- Tổng quan
- Nội dung
- VB gốc
- Tiếng Anh
- Hiệu lực
- VB liên quan
- Lược đồ
-
Nội dung hợp nhất
Tính năng này chỉ có tại LuatVietnam.vn. Nội dung hợp nhất tổng hợp lại tất cả các quy định còn hiệu lực của văn bản gốc và các văn bản sửa đổi, bổ sung, đính chính... trên một trang. Việc hợp nhất văn bản gốc và những văn bản, Thông tư, Nghị định hướng dẫn khác không làm thay đổi thứ tự điều khoản, nội dung.
Khách hàng chỉ cần xem Nội dung hợp nhất là có thể nắm bắt toàn bộ quy định hiện hành đang áp dụng, cho dù văn bản gốc đã qua nhiều lần chỉnh sửa, bổ sung.
- Tải về
Quyết định 30/2021/QĐ-UBND trình tự đầu tư dự án đô thị không sử dụng vốn Nhà nước tỉnh Bắc Giang
| Cơ quan ban hành: | Ủy ban nhân dân tỉnh Bắc Giang |
Số công báo:
Số công báo là mã số ấn phẩm được đăng chính thức trên ấn phẩm thông tin của Nhà nước. Mã số này do Chính phủ thống nhất quản lý.
|
Đang cập nhật |
| Số hiệu: | 30/2021/QĐ-UBND | Ngày đăng công báo: | Đang cập nhật |
| Loại văn bản: | Quyết định | Người ký: | Phan Thế Tuấn |
|
Ngày ban hành:
Ngày ban hành là ngày, tháng, năm văn bản được thông qua hoặc ký ban hành.
|
15/07/2021 |
Ngày hết hiệu lực:
Ngày hết hiệu lực là ngày, tháng, năm văn bản chính thức không còn hiệu lực (áp dụng).
|
Đã biết
|
|
Áp dụng:
Ngày áp dụng là ngày, tháng, năm văn bản chính thức có hiệu lực (áp dụng).
|
Đã biết
|
Tình trạng hiệu lực:
Cho biết trạng thái hiệu lực của văn bản đang tra cứu: Chưa áp dụng, Còn hiệu lực, Hết hiệu lực, Hết hiệu lực 1 phần; Đã sửa đổi, Đính chính hay Không còn phù hợp,...
|
Đã biết
|
| Lĩnh vực: | Đầu tư, Đất đai-Nhà ở, Đấu thầu-Cạnh tranh |
TÓM TẮT QUYẾT ĐỊNH 30/2021/QĐ-UBND
Nội dung tóm tắt đang được cập nhật, Quý khách vui lòng quay lại sau!
Tải Quyết định 30/2021/QĐ-UBND
|
ỦY BAN NHÂN DÂN TỈNH BẮC GIANG ________ Số: 30/2021/QĐ-UBND |
CỘNG HOÀ XÃ HỘI CHỦ NGHĨA VIỆT NAM Độc lập - Tự do - Hạnh phúc ___________________ Bắc Giang, ngày 15 tháng 7 năm 2021 |
QUYẾT ĐỊNH
Ban hành Quy định một số nội dung về quản lý và trình tự thực hiện đầu tư dự án khu đô thị, khu dân cư không sử dụng vốn nhà nước thông qua hình thức đấu giá quyền sử dụng đất, đấu thầu lựa chọn nhà đầu tư trên địa bàn tỉnh Bắc Giang
__________
ỦY BAN NHÂN DÂN TỈNH BẮC GIANG
Căn cứ Luật Tổ chức chính quyền địa phương ngày 19 tháng 6 năm 2015;
Căn cứ Luật Sửa đổi bổ sung một số điều của Luật Tổ chức Chính phủ và Luật Tổ chức chính quyền địa phương ngày 22 tháng 11 năm 2019;
Căn cứ Luật Ban hành văn bản quy phạm pháp luật ngày 22 tháng 6 năm 2015;
Căn cứ Luật Sửa đổi bổ sung một số điều của Luật Ban hành văn bản quy phạm pháp luật ngày 18 tháng 6 năm 2020;
Căn cứ Luật Giá ngày 20 tháng 6 năm năm 2012;
Căn cứ Luật Đấu thầu ngày 26 tháng 11 năm 2013;
Căn cứ Luật Đất đai ngày 29 tháng 11 năm 2013;
Căn cứ Luật Xây dựng ngày 18 tháng 6 năm 2014;
Căn cứ Luật Nhà ở ngày 25 tháng 11 năm 2014;
Căn cứ Luật Kinh doanh bất động sản ngày 25 tháng 11 năm 2014;
Căn cứ Luật Quản lý thuế ngày 13 tháng 6 năm 2019;
Căn cứ Luật Sửa đổi, bổ sung một số điều của Luật Xây dựng ngày 17 tháng 6 năm 2020;
Căn cứ Luật Đầu tư ngày 17 tháng 6 năm 2020;
Căn cứ Nghị định số 89/2013/NĐ-CP ngày 06 tháng 8 năm 2013 của Chính phủ Quy định chi tiết thi hành một số điều của Luật Giá về thẩm định giá;
Căn cứ Nghị định số 43/2014/NĐ-CP ngày 15 tháng 5 năm 2014 của Chính phủ Quy định chi tiết thi hành một số điều của Luật Đất đai;
Căn cứ Nghị định số 44/2014/NĐ-CP ngày 15 tháng 5 năm 2014 của Chính phủ quy định về giá đất;
Căn cứ Nghị định số 45/2014/NĐ-CP ngày 15 tháng 5 năm 2014 của Chính phủ quy định về thu tiền sử dụng đất;
Căn cứ Nghị định số 46/2014/NĐ-CP ngày 15 tháng 5 năm 2014 của Chính phủ quy định về thu tiền thuê đất, thuê mặt nước;
Căn cứ Nghị định số 01/2017/NĐ-CP ngày 06 tháng 01 năm 2017 của Chính phủ về sửa đổi, bổ sung một số nghị định quy định chi tiết thi hành Luật Đất đai;
Căn cứ Nghị định số 123/2017/NĐ-CP ngày 14 tháng 11 năm 2017 của Chính phủ về sửa đổi, bổ sung một số điều của các Nghị định quy định về thu tiền sử dụng đất, thu tiền thuê đất, thuê mặt nước;
Căn cứ Nghị định số 25/2020/NĐ-CP ngày 28 tháng 02 năm 2020 của Chính phủ Quy định chi tiết một số điều của Luật Đấu thầu về lựa chọn nhà đầu tư;
Căn cứ Nghị định số 126/2020/NĐ-CP ngày 19 tháng 10 năm 2020 của Chính phủ quy định chi tiết một số điều của Luật Quản lý thuế;
Căn cứ Nghị định số 148/2020/NĐ-CP ngày 18 tháng 12 năm 2020 của Chính phủ sửa đổi, bổ sung một số Nghị định hướng dẫn Luật Đất đai;
Căn cứ Nghị định số 06/2021/NĐ-CP ngày 26 tháng 01 năm 2021 của Chính phủ về về quản lý chất lượng, thi công xây dựng và bảo trì công trình xây dựng;
Căn cứ Nghị định số 10/2021/NĐ-CP ngày 09 tháng 02 năm 2021 của Chính phủ về quản lý chi phí đầu tư xây dựng;
Căn cứ Nghị định số 15/2021/NĐ-CP ngày 03 tháng 3 năm 2021 của Chính phủ quy định chi tiết một số nội dung về quản lý dự án đầu tư xây dựng;
Căn cứ Nghị định số 30/2021/NĐ-CP ngày 26 tháng 3 năm 2021 của Chính phủ sửa đổi, bổ sung một số điều của Nghị định số 99/2015/NĐ-CP ngày 02 tháng 10 năm 2015 của Chính phủ hướng dẫn Luật Nhà ở;
Căn cứ Nghị định số 31/2021/NĐ-CP ngày 26 tháng 3 năm 2021 của Chính phủ quy định chi tiết và hướng dẫn thi hành một số điều của Luật Đầu tư;
Căn cứ Nghị định số 35/2021/NĐ-CP ngày 29 tháng 3 năm 2021 của Chính phủ quy định chi tiết và hướng dẫn thi hành Luật Đầu tư theo phương thức đối tác công tư;
Căn cứ Nghị định số 29/2021/NĐ-CP ngày 26 tháng 3 năm 2021 của Chính phủ về trình tự, thủ tục thẩm định dự án quan trọng quốc gia và giám sát, đánh giá đầu tư;
Căn cứ Thông tư số 76/2014/TT-BTC ngày 16 tháng 6 năm 2014 của Bộ trưởng Bộ Tài chính hướng dẫn một số điều của Nghị định số 45/2014/NĐ-CP ngày 15 tháng 5 năm 2014 của Chính phủ quy định về thu tiền sử dụng đất;
Căn cứ Thông tư số 77/2014/TT-BTC ngày 16 tháng 6 năm 2014 của Bộ trưởng Bộ Tài chính hướng dẫn một số điều của Nghị định số 46/2014/NĐ-CP ngày 15 tháng 5 năm 2014 của Chính phủ quy định về thu tiền thuê đất, thuê mặt nước;
Căn cứ Thông tư số 36/2014/TT-BTNMT ngày 30 tháng 6 năm 2014 của Bộ trưởng Bộ Tài nguyên và Môi trường quy định chi tiết phương pháp định giá đất; xây dựng, điều chỉnh bảng giá đất; định giá đất cụ thể và tư vấn xác định giá đất;
Căn cứ Thông tư liên tịch số 87/2016/TTLT-BTC-BTNMT ngày 22 tháng 6 tháng 2016 của Bộ trưởng Bộ Tài chính - Bộ trưởng Bộ Tài nguyên và Môi trường hướng dẫn việc thẩm định dự thảo bảng giá đất của Hội đồng thẩm định bảng giá đất, thẩm định phương án giá đất của Hội đồng thẩm định giá đất;
Căn cứ Thông tư số 332/2016/TT-BTC ngày 26 tháng 12 năm 2016 của Bộ trưởng Bộ Tài chính Sửa đổi, bổ sung một số điều của Thông tư số 76/2014/TT-BTC ngày 16 tháng 6 năm 2014 của Bộ Tài chính hướng dẫn một số điều của Nghị định số 45/2014/NĐ-CP ngày 15 tháng 5 năm 2014 của Chính phủ quy định về thu tiền sử dụng đất;
Căn cứ Thông tư số 333/2016/TT-BTC ngày 26 tháng 12 năm 2016 của Bộ trưởng Bộ Tài chính Sửa đổi, bổ sung một số điều của Thông tư số 77/2014/TT-BTC ngày 16 tháng 6 năm 2014 của Bộ Tài chính hướng dẫn một số điều của Nghị định số 46/2014/NĐ-CP ngày 15 tháng 5 năm 2014 của Chính phủ quy định về thu tiền thuê đất, thuê mặt nước;
Căn cứ Thông tư số 06/2020/TT-BKHĐT ngày 18 tháng 9 năm 2020 của Bộ trưởng Bộ Kế hoạch và Đầu tư về hướng dẫn thực hiện Nghị định số 25/2020/NĐ-CP ngày 28 tháng 02 năm 2020 của Chính phủ quy định chi tiết thi hành một số điều của Luật Đấu thầu về lựa chọn nhà đầu tư;
Căn cứ Thông tư số 10/2020/TT-BTC ngày 02 tháng 02 năm 2020 của Bộ trưởng Bộ Tài chính quy định về quyết toán dự án hoàn thành sử dụng nguồn vốn nhà nước;
Theo đề nghị của Giám đốc Sở Kế hoạch và Đầu tư tại Tờ trình số 42/TTr-SKHĐT ngày 14 tháng 6 năm 2021.
Theo đề nghị của Giám đốc Sở Kế hoạch và Đầu tư tại Tờ trình số 42/TTr-SKHĐT ngày 14 tháng 6 năm 2021.
QUYẾT ĐỊNH:
Điều 1. Ban hành kèm theo Quyết định này Quy định một số nội dung về quản lý và trình tự thực hiện đầu tư dự án khu đô thị, khu dân cư không sử dụng vốn nhà nước thông qua hình thức đấu giá quyền sử dụng đất, đấu thầu lựa chọn nhà đầu tư trên địa bàn tỉnh Bắc Giang.
Điều 2. Quyết định này có hiệu lực từ ngày 01 tháng 8 năm 2021 và thay thế Quyết định số 17/2019/QĐ-UBND ngày 22/7/2019 của UBND tỉnh Quy định một số nội dung về quản lý và thực hiện dự án khu đô thị, khu dân cư nông thôn mới không sử dụng vốn nhà trên địa bàn tỉnh Bắc Giang và Quyết định số 15/2020/QĐ-UBND ngày 10/6/2020 của UBND tỉnh Sửa đổi, bổ sung một số điều của Quy định một số nội dung về quản lý và thực hiện dự án khu đô thị, khu dân cư nông thôn mới không sử dụng vốn nhà nước thông qua hình thức đấu thầu lựa chọn nhà đầu tư trên địa bàn tỉnh Bắc Giang ban hành kèm theo Quyết định số 17/2019/QĐ-UBND ngày 22/7/2019 của Ủy ban nhân dân tỉnh Bắc Giang.
Điều 3. Thủ trưởng các cơ quan, đơn vị thuộc UBND tỉnh, Cục trưởng Cục Thuế tỉnh, Chủ tịch UBND cấp huyện và các tổ chức, cá nhân có liên quan chịu trách nhiệm thi hành Quyết định này./.
|
Nơi nhận: - Như Điều 3; - Vụ Pháp luật- Văn phòng Chính phủ; - Vụ Pháp chế của các Bộ: Kế hoạch và Đầu tư, Xây dựng, Tài chính, Tài nguyên và Môi trường; - Cục Kiểm tra văn bản QPPL- Bộ Tư pháp; - TT. Tỉnh ủy, TT. HĐND tỉnh; - Chủ tịch, các PCT UBND tỉnh; - VP Tỉnh ủy, các Ban của Đảng; - VP ĐĐBQH&HĐND tỉnh, các Ban của HĐND tỉnh; - Ủy ban Mặt trận Tổ quốc Việt Nam tỉnh; - Văn phòng UBND tỉnh: + LĐVP, các phòng; + Cổng thông tin điện tử; + Lưu: VT, XDTuấn. |
TM. ỦY BAN NHÂN DÂN KT. CHỦ TỊCH PHÓ CHỦ TỊCH
Phan Thế Tuấn
|
|
ỦY BAN NHÂN DÂN TỈNH BẮC GIANG ____________
|
CỘNG HOÀ XÃ HỘI CHỦ NGHĨA VIỆT NAM Độc lập - Tự do- Hạnh phúc _____________________
|
QUY ĐỊNH
Một số nội dung về quản lý và trình tự thực hiện đầu tư dự án khu đô thị, khu dân cư không sử dụng vốn nhà nước thông qua hình thức đấu giá quyền sử dụng đất, đấu thầu lựa chọn nhà đầu tư trên địa bàn tỉnh Bắc Giang
(Ban hành kèm theo Quyết định số: 30/2021/QĐ-UBND ngày 15 tháng 7 năm 2021 của UBND tỉnh Bắc Giang)
______________
Chương I
QUY ĐỊNH CHUNG
Điều 1. Phạm vi điều chỉnh
1. Quy định này quy định một số nội dung về quản lý và trình tự thực hiện đầu tư dự án khu đô thị, khu dân cư thuộc thẩm quyền chấp thuận chủ trương đầu tư của UBND tỉnh không sử dụng vốn nhà nước thông qua hình thức đấu giá quyền sử dụng đất, đấu thầu lựa chọn nhà đầu tư trên địa bàn tỉnh Bắc Giang.
2. Những nội dung khác không quy định trong Quy định này thì thực hiện theo quy định của pháp luật hiện hành.
Điều 2. Đối tượng áp dụng
Quy định này áp dụng đối với các tổ chức, cá nhân có liên quan đến hoạt động quản lý, thực hiện dự án thuộc phạm vi điều chỉnh tại Khoản 1, Điều 1 Quy định này.
Điều 3. Quy định về viết tắt
1. Hội đồng nhân dân viết tắt là HĐND.
2. Ủy ban nhân dân viết tắt là UBND.
3. Dự án đầu tư xây dựng khu đô thị, khu dân cư viết tắt là dự án.
4. Báo cáo nghiên cứu khả thi đầu tư xây dựng viết tắt là BCNCKT.
5. Nghị định số 89/2013/NĐ-CP ngày 06/8/2013 của Chính phủ quy định chi tiết thi hành một số điều của Luật giá về thẩm định giá viết tắt là NĐ 89/CP.
6. Nghị định số 44/2014/NĐ-CP ngày 15/5/2014 của Chính phủ quy định về giá đất viết tắt là NĐ 44/CP.
7. Nghị định số 25/2020/NĐ-CP ngày 28/02/2020 của Chính phủ quy định chi tiết một số điều của Luật Đấu thầu về lựa chọn nhà đầu tư viết tắt là NĐ 25/CP.
8. Nghị định số 31/2021/NĐ-CP ngày 26/3/2021 của Chính phủ quy định chi tiết và hướng dẫn thi hành một số điều của Luật Đầu tư viết tắt là NĐ 31/CP;
9. Thông tư số 36/2014/TT-BTNMT ngày 30/6/2014 của Bộ Tài nguyên và Môi trường quy định chi tiết phương pháp xác định giá đất; xây dựng, điều chỉnh bảng giá đất; định giá đất cụ thể và tư vấn xác định giá đất viết tắt là Thông tư 36/TT-BTNMT.
10. Thông tư số 76/2014/TT-BTC ngày 16/6/2014 của Bộ Tài chính hướng dẫn một số điều của Nghị định số 45/2014/NĐ-CP ngày 15/5/2014 của Chính phủ quy định về thu tiền sử dụng đất viết tắt là Thông tư 76/TT-BTC.
11. Thông tư số 06/2020/TT-BKHĐT ngày 18/9/2020 của Bộ Kế hoạch và Đầu tư về hướng dẫn thực hiện Nghị định số 25/2020/NĐ-CP ngày 28/02/2020 của Chính phủ quy định chi tiết thi hành một số điều của Luật Đấu thầu về lựa chọn nhà đầu tư viết tắt là Thông tư 06/TT-BKHĐT.
Điều 4. Trình tự thực hiện đầu tư khu đô thị, khu dân cư theo hình thức đấu giá quyền sử dụng đất lựa chọn nhà đầu tư
1. Lập, thẩm định, phê duyệt quy hoạch chi tiết tỷ lệ 1/500 (đối với khu vực chưa có quy hoạch chi tiết tỷ lệ 1/500).
2. Lập, thẩm định, phê duyệt và công bố danh mục dự án thu hút đầu tư.
3. Lập, thẩm định, phê duyệt và triển khai thực hiện dự án tạo quỹ đất sạch để đấu giá quyền sử dụng đất thực hiện dự án khu đô thị, khu dân cư.
4. Lập, thẩm định, quyết định chấp thuận chủ trương đầu tư dự án.
5. Lập, thẩm định, quyết định phê duyệt giá khởi điểm và phương án đấu giá; tổ chức đấu giá quyền sử dụng đất lựa chọn nhà đầu tư.
6. Triển khai thực hiện dự án:
a) Giao đất, cho thuê đất để nhà đầu tư triển khai thực hiện dự án;
a) Lập, thẩm định, phê duyệt Báo cáo đánh giá tác động môi trường (nếu có);
b) Lập, thẩm định, phê duyệt BCNCKT;
c) Lập, thẩm định, phê duyệt thiết kế, dự toán công trình;
d) Cấp phép xây dựng (trừ trường hợp được miễn cấp giấy phép xây dựng);
đ) Tổ chức thi công xây dựng, nghiệm thu công trình.
7. Quyết toán, chuyển giao quản lý công trình cho nhà nước (nếu có) theo quyết định phê duyệt chấp thuận chủ trương đầu tư và hợp đồng dự án.
Điều 5. Trình tự thực hiện đầu tư khu đô thị, khu dân cư theo hình thức đấu thầu lựa chọn nhà đầu tư
1. Lập, thẩm định, phê duyệt quy hoạch chi tiết tỷ lệ 1/500 (đối với khu vực chưa có quy hoạch chi tiết tỷ lệ 1/500).
2. Lập, thẩm định, phê duyệt và công bố danh mục dự án thu hút đầu tư.
3. Lập, thẩm định, quyết định chấp thuận chủ trương đầu tư dự án.
4. Đấu thầu rộng rãi lựa chọn nhà đầu tư.
5. Triển khai thực hiện dự án:
a) Lập, thẩm định, phê duyệt Báo cáo đánh giá tác động môi trường;
b) Lập, thẩm định, phê duyệt BCNCKT;
c) Thực hiện thu hồi đất, bồi thường giải phóng mặt bằng; giao đất, cho thuê đất;
d) Lập, thẩm định, phê duyệt thiết kế, dự toán công trình;
đ) Cấp phép xây dựng (trừ trường hợp được miễn cấp giấy phép xây dựng);
e) Tổ chức thi công xây dựng, nghiệm thu công trình.
6. Quyết toán, chuyển giao quản lý công trình cho nhà nước (nếu có) theo quyết định phê duyệt chấp thuận chủ trương đầu tư và hợp đồng dự án.
Chương II
MỘT SỐ QUY ĐỊNH CỤ THỂ
Điều 6. Lập, thẩm định, phê duyệt và công bố danh mục dự án thu hút đầu tư.
1. Căn cứ lập danh mục danh mục dự án thu hút đầu tư:
a) Quy hoạch sử dụng đất cấp huyện;
b) Quy hoạch chi tiết xây dựng tỷ lệ 1/500;
c) Chương trình phát triển đô thị, hồ sơ đề xuất khu vực phát triển đô thị; chương trình, kế hoạch phát triển nhà ở (nếu có);
d) Các quy hoạch khác có liên quan (nếu có).
2. Quy trình thực hiện:
a) Trước ngày 20/3 và 20/9 hằng năm, UBND cấp huyện căn cứ các quy định tại khoản 1 Điều này đề xuất danh mục dự án cần thu hút đầu tư gửi Sở Xây dựng. Nội dung đề xuất danh mục dự án cần thu hút đầu tư gồm: Sự cần thiết đề xuất danh mục dự án thu hút đầu tư, tên dự án, quy mô đầu tư, địa điểm thực hiện, hiện trạng sử dụng đất; các yêu cầu đối với nhà đầu tư (nếu có); trường hợp dự án thuộc địa bàn của 02 huyện trở lên thì đơn vị chủ trì đề xuất là UBND cấp huyện có phần diện tích đất lớn nhất trong dự án, sau khi có văn bản thống nhất của các địa phương còn lại;
b) Sở Xây dựng chủ trì, phối hợp với các cơ quan rà soát, thẩm định, tổng hợp trình UBND tỉnh phê duyệt danh mục dự án cần thu hút đầu tư; thời gian gửi báo cáo tổng hợp trước ngày 20/3 và 20/9 hằng năm;
c) UBND tỉnh phê duyệt danh mục dự án cần thu hút đầu tư.
3. Công bố danh mục dự án thu hút đầu tư
Trong thời hạn 05 ngày làm việc kể từ ngày Danh mục dự án thu hút đầu tư được phê duyệt: Văn phòng UBND tỉnh đăng tải lên Cổng thông tin điện tử của UBND tỉnh; Sở Kế hoạch và Đầu tư, Sở Tài nguyên và Môi trường, Sở Xây dựng và UBND cấp huyện đăng tải lên trang thông tin điện tử của cơ quan mình làm cơ sở để các nhà đầu tư nghiên cứu, đăng ký thực hiện các dự án.
Điều 7. Lập, thẩm định, phê duyệt và triển khai thực hiện dự án Tạo quỹ đất sạch để đấu giá quyền sử dụng đất thực hiện dự án khu đô thị, khu dân cư
1. Căn cứ danh mục dự án thu hút đầu tư đã được UBND tỉnh phê duyệt, UBND cấp huyện tổ chức lập, thẩm định, quyết định chủ trương đầu tư dự án Tạo quỹ đất sạch để đấu giá quyền sử dụng đất thực hiện dự án khu dân cư, khu đô thị.
2. Triển khai thực hiện dự án tạo quỹ đất sạch để đấu giá quyền sử dụng đất thực hiện dự án khu đô thị, khu dân cư:
a) Danh mục dự án cần thu hồi đất, phê duyệt dự án: UBND cấp huyện lập danh mục dự án cần thu hồi đất gửi Sở Tài nguyên và Môi trường (trường hợp dự án thực hiện trên địa bàn từ hai đơn vị cấp huyện trở lên thì phải tách phần diện tích thuộc thẩm quyền quản lý); Sở Tài nguyên và Môi trường chủ trì, phối hợp với các cơ quan liên quan thẩm định danh mục dự án cần thu hồi đất, trình UBND tỉnh; UBND tỉnh trình HĐND tỉnh thông qua danh mục dự án cần thu hồi đất; UBND cấp huyện lập, thẩm định, phê duyệt dự án tạo quỹ đất sạch để đấu giá quyền sử dụng đất thực hiện dự án khu đô thị, khu dân cư;
b) UBND cấp huyện thực hiện thu hồi đất, bồi thường giải phóng mặt bằng dự án tạo quỹ đất sạch để đấu giá quyền sử dụng đất thực hiện dự án khu đô thị, khu dân cư;
c) UBND cấp huyện quyết toán dự án;
d) UBND cấp huyện trình UBND tỉnh quyết định chuyển đổi mục đích sử dụng đất, giao đất cho Trung tâm Phát triển quỹ đất và Cụm công nghiệp cấp huyện để quản lý.
Điều 8. Lập, thẩm định, quyết định chấp thuận chủ trương đầu tư dự án
1. Căn cứ lập hồ sơ đề nghị chấp thuận chủ trương đầu tư:
a) Trường hợp đấu giá lựa chọn nhà đầu tư: Quyết định phê duyệt danh mục dự án thu hút đầu tư; giấy tờ chứng minh đất đã được bồi thường giải phóng mặt bằng; tài liệu giải trình khác (nếu có);
b) Trường hợp đấu thầu lựa chọn nhà đầu tư: Quyết định phê duyệt danh mục dự án thu hút đầu tư; danh mục dự án cần thu hồi đất được HĐND tỉnh thông qua; tài liệu giải trình khác (nếu có);
2. Hồ sơ đề nghị chấp thuận chủ trương đầu tư
Thực hiện theo quy định tại khoản 2 Điều 33 của Luật Đầu tư 2020 và khoản 2, khoản 3 của Điều 31 NĐ 31/CP.
Nội dung yêu cầu về vốn chủ sở hữu của nhà đầu tư để triển khai thực hiện dự án như sau: Đối với dự án có quy mô sử dụng đất dưới 20ha, vốn chủ sở của nhà đầu tư để thực hiện dự án không thấp hơn 30% tổng mức đầu tư dự án; đối với dự án có quy mô sử dụng đất từ 20ha trở lên, vốn chủ sở của nhà đầu tư để thực hiện dự án không thấp hơn 25% tổng mức đầu tư dự án.
3. Quy trình thực hiện thủ tục chấp thuận chủ trương đầu tư:
a) UBND cấp huyện lập hồ sơ đề xuất chấp thuận chủ trương đầu tư gửi Sở Kế hoạch và Đầu tư theo quy định (5 bộ hồ sơ);
b) Trong thời hạn 02 ngày làm việc kể từ ngày nhận được hồ sơ, Sở Kế hoạch và Đầu tư thông báo cho UBND cấp huyện để chỉnh sửa, bổ sung hồ sơ (nếu có). Trường hợp hồ sơ đã đầy đủ, hợp lệ, Sở Kế hoạch và Đầu tư có trách nhiệm gửi đến các cơ quan, đơn vị có liên quan để lấy ý kiến tham gia thẩm định;
c) Trong thời hạn 10 ngày kể từ khi nhận hồ sơ, cơ quan được đề nghị xin ý kiến phải tham gia đầy đủ các nội dung theo chức năng nhiệm vụ được giao, đảm bảo các quy định của nhà nước và thời gian theo quy định, gửi về Sở Kế hoạch và Đầu tư;
d) Trong thời hạn 17 ngày kể từ ngày nhận được Hồ sơ đề nghị chấp thuận chủ trương đầu tư, Sở Kế hoạch và Đầu tư lập báo cáo thẩm định trình UBND tỉnh phê duyệt chấp thuận chủ trương đầu tư dự án;
đ) UBND tỉnh xem xét quyết định chấp thuận hoặc không chấp thuận chủ trương đầu tư dự án, nêu rõ lý do.
Điều 9. Lập, thẩm định, quyết định phê duyệt giá khởi điểm và phương án đấu giá; tổ chức đấu giá quyền sử dụng đất lựa chọn nhà đầu tư
1. Lập phương án giá khởi điểm
UBND cấp huyện có trách nhiệm lập giá khởi điểm và phương án đấu giá quyền sử dụng đất lựa chọn nhà đầu tư, trình Sở Tài nguyên và Môi trường thẩm tra. Phương án giá khởi điểm đấu giá được lập theo quy định của pháp luật về đất đai và quy định tại Điều 15 Quy định này.
2. Phương án đấu giá quyền sử dụng đất bao gồm các nội dung chính:
a) Loại đất, địa chỉ, diện tích khu đất đấu giá;
b) Mục đích sử dụng đất, hình thức giao đất, cho thuê đất, thời hạn sử dụng đất;
c) Nội dung thực hiện dự án (theo quyết định chủ chương đầu tư);
d) Phương án giá khởi điểm;
đ) Dự kiến thời gian tổ chức thực hiện đấu giá;
e) Đối tượng và điều kiện được tham gia đấu giá (nội dung yêu cầu năng lực, kinh nghiệm của nhà đầu tư đủ điều kiện tham gia đấu giá thực hiện theo mẫu kèm theo Chương II, Phụ lục III, Thông tư 06/TT-BKHĐT);
g) Bước giá và khoản tiền đặt trước phải nộp khi tham gia đấu giá;
h) Hình thức đấu giá được áp dụng khi thực hiện cuộc bán đấu giá;
i) Các nội dung khác: Trách nhiệm của các cơ quan quản lý nhà nước; trách nhiệm của người trúng đấu giá; phương thức, thời hạn nộp tiền trúng đấu giá; phê duyệt kết quả trúng đấu giá.
3. Sở Tài nguyên và Môi trường thẩm định phương án đấu; chủ trì, phối hợp với các đơn vị có liên quan tổ chức thẩm tra, trình Hội đồng Thẩm định giá đất thẩm định giá khởi điểm. Sau khi có kết quả thẩm định của Hội đồng Thẩm định giá đất, Sở Tài nguyên và Môi trường hoàn thiện hồ sơ trình UBND tỉnh phê duyệt.
4. UBND tỉnh phê duyệt giá khởi điểm và phương án đấu giá quyền sử dụng đất để lựa chọn nhà đầu tư dự án.
5. UBND cấp huyện tổ chức đấu giá quyền sử dụng đất để lựa chọn nhà đầu tư dự án theo quy định của pháp luật.
6. UBND tỉnh ủy quyền cho UBND cấp huyện phê duyệt kết quả trúng đấu giá, đàm phán, ký kết hợp đồng dự án sau khi có quyết định phê duyệt kết quả trúng đấu giá. Trong thời hạn 10 ngày kể từ ngày ký hợp đồng, UBND cấp huyện gửi Hợp đồng dự án về Sở Kế hoạch và Đầu tư, Sở Xây dựng, Sở Tài chính để theo dõi, giám sát.
Điều 10. Đấu thầu rộng rãi lựa chọn nhà đầu tư
1. UBND cấp huyện là Bên mời thầu, tổ chức lập kế hoạch lựa chọn nhà đầu tư, hồ sơ mời thầu, tổ chức đấu thầu lựa chọn nhà đầu tư và đề xuất nhà đầu tư trúng thầu. Khi lập hồ sơ mời thầu, bên mời thầu xác định giá trị ∆G, k theo công bố của UBND tỉnh làm căn cứ xác định giá sàn nộp ngân sách nhà nước (m3).
2. Thẩm định giá sàn nộp ngân sách nhà nước (m3) trong bước lập hồ sơ mời thầu được thực hiện như sau:
a) UBND cấp huyện xác định giá sàn nộp ngân sách nhà nước m3, gửi Sở Tài chính để thẩm định;
b) Trong thời hạn 07 ngày kể từ ngày nhận đủ hồ sơ, Sở Tài chính thẩm định giá trị m3, gửi UBND cấp huyện để làm cơ sở lập hồ sơ mời thầu dự án.
3. Trình tự, thủ tục triển khai thực hiện đấu thầu rộng rãi lựa chọn nhà đầu tư dự án theo quy định tại Chương IV, NĐ 25/CP.
4. UBND tỉnh ủy quyền cho UBND cấp huyện thực hiện đàm phán, ký kết hợp đồng dự án với nhà đầu tư sau khi có kết quả phê duyệt lựa chọn nhà đầu tư. Trong thời hạn 10 ngày kể từ ngày ký hợp đồng, UBND cấp huyện gửi Hợp đồng dự án về Sở Kế hoạch và Đầu tư, Sở Xây dựng, Sở Tài chính để theo dõi, giám sát.
Điều 11. Quy định áp dụng giá trị ∆G, k để xác định giá sàn nộp ngân sách nhà nước (m3) để thực hiện đấu thầu lựa chọn nhà đầu tư
1. UBND cấp huyện chịu trách nhiệm rà soát, thống kê kết quả trúng đấu giá quyền sử dụng đất thành công trong hai (02) năm liền kề của năm mời thầu đối với đất ở, trong năm (05) năm liền kề của năm mời thầu đối với đất thương mại dịch vụ cho thuê trả tiền thuê đất một lần cho cả thời gian thuê, báo cáo gửi Sở Tài chính trước ngày 05/12 hàng năm để tổng hợp xác định thông số đầu vào để tính giá trị ∆G, k.
2. Trước ngày 31/12 hàng năm, Sở Tài chính chủ trì, phối hợp với các cơ quan, đơn vị có liên quan tham mưu cho UBND tỉnh xác định giá trị ∆G, k được áp dụng từ ngày 01/01 đến ngày 31/12 của năm lập hồ sơ mời thầu.
Trong quá trình thực hiện, trường hợp giá trị gia tăng sau trúng đấu giá tăng hoặc giảm trung bình từ 20% trở lên so với giá trị ∆G công bố thì UBND cấp huyện có trách nhiệm báo cáo Sở Tài chính để xem xét, tham mưu điều chỉnh cho phù hợp.
3. Giá trị ∆G, k được xác định như sau:
a) Đối với đất giao có thu tiền sử dụng đất: ∆G xác định trên cơ sở tham chiếu toàn bộ kết quả trúng đấu giá quyền sử dụng đất giao có thu tiền sử dụng đất trong thời gian 02 năm liền kề với năm lập hồ sơ mời thầu của từng huyện, thành phố để xác định riêng cho từng địa bàn (số liệu trúng đấu giá hàng năm tính từ ngày 01/12 năm trước đến hết ngày 30/11 của năm sau);
b) Đối với đất thương mại dịch vụ: ∆G xác định trên cơ sở tham chiếu toàn bộ kết quả trúng đấu giá quyền sử dụng đất thương mại dịch vụ thu trả tiền thuê đất một lần trong thời gian 05 năm liền kề với năm lập hồ sơ mời thầu trên địa bàn toàn tỉnh để áp dụng chung cho các địa bàn (số liệu trúng đấu giá hàng năm tính từ ngày 01/12 năm trước đến hết ngày 30/11 của năm sau);
c) Hệ số điều chỉnh (k) đối với đất giao có thu tiền sử dụng đất được xác định phù hợp với điều kiện phát triển kinh tế - xã hội từng khu vực, từng vùng để áp dụng cho từng địa bàn thuộc các huyện, thành phố;
d) Giá trị (∆G x k) đất thương mại dịch vụ bằng 60% giá trị (∆G x k) đất giao có thu tiền sử dụng đất;
đ) Đối với dự án nằm trên địa bàn từ hai huyện, thành phố trở lên thì ∆G, k được xác định theo địa bàn có giá trị m3 cao nhất.
Điều 12. Nộp ngân sách nhà nước giá trị (M3) của nhà đầu tư trúng thầu
1. Trong thời hạn 10 ngày kể từ ngày ký kết hợp đồng dự án, UBND huyện có văn bản cung cấp thông tin giá trị M3 của nhà đầu tư trúng thầu gửi Cục Thuế tỉnh (văn bản cung cấp thông tin gồm các nội dung: Tên dự án, địa điểm thực hiện dự án, nhà đầu tư trúng thầu, địa chỉ, mã số thuế, giá trị nộp ngân sách nhà nước M3).
2. Trong thời hạn 05 ngày kể từ ngày UBND tỉnh phê duyệt giá đất, tiền sử dụng đất (đợt 1), Cục Thuế tỉnh gửi văn bản thông báo về việc nộp ngân sách nhà nước giá trị M3 cho nhà đầu tư trúng thầu dự án.
3. Trong thời hạn 30 ngày kể từ ngày Cục Thuế tỉnh ban hành thông báo nộp ngân sách nhà nước giá trị M3 cho nhà đầu tư trúng thầu dự án, Nhà đầu tư trúng thầu có trách nhiệm nộp một lần toàn bộ giá trị M3 vào ngân sách nhà nước. Quá thời hạn quy định nêu trên, Nhà đầu tư trúng thầu chưa nộp đủ số tiền theo thông báo của Cục Thuế tỉnh thì phải nộp tiền chậm nộp đối với số tiền chưa nộp theo mức quy định của pháp luật về quản lý thuế.
Điều 13. Lập, thẩm định, phê duyệt BCNCKT
1. Chủ đầu tư tổ chức lập BCNCKT để thẩm định, phê duyệt.
2. Thẩm định BCNCKT được thực hiện như sau:
a) Chủ đầu tư tổ chức thẩm định BCNCKT đối với nội dung của người quyết định đầu tư; đồng thời gửi hồ sơ đến cơ quan chuyên môn thuộc Bộ Xây dựng (đối với dự án nhóm A, dự án đầu tư xây dựng có công trình cấp đặc biệt, cấp I), Sở Xây dựng (đối với dự án nhóm B, C, dự án đầu tư xây dựng có công trình từ cấp II trở xuống) để thẩm định theo quy định;
b) Sở Xây dựng thẩm định các nội dung của cơ quan chuyên môn về xây dựng đối với dự án nhóm B, C, dự án đầu tư xây dựng có công trình từ cấp II trở xuống, gửi kết quả cho chủ đầu tư.
3. Căn cứ chủ trương đầu tư được phê duyệt, kết quả thẩm định của cơ quan chuyên môn về xây dựng, Chủ đầu tư dự án quyết định phê duyệt BCNCKT.
Điều 14. Lập, thẩm định, phê duyệt thiết kế, dự toán công trình
1. Chủ đầu tư tổ chức lập thiết kế triển khai sau thiết kế cơ sở, dự toán để tổ chức thẩm định, phê duyệt.
Trong quá trình lập dự toán, chủ đầu tư tham khảo giá vật tư, vật liệu xây dựng, thiết bị do Liên Sở Xây dựng - Tài chính công bố. Trường hợp công trình sử dụng các loại vật tư, vật liệu xây dựng, thiết bị chưa có trong công bố giá của Liên Sở Xây dựng - Tài chính, chủ đầu tư gửi văn bản đến Sở Xây dựng để xin ý kiến về giá; Sở Xây dựng chủ trì, phối hợp với Sở Tài chính xem xét, cho ý kiến để chủ đầu tư làm căn cứ lập, thẩm định, phê duyệt dự toán công trình.
2. Chủ đầu tư gửi hồ sơ thiết kế triển khai sau thiết kế cơ sở đến Sở Xây dựng để thẩm định các nội dung của cơ quan chuyên môn về xây dựng.
3. Chủ đầu tư quyết định phê duyệt thiết kế triển khai sau thiết kế cơ sở, dự toán công trình. Trong thời hạn 05 ngày làm việc kể từ khi phê duyệt thiết kế triển khai sau thiết kế cơ sở, dự toán công trình, chủ đầu tư gửi hồ sơ đến Sở Xây dựng, Sở Tài chính, UBND cấp huyện để theo dõi, quản lý.
Điều 15. Xác định giá đất để tính thu tiền sử dụng đất, tiền thuê đất
Phương pháp xác định giá đất để tính tiền sử dụng đất, tiền thuê đất thực hiện theo quy định tại Thông tư 36/TT-BTNMT. Trường hợp áp dụng phương pháp thặng dư để định giá đất, tính tiền sử dụng đất khi nhà đầu tư được Nhà nước giao đất có thu tiền sử dụng đất thực hiện dự án đầu tư thông qua hình thức đấu thầu hoặc xác định giá khởi điểm đấu giá quyền sử dụng đất giao có thu tiền sử dụng đất để thực hiện dự án đầu tư thông qua hình thức đấu giá, mà một số chỉ tiêu tính toán khi áp dụng phương pháp thặng dư trong Thông tư 36/TT-BTNMT chưa quy định cụ thể thì thực hiện như sau:
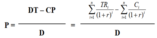
1. Công thức xác định giá đất tính tiền sử dụng đất:

Trong đó:
a) P: Giá đất của thửa đất cần định giá;
b) D: Diện tích thửa đất cần định giá (diện tích đất giao có thu tiền sử dụng đất để thực hiện dự án được xác định tại quyết định chấp thuận chủ trương đầu tư dự án theo quy hoạch chi tiết xây dựng tỷ lệ 1/500 được duyệt);
c) DT: Tổng doanh thu phát triển giả định của dự án;
d) CP: Tổng chi phí phát triển ước tính của dự án;
đ) TRi: Doanh thu năm thứ i của dự án; TRi = Tổng doanh thu/n (n là quy ước số năm thực hiện dự án và được quy định tại điểm h, khoản 1, Điều này);
e) Ci: Chi phí năm thứ i của dự án;
g) r: Tỷ lệ chiết khấu (tính theo lãi suất cho vay trung hạn bình quân loại tiền vay Việt Nam đồng của 3 ngân hàng thương mại trên địa bàn để thực hiện dự án bất động sản, tại thời điểm có quyết định giao đất của cơ quan nhà nước có thẩm quyền);
h) n: Số năm thực hiện dự án; n được tính kể từ thời điểm có quyết định giao đất và được xác định như sau:
Đối với phần diện tích đất giao có thu tiền sử dụng đất theo quy hoạch chi tiết 1/500 được sử dụng vào mục đích xây dựng, kinh doanh theo hình thức phân lô bán nền, xây dựng nhà gắn liền với quyền sử dụng đất với quy mô sử dụng đất của dự án dưới 10ha: n=1 năm; từ 10 ha đến dưới 20 ha: n=2 năm; từ 20 ha đến dưới 30 ha: n=3 năm; từ 30 ha đến dưới 40 ha: n=4 năm; từ 40 ha đến dưới 50 ha: n=5 năm và từ 50 ha trở lên: n=6.
Đối với phần diện tích đất giao có thu tiền sử dụng đất theo quy hoạch chi tiết 1/500 được sử dụng vào mục đích xây dựng các tòa nhà chung cư, hỗn hợp cao tầng; sản phẩm kinh doanh là căn hộ chung cư, giá thuê sàn thương mại thời hạn thực hiện dự án (n) theo thời hạn quy định tại quyết định giao đất (trong đó đối phần đầu tư và kinh doanh chung cư: quy mô tầng cao dưới 15 tầng: n=2 năm; từ 15 tầng trở lên: n=3 năm; thời gian đầu tư xây dựng: n-1 năm).
i) Ước tính tổng doanh thu phát triển giả định của khu đất thực hiện dự án được tính trên cơ sở tổng doanh thu chuyển nhượng quyền sử dụng đất ở, tài sản gắn liền với quyền sử dụng đất (đối với các tuyến phố nhà liền kề xây thô), giá trị chuyển nhượng căn hộ chung cư, giá thuê sàn thương mại (đối với các thửa đất quy hoạch đất ở chung cư, đất ở hỗn hợp thuộc dự án mà Chủ đầu tư dự án trực tiếp đầu tư) theo quy hoạch chi tiết 1/500 được duyệt. Giá đất ở để xác định giá trị quyền sử dụng đất ở, giá tài sản gắn liền với quyền sử dụng đất, giá trị chuyển nhượng căn hộ chung cư, giá thuê sàn thương mại được xác định bằng phương pháp so sánh trực tiếp, theo nguyên tắc phù hợp với giá phổ biến trên thị trường được chuyển nhượng thành công hoặc giá trúng đấu giá theo quy định, nhưng không được thấp hơn giá đất ở do UBND tỉnh quy định nhân với hệ số điều chỉnh giá đất.
k) Ước tính tổng chi phí phát triển giả định của khu đất thực hiện dự án, bao gồm:
Tổng chi phí xây dựng, chi phí thiết bị, chi phí tư vấn đầu tư xây dựng, chi phí quản lý dự án, chi phí khác (bao gồm cả chi phí bảo vệ đất trồng lúa), chi phí dự phòng (kí hiệu lần lượt là XD, TB, TV, QLDA, CK, DP) được xác định trong quyết định chấp thuận chủ trương dự án của UBND tỉnh (không bao gồm thuế giá trị gia tăng, lãi vay trong thời gian xây dựng); các chi phí này được phân bổ đều trong năm các năm thực hiện dự án (tổng chi phí xây dựng, chi phí thiết bị, chi phí tư vấn đầu tư xây dựng, chi phí quản lý dự án, chi phí khác, chi phí dự phòng năm thứ i của dự án = (XD + TB + TV + QLDA + CK + DP)/n); tổng chi phí xây dựng, chi phí thiết bị, chi phí tư vấn đầu tư xây dựng, chi phí quản lý dự án, chi phí khác, chi phí dự phòng năm thứ i của dự án xây dựng tòa nhà chung cư cao tầng, tòa nhà hỗn hợp cao tầng = (XD + TB + TV + QLDA + CK + DP)/(n-1);
Chi phí kinh doanh bao gồm: Chi phí quảng cáo, bán hàng, quản lý năm thứ i của dự án bằng 2% x{(XD + TB + TV + QLDA + CK)/n}; chi phí quảng cáo, bán hàng, quản lý năm thứ i của dự án xây dựng tòa nhà chung cư cao tầng, tòa nhà hỗn hợp cao tầng 2% x{(XD + TB + TV + QLDA + CK)/(n-1)}; lợi nhuận để lại cho nhà đầu tư có tính đến yếu tố rủi ro kinh doanh và chi phí vốn được tính bằng tỷ lệ phần trăm (%) nhân với (Tổng doanh thu phát triển giả định trừ đi Tổng chi phí phát triển ước tính không bao gồm lợi nhuận để lại cho nhà đầu tư). Mức tỷ lệ phần trăm (%) được quy định đối với trường hợp dự án thực hiện theo hình thức đấu thầu lựa chọn nhà đầu tư là 15% đối với dự án thực hiện trên địa bàn thành phố Bắc Giang và 20% đối với dự án thực hiện trên địa bàn các huyện còn lại; đối với trường hợp dự án thực hiện theo hình thức đấu giá quyền sử dụng đất là 10%.
2. Giá đất tính tiền thuê đất:
Giá đất để tính tiền thuê đất khi nhà đầu tư được Nhà nước cho thuê đất không thông qua hình thức đấu giá hoặc định giá khởi điểm đấu giá quyền sử dụng đất thuê khi nhà đầu tư được Nhà nước cho thuê đất thực hiện dự án đầu tư thông qua hình thức đấu giá xác định theo phương pháp quy định tại Điều 4 NĐ 44/CP, chương II Thông tư 36/TT-BTNMT, NĐ 89/CP và các văn bản khác của Nhà nước có liên quan.
Điều 16. Giám sát thực hiện hợp đồng dự án
1. UBND cấp huyện tổ chức giám sát việc thực hiện hợp đồng dự án; chủ trì giám sát thường xuyên về tiến độ và chất lượng thực hiện dự án; có quyền yêu cầu nhà đầu tư tạm dừng thi công và khắc phục những tồn tại để bảo đảm chất lượng công trình cũng như các yêu cầu trong hợp đồng dự án đã được ký kết.
2. Trong quá trình đàm phán hợp đồng dự án, đối với các công trình chuyển giao cho Nhà nước đã được xác định trong hợp đồng dự án, UBND cấp huyện và nhà đầu tư thương thảo để ưu tiên giao cho Ban Quản lý dự án đầu tư xây dựng cấp huyện nơi có dự án thực hiện gói thầu tư vấn giám sát thi công xây dựng; trường hợp Ban Quản lý dự án đầu tư xây dựng cấp huyện không đủ điều kiện thực hiện, UBND cấp huyện đề nghị nhà đầu tư ký hợp đồng tư vấn giám sát thi công xây dựng với Ban Quản lý dự án đầu tư xây dựng chuyên ngành của tỉnh hoặc các đơn vị sự nghiệp thuộc các Sở quản lý công trình xây dựng chuyên ngành có đủ năng lực thực hiện giám sát thi công xây dựng.
3. Chủ đầu tư tự chịu trách nhiệm về chất lượng công trình dự án.
Điều 17. Tổ chức thi công, nghiệm thu công trình
1. Chủ đầu tư tổ chức thi công công trình theo hồ sơ thiết kế bản vẽ thi công đã được phê duyệt.
2. Nghiệm thu hạng mục công trình, công trình xây dựng
a) Chủ đầu tư có trách nhiệm tổ chức và trực tiếp tham gia nghiệm thu hoàn thành toàn bộ hạng mục công trình, công trình xây dựng trước khi đưa vào sử dụng;
b) Sở Xây dựng thực hiện kiểm tra chất lượng công trình trong quá trình thi công và công tác nghiệm thu khi hoàn thành thi công xây dựng.
Điều 18. Lập, thẩm tra, phê duyệt quyết toán dự án hoàn thành
1. Chủ đầu tư lập Hồ sơ quyết toán dự án hoàn thành theo quy định của pháp luật xây dựng, gửi Sở Tài chính thẩm tra.
2. Sở Tài chính có trách nhiệm thẩm tra hồ sơ quyết toán dự án hoàn thành, kết quả gửi chủ đầu tư dự án.
3. Chủ đầu tư phê duyệt quyết toán dự án trên cơ sở kết quả thẩm tra của Sở Tài chính.
Trường hợp giá trị quyết toán công trình thấp hơn giá trị công trình theo hợp đồng dự án thì chủ đầu tư nộp phần chênh lệch vào ngân sách nhà nước; trường hợp giá trị quyết toán công trình cao hơn giá trị công trình theo hợp đồng dự án thì chủ đầu tư phải tự bù phần chênh lệch.
Khuyến khích chủ đầu tư tăng chi phí đầu tư để nâng cao chất lượng công trình, cảnh quan đô thị và tự chịu trách nhiệm về các khoản chi phí đầu tư tăng thêm đó.
Điều 19. Đất và các công trình hạ tầng kỹ thuật chuyển giao cho nhà nước
1. Các công trình hạ tầng kỹ thuật chuyển giao cho cơ quan quản lý Nhà nước theo hợp đồng dự án khi đã được tổ chức nghiệm thu chất lượng, được phê duyệt quyết toán và chủ đầu tư phải hoàn thành các nghĩa vụ tài chính với nhà nước sau quyết toán.
2. Trên cơ sở đất và các công trình hạ tầng kỹ thuật đảm bảm đủ điều kiện tiếp nhận theo quy định tại Khoản 1, Điều này, Chủ đầu tư lập hồ sơ bàn giao cho UBND cấp huyện tiếp nhận, quản lý. Hồ sơ bàn giao gồm: Văn bản tự nguyện chuyển giao quyền sở hữu tài sản cho nhà nước; văn bản của cơ quan có thẩm quyền về nghiệm thu chất lượng, đưa vào sử dụng của công trình; quyết định phê duyệt quyết toán dự án; thông báo thẩm tra quyết toán của Sở Tài chính; các văn bản xác nhận hoàn thành nghĩa vụ tài chính sau quyết toán của Sở Tài chính, hoàn thành nghĩa vụ tài chính về đất đai của Cục Thuế tỉnh.
3. UBND cấp huyện có trách nhiệm lập hồ sơ trình Sở Tài chính thẩm định trình Chủ tịch UBND tỉnh quyết định xác lập quyền sở hữu toàn dân. Hồ sơ gồm: Tờ trình xác lập quyền sở hữu toàn dân đối với tài sản kết cấu hạ tầng; bản sao hồ sơ bàn giao của Chủ đầu tư.
Căn cứ quyết định xác lập quyền sở hữu toàn dân của Chủ tịch UBND tỉnh, cơ quan tiếp nhận, quản lý theo quy định của pháp luật quản lý sử dụng tài sản công và phương án xử lý tài sản quy định trong quyết định.
Chương III
TỔ CHỨC THỰC HIỆN
Điều 20. Trách nhiệm của các cơ quan, đơn vị
1. Sở Kế hoạch và Đầu tư
a) Chủ trì phối hợp với các cơ quan chuyên môn của UBND tỉnh thẩm định hồ sơ đề nghị chấp thuận chủ trương đầu tư dự án;
b) Thẩm định kế hoạch lựa chọn nhà đầu tư, hồ sơ mời thầu, danh sách nhà đầu tư đáp ứng yêu cầu về kỹ thuật, kết quả lựa chọn nhà đầu tư;
c) Hướng dẫn UBND cấp huyện, nhà đầu tư triển khai thực hiện dự án đầu tư xây dựng khu đô thị, khu dân cư và dự án tạo quỹ đất sạch để đấu giá quyền sử dụng đất thực hiện dự án khu dân cư, khu đô thị;
d) Thực hiện các hoạt động giám sát đầu tư; giám sát hoạt động đấu thầu;
đ) Thực hiện các chức năng, nhiệm vụ theo thẩm quyền và các nhiệm vụ khác do Chủ tịch UBND tỉnh giao.
2. Sở Xây dựng
a) Thẩm định danh mục dự án thu hút đầu tư do UBND cấp huyện đề xuất; công bố danh mục dự án thu hút đầu sau khi được UBND tỉnh phê duyệt;
b) Thẩm định chương trình phát triển đô thị, chương trình phát triển nhà ở, hồ sơ đề xuất khu vực phát triển đô thị và kế hoạch phát triển nhà ở;
c) Tham gia thẩm định các nội dung trong hồ sơ đề xuất chấp thuận chủ trương đầu tư gồm: Sự phù hợp với quy hoạch xây dựng, quy mô đầu tư, tổng mức đầu tư và các nội dung khác thuộc lĩnh vực ngành quản lý;
d) Thẩm định BCNCKT; hồ sơ thiết kế triển khai sau thiết kế cơ sở đối với dự án nhóm B, C và dự án có công trình từ cấp II trở xuống theo trách nhiệm của cơ quan chuyên môn về xây dựng;
đ) Cấp Giấy phép xây dựng công trình thuộc dự án;
e) Thực hiện kiểm tra công tác nghiệm thu trong quá trình thi công và khi hoàn thành thi công xây dựng công trình;
g) Định kỳ hằng quý, lập báo cáo tiến độ các dự án khu đô thị, khu dân cư đã được phê duyệt kết quả lựa chọn nhà đầu tư trên địa bàn tỉnh gửi UBND tỉnh trước ngày 25 tháng cuối quý;
h) Thực hiện các chức năng, nhiệm vụ theo thẩm quyền và các nhiệm vụ khác do Chủ tịch UBND tỉnh giao.
3. Sở Tài chính
a) Tham gia thẩm định các nội dung trong hồ sơ đề xuất chấp thuận chủ trương đầu tư gồm: Phương án tài chính, hiệu quả đầu tư; giá trị sơ bộ nộp ngân sách nhà nước và các nội dung khác thuộc lĩnh vực ngành quản lý;
b) Tham mưu cho Chủ tịch UBND tỉnh thành lập Hội đồng Thẩm định giá đất, tính thu tiền sử dụng đất, tiền thuê đất đối với từng dự án;
c) Hướng dẫn chủ đầu tư, UBND cấp huyện các nghiệp vụ về tiếp nhận, quản lý, sử dụng tài sản được các Chủ đầu tư chuyển giao;
d) Tham mưu UBND tỉnh xác định giá trị ∆G, k hàng năm để làm căn cứ xác định giá trị nộp ngân sách nhà nước m3; thẩm định giá trị nộp ngân sách nhà nước m3 trong hồ sơ mời thầu của các dự án;
đ) Thẩm tra quyết toán dự án hoàn thành;
e) Thực hiện các chức năng, nhiệm vụ theo thẩm quyền và các nhiệm vụ khác do Chủ tịch UBND tỉnh giao.
4. Sở Tài nguyên và Môi trường
a) Tham gia thẩm định các nội dung trong hồ sơ đề xuất chấp thuận chủ trương đầu tư gồm: Sự phù hợp với quy hoạch sử dụng đất, danh mục dự án cần thu hồi đất, sơ bộ phương án bồi thường giải phóng mặt bằng, nhu cầu sử dụng đất và các nội dung khác thuộc lĩnh vực ngành quản lý;
b) Thẩm định phương án bồi thường, hỗ trợ và tái định cư, thu hồi đất đối với trường hợp thuộc thẩm quyền phê duyệt của UBND tỉnh; thẩm định hồ sơ giao đất, cho thuê đất, cho phép chuyển mục đích sử dụng đất để thực hiện dự án;
c) Chủ trì thẩm tra hoặc xây dựng phương án giá đất trong trường hợp thực hiện dự án theo hình thức đấu thầu lựa chọn nhà đầu tư;
d) Thực hiện các chức năng, nhiệm vụ theo thẩm quyền và các nhiệm vụ khác do Chủ tịch UBND tỉnh giao.
5. Cục Thuế tỉnh
a) Thông báo và đôn đốc về việc nộp ngân sách nhà nước giá trị M3 cho nhà đầu tư trúng thầu dự án;
b) Thực hiện các chức năng, nhiệm vụ theo thẩm quyền và các nhiệm vụ khác do Chủ tịch UBND tỉnh giao.
6. Ủy ban nhân dân cấp huyện
a) Tổ chức lập chương trình phát triển đô thị, hồ sơ đề xuất khu vực phát triển đô thị của từng đô thị, kế hoạch phát triển nhà ở trên địa bàn;
b) Lập, thẩm định, phê duyệt quy hoạch chi tiết xây dựng; đề xuất danh mục dự án thu hút đầu tư gửi Sở Xây dựng để tổng hợp;
c) Lập quy hoạch sử dụng đất, danh mục dự án cần thu hồi đất, kế hoạch sử dụng đất hàng năm trình Sở Tài nguyên và Môi trường thẩm định;
d) Lập đề xuất chủ trương đầu tư dự án gửi Sở Kế hoạch và Đầu tư để tổ chức thẩm định;
đ) Có trách nhiệm rà soát, tổng hợp đầy đủ, kịp thời, chính xác kết quả trúng đấu giá quyền sử dụng đất báo cáo gửi Sở Tài chính để tổng hợp xác định thông số đầu vào ∆G, làm cơ sở tính toán giá trị theo quy định;
e) Là bên mời thầu, lập kế hoạch lựa chọn nhà đầu tư, hồ sơ mời thầu, tổ chức đấu thầu lựa chọn nhà đầu tư, đề xuất nhà đầu tư trúng thầu. Trường hợp dự án thực hiện trên địa bàn từ hai đơn vị cấp huyện trở lên thì bên mời thầu để lựa chọn nhà đầu tư là Ủy ban nhân cấp huyện nơi có tỷ trọng diện tích đất thực hiện dự án lớn nhất;
g) Đàm phán, ký kết hợp đồng dự án; thực hiện quản lý, giám sát toàn diện trong quá trình thực hiện hợp đồng dự án; thực hiện kiểm tra chất lượng, công tác nghiệm thu công trình trong quá trình thi công (trừ các công trình đã được Sở Xây dựng kiểm tra trong cùng một năm); thực hiện bồi thường, giải phóng mặt bằng các dự án; quản lý các công trình hạ tầng sau khi nhận bàn giao từ chủ đầu tư theo quy định của pháp luật;
h) Xác định và chịu trách nhiệm về nguồn gốc sử dụng đất của các thửa đất trong khu đất thực hiện dự án;
i) Tổ chức lập phương án đấu giá quyền sử dụng đất lựa chọn nhà đầu tư thực hiện dự án khu đô thị, khu dân cư;
k) Lập, thẩm định, phê duyệt dự án tạo quỹ đất sạch để đấu giá thực hiện dự án khu đô thị, khu dân cư;
l) Lập kế hoạch và tổ chức thực hiện đầu tư khớp nối các công trình hạ tầng đầu mối ngoài hàng rào dự án, các công trình hạ tầng xã hội sử dụng vốn ngân sách nhà nước.
m) Định kỳ hằng quý, lập báo cáo tiến độ giải phóng mặt bằng, tình hình quản lý hợp đồng dự án đối với các dự án khu đô thị, khu dân cư trên địa; trong đó nêu cụ thể kết quả, khó khăn, vướng mắc, nguyên nhân, trách nhiệm, kiến nghị đề xuất cần giải quyết gửi Sở Xây dựng, Sở Kế hoạch và Đầu tư trước ngày 15 tháng cuối quý.
7. Chủ đầu tư dự án
a) Tổ chức lập Báo cáo nghiên cứu khả thi dự án, hồ sơ thiết kế bản vẽ thi công, dự toán; trình Sở Xây dựng thẩm định Báo cáo nghiên cứu khả thi, hồ sơ thiết kế bản vẽ thi công đối với dự án nhóm B, C và dự án có công trình từ cấp II trở xuống; thẩm định và phê duyệt Báo cáo nghiên cứu khả thi dự án, thiết kế bản vẽ thi công, dự toán công trình;
b) Trong thời gian 05 ngày làm việc sau khi phê duyệt thiết kế triển khai sau thiết kế cơ sở, dự toán công trình, chủ đầu tư dự án gửi hồ sơ đến Sở Xây dựng, Sở Tài chính, UBND cấp huyện để theo dõi, quản lý;
c) Xây dựng quy chế lựa chọn nhà thầu, tổ chức lựa chọn nhà thầu để triển khai thực hiện các gói thầu thuộc dự án;
d) Có trách nhiệm bố trí kinh phí để thực hiện công tác bồi thường giải phóng mặt bằng, huy động vốn để triển khai thực hiện dự án theo tiến độ;
đ) Thực hiện quản lý chi phí đầu tư xây dựng theo quy định; lập báo cáo giám sát đầu tư, báo cáo tiến độ thực hiện theo quy định gửi Sở Kế hoạch và Đầu tư, Sở Xây dựng và UBND cấp huyện;
e) Định kỳ hằng quý, lập báo cáo tiến độ thực hiện dự án trong đó nêu cụ thể kết quả, khó khăn, vướng mắc, nguyên nhân, trách nhiệm, kiến nghị đề xuất cần giải quyết gửi Sở Xây dựng, Sở Kế hoạch và Đầu tư, Sở Tài nguyên và Môi trường, UBND cấp huyện trước ngày 15 tháng cuối quý.
g) Được thông tin, giải trình, đề xuất, kiến nghị về giá đất, phương án tài chính với Hội đồng thẩm định giá đất, tính thu tiền sử dụng đất, tiền thuê đất trước khi Hội đồng trình cơ quan có thẩm quyền phê duyệt và được bảo lưu đề xuất, kiến nghị đến cơ quan có thẩm quyền để xem xét.
Điều 21. Quy định chuyển tiếp
1. Các dự án thực hiện lựa chọn nhà đầu tư theo hình thức đấu thầu, đã được ký hợp đồng giữa cơ quan nhà nước có thẩm quyền và nhà đầu tư thì tiếp tục thực hiện theo quy định của hợp đồng cho đến khi kết thúc dự án; các dự án thực hiện lựa chọn nhà đầu tư theo hình thức đấu giá quyền sử dụng đất đã được phê duyệt kết quả trúng đấu giá thì tiếp tục thực hiện theo quyết định phê duyệt kết quả trúng đấu giá và phương án đấu giá đã được phê duyệt. Riêng các nội dung liên quan đến hoạt động xây dựng thì các công việc chưa triển khai thực hiện theo quy định chuyển tiếp của pháp luật về xây dựng.
2. Các dự án đang trong quá trình chuẩn bị đầu tư nhưng chưa tổ chức lựa chọn nhà đầu tư, chưa ký hợp đồng dự án thì thì tiếp tục thực hiện các bước tiếp theo theo Quy định này.
Điều 22. Hướng dẫn thi hành
1. Trong trường hợp các văn bản quy phạm pháp luật và các quy định được viện dẫn trong Quy định này có sự thay đổi, bổ sung hoặc được thay thế thì áp dụng theo văn bản quy phạm pháp luật mới.
2. Trong quá trình thực hiện, nếu có phát sinh vướng mắc, các tổ chức cá nhân kịp thời phản ánh về Sở Kế hoạch và Đầu tư để tổng hợp, báo cáo UBND tỉnh xem xét, quyết định sửa đổi, bổ sung cho phù hợp./.
Bạn chưa Đăng nhập thành viên.
Đây là tiện ích dành cho tài khoản thành viên. Vui lòng Đăng nhập để xem chi tiết. Nếu chưa có tài khoản, vui lòng Đăng ký tại đây!
Bạn chưa Đăng nhập thành viên.
Đây là tiện ích dành cho tài khoản thành viên. Vui lòng Đăng nhập để xem chi tiết. Nếu chưa có tài khoản, vui lòng Đăng ký tại đây!