 % của Bảng 12 |
| (*) Có thể thử nghiệm trong các khoảng thời gian ngắn để có được thêm thông tin. (**) Nếu màng được chỉ định sử dụng ở khu vực xây dựng thì thời gian thử nghiệm thời tiết ngoài trời là 12 tháng. | ||
6.2.2 Độ bền thời tiết trong điều kiện nhân tạo
Trường hợp không đủ thời gian để thử nghiệm độ bền thời tiết trong điều kiện tự nhiên, tiến hành thử nghiệm độ bền thời tiết trong điều kiện nhân tạo (theo 7.3.2) bằng phương pháp gia tốc. Thiết lập điều kiện thử nghiệm độ bền thời tiết bằng phương pháp gia tốc theo quy định tại Bảng 14. Tất cả các màng phản quang sau khi thử nghiệm thời tiết bằng phương pháp gia tốc không xuất hiện vết nứt, bong tróc, tạo lỗ, phồng rộp, bong mép hay bị quăn mép hay không co ngót cũng như giãn nở lớn hơn 0,8 mm. Sau khi thử nghiệm độ bền thời tiết bằng phương pháp gia tốc, các màng phản quang phải đạt các yêu cầu sau: Hệ số phản quang tối thiểu (thử theo 7.2) phải phù hợp theo quy định tại Bảng 15; Độ bền màu (thử theo 7.5): với các loại màng phản quang phải phù hợp theo quy định tại 6.4.
Bảng 14. Thiết lập điều kiện hoạt động thiết bị đèn hồ quang xenon
| Thông số đo | Phương pháp I | Phương pháp II | Phương pháp III |
| Cường độ bức xạ bước sóng 340 nm | 0,51 V/(m2.nm) | 0,35 V/(m2.nm) | 0,51 V/(m2.nm) |
| Chu kỳ sáng/tối | Chiếu sáng liên tục | Chiếu sáng liên tục | Chiếu sáng liên tục |
| Nhiệt độ cài đặt tại tấm hấp thụ | 63 °C | 63 °C | Không có |
| Nhiệt độ cài đặt của nhiệt kế chuẩn | Không có | Không có | 65 °C |
| Chu kỳ phun nước | 102 min chiếu sáng và 18 min chiếu sáng + phun nước | 102 min chiếu sáng và 18 min chiếu sáng + phun nước | 102 min chiếu sáng và 18 min chiếu sáng + phun nước |
| Cài đặt độ ẩm tương đối | 50 % trong suốt quá trình chỉ chiếu sáng (tùy chọn) | 50 % trong suốt quá trình chỉ chiếu sáng (tùy chọn) | 50 % trong suốt quá trình chỉ chiếu sáng |
| Nhiệt độ không khí buồng gia tốc | 38 °C (tùy chọn) | 38 °C (tùy chọn) | 38 °C |
Bảng 15. Thời gian thử nghiệm và yêu cầu hệ số Phản quang tối thiểu (Ra) khi thử nghiệm thời tiết gia tốc nhân tạo
| Loại | Phơi bức xạ bước sóng 340nm (kJ/(m2.nm)) | Phương pháp I & III (h) | Phương pháp II (h) | Hệ số phản quang tối thiểu (Ra) |
| I | 1840 | 1000 | 1460 | 65 % của Bảng 4 |
| II | 3670 (*) | 2000 | 2915 | 65 % của Bảng 5 |
| III | 3670 (*) | 2000 | 2915 | 80 % của Bảng 6 |
| IV | 3670 (*) | 2000 | 2915 | 80 % của Bảng 7 |
| V | 3670 | 2000 | 2915 | 80 % của Bảng 8 |
| VI | 460 | 250 | 365 | 50 % của Bảng 9 |
| VIII | 3670 (*) | 2000 | 2915 | 80 % của Bảng 10 |
| IX | 3670 (*) | 2000 | 2915 | 80 % của Bảng 11 |
| XI | 3670 (*) | 2000 | 2915 | 80 % của Bảng 12 |
| (*) Nếu màng được chỉ định sử dụng ở khu vực xây dựng thì thời gian thử nghiệm thời tiết gia tốc nhân tạo là 500 h. | ||||
6.3 Màu sắc ban ngày
Hệ số độ sáng ban ngày của các màng phản quang (thử theo 7.4) phải phù hợp với yêu cầu quy định ở Bảng 16 và phải đạt hoặc vượt yêu cầu tối thiểu quy định ở Bảng 17.
Bảng 16. Hệ số độ sáng ban ngày (Y %) (*)
| Màu | Loại I, lI, III, IV, VI, VIII, IX và XI | Loại V | ||
| Tối thiểu | Tối đa | Tối thiểu | Tối đa | |
| Trắng | 27 | - | 15 | - |
| Vàng | 15 | 45 | 12 | 30 |
| Vàng da cam | 10 | 30 | 7 | 25 |
| Xanh lá cây | 3 | 12 | 2,5 | 11 |
| Đỏ | 2,5 | 15 | 2,5 | 11 |
| Xanh lam | 1 | 10 | 1 | 10 |
| Tím | 2 | 10 | 2 | 10 |
| Nâu | 1 | 9 | 1 | 9 |
| Vàng - xanh lá cây huỳnh quang | 60 | - | - | - |
| Vàng huỳnh quang | 40 | - | - | - |
| Vàng da cam huỳnh quang | 20 | - | - | - |
| Hồng huỳnh quang | 25 | - | - | - |
| (*) Hệ số độ sáng trong bảng là tổng hệ số độ sáng huỳnh quang và hệ số độ sáng phản xạ. Hệ số độ sáng có thể được xác định bằng cách sử dụng vật chiếu sáng phù hợp với D65 theo chuẩn CIE, yêu cầu thiết bị có nguồn sáng được lọc thích hợp hay thiết bị nào đó được sử dụng quang kế phổ kép phù hợp với phương pháp thử ASTME2301. | ||||
Bảng 17. Giới hạn màu chuẩn (ban ngày)(*)
| Màu | 1 | 2 | 3 | 4 | ||||
| x | y | x | y | x | y | x | y | |
| Trắng | 0,303 | 0,300 | 0,368 | 0,366 | 0,340 | 0,393 | 0,274 | 0,329 |
| Vàng | 0,498 | 0,412 | 0,557 | 0,442 | 0,479 | 0,520 | 0,438 | 0,472 |
| Vàng da cam | 0,558 | 0,352 | 0,636 | 0,364 | 0,570 | 0,429 | 0,506 | 0,404 |
| Xanh lá cây (**) | 0,026 | 0,399 | 0,166 | 0,364 | 0,286 | 0,446 | 0,207 | 0,771 |
| Đỏ | 0,648 | 0,351 | 0,735 | 0,265 | 0,629 | 0,281 | 0,565 | 0,346 |
| Xanh lam (**) | 0,140 | 0,035 | 0,244 | 0,210 | 0,190 | 0,255 | 0,065 | 0,216 |
| Tím | 0,302 | 0,064 | 0,310 | 0,210 | 0,380 | 0,255 | 0,468 | 0,140 |
| Nâu | 0,430 | 0,340 | 0,610 | 0,390 | 0,550 | 0,450 | 0,430 | 0,390 |
| Vàng - xanh lá cây HQ | 0,384 | 0,610 | 0,369 | 0,546 | 0,428 | 0,496 | 0,460 | 0,540 |
| Vàng huỳnh quang | 0,479 | 0,520 | 0,446 | 0,483 | 0,512 | 0,421 | 0,557 | 0,442 |
| Vàng da cam huỳnh quang | 0,583 | 0,416 | 0,535 | 0,400 | 0,595 | 0,351 | 0,645 | 0,355 |
| Hồng huỳnh quang | 0,600 | 0,340 | 0,450 | 0,332 | 0,430 | 0,275 | 0,536 | 0,230 |
| (*) Bốn cặp tọa độ màu (năm cặp đối với màu hồng huỳnh quang) xác định màu chấp nhận được theo hệ màu chuẩn CIE 1931 được đo bằng nguồn sáng D65. (**) Giới hạn bão hòa màu xanh lá cây và xanh lam có thể mở rộng đến biên vị trí hội tụ màu CIE cho các màu phổ. | ||||||||
Thiết bị đo màu có ba loại: hình vành khuyên, hình tròn, hình phẳng với góc tới 45/0 (0/45) được thể hiện trên Hình 2.

a) Hình vành khuyên b) Hình tròn c) Hình phẳng
Hình 2. Thiết bị đo màu theo ba phương pháp 0/45 (45/0)
6.4 Độ bền màu
Hệ số độ sáng ban ngày của các loại màng phản quang khác nhau (thử theo 7.4) phải phù hợp với yêu cầu quy định trong Bảng 16 tương ứng với mỗi loại màng phản quang. Sau thử nghiệm độ bền thời tiết trong điều kiện tự nhiên ngoài trời (hoặc thời tiết nhân tạo) theo 7.3, các màng phản quang phải đáp ứng yêu cầu trong Bảng 17.
6.5 Độ co ngót
Các loại màng phản quang không được co ngót ở bất cứ chiều nào lớn hơn 0,8 mm trong 10 min, hoặc lớn hơn 3,2 mm trong 24 h khi tiến hành thử độ co ngót theo 7.6.
6.6 Độ bền uốn
Các loại màng phản quang phải đủ mềm, dẻo để không bị nứt gãy khi thử độ bền uốn theo 7.7, với đường kính trục nhỏ hơn hoặc bằng 3,2 mm.
6.7 Khả năng tách lớp lót
Với loại màng phản quang có lớp kết dính, cần dễ bóc tách mà không phải nhúng vào nước hay vào các dung dịch khác và không bị đứt, rách hay không được bong keo dán ra khỏi màng phản quang khi thử nghiệm khả năng bóc tách lớp kết dính theo 7.8.
6.8 Độ bám dính
Lớp kết dính mặt sau của màng phản quang cần có độ bám dính cần thiết khi treo vật nặng 0,79 kg đối với màng có lớp kết dính loại 1, 2 và 3, hoặc treo vật nặng 0,45 kg đối với màng có lớp kết dính loại 4. Màng phản quang không bị bóc tách một khoảng chiều dài lớn hơn 51 mm, khi thử độ bám dính theo 7.9.
6.9 Độ bền va đập
Các loại màng phản quang không được xuất hiện sự nứt, gãy hay bóc tách ở ngoài vùng chịu va đập khi thử nghiệm độ bền va đập theo 7.10.
6.10 Màu sắc ban đêm
Màu sắc ban đêm của màng phản quang khi thí nghiệm theo 7.11 phải phù hợp với yêu cầu quy định trong Bảng 18.
Bảng 18. Giới hạn màu chuẩn ban đêm (*)
| Màu | 1 | 2 | 3 | 4 | ||||
| x | y | x | y | x | y | x | y | |
| Trắng | - | - | - | - | - | - | - | - |
| Vàng | 0,513 | 0,487 | 0,500 | 0,470 | 0,545 | 0,425 | 0,572 | 0,425 |
| Vàng da cam | 0,595 | 0,405 | 0,565 | 0,405 | 0,613 | 0,355 | 0,643 | 0,355 |
| Xanh lá cây | 0,007 | 0,570 | 0,200 | 0,500 | 0,322 | 0,590 | 0,193 | 0,782 |
| Đỏ | 0,650 | 0,348 | 0,620 | 0,348 | 0,712 | 0,255 | 0,735 | 0,265 |
| Xanh lam | 0,033 | 0,370 | 0,180 | 0,370 | 0,230 | 0,240 | 0,091 | 0,133 |
| Tím | 0,355 | 0,088 | 0,385 | 0,288 | 0,500 | 0,350 | 0,635 | 0,221 |
| Nâu | 0,595 | 0,405 | 0,540 | 0,405 | 0,570 | 0,365 | 0,643 | 0,355 |
| Vàng - Xanh lá cây huỳnh quang | 0,480 | 0,520 | 0,473 | 0,490 | 0,523 | 0,440 | 0,550 | 0,449 |
| Vàng huỳnh quang | 0,554 | 0,445 | 0,526 | 0,437 | 0,569 | 0,394 | 0,610 | 0,390 |
| Vàng da cam huỳnh quang | 0,625 | 0,375 | 0,589 | 0,376 | 0,636 | 0,330 | 0,669 | 0,331 |
| Bốn cặp tọa độ màu xác định vùng màu được đo bằng nguồn sáng theo hệ màu chuẩn CIE 1931. | ||||||||
7 Phương pháp thử
7.1 Chuẩn bị mẫu
7.1.1 Chuẩn bị tấm thử: tấm thử để dán màng phản quang dùng để thử nghiệm thường là tấm hợp kim nhôm, có bề mặt nhẵn theo quy định của ASTM B 209 (xem Phụ lục A). Tấm nhôm có độ dày(0,5; 1,0 hay 1,6) mm và kích thước tối thiểu (200 x 200) mm. Trước khi dán, dùng axit loãng tẩy rửa dầu mỡ và các chất bẩn khác trên mặt tấm nhôm. Dán màng lên tấm nhôm theo hướng dẫn của nhà chế tạo.
7.1.2 Bảo quản mẫu: Bảo quản vật mẫu và mẫu đã dán và chưa dán ở nhiệt độ (23 ± 2) °C và tại độ ẩm tương đối (50 ± 5) % trong 24 h trước khi thử nghiệm.
7.2 Xác định hệ số phản quang
Lấy ba (03) mẫu trên màng phản quang có độ dài ít nhất 1 m. Xác định hệ số phản quang theo
E810 (xem Phụ lục B). Tính giá trị hệ số phản quang trung bình của ba (03) mẫu.
7.3 Xác định độ bền thời tiết
7.3.1 Thử nghiệm trong điều kiện thời tiết tự nhiên
Tiến hành theo ASTM G 7. Trong quá trình thử nghiệm, mặt sau của mẫu được đặt hướng xuống
và nghiêng 45° so với mặt phẳng ngang và mặt trước hướng về phía mặt trời theo quy định của ASTM G7. Phơi hai mẫu tại mỗi địa điểm với thời gian phơi quy định ở Bảng 15. Thực hiện phơi mẫu ở khu vực có điều kiện thời tiết chuẩn. Cách ghi ký hiệu mẫu, bảo quản và di chuyển mẫu trước khi phơi và trong quá trình đánh giá tuân theo quy định của ASTM G147.
7.3.1.1 Chuẩn bị mẫu để thử nghiệm trong điều kiện thời tiết tự nhiên cho màng phản quang loại VI; mẫu thử có kích thước (100 x 300) mm, mỗi đầu được kẹp bằng hai thanh hợp kim nhôm loại 6061-T6 (tổng cộng cần có bốn thanh cho một mẫu). Thanh hợp kim nhôm dùng để kẹp mẫu có kích thước (25 x 200 x 2) mm, trên mỗi thanh có bốn lỗ đường kính 6 mm, trong đó hai lỗ phía trong dùng để luồn các bu lông kẹp mẫu, hai lỗ phía ngoài dùng để luồn các bu lông treo mẫu lên giá. Khi treo mẫu, trục dài của mẫu song song với mặt đất. Kích thước mẫu, kích thước thanh kẹp và cách kẹp mẫu khi thử nghiệm được nêu tại Hình 3.

Hình 3. Sơ đồ kẹp mẫu thử nghiệm thời tiết cho màng phản quang Loại VI
7.3.1.2 Làm sạch mẫu sau thử nghiệm độ bền trong điều kiện thời tiết tự nhiên
Sau khi phơi, nhẹ nhàng rửa mẫu bằng vải mềm hay miếng xốp và nước sạch hay dung dịch loãng của chất tẩy rửa nhẹ (nồng độ tối đa là 1% khối lượng nước). Sau đó rửa cẩn thận bằng nước sạch và thấm khô bằng vải mềm và sạch. Bảo quản mẫu ở nhiệt độ phòng ít nhất 2 h trước khi tiến hành xác định các tính chất cần thiết.
7.3.1.3 Đo hệ số phản quang
Sau khi mẫu được rửa, làm khô và bảo quản theo 7.3.1.2, đo độ phản quang ở góc quan sát 0,2° và các góc tới -4° và +30° theo 7.2. Tính giá trị trung bình của hệ số phản quang thu được cho mỗi vị trí đo trên hai mẫu từ mỗi địa điểm phơi.
Chú thích:
- Số mẫu nhỏ nhất cho mỗi lần phơi là hai mẫu. Cũng có thể tăng số mẫu trong một lần phơi và lấy kết quả trung bình để có thể giảm thiểu các tác động không đồng nhất trong quá trình phơi mẫu.
- Tần suất thử nghiệm thời tiết ngoài trời thường thấp hơn tần suất các thử nghiệm khác. Vì vậy, người sử dụng phải căn cứ vào số lượng kết quả có hạn từ các mẫu đã phơi để đánh giá toàn bộ số lượng màng phản quang cung cấp.
7.3.2 Thử nghiệm trong điều kiện thời tiết nhân tạo (thử nghiệm gia tốc)
7.3.2.1 Phạm vi áp dụng
Phương pháp thử này có thể được sử dụng để đánh giá chất lượng của màng phản quang trước khi có kết quả thử nghiệm trong điều kiện thời tiết tự nhiên. Khi đã có kết quả thử nghiệm trong điều kiện thời tiết tự nhiên thì kết quả này sẽ được sử dụng thay cho kết quả thử nghiệm trong điều kiện thời tiết nhân tạo.
7.3.2.2 Yêu cầu thử nghiệm
Thử nghiệm 4 mẫu theo thời gian yêu cầu ở Bảng 15. Độ dài và rộng tối thiểu của mẫu là 70 mm. Không lấy mẫu ra khỏi thiết bị trong khi đang phun nước. Mẫu phải được làm khô trước khi lấy ra khỏi thiết bị. Sau khi thử nghiệm, rửa và bảo quản mẫu theo 7.3.1.2, rồi đo độ phản quang ở góc quan sát 0,2° và các góc tới -4° và +30°. Độ phản quang trung bình của 4 mẫu cần phải bằng hay cao hơn yêu cầu tối thiểu ở Bảng 15. Sau khi thử nghiệm mẫu không thể hiện vết nứt, bong tróc, tạo lỗ, phồng rộp, bong mép hay bị quăn đáng kể hay không co ngót cũng như giãn nở nhiều hơn 0,8 mm.
7.3.3.3 Điều kiện thử nghiệm
Tiến hành thử nghiệm trong thiết bị bức xạ hồ quang cacbon ngọn lửa hở theo ASTM G 151 và ASTM G 152. Phân bố công suất của hồ quang cacbon ngọn lửa hở đã lọc cần đáp ứng theo yêu cầu của ASTM G152 cho hồ quang cacbon với kính lọc ánh sáng ban ngày. Sử dụng chu kỳ thử nghiệm sau:
- Chiếu sáng liên tục với nhiệt độ tấm đen cân bằng ở (63 ± 3) °C. Cứ hai giờ (120 min) một lần phun nước lên mẫu 18 min.
- Giữ độ ẩm tương đối cân bằng ở (50 ± 5) % trong khoảng thời gian chiếu sáng.
7.4 Xác định hệ số độ sáng ban ngày
7.4.1 Thiết bị (quang phổ kế, máy đo màu) sử dụng để đo màu ban ngày cần có cấu hình chiếu sáng và quan sát 45/0 hay 0/45. Thiết bị chuẩn cần có khe hở 10° cho cả chiếu sáng lẫn quan sát. Sử dụng kích thước khe hở lệch với giá trị này có thể gây ảnh hưởng đến kết quả đo.
7.4.2 Xác định màu ban ngày và hệ số độ sáng Y (%) cho vật phát sáng D65 và thiết bị quan sát 1931 CIE 2° theo quy định của ASTM E308, tiêu chuẩn thí nghiệm E1347, E1349, E2310 và tiêu chuẩn thực hành E991, E1164, E2152, E2153 (xem Phụ lục C). Hệ số độ sáng là tổng của hệ số độ sáng phản xạ và hệ số độ sáng huỳnh quang. Phép đo phổ kép cho các hệ số riêng biệt, trong khi phép đo theo phương pháp mô phỏng D65 cho giá trị tổng của chúng.
Đối với các mẫu huỳnh quang, điều cần thiết là, khi sự chiếu sáng vật lý của mẫu tương đương với vật chiếu sáng D65, đòi hỏi thiết bị có nguồn sáng được lọc thích hợp, nếu không thì cần sử dụng máy đo quang phổ kép phù hợp ASTM E2301 (xem Phụ lục C).
7.4.3 Có ba loại thiết bị đo 45/0 (0/45): Hình vành khuyên, hình tròn và hình phẳng. Đo màng phản quang chứa các lăng kính bằng loại thiết bị hình tròn có thể cần nhiều lần đo. Đo màng phản quang chứa các lăng kính bằng loại thiết bị hình phẳng nhất thiết phải cần nhiều lần đo.
7.4.3.1 Nếu đo theo hình tròn, phòng thí nghiệm phải hiệu chỉnh để gần đúng với phép đo như theo hình vành khuyên. Điều này phụ thuộc vào tính chất quang học của mẫu và phải được phòng thí nghiệm xác định. Phép đo nhiều lần của cùng một diện tích mẫu ở các lần quay khác nhau có thể được tính trung bình để tăng sự gần đúng với phép đo theo hình vành khuyên.
7.4.3.2 Nếu đo theo hình phẳng thì các lần đo cần được thực hiện trên cùng diện tích của mẫu cho lần quay khác nhau vá giá trị đo được tính trung bình cho tất cả các lần quay, số lần quay cần đủ lớn để chấp nhận được gần đúng với phép đo theo hình vành khuyên, số lần đo phụ thuộc vào tính chất quang học của mẫu và phải được phòng thí nghiệm xác định.
7.5 Xác định độ bền màu
Lấy một trong số các mẫu đã phơi tự nhiên hoặc nhân tạo để đo độ bền màu. Rửa, làm khô và bảo quản mẫu theo 7.3.1.2 và tiến hành thử nghiệm theo 7.4.
7.6 Xác định độ co ngót
Bảo quản mẫu màng phản quang với lớp lót có kích thước (229 x 229) mm tối thiểu 1 h theo 7.1.2. Bóc lớp lót và đặt mẫu lên bề mặt phẳng với mặt có keo dán hướng lên trên. 10 min sau khi bóc lớp lót và sau 24 h lại tiến hành đo mẫu để xác định sự thay đổi kích thước.
7.7 Xác định độ bền uốn
Uốn tấm màng phản quang trong thời gian 1 s quanh trục có đường kính 3,2 mm, cho mặt chứa keo dán tiếp xúc lên trục. Để dễ thử nghiệm, rải bột đá lên keo dán để nó không dính lên trục. Mẫu thử cần có kích thước (70 x 229) mm. Nhiệt độ thử nghiệm là (23 ± 2) °C.
7.8 Xác định khả năng bóc tách lớp lót
Màng phản quang và lớp lót bảo vệ (nếu có) được bảo quản 4 h dưới tải trọng 17,2 kPa ở 71 °C. Sau đó tiến hành bóc lớp kết dính khỏi màng và đánh giá khả năng bóc tách.
7.9 Xác định độ bám dính
Dán màng phản quang lên tấm mẫu có độ dày tối thiểu 1,0 mm, được chuẩn bị theo 7.1.1. Dán 102 mm của màng có kích thước (25,4 x 152) mm lên tấm mẫu theo ASTM D4956. Bảo quản mẫu theo 7.1.2, sau đó treo tải vào đầu không dán của màng và để tải treo tự do một góc 90° so với tấm mẫu trong 5 min rồi xác định độ dài đoạn mà màng bị bóc tách khỏi bề mặt tấm mẫu.
- Đối với màng Phản quang dính kết mặt sau theo kiểu 1, kiểu 2 và kiểu 3, khối lượng treo tải là 0,79 kg.
- Đối với màng phản quang dính kết mặt sau theo kiểu 4, khối lượng treo tải là 0,45 kg.
7.10 Xác định độ bền va đập
Dán màng phản quang lên tấm nhôm 6061-T6 có kích thước (76 x 127 x 1,0) mm như nêu ở 7.1.1, với điều kiện bảo quản mẫu theo 7.1.2. Tiến hành va đập mẫu bằng quả thép có khối lượng 0,91 kg với đường kính đầu va đập 15,8 mm, được thả từ độ cao cần thiết để tạo lực va đập 1,13 Nm.
7.11 Xác định màu sắc ban đêm
Xác định màu sắc ban đêm dựa theo quy định ASTM E811 tại Phụ lục D. Phương pháp đo sử dụng nguồn sáng A, góc quan sát 0,33°, góc tới +5°, khe mở của nguồn và thiết bị nhận không vượt quá 10”.
8 Yêu cầu về tuổi thọ và kiểm soát chất lượng màng phản quang
8.1 Yêu cầu về tuổi thọ của màng phản quang
8.1.1 Màng phản quang phải có tuổi thọ tối thiểu theo quy định tương ứng với từng loại màng phản quang quy định tại Bảng 19.
Bảng 19. Tuổi thọ tối thiểu quy định cho các loại màng phản quang
| Loại màng phản quang | I | II | III | IV | V | VI | VIII | IX | XI |
| Tuổi thọ tối thiểu (năm) | 7 | 10 | 10 | 10 | 10 | 1,0 | 10 | 10 | 12 |
8.1.2 Trong thời gian tuổi thọ tối thiểu quy định tại Bảng 19, màng phản quang không xuất hiện các vết rạn nứt, bong tróc khỏi tấm biển báo; hệ số phản quang đo được ở góc tới -4° và góc quan sát 0,2° phải ≥ 70% giá trị phản quang tối thiểu quy định tại các bảng tương ứng với loại màng phản quang (từ Bảng 4 đến Bảng 12).
8.1.3 Hệ số phản quang trên các biển báo được đo bằng máy đo hệ số phản quang xách tay. Tiến hành đo tại ba (03) điểm cho một mẫu ở góc tới -4°, góc quan sát 0,2° và góc quay 0°, sau đó tính giá trị trung bình của ba (03) lần đo. Trước khi đo, nhẹ nhàng lau, rửa mặt tấm phản quang bằng vải mềm hay miếng xốp và nước sạch hay dung dịch loãng của chất tẩy rửa nhẹ (1% lượng nước, nồng độ tối đa). Sau đó rửa cẩn thận bằng nước sạch và thấm khô bằng vải mềm và sạch rồi để khô mẫu ít nhất 2h.
9 Yêu cầu ghi nhãn, bao gói, vận chuyển và bảo quản
Các màng phản quang dạng tấm hoặc dạng cuộn đều phải đóng gói phù hợp với các tiêu chuẩn thương mại hiện hành hoặc theo điều kiện kỹ thuật áp dụng cho từng loại vật liệu do nhà sản xuất đăng ký. Mỗi đơn vị bao gói phải có nhãn ghi đầy đủ các thông tin sau:
- Tên, nhãn hiệu hay thương hiệu của cơ sở sản xuất;
- Số lô hoặc số sản xuất;
- Loại, nhóm và màu;
- Số lượng; kích thước;
- Ngày sản xuất;
- Thời gian bảo hành.
Tấm phản quang phải được bảo quản nơi thoáng mát, sạch sẽ và tránh ánh sáng mặt trời. Chế độ và thời gian bảo quản được ghi rõ trong tiêu chuẩn hay tài liệu yêu cầu kỹ thuật cho mỗi loại màng phản quang. Vận chuyển màng phản quang bằng nhiều loại phương tiện, khi chuyên chở bằng tàu hỏa, ô tô không có mui che, phải có biện pháp che nắng, tránh mưa nắng.
Phụ lục A
(Quy định)
Yêu cầu kỹ thuật đối với nhôm và hợp kim nhôm dạng lá và tấm (hệ mét)
(tham khảo ASTM B209)
A.1 Phạm vi áp dụng
A.1.1 Phụ lục này áp dụng cho nhôm và hợp kim nhôm dạng lá phẳng, lá cuộn và dạng tấm, loại không nhiệt luyện và được nhiệt luyện.
A.1.1.1 Dạng tấm không nhiệt luyện và dạng lá có khả năng xử lý nhiệt: cán hoàn thiện.
A.1.1.2 Dạng lá không có khả năng xử lý nhiệt: cán hoàn thiện, cán sáng một mặt, một mặt sáng theo tiêu chuẩn và hai mặt sáng theo tiêu chuẩn.
A.2 Thành phần hóa học
Dạng lá và tấm cần đáp ứng giới hạn thành phần hóa học quy định trong Bảng A.1. Nhà sản xuất định sự phù hợp bằng cách phân tích các mẫu lấy tại thời điểm đúc các thỏi hay lấy từ thành phẩm hay bán thành phẩm. Nếu nhà sản xuất đã xác định thành phần hóa học của vật liệu trong quá trình chế tạo thì việc lấy mẫu bổ sung và phân tích thành phẩm là không cần thiết.
A.3 Xử lý nhiệt
A.3.1 Trừ khi được quy định theo A.3.2 hay A.3.3, việc xử lý nhiệt của nhà chế tạo hay nhà cung cấp đối với các sản phẩm nhiệt luyện cần tuân theo AMS 2772.
A.3.2 Khi được chỉ định thì việc xử lý nhiệt các sản phẩm nhiệt luyện cần tuân theo ASTM B918.
A.3.3 Tấm hợp kim 6061 có thể được chế tạo theo phương pháp cán nóng và xử lý nhiệt trong dung dịch theo ASTM B947 khi được xử lý theo ASTM B918 để chế tạo loại nhiệt luyện.
A.4 Tính chất kéo của vật liệu
A.4.1 Giới hạn: Dạng lá và dạng tấm cần đáp ứng yêu cầu về tính chất kéo cho các loại nhôm và hợp kim nhôm không có và có khả năng xử lý nhiệt.
A.4.2 Phương pháp thử: Phép thử kéo được tiến hành theo ASTM B557.
A.5 Tính chất uốn
A.5.1 Dạng lá và dạng tấm cần có khả năng uốn nguội một góc 180° quanh trục có đường kính bằng N lần độ dày của chúng mà không bị gãy. Phép thử không cần phải tiến hành trừ khi được chỉ định trong đơn đặt hàng.
A.5.2 Phương pháp thử: Phép thử uốn được tiến hành theo ASTM E290, trừ khi có các chỉ định khác.
Bảng A1 - Giới hạn thành phần hóa học A,B,C,M
| Nhôm và hợp kim | Silic | Sắt | Đồng | Mangan | Magiê | Crom | Kẽm | Titan | Nguyên tố khácD | Nhôm | |
| Riêng | TổngE | ||||||||||
| 1066 | 0,25 | 0,35 | 0,05 | 0,03 | 0,03 | ... | 0,05 | 0,03 | 0,03F | ... | Tối thiểu 99,60G |
| 1100 | 0,95 Si + Fe | 0,05 - 0,20 | - |
| ... | 0,10 | ... | 0,05 | 0,15 | Tối thiểu 99,00G | |
| 1230 | 0,70 Si + Fe | 0,10 | 0,05 |
| ... | 0,10 | 0,03 | 0,03F | ... | Tối thiểu 99,30G | |
| 2014 | 0,50- 1,20 | 0,70 | 3,90- 5,00 | 0,40- 1,20 | 0,20- 0,80 | 0,10 | 0,25 | 0,15 | 0,05 | 0,15 | Còn lại |
| Alclad 2014 | 2014 cán đúp với 6003 | ||||||||||
| 2024 | 0,50 | 0,50 | 3,80- 4,90 | 0,30- 0,90 | 1,20- 1,80 | 0,10 | 0,25 | 0,15 | 0,05 | 0,15 | Còn lại |
| Alclad 2024 | 2024 cán đúp với 1230 |
| |||||||||
| 2124 | 0,20 | 0,30 | 3,80- 4,90 | 0,30- 0,90 | 1,20- 1,80 | 0,10 | 0,25 | 0,15 | 0,05 | 0,15 | Còn lại |
| 2219 | 0,20 | 0,30 | 5,80- 6,80 | 0,20- 0,40 | 0,02 | ... | 0,10 | 0,02 0,10 | 0,05 | 0,15 | Còn lại |
| Alclad 2219 | 2219 cán đúp với 7072 |
| |||||||||
| 3003 | 0,60 | 0,70 | 0,05- 0,20 | 1,00- 1,50 | - | ... | 0,10 | ... | 0,05 | 0,15 | Còn lại |
| Alclad 3003 | 3003 cán đúp với 7072 | ||||||||||
| 3004 | 0,30 | 0,70 | 0,25 | 1,00- 1,50 | 0,80- 1,30 | ... | 0,25 | ... | 0,05 | 0,15 | Còn lại |
| Alclad 3004 | 3004 cán đúp với 7072 |
| |||||||||
| 3005 | 0,60 | 0,70 | 0,30 | 1,00 - 1,50 | 0,20-0,60 | 0,10 | 0,25 | 0,10 | 0,05 | 0,15 | Còn lại |
| 3105 | 0,60 | 0,70 | 0,30 | 0,30- 0,80 | 0,20- 0,80 | 0,20 | 0,40 | 0,10 | 0,05 | 0,15 | Còn lại |
| 5005 | 0,30 | 0,70 | 0,20 | 0,20 | 0,50- 1,10 | 0,10 | 0,25 | ... | 0,05 | 0,15 | Còn lại |
| 5010 | 0,40 | 0,70 | 0,25 | 0,10- 0,30 | 0,20- 0,60 | 0,15 | 0,30 | 0,10 | 0,05 | 0,15 | Còn lại |
| 5050 | 0,40 | 0,70 | 0,20 | 0,10 | 1,1 - 1,8 | 0,1 | 0,25 | ... | 0,05 | 0,15 | Còn lại |
| 5052 | 0,25 | 0,40 | 0,10 | 0,10 | 2,2- 2,8 | 0,15- 0,35 | 0,10 | ... | 0,05 | 0,15 | Còn lại |
| 5059 | 0,45 | 0,50 | 0,25 | 0,6- 1,2 | 5,0- 6,0 | 0,25 | 0,40- 0,9 | 0,20 | 0,05J | 0,15 | Còn lại |
| 5083 | 0,40 | 0,40 | 0,10 | 0,40- 1,0 | 4,0- 4,9 | 0,05- 0,25 | 0,25 | 0,15 | 0,05 | 0,05 | Còn lại |
| 5086 | 0,40 | 0,50 | 0,10 | 0,20- 0,7 | 3,5- 4,5 | 0,05- 0,25 | 0,25 | 0,15 | 0,05 | 0,05 | Còn lại |
| 5154 | 0,25 | 0,4 | 0,10 | 0,10 | 3,1 - 3,9 | 0,15- 0,35 | 0,20 | 0,20 | 0,05 | 0,15 | Còn lại |
| 5252 | 0,08 | 0,10 | 0,10 | 0,10 | 2,2- 2.8 |
| 0,05 |
| 0,03F | 0,10F | Còn lại |
| 5254 | 0,45 Si + Fe | 0,05 | 0,01 | 3,1- 3,9 | 0,15- 0,35 | 0,20 | 0,05 | 0,05 | 0,15 |
| |
| 5454 | 0,25 | 0,40 | 0,10 | 0,50- 1,0 | 2,4- 3,0 | 0,05- 0,20 | 0,25 | 0,20 | 0,05 | 0,15 | |
| 5456 | 0,25 | 0,40 | 0,10 | 0,50- 1,0 | 4,7- 5,5 | 0,05- 0,20 | 0,25 | 0,20 | 0,05 | 0,15 | |
| 5457 | 0,08 | 0,10 | 0,20 | 0,15- 0,45 | 0,8- 1,2 | ... | 0,05 | ... | 0,03F | 0,10F | |
| 5657 | 0,08 | 0,10 | 0,10 | 0,03 | 0,6- 1,0 | ... | 0,05 | ... | 0,02K | 0,05K | |
| 5754 | 0,40 | 0,40 | 0,10 | 0,50L | 2,6- 3,6 | 0,30L | 0,20 | 0,15 | 0,05 | 0,15 | |
| 6003H | 0,35- 1,0 | 0,6 | 0,10 | 0,8 | 0,8- 1,5 | 0,35 | 0,20 | 0,10 | 0,05 | 0,15 | |
| 6013 | 0,6- 1,0 | 0,50 | 0,6-1,1 | 0,20- 0,08 | 0,8- 1,2 | 0,10 | 0,25 | 0,10 | 0,05 | 0,15 | |
| 6061 | 0,4- 0,8 | 0,7 | 0,15- 0,40 | 0,15 | 0,8- 1,2 | 0,04- 0,35 | 0,25 | 0,15 | 0,05 | 0,15 | |
| Alclad 6061 | 6061 cán đúp với 7072 | ||||||||||
| 7072H | 0,7 Si + Fe | 0,10 | 0,10 | 0,10 | ... | 0,8- 1,3 | ... | 0,05 | 0,15 |
| |
| 7075 | 0,40 | 0,50 | 1,2-2,0 | 0,30 | 2,1- 2,9 | 0,18- 0,28 | 5,1 - 6,1 | 0,20 | 0,05 | 0,15 | |
| Alclad 7075 | 7075 cán đúp với 7072 | ||||||||||
| CHÚ THÍCH: A Các giới hạn tính theo phần trăm khối lượng, trừ khi được đưa ra theo cách khác. B Cần phân tích các nguyên tố mà giới hạn của chúng được đưa ra trong bảng này. C Để xác định sự phù hợp với các giới hạn này, các giá trị phân tích thu được làm tròn theo ASTM E29. D Những chất khác bao gồm những nguyên tố đã liệt kê mà không nêu giá trị, nhà sản xuất có thể đánh giá mà không theo giá trị cụ thể. E Những nguyên tố - giá trị tổng sẽ là giá trị được xác định, 0,010% hoặc lớn hơn, được làm tròn đến hàng chục thứ 2. F Tối đa Vanadium 0.05. G Giá trị nhôm được tính dựa trên toàn bộ khối lượng 100% của tất cả những nguyên tố cấu thành và được làm tròn đến 0,010%. H Thành phần của hợp kim nhôm được áp dụng trong quá trình sản xuất ở nhà máy. Mẫu từ bề mặt hoàn thiện hoặc tấm hoàn thiện sẽ không yêu cầu tuân thủ theo giá trị ở đây. I Vanadium 0.05-0.15, zirconium 0.10-0.25. J 0.05-0.25 Zr. K Tối đa Gallium 0.03, vanadium 0.05. L 0.10-0.6 Mn + Cr. M Trong trường hợp không có sự thống nhất giá trị được liệt kê trong bảng A1 với “International Alloy Designations and Chemical Composition Limits for Wrought Aluminum and Wrought Aluminum Alloys” (Known as the “Teal Sheets”), thành phần đăng ký cho Hiệp hội nhôm - Aluminum Association và được phát hành trong “Teal Sheets” sẽ được xem xét. | |||||||||||
Phụ lục B
(Quy định)
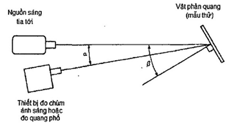
Phương pháp thử xác định hệ số phản quang của màng phản quang sử dụng cấu hình đồng phẳng (tham khảo ASTM E810)
B.1 Phạm vi áp dụng
B.1.1 Phương pháp này mô tả phép đo tính năng phản quang của màng phản quang.
B.1.2 Người sử dụng phương pháp này cần xác định góc tới và góc quan sát được sử dụng và có thể xác định cả góc quay.
B.1.3 Phương pháp này được sử dụng làm phương pháp thử nghiệm trong phòng thí nghiệm và đòi hỏi điều kiện che chắn cần thiết đủ để ánh sáng tán xạ không gây ảnh hưởng đến kết quả đo. Thiết bị đo cần có khả năng đo được theo cấu hình đồng phẳng.
B.2 Thiết bị
Thiết bị đo bao gồm các bộ phận chính sau:
- Nguồn sáng;
- Thiết bị nhận;
- Giá đỡ mẫu;
- Bộ phận điều chỉnh khoảng cách từ nguồn sáng đến thiết bị nhận.
B.3 Quy trình đo
B.3.1 Đặt giá đỡ mẫu sao cho tâm mẫu thử cách khe hở của nguồn sáng (15,0 ± 0,2) m. Đo khoảng cách thực tế chính xác đến ± 0,01 m được kết quả (d). Chỉnh giá đỡ mẫu bằng phương pháp quang về vị trí không sao cho bề mặt cần đo vuông góc với nguồn sáng (góc tới 0°). Chỉnh giá đỡ mẫu sao cho đường trực giao với bề mặt cần đo nằm trong mặt phẳng tạo bởi khe mở của nguồn sáng, khe mở của thiết bị nhận và tâm của mẫu khi góc tới được thay đổi.
B.3.2 Bằng cách thay nguồn sáng cho mẫu (phương pháp thường được dùng), đo độ chiếu sáng tại bốn hình vuông có cùng diện tích trên mẫu (đối với mẫu hình vuông có cạnh dài 200 mm thì đó là bốn hình vuông ở trên, dưới, bên trái và bên phải và có cạnh dài 5 mm kể từ tâm mẫu) với khe mở của thiết bị nhận nằm trong mặt phẳng vuông góc với nguồn sáng và đi qua tâm của mẫu. Khi tiến hành đo, khe mở của nguồn sáng cần được căn chỉnh về vùng quan sát của thiết bị nhận. Ghi lại giá trị trung bình của bốn lần đo. Đây là độ chiếu sáng ban đầu (m2). Mỗi kết quả đo không được lệch quá ± 5 % so với giá trị trung bình. Ánh sáng của mặt nền từ hưởng khác với hướng khe mở của máy chiếu cần được bỏ qua (nhỏ hơn 0,1 % so với độ chiếu sáng của nguồn).
B.3.3 Đưa thiết bị nhận hay nguồn sáng trở về vị trí quan sát với khe mở thiết bị nhận cách khe mở nguồn một khoảng thích hợp để thu được góc quan sát cần thiết.
B.3.4 Đặt mẫu thử về góc tới cần thiết.
B.3.5 Đặt thiết bị nhận về vị trí sao cho khi để trên giá đỡ, mẫu được đặt cân đối và nằm hoàn toàn trong vùng quan sát của thiết bị nhận. Thay mẫu thử bằng một bề mặt màu đen và đo độ sáng của mặt nền (mb).
B.3.6 Thay bề mặt màu đen bằng mẫu thử và đo giá trị phản quang đầu tiên. Hiệu chỉnh tuyết tính cho giá trị này nếu cần thiết và ghi kết quả (m1).
B.3.7 Góc quay: ở phương pháp này, việc thiết lập góc quay e, xác định cả góc quay và góc định hướng ωs có thể gây ảnh hưởng đến kết quả đo. Góc quay được thay đổi khi quay mẫu quanh trục của nó so với vị trí xác định ban đầu. Có thể tạo vạch mốc trong thời gian lấy mẫu hay trong khi chế tạo.
Trong một số trường hợp, vạch mốc được tạo trực tiếp trên vật liệu trong quá trình chế tạo. Góc quay 0° tương ứng với vạch mốc trong nửa mặt phẳng quan sát.
B.3.7.1 Nếu góc quay không được chỉ định thì phép đo được thực hiện ở các góc quay 0° và 90° và giá trị trung bình là (m1).
B.3.7.2 Nếu góc quay được chỉ định thì thực hiện phép đo ở góc đó và kết quả thu được là (m1). Góc quay được chỉ định thường có nghĩa là vật liệu phản quang được chỉ định sử dụng theo một định hướng cụ thể.
B.3.7.3 Nếu vật liệu có độ phản quang đồng nhất theo chiều quay, ví dụ như hạt thủy tinh quang học, thì chỉ một phép đo ánh sáng phản xạ để xác định m1 là có thể đủ cho tất cả các góc đo cần thiết.
B.3.7.4 Nếu góc quay không được chỉ định và không có cách tạo vạch mốc thì cần đo độ phản quang cứ 15° một lần trong khoảng từ 0° đến 345° (24 phép đo cho m1) và tính giá trị trung bình (m1) hay giá trị (m1) nhỏ nhất theo yêu cầu của người sử dụng.
B.3.8 Quay giá đỡ mẫu về góc tới khác theo yêu cầu và lặp lại B.3.6 và B.3.7.
B.3.9 Nếu cần đo ở các góc quan sát bổ sung khác, di chuyển thiết bị nhận đến vị trí cần thiết và lặp lại B.3.6 đến B.3.8. Điều này sẽ thu được hàng loạt giá trị mb và m1 cho mẫu thử thứ nhất. Tiến hành quy trình đo tương tự cho các mẫu bổ sung.
B.3.10 Khi loạt giá trị phản quang được xác định xong, tiến hành đo bổ sung cho 4 loại ánh sáng tới theo B.3.2. Giá trị trung bình của 4 giá trị đo ban đầu không được lệch quá 1% so với 4 giá trị cuối. Tính giá trị trung bình của 8 giá trị, hiệu chỉnh tuyến tính nếu cần và ghi lại kết quả (m2).
B.3.11 Sử dụng thiết bị đo thích hợp để thu được kết quả với độ chính xác ± 0,5%, đo diện tích bề mặt Phản quang hiệu dụng thực tế của mẫu theo m2. Ghi lại kết quả (A).
B.4 Tính kết quả
B.4.1 Tính hệ số phản quang của màng phản quang cho mỗi mẫu và mỗi cặp góc tới và góc quan sát theo công thức sau:
RA = [(m1 - mb)d2/m2A]
trong đó:
RA hệ số phản quang, tính bằng candela trên lux trên mét (cd/(lx.m2));
mb kết quả đo của mặt nền;
m1 kết quả đo của mẫu, được đo ở vị trí quan sát;
m2 kết quả đo trung bình của nguồn sáng, được đo trực giao với nguồn tại vị trí của mẫu;
d khoảng cách đo, m;
A diện tích mẫu, m2.
B.4.2 Tính hệ số phản quang trung bình (RA) của mỗi tổ mẫu gồm ba mẫu đại diện cho mỗi cuộn hay mỗi lô vật liệu tại mỗi góc đo. Báo cáo giá trị trung bình và sử dụng giá trị này để xác định sự phù hợp với các yêu cầu được chỉ định.
Phụ lục C
(Quy định)
Phương pháp thử nghiệm tính chất của màng phản quang và vật liệu biển báo hiệu giao thông với khả năng quan sát cao và trong vấn đề an toàn cho con người (tham khảo ASTM E2301)
C.1 Phạm vi áp dụng
C.1.1 Phương pháp này mô tả phép đo tính chất màu (giá trị CIE cặp ba, hệ số độ sáng và tọa độ màu) của màng phản quang - huỳnh quang và vật liệu báo hiệu khi được chiếu bởi ánh sáng ban ngày.
C.1.2 Phương pháp này có thể áp dụng cho bất kỳ loại màng phản quang hay vật liệu báo hiệu có đồng thời các tính chất phản quang và huỳnh quang trong báo hiệu giao thông với khả năng quan sát cao vào ban ngày và trong vấn đề an toàn cho con người.
C.2 Thiết bị
C.2.1 Máy đo phổ kép có cả cấu hình 45°:0° hay 0°:45° (chiếu sáng và quan sát)
C.2.1.1 Dung sai khoảng chia của trục 45° là 2° (45 ± 2)°.
C.2.1.2 Dung sai trên trục 0° là 2° kể từ đường trực giao (0 ± 2)°.
C.2.1.3 Ở điều kiện 45°:0°, cấu hình chiếu sáng có thể là hình vành khuyên, tròn hay hình phẳng; hướng quan sát vuông góc với mẫu và cấu hình quan sát có thể là hình vành khuyên, hình tròn hay hình phẳng.
C.2.1.4 Cấu hình chuẩn là hình phẳng 45°:0°
C.2.1.4.1 Thiết bị có cấu hình tròn được chấp nhận là có khả năng thực hiện theo quy trình được mô tả trong C.3.3.1.
C.2.1.4.2 Thiết bị có cấu hình phẳng được chấp nhận là có khả năng thực hiện theo quy trình được mô tả trong C.3.3.2.
C.2.1.5 Kích thước khe mở là 10° cho chiếu sáng vào 10° cho quan sát. Sử dụng kích thước khe mở khác có thể gây ảnh hưởng đến kết quả đo. Tham khảo ASTM E1767 để biết những điều cơ bản về chỉ tiêu kỹ thuật của khe mở.
C.2.1.6 Máy chiếu màu đơn sắc cần chiếu sáng mẫu trong vùng bước sóng từ 300 nm đến 780 nm theo từng cấp 10 nm hoặc nhỏ hơn.
C.2.1.7 Thiết bị quan sát màu đơn sắc cần ghi nhận chiếu xạ trong khoảng từ 380 nm đến 780 nm theo từng cấp 10 nm hoặc nhỏ hơn.
C.2.1.8 Mẫu có diện tích được chiếu sáng là 100 mm2 và không có kích thước nào nhỏ hơn 5 mm.
C.3 Quy trình đo
C.3.1 Tiếp xúc cẩn thận với mẫu, tránh va chạm vào diện tích cần đo.
C.3.2 Làm sạch mẫu trước khi đo khi cần thiết, ví dụ như trong trường hợp mẫu vừa mới qua thử nghiệm tự nhiên hay nhân tạo.
C.3.2.1 Rửa và bảo quản mẫu sau khi thử nghiệm: Sau khi thử nghiệm, nhẹ nhàng rửa mẫu bằng vải mềm hay miếng xốp và nước sạch hay dung dịch loãng của chất tẩy rửa nhẹ (1% khối lượng trong nước, nồng độ tối đa). Sau đó rửa cẩn thận bằng nước sạch và thấm khô bằng vải mềm và sạch. Bảo quản mẫu ở nhiệt độ phòng ít nhất 2 h trước khi tiến hành xác định các tính chất.
C.3.3 Đặt mẫu vào cổng đo của thiết bị
C.3.3.1 Nếu cấu hình của phép đo là hình tròn thì phòng thí nghiệm cần kiểm qua các khe mở xem có đủ gần để phép đo gần đúng với phép đo có cấu hình vành khuyên. Điều này có thể phụ thuộc vào cấu tạo quang học của mẫu và phải được phòng thí nghiệm xác định. Trong trường hợp khác thì tiến hành phép đo theo cấu hình phẳng (C.3.3.2).
C.3.3.2 Nếu phép đo có cấu hình phẳng thì cần tiếp tục các phép đo trên cùng diện tích mẫu theo các góc quay tăng dần và tính trung bình của các giá trị đo cho tất cả các góc quay số lần quay phải đủ để bảo đảm gần đúng với phép đo theo hình vành khuyên, số lần đo phụ thuộc vào cấu tạo quang của mẫu và phải được phòng thí nghiệm xác định. Việc tính trung bình các giá trị cho tất cả số lần quay cần vận dụng các số liệu trong ma trận Donaldson.
C.3.4 Xác định ma trận Donaldson chiếu sáng độc lập cho mỗi mẫu thử ở khoảng chiếu sáng và quan sát không lớn hơn 10 nm (xem ASTM E2153 và hướng dẫn của nhà chế tạo thiết bị).
C.4 Tính kết quả
C.4.1 Các giá trị cặp ba
C.4.1.1 Các giá trị cặp ba cho CIE D65: Tính các giá trị cặp ba tổng (XYZ)T, giá trị cặp ba phản xạ (XYZ)R và giá trị cặp ba huỳnh quang (XYZ)F cho mỗi mẫu thử theo ma trận Donaldson tương ứng cho người quan sát chuẩn CIE 1931 và CIE D65 (xem ASTM E2152).
C.4.1.1.1 Tính các giá trị trung bình và độ lệch chuẩn cho các giá trị cặp ba riêng (X, Y và Z) cho mỗi thành phần (tổng, phản xạ và huỳnh quang) cho CIE D65 đối với mỗi loạt các mẫu thử:
Các giá trị cặp ba tổng:
XT-trung bình = (Σ XT)/n; YT-trung bình = (Σ YT)/n; ZT-trung bình = (Σ ZT)/n;
Các giá trị cặp ba phản xạ:
XR-trung bình = (Σ XR)/n; YR-trung bình = (Σ YR)/n; ZR-trung bình = (Σ ZR)/n;
Các giá trị cặp ba huỳnh quang:
XF-trung bình = (Σ XF)/n; YF-trung bình = (Σ YF)/n; ZF-trung bình = (Σ ZT)/n;
C.4.1.2 Các giá trị cặp ba cho ánh sáng ban ngày 15000K: Tính các giá trị cặp ba tổng (XYZ)T, giá trị cặp ba phản xạ (XYZ)R và giá trị cặp ba huỳnh quang (XYZ)F cho mỗi mẫu thử theo ma trận ConalCson tương ứng cho người quan sát chuẩn CIE 1931 và ánh sáng ban ngày 15000K (xem ASTM E2152).
C.4.1.2.1 Phân bố cường độ phổ ánh sáng ban ngày 15000K cần được tính theo quy trình mô tả trong tài liệu 15.2 của CIE 15:2004 cho các vật liệu chiếu sáng D khác.
C.4.1.2.2 Tính các giá trị trung bình và độ lệch chuẩn cho các giá trị cặp ba riêng (X, Y và Z) đối với mỗi thành phần (tổng, phản xạ và huỳnh quang) cho màu ban ngày 15000K đối với mỗi loạt mẫu thử.
C.4.2 Các đại lượng màu khác
C.4.2.1 Tọa độ màu tổng (x,y) theo CIE 1931 cho CIE D65: Tính các tọa độ màu CIE 1931 tổng trung bình (x,y)T-trung bình từ các giá trị cặp ba tổng trung bình (XYZ)T-trung bình cho CIE D65 theo quy trình đã được thiết lập (xem ASTM E308).
C.4.2.2 Tọa độ màu CIE 1931 tổng (x,y) cho ánh sáng ban ngày 15000K: Tính các tọa độ màu CIE tổng trung bình (x,y)T-trung bình từ các giá trị cặp ba tổng trung bình (XYZ)T-trung bình cho ánh sáng ban ngày 15000K theo quy trình đã được thiết lập (xem ASTM E308).
Bảng C.1 - Giá trị tọa độ màu CIE 1931 với nguồn sáng CIE D65
|
| XF | YF | ZF | XR | YR | ZR |
| Vàng - Xanh lá cây huỳnh quang loại IX |
|
|
|
|
|
|
| Trung bình | 25,4 | 47,6 | 2,2 | 32,2 | 35,8 | 1,1 |
| Độ lệch chuẩn, σ | 1,6 | 2,5 | 0,4 | 1,6 | 1,9 | 0,2 |
| SR 95 % Cl | ± 4,5 | ± 7,4 | ± 1,2 | ± 4,7 | ± 5,3 | ± 0,6 |
| Hệ số biến đổi, % R | 18% | 16% | - - | 15% | 15% | - - |
| Vàng huỳnh quang loại IX |
|
|
|
|
|
|
| Trung bình | 44,4 | 45,3 | 0,5 | 26,2 | 20,8 | 0,4 |
| Độ lệch chuẩn, σ | 1,9 | 2,0 | 0,5 | 1,2 | 1,1 | 0,1 |
| SR 95 % Cl | ± 5,5 | ± 5,8 | ± 1,5 | ± 3,4 | ± 3,0 | ± 0,4 |
| Hệ số biến đổi, % R | 12% | 13% | - - | 13% | 15% | - - |
| Cam huỳnh quang loại VIII |
|
|
|
|
|
|
| Trung bình | 37,0 | 23,0 | 0,0 | 26,5 | 14,4 | 0,6 |
| Độ lệch chuẩn, σ | 1,9 | 1,3 | 0,4 | 5,1 | 2,9 | 0,1 |
| SR 95 % Cl | ± 5,5 | ± 3,8 | ± 1,3 | ± 14,8 | ± 8,3 | ± 0,3 |
| Hệ số biến đổi, % R | 15% | 16% | - - | 56% | 58% | - - |
| Đỏ huỳnh quang loại IX |
|
|
|
|
|
|
| Trung bình | 29,3 | 14,9 | 0,0 | 11,2 | 5,1 | 2,4 |
| Độ lệch chuẩn, σ | 1,0 | 0,6 | 0,4 | 0,8 | 0,4 | 0,3 |
| SR 95 % Cl | ± 3,0 | ± 1,8 | ± 1,1 | ± 2,3 | ± 1,2 | ± 0,8 |
| Hệ số biến đổi, % R | 10% | 12% | - - | 21% | 23% | - - |
| Trắng không huỳnh quang/không phản quang | ||||||
| Trung bình | 0,0 | 0,1 | -0,2 | 76,8 | 81,4 | 88,1 |
| Độ lệch chuẩn, σ | 0,66 | 0,64 | 0,53 | 1,0 | 1,01 | 1,28 |
| SR 95 % Cl | ± 1,9 | ± 1,8 | ± 1,5 | ± 2,9 | ± 2,9 | ± 3,7 |
| Hệ số biến đổi, % R | - - | - - | - - | 4% | 4% | 4% |
Phụ lục D
(Quy định)
Phương pháp thử nghiệm tính chất màu sắc của màng phản quang dưới điều kiện ban đêm
(tham khảo ASTM E 811)
D.1 Phạm vi áp dụng
D.1.1 Phương pháp này mô tả phép đo xác định hệ tọa độ màu của màng phản quang. Phương pháp này bao gồm những kỹ thuật sử dụng một dải ánh sáng để đo sự phản xạ (ban đêm) màu bằng máy đo màu hoặc máy đo chùm ánh sáng.
D.1.2 Mô tả hình học theo đo màu ban đêm được nêu trong ASTM E 808 và phương pháp tính màu được nêu trong ASTM E 308.
D.2 Nội dung phương pháp
D.2.1 Phương pháp thử nghiệm này gồm 2 quy trình. Quy trình A là quy trình để hiệu chỉnh nguồn sáng, lọc các sóng ánh sáng đơn sắc, nền trắng chuẩn và máy đo màu ra giá trị tọa độ cặp ba. Tại quy trình này, đo ánh sáng tới từ nền trắng chuẩn tại vị trí vật mẫu có sử dụng lọc bước sóng ánh sáng và tìm hệ số hiệu chỉnh. Sau đó ánh sáng phản xạ được đo theo vị trí khi kiểm tra và giá trị cặp ba hiệu chỉnh được tính ra. Quy trình B là quy trình đo giá trị ánh sáng của ánh sáng tới và của ánh sáng phản xạ theo vị trí kiểm tra. Từ những giá trị đo này, giá trị cặp 3 tương đối được tính. Trong cả hai quy trình này, hệ tọa độ màu x, y theo Tiêu chuẩn màu quan sát CIE 1931.
D.3 Biểu đồ màu sắc CIE để xác định chi tiết màu sắc
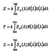
D.3.1 Giá trị cặp ba để xác định màu chuẩn - Quang phổ của ánh sáng đến mắt người từ bề mặt phản quang phụ thuộc vào quang phổ của nguồn phát sáng, S(λ), và tỷ lệ lượng ánh sáng từ bề mặt phản quang, R(λ). Đối với đo màu ban đêm của màng phản quang, nguồn sáng S(λ) là nguồn sáng loại A. Giá trị quang phổ cặp ba trung bình,
,
, và
, nguồn sáng S(λ) và tỷ lệ lượng phản quang R(λ) được sử dụng cùng nhau để tính toán giá trị cặp ba X, Y và Z như sau:

Với:
| SA(λ) | : Năng lượng quang phổ của nguồn sáng A, |
| R(λ) | : Hệ số quang phổ phản quang của vật mẫu, |
|
| : Giá trị màu của thiết bị thu CIE tiêu chuẩn |

D.3.2 Hệ tọa độ màu - Hệ tọa độ màu x, y, z được tính dựa trên giá trị cặp ba X, Y và Z theo công thức sau:
x = X/(X + Y + Z)
y = Y/(X + Y + Z)
z = Z/(X + Y + Z)
Hằng số k trong công thức X, Y và Y không phụ thuộc vào x, y và z. Vì vậy, giá trị x, y và z thể hiện màu của ánh sáng phản xạ không phụ thuộc vào cường độ. Vì tổng của x, y và z luôn bằng 1, nên chỉ 2 giá trị x, y có thể miêu tả được màu của ánh sáng. Vì vậy chỉ cần hệ tọa độ màu x, y là đủ để biết màu chính xác.
D.3.3 Biểu đồ màu CIE 1931 (x, y) - Hệ tọa độ màu x và y được thể hiện theo Hình 1, E 308. Đường viền của hình vẽ thể hiện biên màu thực của tọa độ x và y. Mỗi điểm trên tọa độ thể hiện một màu đơn sắc theo bước sóng ánh sáng và hầu như gần với ánh sáng thực tế.
D.3.4 Xác định giới hạn màu - Một điểm màu nằm trong hệ tọa độ màu x và y của vật mẫu có thể nằm trong biểu đồ màu CIE. Chi tiết màu để xác định giới hạn màu màng phản quang sẽ được giới hạn trong 1 vùng của biểu đồ màu. Vùng có đường biên bao quanh được xác định là một màu và được xác định chính xác bởi 4 cặp tọa độ x và y.
D.3.5 Màu ban ngày và màu ban đêm - Giới hạn màu sắc ban ngày và ban đêm khác nhau vì hai lý do sau: Chất lượng nguồn sáng và hướng của nguồn sáng. Màu ban ngày được quan sát bởi ánh sáng mặt trời, và màu ban đêm được quan sát bởi nguồn sáng A (Nguồn sáng CIE tương ứng với đèn điện, ví dụ như đèn trước phương tiện). Ánh sáng ban ngày từ mặt trời, và tán xạ phản chiếu tới người quan sát; Ánh sáng ban đêm từ một điểm gần với người quan sát và phản xạ đến người quan sát.
D.4 Quy trình
D.4.1 Thông tin chung - Sơ đồ thiết lập để xác định chất lượng màng phản quang sẽ tuân theo E 808, cho cả 2 quy trình A và B.
D.4.2 Quy trình A - Phương pháp Đo màu đơn sắc ở vị trí xa:
D.4.2.1 Giá trị đặc trưng: Thiết bị đọc N giá trị R1, R2, ..., RN tại mỗi màng lọc khác nhau (N≥3). Màng lọc chùm ánh sáng, thiết bị nhận (hoặc nhiều thiết bị nhận), và nguồn sáng là các thiết bị kết hợp tuyến tính với việc đọc N giá trị của tọa độ
CIE cho màng phản quang khi nguồn sáng CIE loại A, sự kết hợp tuyến tính khác với việc đọc N giá trị của tọa độ
CIE cho màng phản quang khi nguồn sáng CIE loại A, và sự kết hợp tuyến tính khác với việc đọc N giá trị của tọa độ
CIE cho màng phản quang khi nguồn sáng CIE loại A. Ví dụ, 3 giá trị đặc trưng RX, RY, và RZ, của phép đo tại 3 giá trị lọc được cho theo công thức sau dựa trên 9 hệ số:
RX = a1R1 + a2R2 + a3R3
RY = b1R1 + b2R2 + b3R3
RZ = c1R1 + c2R2 + c3R3
3 giá trị đặc trưng của phép đo tại 4 giá trị lọc được cho theo công thức sau dựa trên 12 hệ số:
RX = a1R1 + a2R2 + a3R3 + a4R4
RY = b1R1 + b2R2 + b3R3 + b4R4
RZ = c1R1 + c2R2 + c3R3 + c4R4
Đối với những thiết bị cần đọc 5 hoặc nhiều hơn giá trị lọc, công thức của ba giá trị đặc trưng sẽ tương tự như các ví dụ trên. Tất cả hệ số giá trị cần được cung cấp cho người dùng từ nhà sản xuất thiết bị.
Ghi chú: Đối với thiết bị đọc bốn giá trị lọc được miêu tả trong ASTM E 811-95, hệ số được xác định theo giá trị sau:
| a1 = 1; | a2 = 1; | a3 = 0; | a4 = 0; |
| b1 = 0; | b2 = 0; | b3 = 1; | b4 = 0; |
| c1 = 0; | c2 = 0; | c3 = 0; | c4 = 1; |

Hình D.1: Sơ đồ sắp xếp thích hợp cho hiệu chỉnh cho máy đo màu đơn sắc hoặc máy đo chùm quang phổ
D.4.2.2 Hiệu chỉnh máy đo màu đơn sắc ở vị trí xa: Đặt bề mặt khuếch tán (trắng) phẳng tại vị trí vật mẫu như Hình D.1. Chú ý vào máy đo màu đơn sắc được trang bị ống kính với khe mở được sử dụng trong suốt quá trình đo màu, từ bề mặt khuyếch tán trắng. Đọc N giá trị R1, R2,... RN từ thiết bị đo màu đơn sắc tại N giá trị lọc và tính toán 3 giá trị đặc trưng RX, RY, và RZ theo công thức D.4.2.1. 3 giá trị phải theo tỷ lệ gần đúng
1 : 0,910 : 0,324
Bước kế tiếp gắn vào bộ lọc phụ được đo bởi máy đo chùm quang phổ để có giá trị cặp ba Xref, Yref, và Zref đối với nguồn sáng loại A. Đọc N giá trị mới R1,ref, R2,ref, ...RN,ref từ thiết bị đo màu đơn sắc có N giá trị lọc và tính toán 3 giá trị đặc trưng RX,ref, RY,ref, và RZ,ref theo công thức D.4.2.1
D.4.2.2.1 Tính toán hệ số hiệu chỉnh màu (Correction factors) CFX, CFY, và CFZ như sau:
CFX = Xref / RX,ref
CFY = Yref / RY,ref
CFZ = Zref / RZ,ref
Với:
| CFX, CFY, CFZ | - Hệ số hiệu chỉnh |
| Xref, Yref, và Zref | - Giá trị X, Y và Z tượng trưng cho lọc tương ứng. Những giá trị này được xác định từ máy đo chùm quang phổ bởi nguồn sáng loại A và Tiêu chuẩn Quan sát 1931. |
| RX,ref, RY,ref, và RZ,ref | - Giá trị đặc trưng màu đơn sắc với lọc tương ứng theo công thức D.4.2.1 |
D.4.2.3 Đo màu: Thay đổi vị trí máy đo màu đơn sắc để thực hiện sắp xếp sơ đồ riêng biệt kiểm tra vật liệu. Hiệu chỉnh máy đo màu đơn sắc là không chấp nhận, nhưng khoảng tỷ lệ của máy thì được chấp nhận. Nguồn sáng khi đo màu phải được giữ nguyên giống như phần hiệu chỉnh. Chú ý vào máy đo màu đơn sắc kiểm tra bề mặt và chắc chắn rằng khe mở của máy phải nằm trong vùng của ánh sáng. Đọc N giá trị R1, R2,... RN từ vật mẫu tại vị trí đọc N bộ lọc. Tính toán ba giá trị đặc trưng RX, RY, và RZ theo công thức D.4.2.1. Sau đó hiệu chỉnh giá trị theo công thức sau:
Xtest = RX • CFX
Ytest = RY • CFY
Ztest = RZ • CFZ
D.4.2.3.1 Tính toán giá trị tọa độ màu (x, y) của vật mẫu bởi công thức sau:

D.4.3 Quy trình B - Phương pháp Đo chùm quang phổ ở vị trí xa:
D.4.3.1 Sử dụng máy đo chùm quang phổ ở vị trí xa: Phương pháp này sử dụng đo chùm quang phổ ở vị trí xa để đo lượng phân bố quang phổ của ánh sáng tại bề mặt mẫu và lượng ánh sáng tại vị trí thiết bị nhận. Sử dụng phương pháp này không yêu cầu nguồn sáng phải đạt nhiệt độ hoặc cường độ nhất định được hiệu chỉnh chính xác. Tuy nhiên, máy đo chùm quang phổ phải tuyến tính, và tỷ lệ bước sóng phải được hiệu chỉnh. Tập hợp quang học của máy đo chùm quang phổ được điều chỉnh để, khi đặt tại vị trí thiết bị nhận, cả mẫu màng phản quang đều nằm trong vùng quan sát hoặc toàn bộ vùng quan sát. Trong trường hợp là thiết bị phản quang, những điều kiện này được khuyến khích. Khi toàn bộ bề mặt mẫu nằm trong vùng quan sát, vùng quan sát nên rộng hơn vật mẫu để tránh những vấn đề về thẳng hàng, nhưng không quá rộng hơn mẫu sẽ gây khó khăn để tập hợp rải rác ánh sáng. Khi toàn bộ vùng quan sát nằm trong bề mặt mẫu phản quang, kích cỡ nên nhỏ hơn vùng mẫu để tránh vấn đề không thẳng hàng, nhưng không nên quá nhỏ có thể gây khó khăn với mẫu không đồng nhất.

Hình D.2: Sơ đồ vị trí thiết bị đo màu màng phản quang
D.4.3.2 Đo màu:
D.4.3.2.1 Đặt máy đo chùm quang phổ tại vị trí vật mẫu, chắc chắn rằng toàn bộ khe mở của nguồn nằm trong vùng quan sát của máy đo chùm quang phổ, và đọc giá trị m2(λ) tại bước sóng từ 380 đến 780 nm với bước chia 10 nm. Sau đó đưa máy đo chùm quang phổ đến vị trí thiết bị nhận và đọc giá trị m1(λ) của ánh sáng phản quang từ màng phản quang tại bước sóng từ 380 nm đến 780 nm với bước chia 10 nm.
D.4.3.2.2 Bộ giá trị thay thế giá trị m2(λ) có thể được đọc bằng cách đo tia phản quang từ tấm BaSO4 được thể hiện tại Hình D.1. Phương pháp này có thuận lợi là giá trị m1(λ) và m2(λ) có thể gần bằng nhau tại vị trí thiết bị nhập và màu trắng tiêu chuẩn. Tuy nhiên, trong cả hai phương pháp, vị trí của máy đo chùm quang phổ phải đặt vị trí cố định trong suốt quá trình đo m2(λ) và m1(λ).
D.4.3.2.3 Tính toán giá trị cặp ba X, Y, và Z bằng công thức sau:

Với:
m1 - đo giá trị phản quang màng phản quang
m2 - đo giá trị trực tiếp tại vị trí màng phản quang, hoặc giá trị phản quang từ tấm BaSO4
D.4.3.2.4 Tọa độ màu x và y theo công thức sau:
x = XI(X + Y + Z)
y = Y/(X + Y + Z)
Phụ lục E
(Tham khảo)
Lượng ánh sáng phản chiếu đến người lái xe từ đèn chiếu gần và đèn chiếu xa cho các loại màng phản quang (tham khảo tài liệu “A Market-Weighted Description of Low-Beam and High-Beam Headlighting”)
E.1 Những vị trí của biển báo hiệu trong giao thông đường bộ
Thông thường, biển báo hiệu đường bộ được lắp đặt tại bốn vị trí chủ yếu sau: lề phải, lề trái, giá long môn và cần vươn (Hình E.1). Tại bốn vị trí này cũng sẽ nhận được lượng ánh sáng khác nhau, trong đó lề phải được nhận nhiều nhất đạt tỷ lệ 100%, lề trái sẽ nhận được khoảng 18%, biển lắp đặt trên cần vươn nhận được khoảng 11% và ít nhất là tại vị trí lắp đặt trên giá long môn 9%.

Hình E.1 (Ví dụ): Vị trí của biển báo lắp đặt trên đường bộ
E.2 Phương tiện giao thông
Khả năng phản quang ánh sáng từ đèn xe cũng phụ thuộc vào các loại xe khác nhau. Các loại xe khác nhau sẽ có vị trí đèn xe và mắt người điều khiển phương tiện khác nhau, do đó góc quan sát hợp bởi mắt người, đèn xe và biển báo cũng sẽ khác nhau. Trên thế giới thông thường sẽ phân loại thành phương tiện chính: Xe con và xe tải.

Hình E.2 (Ví dụ): Tương quan các loại xe và góc quan sát với vị trí
E.3 Một số trường hợp
Biểu đồ về lượng ánh sáng về mắt người điều khiển phương tiện so sánh giữa các loại màng khác nhau:
E3.1 Trường hợp 1:
• Phương tiện: Xe con • Vị trí đặt biển: lề phải

Hình E.3: Độ phản quang của biển báo đặt bên lề phải đối với xe con
E3.2 Trường hợp 2:
• Phương tiện: Xe tải • Vị trí đặt biển: lề phải

Hình E.4: Độ phản quang của biển báo đặt bên lề phải đối với xe tải
E3.3 Trường hợp 3:
• Phương tiện: Xe con • Vị trí đặt biển: Giá long môn

Hình E.5: Độ phản quang của biển báo đặt trên giá long môn đối với xe con
E3.4 Trường hợp 4:
• Phương tiện: Xe tải • Vị trí đặt biển: Giá long môn

Hình E.6: Độ phản quang của biển báo đặt trên giá long môn đối với xe tải
MỤC LỤC
1 Phạm vi áp dụng
2 Tài liệu viện dẫn
3 Thuật ngữ, định nghĩa
4 Phân loại
5 Hướng dẫn lựa chọn loại màng phản quang
6 Yêu cầu kỹ thuật của màng phản quang
7 Phương pháp thử
8 Yêu cầu về tuổi thọ và kiểm soát chất lượng màng phản quang
9 Yêu cầu ghi nhãn, bao gói, vận chuyển và bảo quản
Phụ lục A (Quy định): Yêu cầu kỹ thuật đối với nhôm và hợp kim nhôm dạng lá và tấm
Phụ lục B (Quy định): Phương pháp thử xác định hệ số phản quang của màng phản quang sử dụng cấu hình đồng phẳng
Phụ lục C (Quy định): Phương pháp thử nghiệm tính chất của màng phản quang và vật liệu biển báo hiệu giao thông với khả năng quan sát cao và trong vấn đề an toàn cho con người.
Phụ lục D (Quy định): Phương pháp thử nghiệm tính chất màu sắc của màng phản quang dưới điều kiện ban đêm
Phụ lục E (Tham khảo): Lượng ánh sáng phản chiếu đến người lái xe từ đèn chiếu gần và đèn chiếu xa cho các loại màng phản quang
Bạn chưa Đăng nhập thành viên.
Đây là tiện ích dành cho tài khoản thành viên. Vui lòng Đăng nhập để xem chi tiết. Nếu chưa có tài khoản, vui lòng Đăng ký tại đây!
(λ),
(λ), và
(λ)