- Tổng quan
- Nội dung
- Tiêu chuẩn liên quan
- Lược đồ
- Tải về
Tiêu chuẩn TCVN 12586:2019 Trang thiết bị an toàn giao thông đường bộ - Tấm chống chói
| Số hiệu: | TCVN 12586:2019 | Loại văn bản: | Tiêu chuẩn Việt Nam |
| Cơ quan ban hành: | Bộ Khoa học và Công nghệ | Lĩnh vực: | Giao thông |
|
Ngày ban hành:
Ngày ban hành là ngày, tháng, năm văn bản được thông qua hoặc ký ban hành.
|
2019 |
Hiệu lực:
|
Đã biết
|
| Người ký: | Đang cập nhật |
Tình trạng hiệu lực:
Cho biết trạng thái hiệu lực của văn bản đang tra cứu: Chưa áp dụng, Còn hiệu lực, Hết hiệu lực, Hết hiệu lực 1 phần; Đã sửa đổi, Đính chính hay Không còn phù hợp,...
|
Đã biết
|
TÓM TẮT TIÊU CHUẨN VIỆT NAM TCVN 12586:2019
Nội dung tóm tắt đang được cập nhật, Quý khách vui lòng quay lại sau!
Tải tiêu chuẩn Việt Nam TCVN 12586:2019
TIÊU CHUẨN QUỐC GIA
TCVN 12586 : 2019
TRANG THIẾT BỊ AN TOÀN GIAO THÔNG ĐƯỜNG BỘ - TẤM CHỐNG CHÓI - YÊU CẦU KỸ THUẬT VÀ PHƯƠNG PHÁP THỬ
Safety traffic equipment - Antiglare system for road - Techincal requirements and test methods
Lời nói đầu
TCVN 12586 : 2019 do Viện Khoa học và Công nghệ Giao thông vận tải biên soạn, Bộ Giao thông vận tải đề nghị, Tổng cục Tiêu chuẩn Đo lường Chất lượng thẩm định, Bộ Khoa học Công nghệ công bố.
TRANG THIẾT BỊ AN TOÀN GIAO THÔNG ĐƯỜNG BỘ - TẤM CHỐNG CHÓI - YÊU CẦU KỸ THUẬT VÀ PHƯƠNG PHÁP THỬ
Safety traffic equipment - Antiglare system for road - Techincal requirements and test methods
1 Phạm vi áp dụng
Tiêu chuẩn này quy định yêu cầu kỹ thuật và phương pháp thử tấm chống chói lắp cố định trên rào chắn là dải phân cách cứng.
Tiêu chuẩn này không quy định tấm chống chói lắp trên rào chắn mềm, rào chắn di động.
2 Tài liệu viện dẫn
Các tài liệu viện dẫn sau rất cần thiết cho việc áp dụng tiêu chuẩn này. Đối với các tài liệu viện dẫn có ghi năm công bố thì áp dụng phiên bản được nêu. Đối với các tài liệu viện dẫn không ghi năm công bố thì áp dụng phiên bản mới nhất, bao gồm cả các bổ sung, sửa đổi (nếu có).
TCVN 5408:2007 (ISO 1461:1999), Lớp phủ kẽm nhúng nóng trên bề mặt sản phẩm gang và thép - Yêu cầu kỹ thuật và Phương pháp thử (Hot dip galvanized coatings on fabricated iron and steel articlesn - Specifications and test methods).
TCVN 8792:2011, Sơn và lớp phủ bảo vệ kim loại - Phương pháp thử mù muối.
TCVN 11995:2017, Chất dẻo - Xác định độ bền va đập kéo.
ISO 1459, Metallic coatings - Protection against corrosion by hot dip galvanizing - Guiding principles (Lớp phủ kim loại - Bảo vệ chống ăn mòn bằng mạ kẽm nhúng nóng - Nguyên lý).
ISO 9227:1990, Corrosion tests in artiticial atmospheres - Salt spray tests (Thử ăn mòn trong không khí nhân tạo - Thử mù muối).
ISO 1043-1, Plastics - Symbols and abbreviated term - Part 1: Basic polymers and their special characterstics (Chất dẻo - Ký hiệu và thuật ngữ viết tắt - Phần 1: Polyme cơ bản và các đặc tính của chúng).
ISO 1043-2, Plastics - Symbols and abbreviated terms - Part 2: Fillers and reinforcing materials (Chất dẻo - Ký hiệu và thuật ngữ viết tắt - Phần 2: Chất độn và chất gia cường).
3 Thuật ngữ và định nghĩa
Trong tiêu chuẩn này, các thuật ngữ và định nghĩa dưới đây được hiểu như sau:
3.1
Tấm chính (occluding element)
Là bộ phận của tấm chống chói chặn lại ánh sáng chiếu ngược chiều làm người điều khiển phương tiện giao thông mất tập trung.
3.2
Giá đỡ (support)
Là bộ phận để lắp tấm chính lên trên đó.
3.3
Chi tiết gá (fastening element)
Là chi tiết liên kết tấm chính với giá đỡ hoặc cố định tấm chống chói với rào chắn.
3.4
Bệ (base)
Là rào chắn bằng bê tông hoặc rào chắn bằng thép, trên đó gắn giá đỡ.
3.5
Hệ số truyền ánh sáng (light transmission factor), Cti
Là phần ánh sáng tới đi qua tấm chống chói tại một góc tới cụ thể i.
3.6
Góc giới hạn (limiting angle), α1
Là góc tới phía dưới mà ánh sáng tới hoàn toàn bị tấm chống chói chặn lại (Cti=0)
4 Cấu tạo
Các bộ phận thuộc cấu tạo của tấm chống chói được thể hiện trên Hình 1.

Hình 1 - Tấm chống chói
4.1 Cấu tạo các bộ phận
4.1.1 Tấm chính
Tấm chính phải được cấu tạo để có độ bền phù hợp và phải được liên kết chắc chắn trên giá đỡ.
4.1.2 Giá đỡ
Giá đỡ phải được cấu tạo có độ bền phù hợp để liên kết tấm chống chói với rào chắn. Không yêu cầu cụ thể về chủng loại vật liệu làm giá đỡ như bằng thép ống, thép tròn hay thép góc, thép hình hoặc loại thép nào khác. Phía dưới giá đỡ có thể có đế để liên kết giá đỡ với rào chắn bê tông bằng bu lông neo.
4.1.3 Chi tiết gá
Chi tiết gá phải có độ bền tốt, chịu được điều kiện ngoài trời và phải dễ thi công lắp đặt.
4.2 Lắp đặt các bộ phận
Tấm chống chói phải bao gồm tấm chính được lắp trên một giá đỡ hoặc lắp trực tiếp trên bệ (Hình 1). Tấm chống chói chỉ được cố định ở phần dưới và được cấu tạo sao cho tương thích với rào chắn, đáp ứng được các yêu cầu của tiêu chuẩn này.
Chiều rộng của tấm chống chói hoặc kích thước các bộ phận của nó sau khi lắp đặt hoàn chỉnh không được vượt ra ngoài mép của rào chắn. Riêng đối với các bộ phận bằng nhựa của tấm chống chói lắp trên rào chắn bê tông, cho phép thiết kế vượt đến 100mm ra ngoài mép của phần trên rào chắn.
4.3 Hình dáng, kích thước
4.3.1 Tấm chính
Tấm chính có hình chữ nhật. Không làm tấm chính là hình tròn hoặc hình tam giác vì diện tích chống chói trong phạm vi cho phép bị nhỏ đi. Về độ dầy, ngoài việc phải đảm bảo độ bền theo quy định tại tiêu chuẩn này, thì không có quy định đặc biệt.
Kích thước tiêu chuẩn: Chiều ngang có kích thước trên 350mm, chiều cao có kích thước trên 650mm.
Các cạnh, góc của tấm chính cần được vê tròn với bán kính nhất định, không để sắc nhọn.
4.3.2 Giá đỡ
Giá đỡ phải có độ dài phù hợp với chiều cao lắp đặt. Kích thước tiết diện của giá đỡ phải chọn để chịu được sức gió với vận tốc là 40m/s khi tính toán kết cấu.
Đối với giá đỡ có đế, đế phải có độ cao phù hợp với chiều cao lắp đặt. Về tính toán kết cấu, nếu là hình tròn thì đường kính, độ dầy, nếu là hình chữ nhật thì chiều dọc, ngang, rộng, độ dầy phải đảm bảo để chịu được sức gió với vận tốc là 40m/s.
4.3.4 Chi tiết gá
Chi tiết gá cần có độ dài phù hợp với giá đỡ và không được có kích thước vượt ra ngoài mép của rào chắn.
5 Vật liệu
5.1 Tấm chính
Vật liệu sử dụng làm tấm chính có thể là thép tấm, nhựa tổng hợp dạng tấm hoặc nhựa tổng hợp đúc, nhôm tấm hoặc tấm hợp kim nhôm hoặc compozit.
Trường hợp sử dụng thép tấm, phải xử lý mạ kẽm nền trước khi sơn để ngăn chặn rỉ sét sau một thời gian dài sử dụng. Phải chú ý xử lý phần mép cẩn thận để tấm chính không bị rỉ. Không được mạ kẽm nhúng nóng vì làm tấm chính phản quang lại ánh sáng đèn pha của phương tiện giao thông.
Trường hợp sử dụng nhựa tấm, cần chú ý để nhựa không bị biến màu. Không được sử dụng vật liệu dễ bị biến màu do tia tử ngoại hoặc phải xử lý sơn.
Trường hợp sử dụng nhôm tấm, bắt buộc phải có xử lý chống chói để tránh sự phản quang của tấm chính từ ánh sáng đèn pha của phương tiện giao thông.
5.2 Giá đỡ
Vật liệu làm giá đỡ có thể là thép ống hoặc ống thép không gỉ. Đối với thép ống, phải sơn hoặc mạ kẽm nhúng nóng sau khi xử lý mạ kẽm nền.
Đối với vật liệu làm đế giá đỡ có thể là thép tấm, thép không gỉ, hợp kim nhôm. Đối với thép tấm, phải sơn hoặc mạ kẽm nhúng nóng sau khi mạ kẽm nền.
5.3 Chi tiết gá
Vật liệu làm chi tiết gá có thể là thép tấm, thép không gỉ, hợp kim nhôm. Đối với thép tấm, phải sơn hoặc mạ kẽm nhúng nóng sau khi mạ kẽm nền. Không được làm chi tiết gá bằng nhựa.
6 Yêu cầu kỹ thuật
6.1 Độ bền
Độ bền của vật liệu nhựa tổng hợp được xác định bằng thử nghiệm va đập của mẫu thử trước và sau khi thử nghiệm lão hóa theo 7.2. Sau khi lão hóa, các giá trị thử nghiệm va đập phải lớn hơn 80% giá trị ban đầu của chúng đối với mỗi mẫu được thử nghiệm ở (23 ± 3)°C.
Các bộ phận kim loại của tấm chống chói phải được làm bằng vật liệu chống ăn mòn hoặc phải được phủ vật liệu chống ăn mòn. Độ bền vật liệu kim loại được đánh giá theo 7.2. Các bộ phận được phủ vật liệu nhựa tổng hợp phải được lão hóa theo quy trình nêu trong 7.2 trước khi thử nghiệm. Các bộ phận cấu tạo bằng thép mạ kẽm nhúng nóng phải phù hợp với tiêu chuẩn ISO 1459 và tiêu chuẩn TCVN 5408 (ISO 1461).
6.2 Đặc tính chống chói
6.2.1. Yêu cầu chung
Tấm chống chói làm giảm mức độ làm chói mắt người điều khiển phương tiện giao thông của ánh sáng chiếu ngược chiều. Tấm chống chói có hiệu quả trong phạm vi toàn bộ chiều cao của nó, từ mép trên bệ lắp đặt đến hết chiều cao của tấm chính. Khoảng trống tối đa là 20 mm được chấp nhận từ mép trên của bệ đến mép dưới của tấm chính.
CHÚ THÍCH: Chiều cao của tấm chống chói phụ thuộc vào các điều kiện chung, như mức độ tương đối của đèn pha phương tiện và mắt của người điều khiển phương tiện theo các hướng giao thông ngược chiều. Các yếu tố chính được xem xét là chiều cao của các đối tượng này trên đường và khoảng cách của các đối tượng đó tới tấm chống chói. Tuy nhiên, trong mọi trường hợp, không thể hoàn toàn loại bỏ được tình huống ảnh hưởng của ánh sáng chói vì hình dạng đường đối lập nhau.
Có hai loại tấm chống chói:
a) Tấm chống chói được thiết kế nhằm "chặn lại tất cả các tia tới" phải tuân thủ điều kiện hình học tg α1 ≥0,33. Điều kiện này được kiểm tra bằng phép tính (xem 6.2.2):
b) Tấm chóng chói không đáp ứng điều kiện tan α1 ≥0,33 được thiết kế để "ngăn chặn một phần các tia tới" phải đạt giá trị ngưỡng quy định trong 6.2.3. Thông số đó được xác định bằng phương pháp thử nêu tại 6.2.3.
6.2.2 Xác định đặc tính chống chói qua tính toán
Phụ thuộc vào kiểu kết cấu, một số hệ thống tấm chống chói hoàn toàn ngăn chặn được các tia tới đến góc giới hạn CH. Đối với tấm chính vuông góc với đường nối 2 tấm chống chói được lắp đặt, góc CH được tính theo công thức 1:

CHÚ DẪN:
1- Góc giới hạn α1
2- Tấm chống chói
Hình 2 - Góc giới hạn α1
|
| (1) |
Trong đó:
D - Khoảng cách giữa hai tấm chính, m;
L - Chiều rộng của tấm chính, m.
Nếu L không phải là hằng số thì sẽ tính bằng cách chia diện tích bề mặt chiếu của tấm chính trên mặt phẳng thẳng đứng vuông góc với chiều của trục lắp đặt tấm chống chói cho chiều cao của tấm chính (xem Hình 2).
Nếu tg α1 ≥0,33 thì không cần xác định theo 6.2.3.
Trường hợp với những đoạn đường cong, việc xác định đặc tính chống chói được thực hiện bằng thực nghiệm căn cứ theo 4.6.3.
6.2.3 Xác định đặc tính chống chói bằng thử nghiệm
Cần thực hiện việc xác định này khi tan α1 <0,33.
Mức độ che kín của tấm chống chói đối với góc tới i được cho bởi hệ số truyền Cti trong đó i là góc giữa trục của tấm chống chói và hướng của tia tới.
Cti được xác định theo 7.3.
Các giá trị lớn nhất chấp nhận được của Cti như sau:
a) Đối với các góc tới nhỏ hơn 12°, Cti ≤0,05;
b) Hoặc Ct15≤0,05, hoặc Ct18≤ 0,2 và Ct15≤ 0,15.
6.3 Tầm nhìn ngang
Theo tầm nhìn ngang, có hai nhóm tấm chống chói.
Nhóm 1:
Đảm bảo tầm nhìn ngang tốt thông qua tấm chính. Để đảm bảo yêu cầu này, chọn một hình chữ nhật bất kì có chiều dài 1 m và chiều cao bằng chiều cao tấm chính trên mặt phẳng thẳng đứng, dọc theo trục lắp đặt hệ thống tấm chống chói (Hình 3), khi ấy diện tích bề mặt bị chiếm bởi vật liệu tấm chống chói (diện tích chiếm chỗ) không được vượt quá 20% tổng diện tích bề mặt của hình chữ nhật.
Nhóm 2:
Các tấm chống chói khác, ngoài yêu cầu được quy định cho nhóm 1.
6.4 Đặc tính chống gió
Một phần của hệ thống tấm chống chói lắp đặt hoàn chỉnh sẽ được thử nghiệm trong hầm gió với tốc độ gió là 40 m/s (144 km/h), được mô tả tại 7.1. Các giá trị biến dạng được ghi lại không được vượt quá 10% theo chiều ngang và 25% theo chiều dọc.
Nếu có các hệ thống tấm chống chói có nhiều chiều cao khác nhau thì chỉ thử nghiệm hệ thống có chiều cao cao nhất.

CHÚ DẪN:
1- Hình chữ nhật là cơ sở để tính toán khả năng hiển thị bên (chiều cao h, chiều dài 1 m)
2- Tấm chính
3- Bộ phận cố định
4- Giá đỡ
5- Bệ
Hình 3 - Hình chữ nhật sử dụng để tính tầm nhìn ngang của hai nhóm tấm chống chói
7 Phương pháp thử
7.1 Thử chịu gió
7.1.1 Nguyên tắc
Phép thử này được thực hiện để đánh giá những biến đổi và biến dạng gây ra cho tấm chống chói cùng với khung của chúng do tác động của gió.
Phép thử trong hầm gió được gọi là thử nghiệm sức cản gió.
Phép thử được thực hiện trong một đường hầm gió. Mẫu thử phải chịu một dòng khí ngang ổn định là 40 m/s (144 km/h). Sau khi thử, các giá trị biến dạng dọc và ngang dt và dl của hệ thống được tính toán.
Mẫu được cố định vào một bệ ở độ cao 800 mm ± 50 mm trên bàn xoay như thể hiện trong Hình 4 và Hình 5. Bệ được kết cấu để cho phép không khí đi qua tự do bên dưới.
Khi bắt đầu thử nghiệm, trục chính của hệ thống được đặt vuông góc với hướng của dòng khí. Phép thử này được thực hiện trong hai giai đoạn (xem 7.1.4).

CHÚ DẪN:
1- Tấm chính
2- Chi tiết gá
3- Giá đỡ
4- Bệ
Hình 4 - Bệ gắn mẫu thử chịu gió của tấm chống chói
7.1.2 Thiết bị thử
a) Một bàn xoay được lắp đặt trong đường hầm gió, có khả năng sinh ra một dòng khí với vận tốc 40 m/s (144 km/h) ở tâm khoảng đo. Bàn xoay có các đặc điểm sau đây (xem hình 5):
-Đường kính: tối thiểu 4,50 m;
- Góc quay nhỏ nhất: + 90° và -90°:
- Khả năng quan sát mẫu thử trong quá trình thử nghiệm: trực tiếp hoặc bằng cách quay video.
b) Thiết bị đo độ dịch chuyển, sai số đến 5 mm.

CHÚ DẪN:
1- Đoạn ống thử
2- Bàn xoay cho phép bệ gắn mẫu thử quay được góc từ -90° đến 90°
Hình 5 - Vị trí mẫu thử trong đoạn đường hầm gió
7.1.3 Mẫu thử
Hệ thống tấm chống chói được dùng làm mẫu thử phải có chiều dài tối thiểu là 4 m.
Chiều dài mẫu thử là đoạn thu được bằng cách kết hợp lắp các tấm chống chói hoặc bằng cách sử dụng phân đoạn lắp tấm chống chói trong thực tế.
Trước khi thử, bảo quản mẫu ít nhất 24 giờ trong phòng có các điều kiện nhiệt độ tương tự như điều kiện nhiệt độ trong khoảng đo của đường hầm gió.
7.1.4 Tiến hành thử
7.4.1.1 Khái quát
Thực hiện phép thử ở nhiệt độ trên 10°C.
Với hầm được đóng, lắp mẫu lên bàn xoay sao cho trục chính của bàn xoay vuông góc với hướng của dòng khí.

CHÚ DẪN:
A- Số đo ban đầu
B- Số đo sau khi thử
1- Điểm mốc đo
2- Tấm chính
3- Chi tiết đỡ trợ giúp
4- Bệ
Hình 6- Thử nghiệm đo chuyển vị ngang khi thử chịu gió
7.1.4.2 Số đo ban đầu
Trong trường hợp hệ thống tấm chống chói được cấu tạo từ các bộ phận riêng biệt, lấy số đo của từng bộ phận. Trong trường hợp hệ thống là những tấm chống chói liên tục, lấy số đo theo chiều dọc mẫu (2 m dọc theo chiều dài của mẫu). Đánh dấu rõ ràng các vị trí này.

CHÚ DẪN:
A- Số đo ban đầu
B- Số đo sau khi thử
C- Hình ảnh tổng thể mẫu thử chịu gió
1- Điểm mốc đo
2- Tấm chính
3- Chi tiết đỡ trợ giúp
4- Bệ
Hình 7- Thử nghiệm đo chuyền vị dọc khi thử chịu gió
Lấy số đo tại điểm cao nhất của hệ thống. Đối với mỗi điểm đo, các số đo thực hiện cho các thông số sau đây:
- T: Chiều cao điểm đo tính từ mặt trên của bệ;
- r0l: Phép đo dọc hầm gió (Hình 7);
- r0t: Phép đo ngang hầm gió (Hình 6);
- Nhiệt độ trong khoảng đo.
7.1.4.3 Thử nghiệm sức chịu gió
Mở hầm gió. Điều chỉnh tăng tốc độ dòng khí với khoảng điều chỉnh là 1 m/s đến vận tốc 40 m/s (40 s cần thiết để tốc độ dòng khí đạt được 40 m/s).
Khi dòng khí đạt tới tốc độ 40 m/s, quay bàn xoay theo hướng ngược chiều kim đồng hồ (nhìn từ trên), với tốc độ điều chỉnh là 15°/phút. Dừng chuyển động tại vị trí + 90°. Đóng hầm gió và quay bàn xoay về vị trí ban đầu.
Lấy các số đo đầu tiên theo quy định tại 7.1.4.4.
Khởi động lại hầm gió, khi dòng khí đạt tới tốc độ 40 m/s, quay bàn xoay cùng chiều kim đồng hồ với tốc độ điều chỉnh 15°/phút. Dừng chuyển động ở vị trí -90°, Đóng hầm gió và quay bàn xoay về vị trí ban đầu.
Lấy các số đo thứ hai theo quy định tại 7.1.4.4.
Lưu ý: Nếu trong quá trình thử, mẫu bị vỡ hoặc bị biến dạng quá mức thì cần phải dừng bàn xoay và đóng hầm gió lại. Góc tại đó bàn xoay được dừng lại phải được đo. Phép thử này cần được xem là không thành công.
7.1.4.4 Đo sau khi thử nghiệm
Sau khi để ít nhất 5 phút sau khi gió vào đường hầm được tắt đi, lặp lại các thủ tục được quy định tại 7.1.4.2. để đo chuyển vị ngang rl và rt.
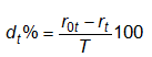
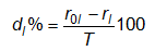
7.1.5 Kết quả thử
Tính các biến dạng dt và dl theo tỷ lệ phần trăm T, từ các số đo đã thực hiện theo 7.1.4, như sau:


Tất cả các số đo đều có cùng đơn vị tính.
7.2 Thử bền
Điều này quy định các thiết bị và các quy trình trong phòng thí nghiệm cần thiết để xác định độ bền của vật liệu sử dụng cho tấm chống chói.
Đối với vật liệu nhựa tổng hợp: quá trình thời tiết nhân tạo được thực hiện trước và sau thử nghiệm va đập kéo theo tiêu chuẩn TCVN 11995:2017;
Đối với các bộ phận kim loại: thử nghiệm mù muối theo tiêu chuẩn ISO 9227:1990 hoặc TCVN 8792:2011.
7.2.1 Đối với các bộ phận vật liệu nhựa tổng hợp
7.2.1.1 Thử lão hóa với quá trình thời tiết nhân tạo
Mục đích của quá trình thời tiết nhân tạo là nhằm xác định mức giảm các đặc tính cơ học của vật liệu được thử. Mức độ giảm được thể hiện theo tỷ lệ phần trăm độ bền kéo của vật liệu ở nhiệt độ môi trường xung quanh.
Thực hiện phép thử theo tiêu chuẩn ISO 4892-2 có tính đến các nội dung sau:
a) Thử nghiệm 40 mẫu, trong số đó 20 mẫu được lão hóa bằng thử nghiệm thời tiết nhân tạo. Thời tiết nhân tạo bao gồm các giai đoạn sau đây:
- Kiểm tra bức xạ tia cực tím;
- Mưa nhân tạo (thời gian mưa nhân tạo 18 phút, thời gian sấy khô 102 phút).
b) Tổng thời gian của chu kỳ lão hóa theo tổng bức xạ là 8 000 MJ/m2.
Các điều kiện thử nghiệm như sau:
- Đèn xenon theo Tiêu chuẩn ISO 4892-2;
- Nhiệt độ màu đen tiêu chuẩn từ 63° C đến 70° C (nhiệt độ trong phòng thử nghiệm: khoảng 40° C);
- Độ ẩm không khí trong thời gian sấy khô: từ 60% đến 80%.
7.2.1.2 Thử nghiệm va đập
Thử 40 mẫu như sau:
- 10 mẫu ở (23 ± 3)° C trước khi lão hóa;
- 10 mẫu ở (23 ± 3)° C sau khi lão hóa.
Thực hiện phép thử theo tiêu chuẩn TCVN 11995:2017, phương pháp A (khối lượng 60 g; năng lượng 25 J), bằng cách sử dụng loại 3 mẫu thử được cắt ra từ tấm chống chói theo chiều thẳng đứng, tức là từ cùng diện tích trên tấm chống chói.
Trước khi thực hiện phép thử, 10 mẫu thử của cùng một seri sẽ được bảo quản ít nhất 24 giờ lần lượt ở (23 ± 3) ° C.
Tính toán các giá trị trung bình số học của độ bền va đập kéo đứt E mỗi seri:
- Khi mới và ở (23 ± 3)° C (Ena);
- Sau phong hóa nhân tạo và ở (23 ± 3)° C (Eva);
- Tỷ số:

7.2.2 Đối với các bộ phận kim loại
Thực hiện phép thử ăn mòn theo tiêu chuẩn ISO 9227 (thử nghiệm NSS) trên hai mẫu bu lông neo bằng kim loại điển hình được lấy từ hệ thống. Mỗi mẫu thử cần phải là mẫu điển hình cho bu lông neo cố định tấm chống chói.
Thời gian thử: 720 h.
7.3 Thử hệ số truyền sáng
7.3.1 Nguyên tắc
Điều này mô tả phép thử để xác định hệ số truyền sáng Cti của tấm chống chói nhằm đánh giá hiệu quả của chúng đối với ánh sáng chói.
Hệ số truyền của tấm chống chói được xác định bằng hệ thống được chiếu sáng bởi một nguồn sáng có cường độ sáng li, cường độ truyền ánh sáng Iti được đo bằng đầu đo quang.
7.3.2 Dụng cụ thử
- Một nguồn sáng, đèn chiếu sáng tiêu chuẩn CIE loại A phù hợp với tiêu chuẩn ISO / CIE 10526: 1999. Nguồn cấp điện của đèn này được ổn định và điều chỉnh sao cho nhiệt độ màu của đèn bằng 2 856 K ± 20 K. Nguồn bao gồm một đèn rọi có khe hở không vượt quá 3°;
- Đầu đo quang với đường cong đáp ứng quang phổ giống với hiệu suất phát xạ tương đối V (λ) theo tiêu chuẩn CIE, số 15.2.
Sơ đồ thử nghiệm thể hiện trên Hình 8.
7.3.3 Mẫu thử
Mẫu thử phải bao gồm một hoặc nhiều bộ phận cơ bản của tấm chống chói sao cho thu được chiều dài tối thiểu là 2 m.
Mẫu thử phải được vệ sinh sạch, sấy khô và để ở trong phòng 24 giờ, ở đó sẽ thực hiện các phép đo.
7.3.4 Quy trình thử
7.3.4.1 Đo cường độ ánh sáng tới
Đặt bề mặt thu của đầu đo quang ở khoảng cách đến điểm phát sáng với D từ 10 m và 20 m và định hướng sao cho trục của điểm phát sáng đi qua tâm của điểm phát sáng đó.

CHÚ DẪN:
A- Nhìn trên xuống
B- Nhìn từ cạnh
1- Bệ
2- Tấm chống chói thử nghiệm
3- Đầu đo quang
4- Chùm tia tới
5- Chùm tia đến mặt đo phản quang
6- Điểm phát sáng
7- Mặt đo phản quang
8- Quay
Hình 8 - Thử nghiệm hệ số truyền sáng
Đo phản ứng R0 của đầu đo quang và tính toán cường độ ánh sáng (l0) theo đơn vị candela theo phương trình:
l0 = KR0
Trong đó K là hằng số hiệu chuẩn của bộ thụ cảm quang điện.
7.3.4.2 Đo cường độ truyền ánh sáng
Đặt tấm chống chói vào trong chùm ánh sáng theo quy định trong 7.3.4.1, cách đều nguồn sáng và đầu đo quang, lắp trên bệ ở vị trí thẳng đứng, trục của bệ ở góc i với trục chùm tia sáng như được thể hiện trong Hình 8.Trong trường hợp mẫu có cấu trúc đồng đều trên toàn bộ bề mặt của mẫu thì lấy số đo ở ba độ cao khác nhau. Với góc cho trước i, lấy số đo ít nhất tại ba điểm được phân bố dọc theo chiều dài của mẫu tại mỗi đỉnh cao H1, H2 và H3 như sau:
- Ở đỉnh hệ thống (H1) từ 90% đến 100% chiều cao T của tấm chống chói;
- Ở giữa hệ thống (H2) từ 45% đến 55% chiều cao T của tấm chống chói;
- Ở đáy hệ thống (H3) từ 0% đến 10% chiều cao T của tấm chống chói.
Trong trường hợp mẫu có cấu trúc thay đổi (thay đổi chiều dày, màu sắc, thiết kế và vật liệu, vv), lấy số đo thêm ở càng nhiều điểm cần thiết càng tốt.
Tại mỗi điểm đo, đo phản ứng Rti của đầu đo quang và tính toán cường độ ánh sáng lti theo đơn vị tính candela bằng phương trình:
lti = KRti
Lặp lại toàn bộ quy trình đối với các giá trị i là 3°, 6°, 9°, 12°, 15°, và nếu cần thiết lấy cả giá trị 18°.
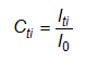
7.3.5 Kết quả thử
Đối với mỗi điểm đo, trong đó sử dụng góc cho trước i, tính giá trị của hệ số truyền bằng phương trình:

Với mỗi góc i, xác định giá trị cao nhất Cti (Cti,max).
7.4 Báo cáo thử nghiệm
Báo cáo thử nghiệm tối thiểu phải có các thông tin sau:
a) số của tiêu chuẩn này;
b) nhận dạng sản phẩm:
- Tên nhà sản xuất;
- Vật liệu sử dụng và bất kỳ ký hiệu nào được sử dụng trong tiêu chuẩn phù hợp;
- Chiều cao;
- Chủng loại rào chắn an toàn mà nó có thể được cố định;
- Mọi thông tin liên quan khác.
c) Đối với mỗi phép thử:
- Ngày, địa điểm và tên của công nhân vận hành;
- Tên các phép thử đã được tiến hành;
- Trong trường hợp là phép thử sức cản gió, mô tả khoảng đo của hầm gió (chiều dài, chiều rộng, chiều cao), nhiệt độ tại thời điểm thử, biến dạng lớn hoặc các hiện tượng bất thường khác trong khi thử nghiệm;
- Trong trường hợp thử nghiệm va đập kéo đứt và thử nghiệm lão hóa, cần có thông tin về hình dạng và kích thước của mẫu;
- Trong trường hợp đo hệ số truyền sáng, cần có thông tin về chủng loại nguồn sáng và chủng loại đầu đo quang điện;
- Bất kỳ yếu tố nào có thể đã ảnh hưởng đến kết quả.
8 Ghi nhãn
Mỗi tấm chống chói chứa các thông tin được gắn trên một bộ phận của tấm đó sao cho có thể đọc được ít nhất cách xa 4 m theo chiều dài.
Ghi nhãn phải bao gồm ít nhất các thông tin sau:
Các thông tin về sản phẩm
Số hiệu tiêu chuẩn
Tên nhà sản xuất và/hoặc tên nhà cung cấp:
Năm và nơi sản xuất
Thư mục tài liệu tham khảo
[1] EN 12676-1:2000, Anti-glare systems for roads - Part 1: Performance and characteristics.
[2] EN 12676-2:2000, Anti-glare systems for roads - Part 2: Test methods.
Mục lục
Lời nói đầu
1 Phạm vi áp dụng
2 Tài liệu viện dẫn
3 Thuật ngữ và định nghĩa
4 Cấu tạo
4.1 Cấu tạo các bộ phận
4.2 Lắp đặt các bộ phận
4.3 Hình dáng, kích thước
5 Vật liệu
5.1 Tấm chính
5.2 Giá đỡ
5.3 Chi tiết gá
6 Yêu cầu kỹ thuật
6.1 Độ bền
6.2 Đặc tính chống chói
6.2.1 Yêu cầu chung
6.2.2 Xác định đặc tính chống chói qua tính toán
6.2.3 Xác định đặc tính chống chói bằng thử nghiệm
6.3 Tầm nhìn ngang
6.4 Đặc tính chống gió
7 Phương pháp thử
7.1 Thử chịu gió
7.1.1 Nguyên tắc
7.1.2 Thiết bị thử
7.1.3 Mẫu thử
7.1.4 Tiến hành thử
7.1.5 Kết quả thử
7.2 Thử bền
7.2.1 Đối với các bộ phận vật liệu nhựa tổng hợp
7.2.2 Đối với các bộ phận kim loại
7.3 Thử hệ số truyền sáng
7.3.1 Nguyên tắc
7.3.2 Dụng cụ thử
7.3.3 Mẫu thử
7.3.4 Quy trình thử
7.3.5 Kết quả thử
7.4 Báo cáo thử nghiệm
8 Ghi nhãn
Thư mục tài liệu tham khảo
Bạn chưa Đăng nhập thành viên.
Đây là tiện ích dành cho tài khoản thành viên. Vui lòng Đăng nhập để xem chi tiết. Nếu chưa có tài khoản, vui lòng Đăng ký tại đây!