- Tổng quan
- Nội dung
- Tiêu chuẩn liên quan
- Lược đồ
- Tải về
Tiêu chuẩn Quốc gia TCVN 6577:2020 ISO 13253:2017 Máy điều hòa không khí và bơm nhiệt gió-gió có ống gió – Thử và xác định thông số tính năng
| Số hiệu: | TCVN 6577:2020 | Loại văn bản: | Tiêu chuẩn Việt Nam |
| Cơ quan ban hành: | Bộ Khoa học và Công nghệ | Lĩnh vực: | Công nghiệp |
|
Ngày ban hành:
Ngày ban hành là ngày, tháng, năm văn bản được thông qua hoặc ký ban hành.
|
2020 |
Hiệu lực:
|
Đã biết
|
| Người ký: | Đang cập nhật |
Tình trạng hiệu lực:
Cho biết trạng thái hiệu lực của văn bản đang tra cứu: Chưa áp dụng, Còn hiệu lực, Hết hiệu lực, Hết hiệu lực 1 phần; Đã sửa đổi, Đính chính hay Không còn phù hợp,...
|
Đã biết
|
TÓM TẮT TIÊU CHUẨN VIỆT NAM TCVN 6577:2020
Nội dung tóm tắt đang được cập nhật, Quý khách vui lòng quay lại sau!
Tải tiêu chuẩn Việt Nam TCVN 6577:2020
TIÊU CHUẨN QUỐC GIA
TCVN 6577:2020
ISO 13253:2017
MÁY ĐIỀU HÒA KHÔNG KHÍ VÀ BƠM NHIỆT GIÓ-GIÓ CÓ ỐNG GIÓ - THỬ VÀ XÁC ĐỊNH THÔNG SỐ TÍNH NĂNG
Ducted air-conditioners and air-to-air heat pumps - Testing and rating for performance
Lời nói đầu
TCVN 6577:2020 thay thế TCVN 6577:2013.
TCVN 6577:2020 hoàn toàn tương đương với ISO 13253:2017.
TCVN 6577:2020 do Ban kỹ thuật tiêu chuẩn quốc gia TCVN/TC 86 Máy lạnh và điều hòa không khí biên soạn, Tổng cục Tiêu chuẩn Đo lường Chất lượng đề nghị, Bộ Khoa học và Công nghệ công bố.
MÁY ĐIỀU HÒA KHÔNG KHÍ VÀ BƠM NHIỆT GIÓ-GIÓ CÓ ỐNG GIÓ - THỬ VÀ XÁC ĐỊNH THÔNG SỐ TÍNH NĂNG
Ducted air-conditioners and air-to-air heat pumps - Testing and rating for performance
1 Phạm vi áp dụng
Tiêu chuẩn này quy định thử nghiệm về tính năng, các điều kiện tiêu chuẩn và các phương pháp thử để xác định các thông số về năng suất và hiệu suất của máy điều hòa không khí giải nhiệt gió và bơm nhiệt gió-gió.
Tiêu chuẩn này áp dụng cho thiết bị sau:
- Máy điều hòa không khí giải nhiệt gió có ống gió và bơm nhiệt gió-gió có ống gió.
Tiêu chuẩn này được giới hạn cho:
- Máy điều hòa không khí và bơm nhiệt dạng hai cụm và nguyên cụm loại gia dụng, thương mại và công nghiệp;
- Được sản xuất trong nhà máy, chạy bằng điện và sử dụng nén dạng cơ khí;
- Sử dụng các bộ phận có năng suất cố định, nhiều cấp và vô cấp;
- Hệ thống đa cụm sử dụng một hoặc nhiều hệ thống lạnh, với một cụm ngoài trời và một hoặc nhiều cụm trong nhà, được điều khiển băng một bộ điều nhiệt/bộ điều khiển duy nhất.
Các yêu cầu của thử nghiệm và xác định thông số nêu trong tiêu chuẩn này là dựa trên việc sử dụng các cụm lắp ráp phù hợp nhau.
Tiêu chuẩn này không áp dụng cho việc xác định thông số và thử nghiệm của thiết bị sau:
a) Bơm nhiệt nguồn nước hoặc máy điều hòa không khí giải nhiệt nước;
b) Điều hòa không khí và bơm nhiệt gió-gió hệ thống đa cụm (thử nghiệm thiết bị này theo TCVN 9981 (ISO 15042));
c) Thiết bị di động (không cửa sổ) có một ống gió thải dàn ngưng;
d) Các cụm lắp ráp riêng lẻ không cấu thành hệ thống lạnh hoàn chỉnh;
e) Thiết bị sử dụng chu trình làm lạnh hấp thụ;
f) Thiết bị không ống gió (thử nghiệm thiết bị này theo TCVN 6576 (ISO 5151));
g) Máy điều hòa không khí có ống gió và/hoặc bơm nhiệt có ống gió với năng suất danh định nhỏ hơn 8 kW và được thiết kế để hoạt động ở áp suất tĩnh bên ngoài nhỏ hơn 25 Pa, được điều khiển bằng một bộ điều nhiệt/bộ điều khiển duy nhất (tham chiếu theo TCVN 6576 (ISO 5151)).
Tiêu chuẩn này không bao gồm việc xác định các hiệu suất theo mùa, chúng có thể được yêu cầu ở một số quốc gia vì biểu thị tốt hơn hiệu suất trong các điều kiện làm việc thực tế.
CHÚ THÍCH: Trong tiêu chuẩn này, các thuật ngữ “thiết bị” và “hệ thống” nghĩa là “máy điều hòa không khí” và/hoặc “bơm nhiệt”.
2 Tài liệu viện dẫn
Các tài liệu viện dẫn sau rất cần thiết cho việc áp dụng tiêu chuẩn này. Đối với các tài liệu viện dẫn ghi năm công bố thì áp dụng phiên bản được nêu. Đối với các tài liệu viện dẫn không ghi năm công bố thì áp dụng phiên bản mới nhất, bao gồm cả các sửa đổi, bổ sung (nếu có).
TCVN 6576 (ISO 5151), Máy điều hòa không khí và bơm nhiệt không ống gió - Thử và xác định thông số tính năng;
TCVN 6739 (ISO 817), Môi chất lạnh - Ký hiệu và phân loại an toàn;
TCVN 9595-3 (ISO/IEC Guide 98-3), Độ không đảm bảo đo - Phần 3: Hướng dẫn trình bày độ không đảm bảo đo (GUM:1995).
3 Thuật ngữ và định nghĩa
Tiêu chuẩn này áp dụng các thuật ngữ và định nghĩa sau.
3.1
Máy điều hòa không khí có ống gió (ducted air-conditioner)
Một hoặc nhiều cụm thiết bị có vỏ bao được thiết kế để phân phối băng ống gió không khí đã được điều hòa vào không gian, phòng hoặc khu vực kín (không gian được điều hòa).
CHÚ THÍCH: Thiết bị này có thể là nguyên cụm hoặc dạng hai cụm và gồm có một nguồn lạnh sơ cấp dùng để làm lạnh và hút ẩm. Nó cũng có thể bao gồm cả các phương tiện để sưởi khác với bơm nhiệt, cũng như các phương tiện dùng để tuần hoàn, làm sạch, tạo ẩm, thông gió hoặc thải không khí. Các thiết bị đó có thể được cung cấp dưới dạng nhiều cụm, các cụm tách riêng này (các hệ thống hai cụm) được sử dụng cùng nhau.
3.2
Bơm nhiệt có ống gió (ducted heat pump)
Một hoặc nhiều cụm thiết bị có vỏ bao được thiết kế để phân phối bằng ống gió không khí đã được điều hòa vào không gian, phòng hoặc khu vực kín (không gian được điều hòa), bao gồm cả nguồn nhiệt sơ cấp của chu trình lạnh dùng để sưởi.
CHÚ THÍCH: Thiết bị này có thể được lắp đặt để lấy nhiệt từ không gian được điều hòa và xả vào môi trường tản nhiệt nếu việc làm lạnh và hút ẩm được thực hiện trên cùng một thiết bị. Nó cũng có thể bao gồm cả các phương tiện dùng để tuần hoàn, làm sạch, tạo ẩm, thông gió hoặc thải không khí. Các thiết bị đó có thể được cung cấp dưới dạng nhiều cụm, các cụm tách riêng này (các hệ thống hai cụm) được sử dụng cùng nhau.
3.3
Không khí tiêu chuẩn (standard air)
Không khí khô ở 20 °C và áp suất khí quyển tiêu chuẩn 101,325 kPa, có khối lượng riêng bằng 1,204 kg/m3.
3.4
Năng suất lạnh tổng (total cooling capacity)
Lượng nhiệt hiện và ẩn mà thiết bị có thể lấy khỏi không gian được điều hòa trong khoảng thời gian xác định.
CHÚ THÍCH: Năng suất lạnh tổng được tinh bằng đơn vị oát.
3.5
Năng suất sưởi (heating capacity)
Lượng nhiệt mà thiết bị có thể cấp vào không gian được điều hoà trong khoảng thời gian xác định (nhưng không bao gồm nhiệt bổ sung).
CHÚ THÍCH: Năng suất sưởi được tính bằng đơn vị oát.
3.6
Năng suất lạnh ẩn (latent cooling capacity)
Năng suất hút ẩm phòng (room dehumidifying capacity)
Lượng nhiệt ẩn mà thiết bị có thể lấy khỏi không gian được điều hòa trong khoảng thời gian xác định.
CHÚ THÍCH: Năng suất lạnh ẩn và năng suất hút ẩm phòng được tính bằng đơn vị oát.
3.7
Năng suất lạnh hiện (sensible cooling capacity)
Lượng nhiệt hiện mà thiết bị có thể lấy khỏi không gian được điều hòa trong khoảng thời gian xác định.
CHÚ THÍCH: Năng suất lạnh hiện được tính bằng đơn vị oát.
3.8
Tỉ số nhiệt hiện, SHR (sensible heat ratio, SHR)
Tỷ số của năng suất lạnh hiện (3.7) và năng suất lạnh tổng (3.4).
3.9
Điện áp danh định (rated voltage)
Điện áp ghi trên nhãn của thiết bị.
3.10
Tần số danh định (rated frequency)
Tần số ghi trên nhãn của thiết bị.
3.11
Hiệu suất lạnh (hệ số hiệu quả năng lượng), EER (energy efficiency ratio, EER)
Tỉ số của năng suất lạnh tổng (3.4) và công suất điện hiệu dụng đầu vào (3.14) thiết bị ở tập hợp các điều kiện xác định thông số cho trước bất kỳ.
CHÚ THÍCH: Khi EER được công bố không có biểu thị đơn vị, được hiểu là giá trị này được dẫn xuất từ oát/oát (W/W).
3.12
Hiệu suất sưởi (hệ số nhiệt), COP (coefficient of performance, COP)
Tỉ số của năng suất sưởi (3.5) và công suất điện hiệu dụng đầu vào (3.14) thiết bị ở tập hợp các điều kiện xác định thông số cho trước bất kỳ.
CHÚ THÍCH: Khi COP được công bố không có biểu thị đơn vị, được hiểu là giá trị này được dẫn xuất từ oát/oát (W/W).
3.13
Tổng công suất điện đầu vào, Pt (total power input)
Công suất điện trung bình đầu vào thiết bị được đo trong suốt thử nghiệm.
CHÚ THÍCH: Tổng công suất điện đầu vào được tính bằng đơn vị oát.
3.14
Công suất điện hiệu dụng đầu vào, PE (effective power input)
Công suất điện trung bình đầu vào thiết bị, thu được từ:
- Công suất điện đầu vào để vận hành máy nén;
- Công suất điện đầu vào cấp cho các bộ phận gia nhiệt chạy điện chỉ dùng cho việc xả băng,
- Công suất điện đầu vào cấp cho tất cả các cơ cấu điều khiển và an toàn của thiết bị;
- Công suất điện đầu vào để vận hành tất cả các quạt, cho dù có được trang bị cùng thiết bị hay không.
CHÚ THÍCH: Công suất điện hiệu dụng đầu vào được tính bằng đơn vị oát.
3.15
Vận hành đầy tải (full-load operation)
Vận hành với thiết bị và cài đặt điều khiển để cho ra năng suất làm lạnh tối đa và liên tục theo quy định của nhà sản xuất và được cho phép bởi các điều khiển của thiết bị.
CHÚ THÍCH: Tất cả các cụm trong phòng và các máy nén làm việc suốt ở chế độ vận hành đầy tải, trừ khi được kiểm soát bởi các điều khiển tự động của thiết bị,
4 Ký hiệu
| Ký hiệu | Mô tả | Đơn vị |
| Al | Hệ số rò lọt nhiệt | J/(s∙K) |
| An | Diện tích đầu phun | m2 |
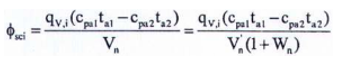
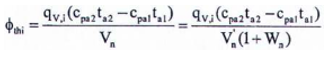
| cpa1 | Nhiệt dung riêng của không khí ẩm vào phía trong phònqb | J/(kqb∙K) |
| cpa2 | Nhiệt dung riêng của không khí ẩm ra phía trong phònqb | J/(kqb∙K) |
| cpa3 | Nhiệt dung riêng của không khí ẩm vào phía ngoài trờib | J/(kqb∙K) |
| cpa4 | Nhiệt dung riêng của không khí ẩm ra phía ngoài trờib | J/(kqb∙K) |
| cpw | Nhiệt dung riêng của nước | J/(kqb∙K) |
| C | Hệ số dòng không khí | Pa/(m3/s)2 |
| Cd | Hệ số xả đầu phun | ―a |
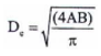
| De | Đường kính tương đương | m |
| Di | Đường kính của ống gió tròn, cửa vào | m |
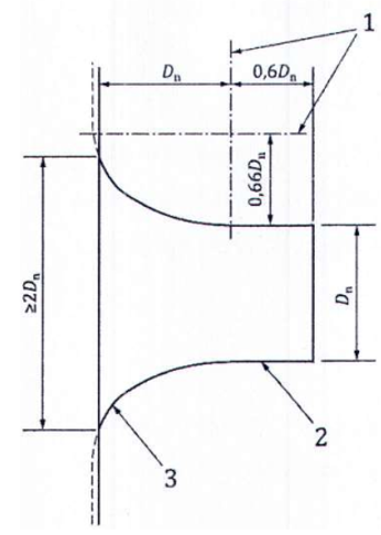
| Dn | Đường kính họng đầu phun | m |
| Do | Đường kính của ống gió tròn, cửa ra | m |
| Dt | Đường kính ngoài của ống dẫn môi chất lạnh | m |
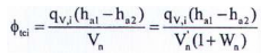
| ha1 | Entanpy riêng của không khí vào phía trong phòng | J/kgb |
| ha2 | Entanpy riêng của không khí ra phía trong phòng | J/kgb |
| ha3 | Entanpy riêng của không khí vào phía ngoài trời | J/kgb |
| ha4 | Entanpy riêng của không khí ra phía ngoài trời | J/kgb |
| hf1 | Entanpy riêng của môi chất lạnh lỏng đi vào thiết bị tiết lưu | J/kg |
| hf2 | Entanpy riêng của môi chất lạnh lỏng ra khỏi dàn ngưng | J/kg |
| hg1 | Entanpy riêng của hơi môi chất lạnh đi vào máy nén | J/kg |
| hg2 | Entanpy riêng của hơi môi chất lạnh ra khỏi máy nén | J/kg |
| hr1 | Entanpy riêng của môi chất lạnh vào phía trong phòng | J/kg |
| hr2 | Entanpy riêng của môi chất lạnh ra phía trong phòng | J/kg |
| hw1 | Entanpy riêng của nước hoặc hơi nước cung cấp cho buồng thử phía trong phòng | J/kq |
| hw2 | Entanpy riêng của hơi ẩm ngưng ra khỏi buồng thử phía trong phòng | J/kg |
| hw3 | Entanpy riêng của hơi ẩm ngưng ra khỏi buồng thử phía ngoài trời | J/kq |
| hw4 | Entanpy riêng của nước cung cấp cho buồng thử phía ngoài trời | J/kg |
| hw5 | Entanpy riêng của nước ngưng tụ (trong trường hợp điều kiện thử H1) và băng (trong trường hợp các điều kiện thử H2 hoặc H3) tương ứng trong thiết bị được thử | J/kg |
| K1 | Nhiệt ẩn hóa hơi của nước (2460 x 103 J/kq ở 15 °C) | J/kg |
| L | Chiều dài của đường dẫn môi chất lạnh | m |
| Ld | Chiều dài của ống gió | m |
| Lm | Chiều dài đến điểm đo áp suất tĩnh bên ngoài | m |
| pa | Áp suất khí quyển | kPa |
| pc | Áp suất cân bằng buồng thử | Pa |
| pe | Áp suất tĩnh bên ngoài (ESP) | Pa |
| pisc | Độ sụt áp suất tĩnh bên trong của cụm buồng dàn ống trong phòng đo được từ phép thử năng suất lạnh | Pa |
| pm | Áp suất tĩnh bên ngoài (pe trong thử nghiệm thổi gió) | Pa |
| pn | Áp suất tuyệt đối ở họng đầu phun | Pa |
| pv | Áp suất động ở họng đầu phun hoặc chênh lệch áp suất tĩnh qua đầu phun | Pa |
| Pfan | Công suất ước lượng của quạt để lưu thông không khí trong phòng | W |
| Pi | Công suất điện đầu vào, dữ liệu phía trong phòng | W |
| PK | Công suất điện cấp vào máy nén | W |
| Pt | Tổnq công suất điện cấp vào thiết bị | W |
| qm | Lưu lượng khối lượng không khí | kg/s |
| qr | Lưu lượng môi chất lạnh | kg/s |
| qro | Lưu lượng hỗn hợp môi chất lạnh và dầu | kg/s |
| qv | Lưu lượng thể tích không khí | m3/s |
| qvi | Lưu lượng thể tích không khí, phía trong phòng | m3/s |
| qvo | Lưu lượng thể tích không khí, phía ngoài trời | m3/s |
| qw | Lưu lượng nước ngưng ở dàn ngưng | kg/s |
| qwc | Lưu lượng tại đó hơi nước bị ngưng tụ bởi thiết bị | kg/s |
| qwo | Lưu lượng khối lượng nước cấp cho buồng thử phía ngoài để duy trì các điều kiện thử | kg/s |
| Re | Số Reynolds | ―a |
| SHR | Tỉ số nhiệt hiện | ―a |
| T | Chiều dày lớp cách nhiệt của ống | m |
| ta | Nhiệt độ, môi trường xung quanh của buồng nhiệt lượng có máy nén | °C |
| ta1 | Nhiệt độ của không khí vào phía trong phòng, bầu khô | °C |
| ta2 | Nhiệt độ của không khí ra phía trong phòng, bầu khô | °C |
| ta3 | Nhiệt độ của không khí vào phía ngoài trời, bầu khô | °C |
| ta4 | Nhiệt độ của không khí ra phía ngoài trời, bầu khô | °C |
| tc | Nhiệt độ bề mặt dàn ngưng của buồng nhiệt lượng có máy nén | °C |
| te | Nhiệt độ bề mặt dàn bay hơi của buồng nhiệt lượng có máy nén | °C |
| tw1 | Nhiệt độ nước đi vào dàn ngưng của buồng nhiệt lượng có máy nén | °C |
| tw2 | Nhiệt độ nước ra khỏi dàn ngưng của buồng nhiệt lượng có máy nén | °C |
| va | Vận tốc không khí, tại đầu phun | m/s |
| vn | Thể tích riêng của phần không khí khô của hỗn hợp tại đầu phunb | m3/kgb |
| v’n | Thể tích riêng của hỗn hợp hơi không khí-nước tại đầu phun | m3/kg |
| W1 | Khối lượng của cụm xy lanh và ống nhánh, khi rỗng | g |
| W3 | Khối lượng của cum xy lanh và ống nhánh, có mẫu thử | g |
| W5 | Khối lượng của cum xy lanh và ống nhánh, với dầu từ mẫu thử | g |
| Wi1 | Độ ẩm riêng của không khí vào phía trong phòngb | kg/kqb |
| Wi2 | Độ ẩm riêng của không khí ra phía trong phòngb | kg/kqb |
| Wn | Độ ẩm riêng tại cửa vào đầu phunb | kg/kqb |
| Wr | Lưu lượng hơi nước ngưng tụ | kg/s |
| Xo | Nồng độ dầu trong hỗn hợp môi chất lạnh-dầu |
|
| Xr | Tỉ số khối lượng của môi chất lạnh với hỗn hợp môi chất lạnh-dầu | ―a |
| Y | Hệ số giãn nở | ―a |
| α | Tỉ số nén | ―a |
| αa | Hệ số truyền nhiệt đường ống kết nối nhau | W/(m2∙K) |
| λ | Độ dẫn nhiệt (hệ số dẫn nhiệt) | W/(m∙K) |
| v | Độ nhớt động học của không khí | m2/s |
| ƞfan,i | Hiệu suất tĩnh ước lượng của quạt trong phòng | ―a |
| ƞmot,i | Hiệu suất ước lượng của động cơ trong phòng | ―a |
| ΣPic | Công suất khác cấp vào buồng thử phía trong phòng (như chiếu sáng, công suất điện và nhiệt cấp vào bộ phận bù, cân bằng nhiệt của bộ phận tạo ẩm) | W |
| ΣPoc | Tổng của toàn bộ công suất cấp vào buồng thử phía ngoài trời, không bao gồm công suất cấp cho thiết bị được thử | W |
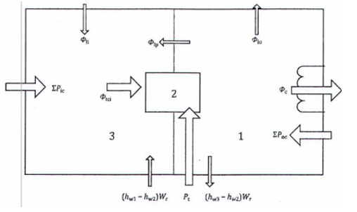
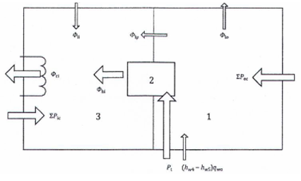
| Φi | Nhiệt được lấy đi bởi dàn ống làm lạnh trong buồng thử phía ngoài trời | W |
| Φci | Nhiệt được lấy đi bởi dàn ống làm lạnh trong buồng thử phía trong phòng | W |
| Φd | Năng suất lạnh ẩn (năng suất hút ẩm) | W |
| Φe | Nhiệt cấp vào dàn bay hơi của buồng nhiệt lượng có máy nén | W |
| Φhi | Năng suất sưởi, buồng thử phía trong phòng | W |
| Φho | Năng suất sưởi, buồng thử phía ngoài trời | W |
| Φli | Nhiệt rò lọt vào buồng thử phía trong phòng qua tường, sàn và trần | W |
| Φlo | Nhiệt rò lọt khỏi buồng thử phía ngoài trời qua tường, sàn và trần | W |
| Φlp | Nhiệt rò lọt vào buồng thử phía trong phồng qua vách ngăn phía trong phòng với phía ngoài trời | W |
| ΦL | Tổn thất nhiệt trong đường ống kết nối nhau | W |
| Φsci | Năng suất lạnh hiện, phía trong phòng | W |
| Φtc | Năng suất lạnh của máy nén môi chất lạnh | W |
| Φtci | Năng suất lạnh tổng, phía trong phòng | W |
| Φtco | Năng suất lạnh tổng, phía ngoài trời | W |
| Φthi | Năng suất sưởi tổng, phía trong phòng | W |
| Φtho | Năng suất sưởi tổng, phía ngoài trời | W |
| a Giá trị không thứ nguyên. b Có nghĩa là khối lượng của không khí khô; khối lượng, kg, của mẫu số trong đơn vị này là dựa trên không khí khô (hoặc DA - dry air). Đối với các đơn vị thực tế được sử dụng trong lĩnh vực điều hòa không khí, “kg (DA)” rất hay được sử dụng cho mẫu số. Ví dụ: J/kg(DA), m3/kg (DA), kg/kg (DA). CHÚ THÍCH: Tất cả các thông số có liên quan đến thiết bị được thử nghiệm trừ khi có quy định khác. | ||
5 Cài đặt dòng không khí
5.1 Quy định chung
Nhà sản xuất phải quy định lưu lượng không khí. Lưu lượng này phải là giá trị cho chế độ làm lạnh đầy tải và được tính bằng mét khối trên giây (m3/s) của các điều kiện không khí tiêu chuẩn, như định nghĩa ở 3.3, và tương ứng với máy nén hoặc các máy nén không hoạt động.
Pfan là công suất ước lượng của quạt được yêu cầu để lưu thông không khí trong phòng, tính bằng oát.
5.2 Cài đặt dòng không khí trong phòng
Việc cài đặt lưu lượng không khí phải được thực hiện khi chỉ có quạt đang hoạt động, ở nhiệt độ môi trường xung quanh từ 20 °C đến 30 °C và độ ẩm tương đối từ 30 % đến 70 %. Các cài đặt dòng không khí của các cụm thiết bị phải phù hợp với Phụ lục A đối với các thiết bị có quạt, và phù hợp với Phụ lục L đối với các thiết bị không có quạt.
Cài đặt lưu lượng không khí theo giá trị danh định được cho bởi nhà sản xuất và đo áp suất tĩnh bên ngoài (ESP) được tạo ra, pe. Giá trị ESP đo được này không được nhỏ hơn ESP để xác định thông số tính năng, được xác định trong Bảng 1. Nếu cụm thiết bị có tốc độ điều chỉnh được, thi phải điều chỉnh đến tốc độ thấp nhất mà tại đó cho giá trị ESP bằng ESP để xác định thông số tính năng hoặc lớn hơn.
5.3 ESP để xác định thông số tính năng
5.3.1 Nếu giá trị ESP danh định do nhà sản xuất quy định lớn hơn hoặc bằng giá trị tối thiểu cho trong Bảng 1, thì giá trị ESP danh định quy định này được sử dụng làm giá trị ESP để xác định thông số tính năng.
5.3.2 Nếu giá trị ESP danh định do nhà sản xuất quy định nhỏ hơn giá trị tối thiểu cho trong Bảng 1, và lớn hơn hoặc bằng 80 % giá trị ESP tối đa, thì giá trị ESP danh định quy định này được sử dụng làm giá trị ESP để xác định thông số tính năng. Giá trị ESP tối đa có thể do nhà sản xuất quy định hoặc được xác định từ các đường cong đặc tính của quạt do nhà sản xuất cung cấp.
5.3.3 Nếu giá trị ESP danh định do nhà sản xuất quy định nhỏ hơn giá trị tối thiểu cho trong Bảng 1, và nhỏ hơn 80 % giá trị ESP tối đa, thì giá trị ở Bảng 1 hoặc 80 % giá trị ESP tối đa, lấy giá trị nào nhỏ hơn, được sử dụng làm giá trị ESP để xác định thông số tính năng.
5.3.4 Nếu nhà sản xuất không quy định giá trị ESP danh định, thì giá trị ở Bảng 1 hoặc 80 % giá trị ESP tối đa, lấy giá trị nào nhỏ hơn, được sử dụng làm giá trị ESP để xác định thông số tính năng.
5.3.5 Quá trình lựa chọn giá trị ESP để xác định thông số tính năng được thể hiện trên Hình 1.
5.3.6 Trong trường hợp mà giá trị ESP để xác định thông số tính năng đã được xác định nhỏ hơn 25 Pa, thì thiết bị có thể được coi là thiết bị không ống gió và được thừ theo TCVN 6576 (ISO 5151).

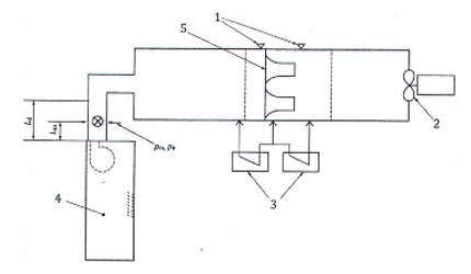
Hình 1 - Sơ đồ khối lựa chọn giá trị ESP để xác định thông số tính năng
Bảng 1 - Yêu cầu về áp suất cho các máy điều hòa không khí hoạt động hiệu quả
| Thông số năng suất tiêu chuẩn | Áp suất tĩnh bên ngoài tối thiểua |
| kW | Pa |
| 0 < Q < 8 | 25 |
| 8 ≤ Q < 12 | 37 |
| 12 ≤ Q < 20 | 50 |
| 20 ≤ Q < 30 | 62 |
| 30 ≤ Q < 45 | 75 |
| 45 ≤ Q < 82 | 100 |
| 82 ≤ Q <117 | 125 |
| 117 ≤ Q < 147 | 150 |
| Q > 147 | 175 |
| a Đối với thiết bị được thử nghiệm mà không lắp đặt bộ lọc không khí, giá trị ESP tối thiểu, Pe, phải được tăng thêm 10 Pa. | |
5.4 Dòng không khí phía ngoài trời
Nếu dòng không khí phía ngoài trời điều chỉnh được, thì tất cả các thử nghiệm phải được tiến hành tại lưu lượng không khí phía ngoài trời hoặc tại giá trị cài đặt điều khiển quạt do nhà sản xuất quy định. Khi quạt không điều chỉnh được, tất cả các phép thử phải được tiến hành tại lưu lượng thể tích không khí phía ngoài trời vốn có của thiết bị khi được vận hành với các hạng mục sau ở đúng vị trí: tất cả các phần tử trở lực liên quan đến cửa vào, cửa chớp và bất kỳ ống dẫn nào và các bộ phận đi kèm được nhà sản xuất xem xét là kỹ thuật lắp đặt thông thường. Một khi đã được thiết lập, mạch (vòng tuần hoàn) không khí phía ngoài trời của thiết bị phải duy trì không thay đổi trong suốt tất cả các thử nghiệm được quy định trong tiêu chuẩn này, ngoại trừ để điều chỉnh cho bất kỳ thay đổi nào gây ra bởi bộ phận đi kèm của dụng cụ đo dòng không khí khi sử dụng phương pháp thử entanpy không khí ngoài trời (xem G.2.1).
5.5 Thiết bị không có quạt trong phòng
Nếu không có quạt được cung cấp cùng với cụm thiết bị (nghĩa là các cụm chỉ có dàn ống), thì phải áp dụng các yêu cầu bổ sung cho trong Phụ lục L.
6 Thử làm lạnh
6.1 Thử năng suất lạnh
6.1.1 Điều kiện chung
6.1.1.1 Tất cả thiết bị nằm trong phạm vi áp dụng của tiêu chuẩn này phải có năng suất lạnh và hiệu suất lạnh (EER) được xác định phù hợp với các điều khoản của tiêu chuẩn này và được xác định thông số ở các điều kiện thử làm lạnh quy định trong Bảng 2. Tất cả các thử nghiệm phải được thực hiện phù hợp với các yêu cầu của Phụ lục B và các phương pháp thử quy định ở Điều 8. Tất cả các thử nghiệm phải được tiến hành với thiết bị làm việc ở chế độ vận hành đầy tải, như định nghĩa ở 3.15. Các giá trị điện năng đầu vào dùng cho các mục đích xác định thông số phải được đo trong suốt quá trình thử năng suất lạnh.
6.1.1.2 Nếu nhà sản xuất thiết bị sử dụng máy nén biến tốc mà không cung cấp thông tin về tần số chạy đầy tải và cách đạt trạng thái đầy tải trong suốt quá trình thử năng suất lạnh, thiết bị phải được vận hành với bộ điều nhiệt hoặc bộ điều khiển của nó chỉnh đặt ở nhiệt độ nhỏ nhất cho phép.
6.1.2 Điều kiện nhiệt độ
6.1.2.1 Các điều kiện nhiệt độ quy định trong Bảng 2 (các cột T1, T2 và T3) phải được xem là các điều kiện xác định thông số tiêu chuẩn đối với việc xác định năng suất lạnh. Đối với thiết bị dùng để làm mát không gian, thử nghiệm phải được tiến hành ở một hoặc nhiều điều kiện xác định thông số tiêu chuẩn quy định trong Bảng 2.
Bảng 2 - Các điều kiện xác định thông số năng suất lạnh
| Thông số | Các điều kiện xác định thông số tiêu chuẩn | ||
|
| T1 | T2 | T3 |
| Nhiệt độ của không khí vào phía trong phòng: |
|
|
|
| - Bầu khô | 27 °C | 21 °C | 29 °C |
| - Bầu ướt | 19 °C | 15 °C | 19 °C |
| Nhiệt độ của không khí vào phía ngoài trời: |
|
|
|
| - Bầu khô | 35 °C | 27 °C | 46 °C |
| - Bầu ướta | 24 °C | 19 °C | 24 °C |
| Tần số thử nghiệmb | Tần số danh định | ||
| Điện áp thử nghiệm | Xem Bảng 3 | ||
| CHÚ THÍCH: T1 = Các điều kiện xác định thông số năng suất lạnh tiêu chuẩn cho vùng khí hậu ôn hòa. T2 = Các điều kiện xác định thông số năng suất lạnh tiêu chuẩn cho vùng khí hậu lạnh. T3 = Các điều kiện xác định thông số năng suất lạnh tiêu chuẩn cho vùng khí hậu nóng. a Chỉ yêu cầu điều kiện nhiệt độ bầu ướt khi thử nghiệm các dàn ngưng giải nhiệt gió làm bay hơi nước ngưng. b Thiết bị có hai tần số danh định thì phải được thử nghiệm ở từng tần số đó. | |||
6.1.2.2 Thiết bị được chế tạo chỉ để sử dụng trong vùng khí hậu ôn hòa tương tự khí hậu quy định ở Bảng 2, cột T1, phải có các thông số được xác định bằng các thử nghiệm được tiến hành ở các điều kiện T1 và phải được ký hiệu là thiết bị kiểu T1.
6.1.2.3 Thiết bị được chế tạo chỉ để sử dụng trong vùng khí hậu lạnh tương tự khí hậu quy định ở Bảng 2, cột T2, phải có các thông số được xác định bằng các thử nghiệm được tiến hành ở các điều kiện T2 và phải được ký hiệu là thiết bị kiểu T2.
6.1.2.4 Thiết bị được chế tạo chỉ để sử dụng trong vùng khí hậu nóng tương tự khí hậu quy định ở Bảng 2, cột T3, phải có các thông số được xác định bằng các thử nghiệm được tiến hành ở các điều kiện T3 và phải được ký hiệu là thiết bị kiểu T3.
6.1.2.5 Thiết bị được chế tạo để sử dụng trong nhiều hơn một vùng khí hậu xác định trong Bảng 2 phải ghi trên nhãn kiểu ký hiệu (T1, T2 và/hoặc T3). Các thông số tương ứng phải được xác định bằng các điều kiện xác định thông số tiêu chuẩn quy định ở Bảng 2.
Bảng 3 - Điện áp cho các thử nghiệm năng suất và tính năng (ngoại trừ các thử nghiệm tính năng làm lạnh tối đa và sưởi tối đa)
| Điện áp danh định (nhãn)a | Điện áp thử nghiệmb |
| V | V |
| 90 đến 109 | 100 |
| 110 đến 127 | 115 |
| 180 đến 207 | 200 |
| 208 đến 253 | 230 |
| 254 đến 341 | 265 |
| 342 đến 420 | 400 |
| 421 đến 506 | 460 |
| 507 đến 633 | 575 |
| a Đối với thiết bị có hai điện áp danh định, như 115/230 và 220/440, thì điện áp thử nghiệm sẽ là 115 V và 230 V trong ví dụ đầu tiên, và là 230 V và 460 V trong ví dụ thứ hai. Đối với thiết bị có dải điện áp kéo dài, như 110 V đến 120 V hoặc 220 V đến 240 V, thì điện áp thử nghiệm tương ứng sẽ là 115 V hoặc 230 V. Khi dải điện áp kéo dài này thuộc hai hoặc nhiều hơn các dải điện áp danh định, phải sử dụng giá trị trung bình của các điện áp danh định để xác định điện áp thử nghiệm từ bảng này. VÍ DỤ: Với thiết bị có dải điện áp kéo dài từ 200 V đến 220 V, điện áp thử nghiệm sẽ là 230 V, dựa trên điện áp trung bình bằng 210 V. b Các điện áp trong bảng này là dùng cho các thử nghiệm về năng suất và tính năng khác với các thử nghiệm tính năng làm lạnh tối đa và sưởi tối đa. | |
6.1.3 Điều kiện thử nghiệm
6.1.3.1 Điều kiện ban đầu
Trang thiết bị để thiết lập lại điều kiện phòng thử và thiết bị được thử phải được vận hành cho đến khi đạt được các điều kiện cân bằng như yêu cầu trong 8.3. Các điều kiện cân bằng phải được duy trì trong khoảng thời gian không nhỏ hơn 1 h trước khi thực hiện ghi dữ liệu thử nghiệm năng suất.
6.1.3.2 Khoảng thời gian thử nghiệm
Dữ liệu phải được ghi lại ở các khoảng thời gian bằng nhau như yêu cầu trong 8.3.3. Việc ghi dữ liệu phải liên tục trong ít nhất 30 min và trong suốt khoảng thời gian đó các dung sai quy định trong 8.3 phải được đáp ứng.
6.2 Thử tính năng làm lạnh tối đa
6.2.1 Điều kiện chung
Thử nghiệm phải được tiến hành với thiết bị làm việc ở chế độ vận hành đầy tải, như định nghĩa trong 3.15. Điện áp thử nghiệm trong Bảng 4 phải được duy trì ở giá trị phần trăm quy định trong các điều kiện vận hành. Ngoài ra, điện áp thử nghiệm phải được điều chỉnh sao cho không nhỏ hơn 86 % điện áp danh định tại thời điểm khởi động lại thiết bị sau khi tắt máy theo yêu cầu của 6.2.4.2. Phép thử tính năng này không yêu cầu xác định năng suất lạnh và công suất điện đầu vào.
6.2.2 Điều kiện nhiệt độ
Các thử nghiệm phải được thực hiện theo các điều kiện cho trong các cột T1, T2 hoặc T3 của Bảng 4, dựa trên dự định sử dụng, như xác định ở 6.1.2. Đối với thiết bị được xác định thông số tính năng để sử dụng trong nhiều điều kiện vận hành, thì phải thử ở điều kiện vận hành khắc nghiệt nhất.
Bảng 4 - Các điều kiện thử tính năng làm lạnh tối đa
| Thông số | Các điều kiện xác định thông số tiêu chuẩn | ||
|
| T1 | T2 | T3 |
| Nhiệt độ của không khí vào phía trong phòng: |
|
|
|
| - Bầu khô | 32 °C | 27 °C | 32 °C |
| - Bầu ướt | 23 °C | 19 °C | 23 °C |
| Nhiệt độ của không khí vào phía ngoài trời: |
|
|
|
| - Bầu khô | 43 °C | 35 °C | 52 °C |
| - Bầu ướta | 26 °C | 24 °C | 31 °C |
| Tần số thử nghiệmb | Tần số danh định | ||
| Điện áp thử nghiệm | a) 90 % và 110 % điện áp danh định với thiết bị có điện áp đơn trên nhãn; b) 90 % điện áp danh định thấp và 110 % điện áp danh định cao cho các thiết bị có hai điện áp trên nhãn hoặc dải điện áp kéo dài. | ||
| a Chỉ yêu cầu điều kiện nhiệt độ bầu ướt khi thử nghiệm các dàn ngưng giải nhiệt gió làm bay hơi nước ngưng. b Thiết bị có hai tần số danh định thì phải được thử nghiệm ở từng tần số đó. | |||
6.2.3 Điều kiện dòng không khí
Thử tính năng làm lạnh tối đa phải được tiến hành với cài đặt tốc độ quạt phía trong phòng như xác định trong 5.2.
6.2.4 Điều kiện thử nghiệm
6.2.4.1 Điều kiện ban đầu
Các điều khiển của thiết bị phải được cài đặt cho làm lạnh tối đa, nếu được trang bị thì tất cả các van lấy gió tươi và các van gió thải phải được đóng.
6.2.4.2 Khoảng thời gian thử nghiệm
Thiết bị phải được vận hành liên tục trong 1 h sau khi các nhiệt độ không khí quy định trong Bảng 4 đã được thiết lập phù hợp với dung sai trong Bảng 13. Tiếp theo tất cả các nguồn năng lượng cấp cho thiết bị phải được ngắt trong 3 min và sau đó được khôi phục lại. Sự vận hành của thiết bị có thể được khởi động lại một cách tự động hoặc thông qua sử dụng bộ điều khiển từ xa hoặc bộ phận tương tự. Phép thử phải tiếp tục tiến hành trong 60 min sau khi khởi động lại thiết bị.
6.2.5 Yêu cầu về tính năng
6.2.5.1 Máy điều hòa không khí và bơm nhiệt phải đáp ứng các yêu cầu dưới đây khi vận hành ở các điều kiện quy định trong Bảng 4:
a) Trong suốt một phép thử trọn vẹn, thiết bị phải vận hành mà không có bất kỳ biểu hiện hư hỏng nào;
b) Các động cơ của thiết bị phải vận hành liên tục trong giờ thử đầu tiên mà không bật bất kỳ cơ cấu bảo vệ nào;
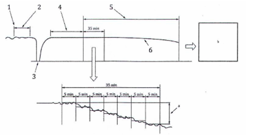
c) Sau khi ngắt đoạn nguồn cấp, thiết bị phải phục hồi lại hoạt động trong vòng 30 min và chạy liên tục trong 1 h, ngoại trừ như quy định trong 6.2.5.2 và 6.2.5.3. Xem Hình 2.

| CHÚ DẪN |
|
| 1 Nguồn điện cấp cho thiết bị bật 2 Nguồn điện cấp cho thiết bị tắt 3 Giai đoạn thử nghiệm chính thức bắt đầu 4 Nguồn điện cấp cho thiết bị tắt 5 Nguồn điện cấp cho thiết bị bật trở lại 6 Thời gian lớn nhất trước khi thiết bị phục hồi lại hoạt động liên tục 7 Kết thúc thử nghiệm, nếu thiết bị khởi động lại nhờ vào việc cấp lại nguồn 8 Kết thúc thử nghiệm, nếu thiết bị sử dụng đủ 30 min cho cơ cấu bảo vệ để cài đặt lại | a 30 min, vận hành ở trạng thái ổn định b 60 min, chạy vận hành liên tục ở điện áp nguồn giảm hoặc tăng c 3 min, nguồn tắt d 5 min, trong thời gian đó cơ cấu bảo vệ có thể bật e 30 min g,f 60 min vận hành liên tục sau khi thiết bị khởi động lại |
Hình 2 - Vận hành thử nghiệm tính năng tối đa
6.2.5.2 Cơ cấu bảo vệ chỉ có thể bật trong 5 min vận hành đầu tiên sau thời gian tắt máy 3 min. Trong suốt phần còn lại của thời gian thử nghiệm 1 h đó, không được có cơ cấu bảo vệ nào bị bật. Thiết bị phải được phép khởi động và dừng dưới sự điều khiển của bộ phận giới hạn tự động, nếu được trang bị.
6.2.5.3 Đối với các model thiết bị được thiết kế sao cho việc nối lại hoạt động không xảy ra sau khi cơ cấu bảo vệ bật lần đầu trong phạm vi 5 min đầu tiên, thiết bị có thể vẫn giữ trạng thái không hoạt động trong thời gian không quá 30 min. Sau đó thiết bị phải hoạt động liên tục trong 1 h.
6.3 Thử tính năng làm lạnh tối thiểu
6.3.1 Điều kiện chung
Thử nghiệm và các điều kiện vận hành quy định trong Bảng 5 phải được sử dụng khi tiến hành thử nghiệm tính năng làm lạnh tối thiểu. Thử nghiệm phải được tiến hành với thiết bị làm việc ở chế độ vận hành đầy tải, như định nghĩa trong 3.15, ngoại trừ như yêu cầu trong 6.3.3. Phép thử tính năng này không yêu cầu xác định năng suất lạnh và công suất điện đầu vào.
6.3.2 Điều kiện nhiệt độ
Các thử nghiệm phải được thực hiện trong các điều kiện nhiệt độ thiết lập trong Bảng 5.
6.3.3 Điều kiện dòng không khí
Các điều khiển, tốc độ quạt, van gió và lưới chắn của thiết bị phải được cài đặt để tối đa hóa xu hướng tạo ra băng tuyết hoặc đá trên giàn bay hơi, miễn là các cài đặt đó không trái ngược với hướng dẫn vận hành của nhà sản xuất. Trang thiết bị thử nghiệm phải giữ nguyên trong cấu hình đã thiết lập ở 5.2 và trong Phụ lục A.
6.3.4 Điều kiện thử nghiệm
6.3.4.1 Điều kiện ban đầu
Thiết bị phải được khởi động và vận hành cho đến khi đạt được các điều kiện vận hành ổn định theo các Bảng 5 và 13.
6.3.4.2 Khoảng thời gian thử nghiệm
Sau khi các điều kiện vận hành cho trong Bảng 5 đã đạt được ổn định, phù hợp với dung sai thử nghiệm trong Bảng 13, thiết bị phải được vận hành trong khoảng thời gian 4 h. Thiết bị phải được phép dừng và khởi động dưới sự điều khiển của bộ phận giới hạn tự động, nếu được trang bị.
Bảng 5 - Các điều kiện thử tính năng làm lạnh tối thiểu
| Thông số | Các điều kiện thử tiêu chuẩn | |
|
| T1 và T3 | T2 |
| Nhiệt độ của không khí vào phía trong phòng: |
|
|
| - Bầu khô | 21 °C | 21 °C |
| - Bầu ướt | 15 °C | 15 °C |
| Nhiệt độ của không khí vào phía ngoài trời: |
|
|
| - Bầu khô | 21 °C | 10°C |
| - Bầu ướta | - | - |
| Tần số thử nghiệmb | Tần số danh định | |
| Điện áp thử nghiệm | Xem Bảng 3 | |
| a Chỉ yêu cầu điều kiện nhiệt độ bầu ướt khi thử nghiệm các dàn ngưng giải nhiệt gió làm bay hơi nước ngưng. b Thiết bị có hai tần số danh định thì phải được thử nghiệm ở từng tần số đó. | ||
6.3.5 Yêu cầu tính năng
6.3.5.1 Thiết bị phải vận hành dưới các điều kiện quy định mà không có bất kỳ biểu hiện hư hỏng nào.
6.3.5.2 Thời điểm kết thúc phép thử 4 h, sự tích tụ băng tuyết hoặc đá trên dàn ống trong phòng không được phủ nhiều hơn 50 % diện tích bề mặt phía trong phòng của dàn ống trong phòng hoặc không được làm giảm lưu lượng không khí nhiều hơn 25 % lưu lượng không khí ban đầu. Nếu thiết bị không cho phép quan sát bằng mắt dàn ống trong phòng và nếu không đo được lưu lượng thể tích không khí phía trong phòng, thì phải đáp ứng các yêu cầu của 6.3.5.3.
6.3.5.3 Trong suốt khoảng thời gian thử 4 h, nhiệt độ điểm giữa của mỗi mạch dàn ống trong phòng hoặc áp suất hút phải được đo ở các khoảng thời gian bằng nhau cách nhau 1 min hoặc nhỏ hơn. Phép đo được thực hiện lúc 10 min từ khi bắt đầu phép thử 4 h được coi là giá trị ban đầu. Nếu đo được áp suất hút, thì giá trị này phải được sử dụng để tính toán nhiệt độ hút bão hòa.
a) Nếu máy nén (hoặc các máy nén) không OFF (tắt) trên các điều khiển tự động trong suốt phép thử, và
- Nếu các nhiệt độ mạch dàn ống được đo, các nhiệt độ này không được duy trì thấp hơn giá trị ban đầu tương ứng quá 2 K đối với từng mạch trong thời gian nhiều hơn 20 min liên tục, hoặc
- Nếu áp suất hút được đo, thi nhiệt độ hút bão hòa không được duy trì thấp hơn giá trị ban đầu quá 2 K trong thời gian nhiều hơn 20 min liên tục.
b) Nếu máy nén (hoặc các máy nén) có chu trình ON/OFF (bật/tắt) trên các điều khiển tự động trong suốt phép thử, và
- Nếu các nhiệt độ mạch dàn ống được đo, thì các nhiệt độ mạch riêng lẻ đo lúc 10 min từ khi bắt đầu của bất kỳ chu trình ON nào trong suốt phép thử không được thấp hơn nhiệt độ mạch ban đầu tương ứng quá 2 K, hoặc
- Nếu áp suất hút được đo, thì nhiệt độ hút bão hòa đo lúc 10 min từ khi bắt đầu của bất kỳ chu trình ON nào trong suốt phép thử không được thấp hơn nhiệt độ hút bão hòa ban đầu quá 2 K.
Nếu quạt trong phòng bị dừng bởi các điều khiển tự động trong quá trình thử nghiệm, dòng không khí đi qua dàn ống trong phòng phải được giảm xuống bằng không (0).
6.4 Thử tính năng kiểm soát ngưng tụ và đọng sương trên vỏ
6.4.1 Điều kiện chung
Các điều kiện phải được sử dụng trong suốt quá trình thử nghiệm kiểm soát ngưng tụ và đọng sương trên vỏ được cho trong Bảng 6. Thử nghiệm phải được tiến hành với thiết bị làm việc ở chế độ vận hành đầy tải, như định nghĩa trong 3.15, ngoại trừ như yêu cầu trong 6.4.3. Phép thử tính năng này không yêu cầu xác định năng suất lạnh và công suất điện đầu vào.
6.4.2 Điều kiện nhiệt độ
Các điều kiện nhiệt độ phải được sử dụng trong thử nghiệm này được cho trong Bảng 6.
6.4.3 Điều kiện dòng không khí
Các điều khiển, quạt, van gió và lưới chắn của thiết bị phải được cài đặt để tối đa hóa xu hướng tạo ra đọng sương, miễn là các cài đặt đó không trái ngược với hướng dẫn vận hành của nhà sản xuất.
6.4.4 Điều kiện thử nghiệm
6.4.4.1 Điều kiện ban đầu
Sau khi thiết lập các điều kiện nhiệt độ quy định, thiết bị phải được khởi động với khay chứa nước ngưng tụ được đổ đến điểm chảy tràn, và thiết bị phải được chạy cho đến khi dòng nước ngưng chảy đều.
6.4.4.2 Khoảng thời gian thử nghiệm
Thiết bị phải được vận hành trong khoảng thời gian 4 h.
6.4.5 Yêu cầu về tính năng
6.4.5.1 Khi vận hành trong các điều kiện thử nghiệm quy định ở Bảng 6, không được có nước ngưng nhỏ giọt, chảy hoặc thổi ra từ thiết bị.
6.4.5.2 Thiết bị thải nước ngưng vào không khí làm mát dàn ngưng phải loại bỏ tất cả nước ngưng và không được có nước nhỏ giọt hoặc thổi ra từ thiết bị làm công trình nhà hoặc vùng xung quanh bị ướt.
Bảng 6 - Các điều kiện thử kiểm soát ngưng tụ
| Thông số | Các điều kiện thử nghiệm tiêu chuẩn |
| Nhiệt độ của không khí vào phía trong phòng: |
|
| - Bầu khô | 27 °C |
| - Bầu ướt | 24 °C |
| Nhiệt độ của không khí vào phía ngoài trời: |
|
| - Bầu khô | 27 °C |
| - Bầu ướta | 24 °C |
| Tần số thử nghiệmb | Tần số danh định |
| Điện áp thử nghiệm | Xem Bảng 3 |
| a Chỉ yêu cầu điều kiện nhiệt độ bầu ướt khi thử nghiệm các dàn ngưng giải nhiệt gió làm bay hơi nước ngưng. b Thiết bị có hai tần số danh định thì phải được thử nghiệm ở từng tần số đó. | |
7 Thử sưởi
7.1 Thử năng suất sưởi
7.1.1 Điều kiện chung
7.1.1.1 Đối với tất cả các phép thử năng suất sưởi, phải áp dụng các yêu cầu được quy định trong Phụ lục B. Thử nghiệm phải được tiến hành bằng sử dụng phương pháp và dụng cụ đo đáp ứng các yêu cầu của 8.1 và 8.2.
7.1.1.2 Các điện trở lựa chọn sử dụng để sưởi không khí trong phòng phải được ngăn chặn không cho hoạt động trong suốt tất cả các thử nghiệm năng suất sưởi, ngoại trừ các phần tử chỉ được sử dụng trong chu kỳ xả băng.
7.1.1.3 Việc thiết lập thử nghiệm phải bao gồm cả dụng cụ đo cho phép đo sự thay đổi nhiệt độ qua dàn ống trong phòng. Nếu sử dụng phương pháp entanpy không khí trong phòng, có thể sử dụng cùng các cảm biến nhiệt độ bầu khô như để đo năng suất. Nếu sử dụng phương pháp thử bằng buồng nhiệt lượng, sự thay đổi nhiệt độ phải được xác định bằng sử dụng các cảm biến quy định trong Phụ lục D.
7.1.1.4 Các điều kiện xác định thông số tiêu chuẩn cho các thử nghiệm năng suất sưởi được quy định trong Bảng 7.
7.1.1.5 Tất cả các thử nghiệm năng suất sưởi trong Điều 7 phải được tiến hành với bơm nhiệt làm việc ở chế độ vận hành đầy tải, như định nghĩa ở 3.15.
7.1.1.6 Đối với máy nén điều khiển biến tần, nhà sản xuất phải quy định tần số cụ thể cần thiết để cho chế độ vận hành đầy tải. Bơm nhiệt phải được duy trì ở tần số này đối với tất cả các thử nghiệm năng suất sưởi. Nếu nhà sản xuất bơm nhiệt sử dụng máy nén biến tốc mà không cung cấp thông tin về tần số chạy đầy tải và cách đạt được nó trong các thử nghiệm năng suất sưởi, khi đó bơm nhiệt phải được vận hành với bộ điều nhiệt hoặc bộ điều khiển của nó được cài đặt ở nhiệt độ lớn nhất cho phép.
Bảng 7 - Các điều kiện xác định thông số năng suất sưởi
| Thông số | Các điều kiện xác định thông số tiêu chuẩn | ||
| H1a - điều kiện lạnh vừa | H2a - điều kiện lạnh | H3a - điều kiện rất lạnh | |
| Nhiệt độ của không khí vào phía trong phòng: |
|
|
|
| - Bầu khô |
| 20 °C |
|
| - Bầu ướt (tối đa) |
| 15 °C |
|
| Nhiệt độ của không khí vào phía ngoài trời: |
|
|
|
| - Bầu khô | 7 °C | 2 °C | - 7 °C |
| - Bầu ướt | 6 °C | 1 °C | - 8 °C |
| Tần số thử nghiệmb | Tần số danh định | ||
| Điện áp thử nghiệm | Xem Bảng 3 | ||
| a Nếu chu kỳ xả băng xuất hiện trong các thử nghiệm năng suất sưởi ở điều kiện H1, H2 hoặc H3, thì thử nghiệm trong các điều kiện này phải được thực hiện bằng phương pháp buồng nhiệt lượng hoặc entanpy không khí trong phòng (xem các Phụ lục D và E). b Thiết bị có hai tần số danh định thì phải được thử nghiệm ở từng tần số đó. | |||
7.1.2 Điều kiện nhiệt độ
7.1.2.1 Có ba điều kiện nhiệt độ phía ngoài trời khác nhau, được ký hiệu là H1-điều kiện lạnh vừa, H2-điều kiện lạnh và H3-điều kiện rất lạnh, được quy định trong Bảng 7.
7.1.2.2 Các điều kiện nhiệt độ trong Bảng 7 đối với không khí vào thiết bị phía trong phòng phải được sử dụng cho tất cả các thử nghiệm năng suất sưởi.
7.1.2.3 Tất cả các bơm nhiệt phải được xác định thông số dựa trên thử nghiệm ở điều kiện nhiệt độ H1. Các thử nghiệm năng suất sưởi cũng phải được tiến hành ở điều kiện H2 và/hoặc H3, nếu nhà sản xuất xác định thông số thiết bị đối với hoạt động ở một hoặc cả hai điều kiện nhiệt độ này.
7.1.2.4 Nếu bơm nhiệt được xác định thông số đối với hoạt động ở hai tần số, hoặc trong một số trường hợp nếu thiết bị có hai điện áp danh định thì phải tiến hành nhiều hơn một phép thử năng suất sưởi tại từng điều kiện nhiệt độ phía ngoài trời áp dụng được. Bảng 7 (và Bảng 3) phải được sử dụng để xác định nếu có yêu cầu các phép thử năng suất lạnh bổ sung.
7.1.3 Điều kiện dòng không khí
7.1.3.1 Điều kiện chung
7.1.3.1.1 Việc đo lưu lượng thể tích không khí phía trong phòng là bắt buộc trong tất cả các trường hợp, bất kể phép đo sơ bộ đo năng suất sưởi sử dụng phương pháp thử bằng buồng nhiệt lượng hay phương pháp thử entanpy không khí trong phòng.
7.1.3.1.2 Các phép đo dòng không khí phải được thực hiện phù hợp với các điều khoản quy định trong Phụ lục C, khi thích hợp, cũng như các điều khoản được thiết lập trong các phụ lục thích hợp khác của tiêu chuẩn này.
CHÚ THÍCH: Tất cả các lưu lượng không khí được biểu thị bằng đơn vị m3/s theo không khí tiêu chuẩn. Trong các tính toán năng suất sưởi mô tả trong Phụ lục E, lưu lượng không khí phía trong phòng được biểu thị bằng đơn vị m3/s theo hỗn hợp hơi nước-không khí.
7.1.3.1.3 Khi các thử nghiệm được tiến hành ở các cài đặt khác với các cài đặt quy định trong 7.1.3.1.1 và 7.1.3.1.2, phải ghi chú các cài đặt thay thế này đi cùng với các thông số năng suất sưởi.
7.1.3.2 Các yêu cầu khi thử nghiệm bơm nhiệt cung cấp cả làm lạnh và sưởi
7.1.3.2.1 Các cài đặt thiết bị, cả phía trong phòng và ngoài trời, phải giống như các cài đặt được thiết lập trong các thử nghiệm năng suất lạnh. Các thử nghiệm năng suất sưởi phải được tiến hành ở lưu lượng không khí phía ngoài trời vốn có gắn liền với mạch (vòng tuần hoàn) không khí phía ngoài trời, ngoại trừ bất kỳ điều chỉnh nào được phép nếu sử dụng phương pháp thử entanpy không khí ngoài trời (xem Phụ lục G).
7.1.3.2.2 Các thử nghiệm năng suất sưởi phải được tiến hành với cùng cài đặt của van gió hoặc quạt thải như cho phép thử năng suất lạnh. Nếu các thử nghiệm năng suất lạnh được tiến hành cho nhiều hơn một điều kiện khí hậu (T1, T2, T3), với các lưu lượng khác nhau, khi đó phải sử dụng cài đặt cho lưu lượng cao nhất để tiến hành các thử nghiệm năng suất sưởi.
7.1.3.3 Các yêu cầu khi thử nghiệm bơm nhiệt chỉ cung cấp sưởi
7.1.3.3.1 Đối với phía ngoài trời của bơm nhiệt, tất cả các phần tử trở lực liên quan đến cửa vào, cửa chớp và bất kỳ ống dẫn nào và các bộ phận đi kèm được nhà sản xuất xem xét là kỹ thuật lắp đặt thông thường phải được lắp đặt. Nếu dòng không khí phía ngoài trời điều chỉnh được, thì tất cả các thử nghiệm phải được tiến hành tại giá trị cài đặt điều khiển quạt phía ngoài trời do nhà sản xuất quy định. Một khi đã được thiết lập, mạch không khí phía ngoài trời của thiết bị phải duy trì không thay đổi trong suốt tất cả các thử nghiệm được quy định trong tiêu chuẩn này, ngoại trừ để điều chỉnh cho bất kỳ thay đổi nào gây ra bởi bộ phận đi kèm của dụng cụ đo dòng không khí khi sử dụng phương pháp thử entanpy không khí ngoài trời (xem Phụ lục G).
7.1.3.3.2 Đối với phía trong phòng của bơm nhiệt, vị trí của van gió, tốc độ quạt, v.v phải được cài đặt theo hướng dẫn lắp đặt đã công bố của nhà sản xuất mà được trang bị kèm thiết bị. Trong trường hợp không có hướng dẫn lắp đặt đó, thì vị trí van gió, tốc độ quạt, v.v phải được cài đặt để cung cấp năng suất sưởi lớn nhất khi thử nghiệm ở điều kiện nhiệt độ H1.
7.1.3.3.3 Cài đặt bơm nhiệt sử dụng cho thử nghiệm ở điều kiện H1 phải được sử dụng trong suốt các thử nghiệm ở điều kiện H2 và/hoặc H3, nếu được tiến hành. Không yêu cầu ESP tối thiểu, pe, khi thử nghiệm ở các điều kiện thử H2 và H3.
7.1.4 Vận hành xả băng
7.1.4.1 Không được phép tắt điều khiển xả băng tự động. Điều khiển này chỉ có thể được tắt khi kích hoạt thủ công một chu kỳ xả băng trong quá trình thiết lập điều kiện ban đầu.
7.1.4.2 Bất kỳ chu kỳ xả băng nào, dù được kích hoạt tự động hoặc thủ công, xảy ra trong khi chuẩn bị hoặc tiến hành thử nghiệm năng suất sưởi phải luôn được kết thúc một cách tự động bởi các điều khiển xả băng của bơm nhiệt.
7.1.4.3 Nếu bơm nhiệt tắt quạt trong phòng trong suốt chu kỳ xả băng, thì dòng không khí qua dàn ống trong phòng phải ngừng lại.
7.1.5 Quy trình thử nghiệm - Quy định chung
7.1.5.1 Quy trình thử nghiệm gồm ba giai đoạn: giai đoạn thiết lập điều kiện ban đầu, giai đoạn cân bằng và giai đoạn thu thập dữ liệu. Thời gian của giai đoạn thu thập dữ liệu khác nhau và phụ thuộc vào trạng thái vận hành của bơm nhiệt là ổn định hay không ổn định. Ngoài ra, trong trường hợp vận hành không ổn định, khoảng thời gian thu thập dữ liệu quy định khi sử dụng phương pháp entanpy không khí trong phòng (xem 7.1.11.5) là khác so với khoảng thời gian thu thập dữ liệu yêu cầu nếu sử dụng phương pháp buồng nhiệt lượng (xem 7.1.11.6).
7.1.5.2 Phụ lục M trình bày dạng hình ảnh hầu hết các trình tự thử nghiệm khác nhau có thể có khi tiến hành một phép thử năng suất sưởi.
7.1.6 Giai đoạn thiết lập điều kiện ban đầu
7.1.6.1 Trang thiết bị thiết lập lại điều kiện cho phòng thử và bơm nhiệt được thử phải được vận hành cho đến khi đạt được các dung sai thử nghiệm quy định trong 8.3 trong ít nhất 10 min.
7.1.6.2 Chu kỳ xả băng có thể kết thúc một giai đoạn thiết lập điều kiện ban đầu. Nếu chu kỳ xả băng không kết thúc giai đoạn thiết lập điều kiện ban đầu, thì bơm nhiệt phải vận hành ở chế độ sưởi trong ít nhất 10 min sau khi kết thúc xả băng, trước khi bắt đầu giai đoạn cân bằng.
7.1.6.3 Khuyến nghị là giai đoạn thiết lập điều kiện ban đầu nên kết thúc với chu kỳ xả băng được kích hoạt tự động hoặc thủ công khi thử nghiệm ở các điều kiện nhiệt độ H2 và H3.
7.1.7 Giai đoạn cân bằng
7.1.7.1 Giai đoạn cân bằng tiếp ngay sau giai đoạn thiết lập điều kiện ban đầu.
7.1.7.2 Một giai đoạn cân bằng đầy đủ sẽ kéo dài trong 1 h.
7.1.7.3 Ngoại trừ như quy định trong 7.1.11.3, bơm nhiệt phải vận hành trong khi đáp ứng các dung sai thử nghiệm ở 8.3.
7.1.8 Giai đoạn thu thập dữ liệu
7.1.8.1 Giai đoạn thu thập dữ liệu tiếp ngay sau giai đoạn cân bằng.
7.1.8.2 Dữ liệu phải được thu thập như quy định trong 8.1 cho phương pháp thừ đã chọn. Nếu sử dụng phương pháp buồng nhiệt lượng, năng suất sưởi phải được tính toán theo Phụ lục D. Nếu sử dụng phương pháp entanpy không khí trong phòng, năng suất sưởi phải được tính toán theo Phụ lục E. Đối với các trường hợp trong đó sử dụng một trong các phương pháp thử xác nhận trong 8.1.3, năng suất sưởi phải được tính toán theo quy định trong các phụ lục thích hợp.
7.1.8.3 Sử dụng công tơ điện tích hợp (oát-giờ) hoặc hệ thống đo để đo năng lượng điện cấp cho thiết bị. Trong các chu kỳ xả băng và trong vòng 10 min đầu tiên sau khi kết thúc xả băng, công tơ hoặc hệ thống đo này phải có tốc độ lấy mẫu ít nhất là 10 s một lần.
7.1.8.4 Trừ theo quy định trong 7.1.8.3 và 7.1.8.5, dữ liệu phải được lấy mẫu ở các khoảng thời gian bằng nhau cách nhau 30 s hoặc nhỏ hơn.
7.1.8.5 Trong các chu kỳ xả băng, cộng thêm 10 min đầu tiên sau khi kết thúc xả băng, dữ liệu được sử dụng trong việc đánh giá năng suất sưởi tích hợp của bơm nhiệt phải được lấy mẫu tại các khoảng thời gian bằng nhau cách nhau 10 s hoặc nhỏ hơn. Khi sử dụng phương pháp entanpy không khí trong phòng, các dữ liệu được lấy mẫu với tần suất nhanh hơn này bao gồm cả sự thay đổi về nhiệt độ bầu khô phía trong phòng. Khi sử dụng phương pháp buồng nhiệt lượng, các dữ liệu được lấy mẫu với tần suất nhanh hơn này bao gồm tất cả các đại lượng đo yêu cầu để xác định năng suất phía trong phòng.
7.1.8.6 Đối với bơm nhiệt tự động tắt quạt trong phòng trong quá trình xả băng, sự đóng góp của nhiệt tinh cung cấp và/hoặc sự thay đổi về nhiệt độ bầu khô phía trong phòng phải được gán giá trị bằng không (0) khi quạt trong phòng tắt, nếu sử dụng phương pháp entanpy không khí trong phòng. Nếu sử dụng phương pháp thử bằng buồng nhiệt lượng, thì việc tích hợp năng suất sẽ vẫn tiếp tục trong khi quạt trong phòng tắt.
7.1.8.7 Đối với cả hai phương pháp thử entanpy không khí trong phòng và buồng nhiệt lượng, phải đo chênh lệch giữa nhiệt độ bầu khô của không khí vào và ra dàn ống trong phòng. Đối với từng khoảng cách nhau 5 min trong giai đoạn thu thập dữ liệu, phải tính toán chênh lệch nhiệt độ trung bình, ∆ti(τ). Chênh lệch nhiệt độ trung bình trong 5 min đầu tiên của giai đoạn thu thập dữ liệu, ∆ti(τ = 0), phải được lưu lại cho mục đích tính toán sự thay đổi, ∆t, tính bằng phần trăm, được cho trong công thức (1):
|
| (1) |
7.1.9 Quy trình thử khi chu kỳ xả băng (được kích hoạt tự động hoặc thủ công) kết thúc giai đoạn thiết lập điều kiện ban đầu
7.1.9.1 Nếu %∆t vượt quá 2,5 % trong 35 min đầu tiên của giai đoạn thu thập dữ liệu, thì thử nghiệm năng suất sưởi phải được chỉ định là phép thử ở trạng thái không ổn định (xem 7.1.11). Tương tự như vậy, nếu bơm nhiệt kích hoạt một chu kỳ xả băng trong giai đoạn cân bằng hoặc trong 35 min đầu tiên của giai đoạn thu thập dữ liệu, thì thử nghiệm năng suất sưởi cũng phải được chỉ định là phép thử ở trạng thái không ổn định.
7.1.9.2 Nếu các điều kiện quy định ở 7.1.9.1 không xảy ra và các dung sai thử nghiệm cho trong 8.3 được thỏa mãn trong cả giai đoạn cân bằng và 35 min đầu tiên của giai đoạn thu thập dữ liệu, thì thử nghiệm năng suất sưởi phải được chỉ định là phép thử ở trạng thái ổn định. Các thử nghiệm ở trạng thái ổn định phải được kết thúc sau 35 min thu thập dữ liệu.
7.1.10 Quy trình thử khi chu kỳ xả băng không kết thúc giai đoạn thiết lập điều kiện ban đầu
7.1.10.1 Nếu bơm nhiệt kích hoạt một chu kỳ xả băng trong giai đoạn cân bằng hoặc trong 35 min đầu tiên của giai đoạn thu thập dữ liệu, thử nghiệm năng suất sưởi phải được bắt đầu lại như quy định ở 7.1.10.3.
7.1.10.2 Nếu %∆t vượt quá 2,5 % tại bất kỳ thời điểm nào trong 35 min đầu tiên của giai đoạn thu thập dữ liệu, thử nghiệm năng suất sưởi phải được bắt đầu lại như quy định ở 7.1.10.3. Trước khi bắt đầu lại, phải chờ tới khi xảy ra chu kỳ xả băng. Chu kỳ xả băng này có thể được kích hoạt thủ công hoặc bị trễ lại cho đến khi bơm nhiệt kích hoạt xả băng tự động.
7.1.10.3 Nếu áp dụng 7.1.10.1 hoặc 7.1.10.2, thì việc bắt đầu lại phải bắt đầu 10 min sau khi chu kỳ xả băng kết thúc với giai đoạn cân bằng kéo dài hàng giờ mới. Lần thử thứ hai này phải tuân theo các yêu cầu của 7.1.7 và 7.1.8 và theo quy trình thử ở 7.1.9.
7.1.10.4 Nếu các điều kiện quy định trong 7.1.10.1 hoặc 7.1.10.2 không xảy ra và các dung sai thử nghiệm cho trong 8.3 được thỏa mãn trong cả giai đoạn cân bằng và trong 35 min đầu tiên của giai đoạn thu thập dữ liệu, thì thử nghiệm năng suất sưởi phải được chỉ định là phép thử ở trạng thái ổn định. Các thử nghiệm ở trạng thái ổn định phải được kết thúc sau ít nhất 35 min thu thập dữ liệu.
7.1.11 Quy trình thử cho các thử nghiệm ở trạng thái không ổn định
7.1.11.1 Khi phù hợp với 7.1.9.1, thử nghiệm năng suất sưởi được chỉ định là phép thử ở trạng thái không ổn định, thì phải áp dụng các điều chỉnh quy định trong 7.1.11.2 đến 7.1.11.6.
7.1.11.2 Không được sử dụng phương pháp thử entanpy không khí ngoài trời và trang thiết bị đo phía ngoài trời liên quan của nó phải được ngắt kết nối khỏi bơm nhiệt. Trong tất cả các trường hợp, dòng không khí phía ngoài trời bình thường của bơm nhiệt phải không bị xáo trộn. Không yêu cầu sử dụng các phương pháp thử xác nhận khác.
7.1.11.3 Để cấu thành phép thử năng suất sưởi ở trạng thái không ổn định hợp lệ, phải đạt được các dung sai thử nghiệm quy định trong Bảng 8 trong cả giai đoạn cân bằng và giai đoạn thu thập dữ liệu. Như chú thích trong Bảng 8, các dung sai thử nghiệm được quy định cho hai khoảng thời gian phụ. Khoảng H bao gồm các dữ liệu được thu thập trong mỗi khoảng thời gian sưởi trừ 10 min đầu tiên sau khi kết thúc xả băng. Khoảng D bao gồm các dữ liệu được thu thập trong mỗi chu kỳ xả băng cộng với 10 min đầu tiên của khoảng thời gian sưởi kế tiếp.
7.1.11.4 Các thông số dung sai thử nghiệm trong Bảng 8 phải được xác định trong suốt các giai đoạn cân bằng và thu thập dữ liệu. Tất cả các dữ liệu được thu thập trong mỗi khoảng H hoặc D phải được sử dụng để đánh giá sự tuân thủ các dung sai thử nghiệm của Bảng 8. Không được kết hợp dữ liệu từ hai hoặc nhiều hơn hai khoảng H hoặc từ hai hoặc nhiều hơn hai khoảng D và sau đó sử dụng để đánh giá sự tuân thủ Bảng 8. Sự tuân thủ phải dựa trên việc đánh giá các dữ liệu từ mỗi khoảng riêng biệt.
7.1.11.5 Nếu sử dụng phương pháp entanpy không khí trong phòng, giai đoạn thu thập dữ liệu phải được tiếp tục cho đến 3 h hoặc cho đến khi bơm nhiệt hoàn thành ba chu kỳ đầy đủ trong giai đoạn này, lấy giá trị nào xảy ra trước. Nếu tại thời điểm đã trôi qua 3 h, bơm nhiệt đang tiến hành chu kỳ xả băng thì chu kỳ này phải được hoàn thành trước khi kết thúc việc thu thập dữ liệu. Một chu kỳ đầy đủ gồm có giai đoạn sưởi và giai đoạn xả băng, từ kết thúc lần xả băng này đến kết thúc lần xả băng tiếp theo.
7.1.11.6 Nếu sử dụng phương pháp buồng nhiệt lượng, giai đoạn thu thập dữ liệu phải được tiếp tục cho đến 6 h hoặc cho đến khi bơm nhiệt hoàn thành sáu chu kỳ đầy đủ trong giai đoạn này, lấy giá trị nào xảy ra trước. Nếu tại thời điểm đã trôi qua 6 h, bơm nhiệt đang tiến hành chu kỳ xả băng thì chu kỳ này phải được hoàn thành trước khi kết thúc việc thu thập dữ liệu. Một chu kỳ đầy đủ gồm có giai đoạn sưởi và giai đoạn xả băng; từ kết thúc lần xả băng này đến kết thúc lần xả băng tiếp theo.
CHÚ THÍCH: Các chu kỳ kế tiếp nhau lả sự lặp lại với các khoảng thời gian tạo băng và xả băng tương tự nhau trước khi lựa chọn dữ liệu để sử dụng cho việc tính toán năng suất và công suất tích hợp.
7.1.11.7 Do yêu cầu về phương pháp thử xác nhận trong 8.1.3, trang thiết bị thử nghiệm entanpy không khí ngoài trời có thể phải được ngắt kết nối khỏi bơm nhiệt, như quy định trong 7.1.11.2, trong quá trình thử năng suất sưởi. Nếu có yêu cầu ngắt kết nối trong quá trình thử nghiệm, khoảng thời gian chuyển đổi này không được tính là một phần của thời gian trôi qua của các giai đoạn cân bằng hoặc thu thập dữ liệu. Khoảng thời gian chuyển đổi phải được xác định là bắt đầu ngay khi thử nghiệm năng suất sưởi được chỉ định là phép thử ở trạng thái không ổn định và kết thúc khi các dung sai thử nghiệm ở Bảng 8 được thiết lập lại lần đầu tiên sau khi trang thiết bị thử entanpy không khí ngoài trời được ngắt kết nối khỏi bơm nhiệt.
Bảng 8 - Các sai lệch cho phép trong các thử nghiệm năng suất sưởi khi sử dụng quy trình thử ở trạng thái không ổn định (T)
| Số đọc | Sai lệch của các giá trị trung bình cộng so với điều kiện thử nghiệm quy định | Sai lệch của các số đọc riêng lẻ so với điều kiện thử nghiệm quy định | ||
|
| Khoảng Ha | Khoảng Db | Khoảng Ha | Khoảng Db |
| Nhiệt độ của không khí vào phía trong phòng: |
|
|
|
|
| - Bầu khô | ± 0,6 K | ± 1,5 K | ± 1,0 K | ± 2,5 K |
| - Bầu ướt | - | - | - |
|
| Nhiệt độ của không khí vào phía ngoài trời: |
|
|
|
|
| - Bầu khô | ± 0,6 K | ± 1,5 K | ± 1,0 K | ± 5,0 K |
| - Bầu ướt | ± 0,3 K | ±1,0 K | ± 0,6 K |
|
| Điện áp | - | - | ± 2% | ± 2% |
| Trở lực bên ngoài đối với dòng không khí | ±5 Pa | - | ±5 Pa | - |
| a Áp dụng khi bơm nhiệt ở chế độ sưởi, ngoại trừ 10 min đầu tiên sau khi kết thúc chu kỳ xả băng. b Áp dụng trong chu kỳ xả băng và trong 10 min đầu tiên sau khi kết thúc chu kỳ xả băng khi bơm nhiệt đang vận hành ở chế độ sưởi. | ||||
7.1.12 Kết quả thử nghiệm năng suất sưởi
7.1.12.1 Điện năng cung cấp cho bơm nhiệt trong quá trình thử nghiệm phải được ghi lại, cùng với thời gian trôi qua tương ứng, tại thời điểm kết thúc mỗi chu kỳ xả băng trong giai đoạn thu thập dữ liệu, nếu thích hợp áp dụng, và tại thời điểm kết thúc giai đoạn thu thập dữ liệu.
7.1.12.2 Năng suất sưởi trung bình và công suất điện đầu vào trung bình phải được tính toán phù hợp với 9.1.4. Đối với các thử nghiệm ở trạng thái không ổn định, các đại lượng này phải được tính toán bằng sử dụng các dữ liệu từ tổng số các chu kỳ đầy đủ đạt được trước khi kết thúc giai đoạn thu thập dữ liệu. Trong tình huống mà chu kỳ đầy đủ không xảy ra trong suốt giai đoạn thu thập dữ liệu của thử nghiệm ở trạng thái không ổn định, thì tập hợp dữ liệu đầy đủ phải được sử dụng cho các tính toán (xem 9.1.4.2).
7.2 Thử tính năng sưởi tối đa
7.2.1 Điều kiện chung
Các điều kiện cho trong Bảng 9 phải được sử dụng trong thử nghiệm tính năng sưởi tối đa. Thử nghiệm phải được tiến hành với thiết bị làm việc ở chế độ vận hành đầy tải, như định nghĩa trong 3.15.
Điện áp thử nghiệm trong Bảng 9 phải được duy trì ở tỉ lệ phần trăm quy định dưới các điều kiện vận hành.
Phép thử tính năng này không yêu cầu xác định năng suất sưởi và công suất điện đầu vào.
7.2.2 Điều kiện nhiệt độ
Các điều kiện nhiệt độ cho trong Bảng 9 phải được sử dụng trong các thử nghiệm này, trừ khi nhà sản xuất quy định các điều kiện nhiệt độ cao hơn trong các tờ đặc tính kỹ thuật thiết bị của nhà sản xuất.
Bảng 9 - Các điều kiện thử tính năng sưởi tối đa
| Thông số | Các điều kiện thử tiêu chuẩn |
| Nhiệt độ của không khí vào phía trong phòng: |
|
| - Bầu khô | 27 °C |
| Nhiệt độ của không khí vào phía ngoài trời: |
|
| - Bầu khô | 24 °C |
| - Bầu ướt | 18 °C |
| Tần số thử nghiệma | Tần số danh định |
| Điện áp thử nghiệm | a) 90 % và 110 % điện áp danh định với thiết bị có điện áp đơn trên nhãn b) 90 % điện áp danh định thấp và 110 % điện áp danh định cao cho các thiết bị có hai điện áp trên nhãn hoặc dải điện áp kéo dài |
| a Thiết bị có hai tần số danh định thì phải được thử nghiệm ở từng tần số đó. | |
7.2.3 Điều kiện dòng không khí
Thử tính năng sưởi tối đa phải được tiến hành với cài đặt tốc độ quạt phía trong phòng như xác định trong 5.2 và Phụ lục A, ngoại trừ như yêu cầu ở 7.2.4.1. Đối với các bơm nhiệt chỉ sưởi ấm, tốc độ quạt phía trong phòng phải được cài đặt như quy định ở 7.1.3.3, ngoại trừ như yêu cầu ở 7.2.4.1.
7.2.4 Điều kiện thử nghiệm
7.2.4.1 Điều kiện ban đầu
Các điều khiển của thiết bị phải được cài đặt cho sưởi tối đa. Tất cả các van lấy gió tươi và các van gió thải, nếu được trang bị, phải được đóng.
7.2.4.2 Khoảng thời gian thử nghiệm
Thiết bị phải được vận hành trong 1 h sau khi đã đạt được các nhiệt độ không khí quy định từ Bảng 9 và Bảng 13. Thiết bị phải được phép dừng và khởi động theo điều khiển của bộ phận giới hạn tự động, nếu được trang bị.
7.2.5 Yêu cầu về tính năng
Thiết bị phải vận hành trong các điều kiện quy định ở Bảng 9 và 7.2.4.2 mà không có biểu hiện hư hỏng. Thiết bị phải được phép dừng và khởi động theo điều khiển của bộ phận giới hạn tự động, nếu được trang bị. Sau khi ngắt đoạn hoạt động, thiết bị phải phục hồi lại hoạt động trong vòng 30 min. Xem Hình 2.
7.3 Thử tính năng sưởi tối thiểu
7.3.1 Điều kiện chung
Các điều kiện cho trong Bảng 10 phải được sử dụng trong thử nghiệm này. Thử nghiệm phải được tiến hành với thiết bị làm việc ở chế độ vận hành đầy tải, như định nghĩa trong 3.15. Điện áp phải được duy trì ở giá trị quy định dưới các điều kiện vận hành. Phép thử tính năng này không yêu cầu xác định năng suất sưởi và công suất điện đầu vào. Thử nghiệm này chỉ áp dụng cho thiết bị bao gồm cả thông số tính năng cho khu vực H3.
7.3.2 Điều kiện nhiệt độ
Các điều kiện nhiệt độ của phép thử này phải như cho trong Bảng 10.
7.3.3 Điều kiện dòng không khí
Thử sưởi tối thiểu phải được tiến hành bằng sử dụng lưu lượng không khí phía trong phòng như được xác định trong 5.2 và Phụ lục A.
7.3.4 Điều kiện thử nghiệm
7.3.4.1 Điều kiện ban đầu
Thiết bị phải được vận hành trong 1 h dưới các điều kiện nhiệt độ và điện áp quy định trong Bảng 10.
Bảng 10 - Các điều kiện thử tính năng sưởi tối thiểu
| Thông số | Các điều kiện thử tiêu chuẩn |
| Nhiệt độ của không khí vào phía trong phòng: |
|
| - Bầu khô | 20 °C |
| Nhiệt độ của không khí vào phía ngoài trời: |
|
| - Bầu khô | - 7 °C |
| - Bầu ướt | - 8 °C |
| Tần số thử nghiệma | Tần số danh định |
| Điện áp thử nghiệmb | Xem Bảng 3 |
| a Thiết bị có hai tần số danh định thì phải được thử nghiệm ở từng tần số đó. b Thiết bị có hai giá trị điện áp danh định phải được thử ở điện áp cao hơn. Yêu cầu này đối với thử nghiệm ở điện áp đơn phải bỏ đi. | |
7.3.4.2 Khoảng thời gian thử nghiệm
Sau khi thiết bị đã đạt được các điều kiện vận hành ổn định phù hợp với Bảng 10 và Bảng 13, các điều kiện này phải được duy trì trong 1 h.
7.3.5 Yêu cầu về tính năng
Thiết bị phải hoạt động trong suốt quá trình thử nghiệm, không có kích hoạt bất kỳ cơ cấu thiết lập lại thủ công nào. Thiết bị phải được phép dừng và khởi động theo điều khiển của bộ phận giới hạn tự động, nếu được trang bị.
Thiết bị phải hoạt động trong các điều kiện quy định ở Bảng 10 và 7.3.4.2 mà không có biểu hiện hư hỏng.
7.4 Thử tính năng xả băng tự động
7.4.1 Điều kiện chung
Không yêu cầu thử nghiệm này nếu đảm bảo điều kiện là không khí lạnh (dưới 18 °C) không bị thổi vào không gian được điều hòa trong quá trình xả băng. Thử nghiệm phải được tiến hành với thiết bị làm việc ở chế độ vận hành đầy tải, như định nghĩa trong 3.15, ngoại trừ như yêu cầu ở 7.4.3. Các điều kiện về tần số thử nghiệm và điện áp thử nghiệm cho trong Bảng 7 phải được sử dụng trong thử nghiệm xả băng tự động. Phép thử tính năng này không yêu cầu xác định năng suất sưởi và công suất điện đầu vào.
7.4.2 Điều kiện nhiệt độ
Nhiệt độ của không khí vào phía trong phòng phải được cài đặt như quy định trong Bàng 7. Nhiệt độ của không khí vào phía ngoài trời phải được cài đặt như quy định cho điều kiện thử nghiệm H2 trong Bảng 7.
7.4.3 Điều kiện dòng không khí
Trừ khi bị nhà sản xuất cấm, quạt phía trong phòng sẽ được điều chỉnh đến tốc độ cao nhất và quạt của cụm phía ngoài trời được điều chỉnh đến tốc độ thấp nhất, nếu có thể điều chỉnh được một cách riêng rẽ. Tất cả các thông số khác phải được cài đặt như quy định trong 7.1.3.1.
7.4.4 Điều kiện thử nghiệm
7.4.4.1 Khoảng thời gian thử nghiệm
Thiết bị phải được vận hành cho đến khi các nhiệt độ quy định cho điều kiện H2 trong Bảng 7 đạt được ổn định.
Bơm nhiệt phải giữ nguyên vận hành trong hai khoảng thời gian xả băng đầy đủ hoặc trong 3 h, lấy giá trị nào dài hơn.
7.4.5 Yêu cầu về tính năng
Trong suốt khoảng thời gian xả băng, nhiệt độ của không khí từ phần thiết bị phía trong phòng không được thấp hơn 18 °C trong thời gian lâu hơn 1 min.
8 Phương pháp thử và độ không đảm bảo đo
8.1 Phương pháp thử
8.1.1 Quy định chung
Các thử nghiệm năng suất phải được tiến hành phù hợp với các yêu cầu thử nghiệm quy định trong Phụ lục B, sử dụng phương pháp thử bằng buồng nhiệt lượng (xem Phụ lục D) hoặc phương pháp thử entanpy không khí trong phòng (xem Phụ lục E), theo quy định các kết quả thử nằm trong phạm vi các giới hạn độ không đảm bảo đo được thiết lập ở 8.2.
8.1.2 Phương pháp thử bằng buồng nhiệt lượng
8.1.2.1 Khi sử dụng phương pháp buồng nhiệt lượng cho các thử nghiệm năng suất lạnh và cho các thử nghiệm năng suất sưởi ở trạng thái ổn định, phải sử dụng hai phương pháp đồng thời để xác định các năng suất. Một phương pháp xác định năng suất phía trong phòng và phương pháp còn lại đo năng suất phía ngoài trời. Năng suất được xác định bằng sử dụng các dữ liệu phía ngoài trời phải nằm trong giới hạn sai lệch 5 % giá trị đạt được bằng sử dụng các dữ liệu phía trong phòng để phép thử có giá trị hiệu lực.
8.1.2.2 Các điều kiện trạng thái ổn định đạt được khi năng suất đo được tại mỗi khoảng thời gian 5 min không thay đổi nhiều hơn 2 % so với giá trị năng suất trung bình đo được trong 35 min trước đó.
8.1.2.3 Trang thiết bị được sử dụng để tạo dòng không khí phía trong phòng và các phép đo áp suất tĩnh phải được đặt trong buồng thử phía trong phòng của buồng nhiệt lượng cho tất cả các thử nghiệm ngoại trừ phương pháp trở lực ống gió cố định quy định trong A.3 được sử dụng để cài đặt dòng không khí. Trong trường hợp này, trang thiết bị đo dòng không khí có thể được tháo ra sau khi van gió đã được cài đặt để đạt được dòng không khí và áp suất tĩnh bên ngoài yêu cầu như quy định trong Phụ lục A.
8.1.3 Phương pháp entanpy không khí trong phòng
8.1.3.1 Đối với các thử nghiệm năng suất lạnh và các thử nghiệm năng suất sưởi ở trạng thái ổn định, khuyến nghị thực hiện một thử nghiệm xác nhận để kiểm tra xác nhận các kết quả nhận được bằng sử dụng phương pháp thử entanpy không khí trong phòng. Một trong các phương pháp thử dưới đây có thể được sử dụng cho mục đích xác nhận:
a) Phương pháp thử entanpy môi chất lạnh (xem Phụ lục F);
b) Phương pháp thử entanpy không khí ngoài trời (xem Phụ lục G);
c) Phương pháp thử xác nhận bằng buồng nhiệt lượng trong phòng (xem Phụ lục H);
d) Phương pháp thử xác nhận bằng buồng nhiệt lượng ngoài trời (xem Phụ lục I);
e) Phương pháp thử xác nhận bằng buồng nhiệt lượng kiểu cân bằng (xem Phụ lục J).
CHÚ THÍCH: Không được sử dụng Phụ lục J làm thử nghiệm xác nhận bởi các phòng thí nghiệm (xem J.1.1).
8.1.3.2 Các kết quả của lần thử nghiệm sơ bộ phải trùng với các kết quả của lần thử nghiệm xác nhận trong phạm vi sai lệch 5 % để có giá trị hiệu lực.
Các điều kiện trạng thái ổn định đạt được khi năng suất đo được tại mỗi khoảng thời gian 5 min không thay đổi nhiều hơn 2,5 % so với giá trị năng suất trung bình đo được trong 35 min trước đó.
8.1.4 Các thử nghiệm năng suất
Với chu kỳ làm lạnh, khuyến nghị là năng suất lạnh ẩn nên được xác định bằng phương pháp nước ngưng lạnh (xem Phụ lục M), theo quy định các kết quả thử nằm trong phạm vi các giới hạn độ không đảm bảo đo được thiết lập ở 8.2.
8.2 Độ không đảm bảo đo
8.2.1 Các độ không đảm bảo đo không được vượt quá các giá trị quy định trong Bảng 11.
CHÚ THÍCH: Độ không đảm bảo đo có thể được ước lượng. ISO/TS 16491 là hướng dẫn thích hợp sẵn có. Xem tài liệu tham khảo [4].
Bảng 11 - Độ không đảm bảo đo
| Đại lượng đo được | Độ không đảm bảo đoa |
| Nước: |
|
| - Nhiệt độ | 0,1 °C |
| - Chênh lệch nhiệt độ | 0,1 °C |
| - Lưu lượng thể tích | 1% |
| - Chênh lệch áp suất tĩnh | 5% |
| Không khí: |
|
| - Nhiệt độ bầu khô | 0,2 °C |
| - Nhiệt độ bầu ướt lớn hơn 0 °Cb | 0,2 °C |
| - Nhiệt độ bầu ướt nhỏ hơn hoặc bằng 0 °Cb | 0,3 °C |
| - Lưu lượng thể tích | 5% |
| - Chênh lệch áp suất tĩnh | 5 Pa đối với áp suất ≤ 100 P 5 % đối với áp suất > 100 Pa |
| Các đại lượng điện | 0,5 % |
| Thời gian | 0,2 % |
| Khối lượng | 1,0 % |
| Tốc độ | 1,0 % |
| Áp suất môi chất lạnh | 2,0 % |
| CHÚ THÍCH: Độ không đảm bảo đo nói chung gồm nhiều thánh phần. Một số thành phần này có thể được ước lượng dựa trên phân bố thống kê các kết quả của loạt các phép đo và có thể được đặc trưng bởi các độ lệch chuẩn thực nghiệm. Các ước lượng của các thành phần khác có thể dựa trên kinh nghiệm hoặc thông tin khác. ISO/TS 16491 là hướng dẫn thích hợp sẵn có. a Độ không đảm bảo đo là một ước lượng đặc trưng cho dải các giá trị mà giá trị thực của đại lượng đo nằm trong phạm vi dải đó, dựa trên khoảng tin cậy 95 % (xem TCVN 9595-3 (ISO/IEC Guide 98-3)). b Có thể dược đo trực tiếp hoặc gián tiếp. | |
8.2.2 Các năng suất lạnh và sưởi ở trạng thái ổn định xác định bằng phương pháp buồng nhiệt lượng phải được xác định với độ không đảm bảo tối đa là 5 %. Giá trị này là độ không đảm bảo đo mở rộng thể hiện ở mức tin cậy 95 %.
8.2.3 Năng suất sưởi được xác định trong vận hành không ổn định (các chu kỳ xả băng) sử dụng phương pháp buồng nhiệt lượng phải được xác định với độ không đảm bảo tối đa là 10 %. Giá trị này là độ không đảm bảo đo mở rộng thể hiện ở mức tin cậy 95 %.
8.2.4 Các năng suất sưởi và lạnh đo phía không khí sử dụng phương pháp entanpy không khí phải được xác định với độ không đảm bảo tối đa là 10 %. Giá trị này là độ không đảm bảo đo mở rộng thể hiện ở mức tin cậy 95 %.
8.3 Dung sai thử nghiệm cho các thử nghiệm năng suất lạnh và sưởi ở trạng thái ổn định
8.3.1 Sai lệch cho phép tối đa của bất kỳ quan sát riêng lẻ nào so với điều kiện thử nghiệm quy định trong các thử nghiệm năng suất lạnh và sưởi ở trạng thái ổn định được liệt kê ở cột 3 của Bảng 12. Nếu điều kiện thử nghiệm không được quy định, các giá trị ở cột 3 của Bảng 12 thể hiện chênh lệch cho phép lớn nhất giữa các quan sát của dụng cụ đo tối đa và tối thiểu trong quá trình thử nghiệm. Khi được biểu diễn bằng phần trăm, sai lệch cho phép tối đa là giá trị phần trăm quy định của trung bình cộng của các giá trị quan sát.
Bảng 12 - Sai lệch cho phép trong các thử nghiệm năng suất lạnh và sưởi ở trạng thái ổn định
| Số đọc | Sai lệch của các giá trị trung bình cộng so với điều kiện thử nghiệm quy định | Sai lệch tối đa của các số đọc riêng lẻ so với điều kiện thử nghiệm quy định |
| Nhiệt độ của không khí vào phía trong phòng: |
|
|
| - Bầu khô | ± 0,3 K | ± 0,5 K |
| - Bầu ướt | ± 0,2 Ka | ± 0,3 Ka |
| Nhiệt độ của không khí vào phía ngoài trời: |
|
|
| - Bầu khô | ± 0,3 K | ± 0,5 K |
| - Bầu ướt | ± 0,2 Kb | ± 0,3 Kb |
| Điện áp | ± 1 % | ± 2% |
| Lưu lượng thể tích không khíc | ± 5% | ± 10 % |
| a Không áp dụng cho các thử nghiệm sưởi. b Chỉ áp dụng cho các thử nghiệm năng suất lạnh nếu thiết bị thải nước ngưng ra dàn ống ngoài trời. c Chỉ áp dụng cho phương pháp entanpy không khí trong phòng. Điều kiện thử nghiệm được xác định là trung bình cộng đo được của dòng không khí được lấy trong phạm vi 5 min đầu tiên của giai đoạn thu thập dữ liệu. | ||
8.3.2 Sai lệch cho phép tối đa của giá trị trung bình của các quan sát thử nghiệm so với tiêu chuẩn này hoặc so với các điều kiện thử nghiệm quy định được thể hiện ở cột 2 của Bảng 12.
8.3.3 Đối với các thử nghiệm năng suất lạnh, nhiệt độ bầu khô và bầu ướt của không khí vào phía trong phòng và phía ngoài trời phải được lấy mẫu tại các khoảng thời gian bằng nhau cách nhau 30 s hoặc ngắn hơn trong suốt các giai đoạn thiết lập điều kiện ban đầu và thu thập dữ liệu. Việc lấy mẫu theo quy định nhiệt độ bầu ướt của không khí vào phía ngoài trời sẽ được miễn đối với thiết bị thải nước ngưng ra vị trí khác với dàn ống ngoài trời.
8.3.4 Đối với các thử nghiệm năng suất sưởi ở trạng thái ổn định, nhiệt độ bầu khô của không khí vào phía trong phòng và các nhiệt độ bầu khô và bầu ướt của không khí vào phía ngoài trời phải được lấy mẫu tại các khoảng thời gian bằng nhau cách nhau 30 s hoặc ngắn hơn trong suốt các giai đoạn thiết lập điều kiện ban đầu và thu thập dữ liệu.
8.3.5 Ngoại trừ như quy định ở 8.3.3, tất cả các thông số áp dụng được từ Bảng 12 phải được lấy mẫu tại các khoảng thời gian bằng nhau cách nhau 5 min hoặc ngắn hơn trong các thử nghiệm năng suất lạnh. Ngoại trừ như quy định ở 8.3.4, tất cả các thông số áp dụng được từ Bảng 12 phải được lấy mẫu tại các khoảng thời gian bằng nhau cách nhau 30 s hoặc ngắn hơn trong các thử nghiệm năng suất sưởi.
8.3.6 Đối với giai đoạn thiết lập điều kiện ban đầu, cân bằng phải được xác định là một khoảng của khoảng thời gian quy định trong đó các dung sai thử nghiệm áp dụng được trong Bảng 13 được thỏa mãn. Khi xảy ra chu kỳ xả băng trong giai đoạn thiết lập điều kiện ban đầu của phép thử năng suất sưởi, các thông số được lấy mẫu nằm giữa thời điểm bắt đầu xả băng và sau khi kết thúc xả băng 10 min phải được loại ra khi đánh giá sự tuân theo các dung sai thử nghiệm trong Bảng 13. Như được nêu ở 7.1.8.5, tần số lấy mẫu của nhiệt độ bầu khô trong phòng là đối tượng để thay đổi trong các chu kỳ xả băng, nếu sử dụng phương pháp thử entanpy không khí trong phòng.
8.3.7 Đối với giai đoạn thu thập dữ liệu được sử dụng trong việc xác định năng suất điều hòa không gian đo được của thiết bị, sự tuân theo các dung sai thử nghiệm áp dụng ở Bảng 13 phải đạt được.
8.4 Dung sai thử nghiệm cho các thử nghiệm tính năng
Sai lệch cho phép tối đa của bất kỳ quan sát riêng lẻ nào được thực hiện trong thử nghiệm tính năng so với điều kiện thử nghiệm quy định được thiết lập trong Bảng 13.
Bảng 13 - Dung sai thử nghiệm cho các thử nghiệm tính năng
| Số dọc | Sai lệch tối đa của các số đọc riêng lẻ so với điều kiện thử nghiệm quy địnha |
| Nhiệt độ của không khí: |
|
| - Bầu khô | ± 1,0 K |
| - Bầu ướt | ± 0,5 K |
| Điện áp | ± 2 % |
| a Không áp dụng các dung sai thử nghiệm này khi thiết bị ngừng hoạt động, khi thay đổi tốc độ của máy nén hoặc từ thời điểm bắt đầu xả băng đến thời điểm sau khi kết thúc xả băng 10 min. Một cách ngoại lệ, trong các khoảng thời gian này, phải áp dụng các dung sai nhiệt độ bầu khô là ± 2,5 K ở phía trong phòng và ± 5 K ở phía ngoài trời. | |
9 Kết quả thử nghiệm
9.1 Các kết quả năng suất
9.1.1 Quy định chung
Các kết quả của thử nghiệm năng suất phải biểu thị dạng định lượng các ảnh hưởng tạo ra đối với không khí bởi thiết bị được thử. Với các điều kiện thử đã cho, các kết quả thử năng suất phải bao gồm các đại lượng dưới đây khi áp dụng được cho làm lạnh hoặc sưởi:
a) Năng suất lạnh tổng, tính bằng oát;
b) Năng suất lạnh hiện, tính bằng oát;
c) Năng suất lạnh ẩn, tính bằng oát;
d) Năng suất sưởi, tính bằng oát;
e) Lưu lượng không khí phía trong phòng, m3/s theo không khí tiêu chuẩn;
f) Trở lực bên ngoài đối với dòng không khí trong phòng, tính bằng pascan;
g) Công suất điện hiệu dụng đầu vào thiết bị hoặc các công suất điện đầu vào riêng của từng bộ phận điện của thiết bị, tính bằng oát.
CHÚ THÍCH: Đối với việc xác định năng suất lạnh ẩn, xem Phụ lục D nếu sử dụng phương pháp thử bằng buồng nhiệt lượng và Phụ lục E nếu sử dụng phương pháp thử entanpy không khí trong phòng.
9.1.2 Hiệu chỉnh
Các kết quả thử phải được sử dụng để xác định các năng suất mà không có hiệu chỉnh đối với các sai lệch cho phép trong các điều kiện thử. Entanpy, thể tích riêng và nhiệt dung riêng đẳng áp của không khí phải được xác định dựa trên áp suất khí quyển đo được, pa.
Đối với các thử nghiệm nhiệt lượng, các sai lệch từ áp suất khí quyển tiêu chuẩn có thể tác động đến năng suất đo được. Nếu năng suất, được hiệu chỉnh cho áp suất khí quyển tiêu chuẩn, được báo cáo bổ sung, thì việc giải thích phương pháp hiệu chỉnh cần được nêu trong báo cáo thử nghiệm.
9.1.3 Tính toán năng suất lạnh
9.1.3.1 Năng suất lạnh trung bình phải được xác định từ tập hợp các năng suất lạnh được ghi lại trong giai đoạn thu thập dữ liệu ít nhất là 30 min.
9.1.3.2 Công suất điện trung bình đầu vào phải được xác định từ tập hợp các công suất điện đầu vào được ghi lại trong giai đoạn thu thập dữ liệu hoặc từ công suất điện tích hợp trong cùng một khoảng thời gian, đối với các trường hợp sử dụng công tơ (đồng hồ) đo năng lượng điện.
9.1.3.3 Các thông số tính năng tiêu chuẩn của năng suất phải bao gồm cả các ảnh hưởng nhiệt của quạt tuần hoàn, nhưng không bao gồm nhiệt bổ sung. Đối với các cụm thiết bị không có trang bị quạt, ảnh hưởng của quạt cần tính đến phải được tính toán theo Phụ lục L.
9.1.4 Tính toán năng suất sưởi
9.1.4.1 Các thử nghiệm năng suất ở trạng thái ổn định
9.1.4.1.1 Nếu thử nghiệm năng suất sưởi được tiến hành phù hợp với các điều khoản của 7.1.9.2 hoặc 7.1.10.4, năng suất sưởi phải được tính toán băng sử dụng các dữ liệu từ mỗi lần lấy mẫu dữ liệu, phù hợp với Phụ lục D nếu sử dụng phương pháp thử bằng buồng nhiệt lượng, hoặc phù hợp với Phụ lục E nếu sử dụng phương pháp entanpy không khí trong phòng.
9.1.4.1.2 Năng suất sưởi trung bình phải được xác định từ tập hợp các năng suất sưởi được ghi lại trong giai đoạn thu thập dữ liệu (xem Ví dụ 1 ở Phụ lục M).
9.1.4.1.3 Công suất điện trung bình đầu vào phải được xác định từ tập hợp các công suất điện đầu vào được ghi lại trong khoảng thời gian thu thập dữ liệu hoặc từ công suất điện tích hợp được ghi lại trong giai đoạn thu thập dữ liệu.
9.1.4.2 Các thử nghiệm năng suất ở trạng thái không ổn định
9.1.4.2.1 Nếu thử nghiệm năng suất sưởi được tiến hành phù hợp với các điều khoản của 7.1.11, năng suất sưởi trung bình phải được xác định. Năng suất sưởi trung bình này phải được tính toán như quy định ở Phụ lục D nếu sử dụng phương pháp buồng nhiệt lượng, và như quy định ở Phụ lục E nếu sử dụng phương pháp entanpy không khí trong phòng.
9.1.4.2.2 Đối với thiết bị có một hoặc nhiều chu kỳ đầy đủ xảy ra trong giai đoạn thu thập dữ liệu thì phải áp dụng theo quy định sau. Năng suất sưởi trung bình phải được xác định bằng sử dụng năng suất tích hợp và thời gian trôi qua tương ứng với tổng số chu kỳ đầy đủ đã xảy ra trong giai đoạn thu thập dữ liệu (xem các ví dụ 4, 5 và 6 trong Phụ lục M). Công suất điện trung bình đầu vào phải được xác định bằng sử dụng công suất đầu vào tích hợp và thời gian trôi qua tương ứng với tổng số chu kỳ đầy đủ trong cùng khoảng thời gian thu thập dữ liệu như khoảng thời gian sử dụng cho năng suất sưởi.
CHÚ THÍCH: Một chu kỳ đầy đủ gồm có giai đoạn sưởi và giai đoạn xả băng, từ kết thúc lần xả băng này đến kết thúc lần xả băng tiếp theo.
9.1.4.2.3 Đối với thiết bị không có chu kỳ đầy đủ nào xảy ra trong giai đoạn thu thập dữ liệu thì phải áp dụng theo quy định sau. Năng suất sưởi trung bình phải được xác định bằng sử dụng năng suất tích hợp và thời gian trôi qua tương ứng với tổng thời gian giai đoạn thu thập dữ liệu (3 h nếu sử dụng phương pháp thử entanpy không khí trong phòng; 6 h nếu sử dụng phương pháp thử bằng buồng nhiệt lượng). Công suất điện trung bình đầu vào phải được xác định bằng sử dụng công suất đầu vào tích hợp và thời gian trôi qua tương ứng với cùng khoảng thời gian thu thập dữ liệu như khoảng thời gian sử dụng cho năng suất sưởi (xem ví dụ 2 trong Phụ lục M).
9.1.4.2.4 Đối với thiết bị chỉ xảy ra một lần xả băng trong khoảng thời gian thử nghiệm, phải áp dụng theo quy định sau. Năng suất sưởi trung bình phải được xác định bằng sử dụng năng suất tích hợp và thời gian trôi qua tương ứng với tổng thời gian thử nghiệm (3 h nếu sử dụng phương pháp thử entanpy không khí trong phòng; 6 h nếu sử dụng phương pháp thử bằng buồng nhiệt lượng). Công suất điện trung bình đầu vào phải được xác định bằng sử dụng công suất đầu vào tích hợp và thời gian trôi qua tương ứng với tổng thời gian thử nghiệm (xem ví dụ 3 trong Phụ lục M).
9.2 Dữ liệu cần ghi lại
Dữ liệu cần ghi lại cho các thử nghiệm năng suất được cho trong các Bảng 14 và 15 đối với phương pháp thử bằng buồng nhiệt lượng, trong Bảng 16 đối với phương pháp thử entanpy không khí trong phòng và trong Bảng 17 đối với thử nghiệm thổi gió. Các bảng này xác định các thông tin chung cần thiết, nhưng không hướng đến giới hạn các dữ liệu cần thu được. Các giá trị điện đầu vào sử dụng cho mục đích xác định thông số phải là các giá trị đo được trong các thử nghiệm năng suất.
Bảng 14 - Dữ liệu cần ghi lại cho các thử nghiệm năng suất lạnh bằng buồng nhiệt lượng
| Số | Dữ liệu |
| 1 | Ngày |
| 2 | Người quan sát |
| 3 | Áp suất khí quyển, kPa |
| 4 | Các cài đặt tốc độ quạt, trong phòng và ngoài trời |
| 5 | Điện áp đặt vào, V |
| 6 | Tần số, Hz |
| 7 | Tổng dòng điện cấp vào thiết bị, A |
| 8 | Tổng công suất cấp vào thiết bịa, W |
| 9 | Cài đặt của máy nén có năng suất thay đổi được ở chế độ đầy tải |
| 10 | Các nhiệt độ bầu khô và bầu ướt của không khí (buồng thử nghiệm nhiệt lượng phía trong phòng), °C |
| 11 | Các nhiệt độ bầu khô và bầu ướt của không khí (buồng thử nghiệm nhiệt lượng phía ngoài trời), °C |
| 12 | Nhiệt độ trung bình của không khí phía ngoài buồng nhiệt lượng, nếu được hiệu chuẩn (xem Hình D.1), °C |
| 13 | Tổng công suất cấp vào buồng thử phía trong phòng và phía ngoài trời, kW |
| 14 | Lượng nước bay hơi trong bộ tạo ẩm, kg |
| 15 | Nhiệt độ của nước ở bộ tạo ẩm đi vào các buồng thử phía trong phòng và phía ngoài trời (nếu sử dụng) hoặc trong khay chứa bộ tạo ẩm, °C |
| 16 | Lưu lượng nước làm mát qua dàn ống thải nhiệt ở buồng thử phía ngoài trời, l/s |
| 17 | Nhiệt độ của nước làm mát đi vào buồng thử phía ngoài trời, cho dàn ống thải nhiệt, °C |
| 18 | Nhiệt độ của nước làm mát ra khỏi buồng thử phía ngoài trời, cho dàn ống thải nhiệt, °C |
| 19 | Khối lượng nước từ thiết bị được thử ngưng tụ trong thiết bị thiết lập lại điều kiện (điều hòa lại)b, kg |
| 20 | Nhiệt độ của nước ngưng tụ ra khỏi buồng thử phía ngoài trời, °C |
| 21 | Lưu lượng thể tích không khí đi qua đầu phun đo của vách ngăn, m3/s |
| 22 | Chênh lệch áp suất tĩnh của không khí qua vách ngăn của các buồng thử nghiệm nhiệt lượng, Pa |
| 23 | Lượng môi chất lạnh được nạp thêm bởi nhà thử nghiệm, kg |
| 24 | Trở lực bên ngoài đối với dòng không khí, Pa |
| 25 | Lưu lượng thể tích của không khí và tất cả các đại lượng đo liên quan để tính toán của nó, m3/s |
| 26 | Lượng nạp ở nhà máy, kg |
| a Tổng công suất cấp vào thiết bị, trừ khi có nhiều hơn một đầu nối nguồn bên ngoài được cấp trên thiết bị; ghi lại công suất đầu vào cho từng đầu nối riêng rẽ. b Đối với thiết bị làm bay hơi nước ngưng tụ trên dàn ống ngoài trời. | |
Bảng 15 - Dữ liệu cần ghi lại cho các thử nghiệm năng suất sưởi bằng buồng nhiệt lượng
| Số | Dữ liệu |
| 1 | Ngày |
| 2 | Người quan sát |
| 3 | Áp suất khí quyển, kPa |
| 4 | Các cài đặt tốc độ quạt, trong phòng và ngoài trời |
| 5 | Điện áp đặt vào, V |
| 6 | Tần số, Hz |
| 7 | Tổng dòng điện cấp vào thiết bị, A |
| 8 | Tổng công suất cấp vào thiết bịa, W |
| 9 | Cài đặt của máy nén có năng suất thay đổi được ở chế độ đầy tải |
| 10 | Các nhiệt độ bầu khô và bầu ướt của không khí (buồng thử nghiệm nhiệt lượng phía trong phòng), °C |
| 11 | Các nhiệt độ bầu khô và bầu ướt của không khí (buồng thử nghiệm nhiệt lượng phía ngoài trời), °C |
| 12 | Nhiệt độ trung bình của không khí phía ngoài buồng nhiệt lượng, nếu được hiệu chuẩn (xem Hình D.1), °C |
| 13 | Tổng công suất cấp vào buồng thử phía trong phòng và phía ngoài trời, W |
| 14 | Lượng nước bay hơi trong bộ tạo ẩm, kg |
| 15 | Nhiệt độ của nước ở bộ tạo ẩm đi vào các buồng thử phía trong phòng và phía ngoài trời (nếu sử dụng) hoặc trong khay chứa bộ tạo ẩm, °C |
| 16 | Lưu lượng nước làm mát đi qua dàn ống thải nhiệt ở buồng thử phía trong phòng, l/s |
| 17 | Nhiệt độ của nước làm mát đi vào buồng thử phía trong phòng, cho dàn ống thải nhiệt, °C |
| 18 | Nhiệt độ của nước làm mát ra khỏi buồng thử phía trong phòng, cho dàn ống thải nhiệt, °C |
| 19 | Khối lượng nước từ thiết bị được thử ngưng tụ trong buồng thử phía ngoài trời, kg |
| 20 | Nhiệt độ của nước ngưng tụ ra khỏi buồng thử phía ngoài trời, °C |
| 21 | Lưu lượng thể tích không khí đi qua đầu phun đo của vách ngăn, m3/s |
| 22 | Chênh lệch áp suất tĩnh của không khí qua vách ngăn của các buồng thử nghiệm nhiệt lượng, Pa |
| 23 | Lượng môi chất lạnh được nạp thêm bởi nhà thử nghiệm, kg |
| 24 | Áp suất tĩnh bên ngoài (ESP), Pa |
| 25 | Lưu lượng thể tích của không khí và tất cả các đại lượng đo liên quan để tính toán của nó, m3/s |
| 26 | Hệ số dòng không khí, Pa/(m3/s)2 |
| 27 | Lượng nạp ở nhà máy, kg |
| a Tổng công suất cấp vào thiết bị, trừ khi có nhiều hơn một đầu nối nguồn bên ngoài được cấp trên thiết bị; ghi lại công suất đầu vào cho từng đầu nối riêng rẽ. | |
Bảng 16 - Dữ liệu cần ghi lại trong các thử nghiệm năng suất bằng entanpy không khí trong phòng
| Số | Dữ liệu |
| 1 | Ngày |
| 2 | Người quan sát |
| 3 | Áp suất khí quyển, kPa |
| 4 | Thời gian thử nghiệm |
| 5 | Công suất cấp vào thiết bịa, W |
| 6 | Năng lượng cấp vào thiết bịb, Wh |
| 7 | Điện áp đặt vào, V |
| 8 | Dòng điện, A |
| 9 | Tần số, Hz |
| 10 | Áp suất tĩnh bên ngoài (ESP), Pa |
| 11 | Các cài đặt tốc độ quạt, trong phòng và ngoài trời |
| 12 | Cài đặt của máy nén có năng suất thay đổi được ở chế độ đầy tải |
| 13 | Nhiệt độ bầu khô của không khí vào thiết bị, °C |
| 14 | Nhiệt độ bầu ướt của không khí vào thiết bị, °C |
| 15 | Nhiệt độ bầu khô của không khí ra khỏi thiết bị, °C |
| 16 | Nhiệt độ bầu ướt của không khí ra khỏi thiết bị, °C |
| 17 | Các nhiệt độ bầu khô và bầu ướt ngoài trời, °C |
| 18 | Lưu lượng thể tích của không khí và tất cả các đại lượng đo liên quan để tính toán của nó m3/s |
| 19 | Lượng môi chất lạnh được nạp thêm bởi nhà thử nghiệm, kq |
| 20 | Hệ số dòng không khí, Pa/(m3/s)2 |
| 21 | Lượng nạp ở nhà máy, kg |
| a Tổng công suất cấp vào và, khi có yêu cầu, công suất cấp vào các bộ phận của thiết bị. b Năng lượng cấp vào thiết bị chỉ được yêu cầu trong các vận hành xả băng. | |
Bảng 17 - Dữ liệu cần ghi lại cho thử nghiệm thổi gió
| Số | Dữ liệu |
| 1 | Ngày |
| 2 | Người quan sát |
| 3 | Điện áp đặt vào, V |
| 4 | Tần số, Hz |
| 5 | Tổng dòng điện cấp vào thiết bị, A |
| 6 | Tổng công suất cấp vào thiết bị, W |
| 7 | Cài đặt tốc độ quạt, trong phòng |
| 8 | Nhiệt độ bầu khô của không khí ở cửa vào, °C |
| 9 | Nhiệt độ bầu ướt của không khí ở cửa vào, °C |
| 10 | Áp suất khí quyển, kPa |
| 11 | Áp suất tĩnh bên ngoài (ESP) pe, (pm đối với phương pháp cài đặt quạt thải có điều chỉnh ở A.4), Pa |
| 12 | Giá trị C (tính toán từ công thức (A.2) đối với phương pháp cài đặt quạt thải có điều chỉnh ở A.4) |
| 13 | Áp suất tĩnh của buồng xả (áp dụng cho phương pháp trở lực ống gió cố định ở A.3), Pa |
| 14 | Nhiệt độ bầu khô ở cửa vào đầu phun, °C |
| 15 | Áp suất ở cửa vào đầu phun, kPa |
| 16 | Độ chênh áp suất tĩnh tại đầu phun hoặc áp suất động đầu phun, pv, Pa |
| 17 | Lưu lượng khối lượng không khí, qm, (kg/s) |
| 18 | Lưu lượng thể tích không khí, qv, m3/s |
| 19 | Lưu lượng không khí tiêu chuẩn, qs, m3/s |
9.3 Báo cáo thử nghiệm
9.3.1 Thông tin chung
Báo cáo thử nghiệm phải bao gồm tối thiểu các thông tin sau:
a) Viện dẫn tiêu chuẩn này, nghĩa là TCVN 6577 (ISO 13253);
b) Ngày thử nghiệm;
c) Tổ chức thử nghiệm;
d) Địa điểm thử nghiệm;
e) Phương pháp thử sơ bộ và phương pháp thử xác nhận;
f) Người giám sát thử nghiệm;
g) Ký hiệu loại khí hậu lạnh và điều kiện xác định thông số sưởi (nghĩa là T1, T2, T3, H1, H2 và H3);
h) Mô tả việc thiết lập thử nghiệm, bao gồm cả vị trí của thiết bị;
i) Thông tin nhãn (xem 10.2).
9.3.2 Các kết quả thử năng suất
Các giá trị được báo cáo phải lả trung bình của các giá trị được lấy trong giai đoạn thu thập dữ liệu và phải được công bố với một độ không đảm bảo đo ở mức tin cậy 95 % và phù hợp với TCVN 9595-3 (ISO/IEC Guide 98-3).
9.3.3 Các phép thử tính năng
Báo cáo thử nghiệm phải chỉ ra thử nghiệm đạt hay không đạt dựa trên dữ liệu được ghi lại.
Đối với tất cả các phép thử tính năng, các thông tin liên quan phải được ghi lại để thể hiện các yêu cầu cụ thể cho từng thử nghiệm đã được đáp ứng. Thông tin này phải tối thiểu là các yêu cầu dữ liệu của các Bảng 14, 15, 16 hoặc 17 (khi thích hợp) được ghi lại ít nhất mỗi 5 min một lần, và ngoài ra là thông tin dưới đây.
9.3.3.1 Đối với các phép thử tính năng làm lạnh tối đa (6.2):
- Dòng điện, được ghi lại ít nhất mỗi 5 min một lần, A;
- Thời gian tại đó nguồn điện cấp cho thiết bị bị gián đoạn;
- Các thời gian tại đó thiết bị tự động khởi động và/hoặc dừng hoạt động.
9.3.3.2 Đối với thử đóng băng do chảy giọt (6.4):
Các hình ảnh hoặc các bản vẽ phác thiết bị tại thời điểm kết thúc thử nghiệm mô tả rõ ràng bất kỳ vùng ẩm ướt nào bên ngoài thiết bị.
9.3.3.3 Đối với thử tính năng kiểm soát ngưng tụ và đọng sương trên vỏ (6.4):
Các hình ảnh hoặc các bản vẽ phác thiết bị tại thời điểm kết thúc thử nghiệm mô tả rõ ràng bất kỳ vùng ẩm ướt nào bên ngoài thiết bị.
9.3.3.4 Đối với thử tính năng sưởi tối đa (7.2):
- Dòng điện, được ghi lại ít nhất mỗi 5 min một lần, A;
- Các thời gian tại đó thiết bị tự động khởi động và/hoặc dừng hoạt động.
9.3.3.5 Đối với thử tính năng xả băng tự động (7.4):
- Nhiệt độ của không khí ra khỏi thiết bị phía trong phòng, được ghi lại ít nhất mỗi 1 min một lần, °C.
CHÚ THÍCH: Không yêu cầu dữ liệu bổ sung cho thử tính năng sưởi tối thiểu (7.3).
10 Điều khoản ghi nhãn
10.1 Các yêu cầu về nhãn
Từng cụm riêng lẻ của máy điều hòa không khí và bơm nhiệt, thiết bị nguyên cụm hoặc dạng hai cụm phải có nhãn bền lâu, được gắn chắc chắn và ở vị trí có thể tiếp cận để đọc được.
10.2 Thông tin nhãn
Nhãn phải có các thông tin tối thiểu dưới đây:
a) Tên hoặc nhãn hiệu thương mại của nhà sản xuất;
b) Bất kỳ ký hiệu kiểu hoặc model để phân biệt và số seri;
c) Điện áp danh định;
d) Tần số danh định;
e) Ký hiệu khí hậu làm lạnh và các kiểu điều kiện xác định thông số sưởi (tức là T1, T2, T3, H1, H2 và H3, nếu áp dụng);
f) Ký hiệu môi chất lạnh phù hợp với TCVN 6739 (ISO 817), hoặc được quy định trong các quy định quốc gia;
g) Khối lượng nạp môi chất lạnh ở nhà máy [được ghi trên cụm chứa máy nén].
10.3 Các hệ thống hai cụm
Thông tin trong 10.2 a), b) c), d) và f) cũng phải được cung cấp trên từng cụm trong phòng của hệ thống hai cụm.
11 Công bố các thông số tính năng
11.1 Thông số tính năng tiêu chuẩn
11.1.1 Các thông số tính năng tiêu chuẩn phải được công bố về các năng suất lạnh (hiện, ẩn và tổng), năng suất sưởi, lưu lượng thể tích không khí, ESP, EER và COP cho từng thiết bị được chế tạo phù hợp với tiêu chuẩn này. Các thông số tính năng này phải dựa trên các dữ liệu nhận được ở các điều kiện xác định thông số đã thiết lập phù hợp với các điều khoản của tiêu chuẩn này.
11.1.2 Các giá trị của năng suất tiêu chuẩn phải được tính bằng kilo oát hoặc oát, được làm tròn tới ba chữ số có nghĩa.
11.1.3 Các giá trị của EER và COP phải được làm tròn tới ba chữ số có nghĩa.
11.1.4 Mỗi thông số về năng suất phải được kèm theo bởi điện áp thử nghiệm tương ứng (xem cột 2 của Bảng 3) và thông số tần số.
11.2 Thông số tính năng khác
Có thể công bố các thông số tính năng bổ sung dựa trên các điều kiện khác với các điều kiện được quy định làm điều kiện xác định thông số tiêu chuẩn hoặc dựa trên các điều kiện được quy định trong các quy định của quốc gia, nếu chúng được quy định một cách rõ ràng và dữ liệu được xác định bằng các phương pháp được quy định trong tiêu chuẩn này hoặc bằng các phương pháp phân tích mà có thể kiểm chứng được bởi các phương pháp thử quy định trong tiêu chuẩn này.
Phụ lục A
(Quy định)
Cài đặt dòng không khí cho các thiết bị có ống gió
A.1 Quy định chung
Hai phương pháp cài đặt có thể áp dụng:
a) Phương pháp trở lực ống gió cố định;
b) Phương pháp cài đặt quạt thải có điều chỉnh.
Cả hai phương pháp, cùng với trang thiết bị thử nghiệm tương ứng của chúng, được mô tả trong phụ lục này.
Để đo áp suất tĩnh của không khí ra từ thiết bị có ống gió, một ống đo được nối với bích ống gió của thiết bị. Ống đo này được sử dụng cho cả hai phương pháp. Nếu các kích thước của phần ống cửa ra là A và B, thì đường kính tương đương, De, được xác định bằng công thức (A.1):
|
| (A.1) |
Trong trường hợp mà ống cửa ra có hình tròn ở phần có đường kính D, khi đó đường kính tương đương, De, bằng D.
Chiều dài của ống đo, Ld, không được nhỏ hơn 2,5De. Các vòi áp suất tĩnh cần được đặt ở vị trí có khoảng cách Lm = 2De tính từ bích cửa ra.
A.2 Phương pháp thử
A.2.1 Cài đặt dòng không khí của thiết bị phải là bằng phương pháp trở lực ống gió cố định, như thể hiện trên Hình A.1, hoặc phương pháp cài đặt quạt thải có điều chỉnh, như thể hiện trên Hình A.2.
A.2.2 Các vòi đo áp suất tĩnh phải được bố trí như thể hiện trên Hình A.1 và Hình A.2. Thiết bị được thử phải được vận hành mà máy nén không hoạt động.
A.2.3 Các phép đo dòng không khí cần được thực hiện phù hợp với các điều khoản quy định trong Phụ lục C, nếu thích hợp, cũng như các điều khoản khác được thiết lập trong tiêu chuẩn này.
CHÚ THÍCH: Hướng dẫn bổ sung liên quan đến các phép đo dòng không khí có thể được tìm thấy trong ISO 3966 và ISO 5167-1.
A.3 Phương pháp trở lực ống gió cố định
A.3.1 Quy định chung
Một ống đo phải được nối với thiết bị được thử và một van gió được lắp đặt trên đầu đối diện của ống đo này, rồi được nối với buồng xả. Buồng xả phải có các kích thước tiết diện ngang vừa đủ để các vận tốc dòng không khí dọc theo bề mặt thành ở vòi áp suất tĩnh (Hình A.1, chú dẫn số 4) là 1,25 m/s hoặc nhỏ hơn. Chiều dài nhỏ nhất của buồng xả theo phương dòng không khí, J, bằng 2De.
CHÚ THÍCH: Việc cái đặt thiết bị được thử, ống đo và buồng xả được minh họa trên Hình A.1.
A.3.2 Quy trình thử
A.3.2.1 Điều kiện thử
Các điều kiện nhiệt độ và độ ẩm của phòng thử phải nằm trong dải được quy định ở 5.2. Thiết bị được thử phải được vận hành ở chế độ thổi mà không chạy máy nén. Van gió phải được điều chỉnh sao cho lưu lượng không khí định mức trong không khí tiêu chuẩn đạt được. Đồng thời, lưu lượng không khí của trang thiết bị đo dòng không khí phải được điều chỉnh sao cho áp suất tĩnh trong buồng xả bằng (0 ± 2) Pa. Các điều kiện trên phải được duy trì trong ít nhất 1 h. Áp suất tĩnh bên ngoài phải được duy trì theo Bảng A.1 trong thử nghiệm thổi gió.
Bảng A.1 - Sai lệch cho phép trong thử nghiệm thổi gió
| Số đọc | Sai lệch của các giá trị trung bình cộng so với điều kiện thử nghiệm quy định | Sai lệch của các số đọc riêng lẻ so với điều kiện thử nghiệm quy định | ||
| ≤ 100 Pa | > 100 Pa | ≤ 100 Pa | > 100 Pa | |
| Áp suất tĩnh bên ngoài (ESP) | ±0,5 Pa | ±5% | ±0,10 Pa | ±10% |
A.3.2.2 Thử nghiệm thổi gió
Các nhiệt độ bầu khô và bầu ướt của không khí ở cửa vào, lưu lượng không khí, ESP (pe), các nhiệt độ bầu khô và bầu ướt phía trước đầu phun và áp suất khí quyển (pa) phải được đo. Lưu lượng không khí đo được, qm, phải được tính toán theo công thức (C.3). Lưu lượng không khí đo được, qm, phải được chuyển đổi thành lưu lượng tiêu chuẩn, qs, theo công thức (C.8).
A.3.2.3 Đánh giá
Giá trị ESP, pe, phải là giá trị được quy định theo 5.2.
A.3.2.4 Các thử nghiệm làm lạnh và sưởi
Vị trí van gió phải giữ nguyên cố định ở vị trí cài đặt đã đạt được ở A.3.2.1, cho tất cả các thử nghiệm làm lạnh và sưởi, các thử nghiệm này phải được tiến hành ở các điều kiện nhiệt độ và độ ẩm tương ứng. Trong các thử nghiệm làm lạnh và sưởi, áp suất tĩnh của buồng xả phải được duy trì ở (0 ± 2) Pa.
Giá trị ESP, pe, của ống đo trong các thử nghiệm làm lạnh và sưởi chỉ để tham khảo, và do đó không cần thiết phải công bố. Lưu lượng không khí đo được khi thiết bị đang vận hành ở chế độ làm lạnh hoặc sưởi được sử dụng để tính toán các năng suất lạnh và sưởi.

| CHÚ DẪN: | |
| 1 trang thiết bị đo dòng không khí 2 quạt thải 3 áp kế 4 các vòi áp suất tĩnh của buồng xả 5 thiết bị được thử 6 van gió | 7 buồng xả J chiều dài nhỏ nhất Ld chiều dài của ống đo Lm khoảng cách đến các vòi áp suất tĩnh pe ESP của thiết bị được thử |
Hình A.1 - Phương pháp trở lực ống gió cố định - Cài đặt
A.4 Phương pháp cài đặt quạt thải có điều chỉnh
A.4.1 Quy định chung
Một ống đo phải được nối với thiết bị được thử và trang thiết bị đo dòng không khí được nối với đầu đối diện của ống đo này.
CHÚ THÍCH: Việc cài đặt thiết bị được thử, ống đo và trang thiết bị đo dòng không khí được minh họa trên Hình A.2.
A.4.2 Quy trình thử
Các điều kiện nhiệt độ và độ ẩm của phòng thử phải nằm trong dải được quy định ở 5.2. Thiết bị được thử được vận hành ở chế độ thổi mà không chạy máy nén. Trang thiết bị đo dòng không khí phải được điều chỉnh sao cho lưu lượng không khí định mức trong không khí tiêu chuẩn đạt được. Các điều kiện trên phải được duy trì trong ít nhất 1 h. Áp suất tĩnh bên ngoài phải được duy trì theo Bảng A.1 trong thử nghiệm thổi gió.
A.4.3 Thử nghiệm thổi giỏ
Các nhiệt độ bầu khô và bầu ướt của không khí ở cửa vào, lưu lượng không khí, ESP (pe), các nhiệt độ bầu khô và bầu ướt phía trước đầu phun và áp suất khí quyển phải được đo. Lưu lượng không khí đo được, qm, phải được tính toán theo công thức (C.3). Lưu lượng không khí đo được, qm, phải được chuyển đổi thành lưu lượng tiêu chuẩn, qs, theo công thức (C.8).
A.4.4 Tính toán giá trị C
Tính toán giá trị C, được xác định theo công thức (A.2):
|
| (A.2) |
Trong đó
pm là áp suất tĩnh bên ngoài tại ống đo, Pa, đặc biệt là đối với thử nghiệm thổi gió sử dụng phương pháp cài đặt quạt thải có điều chỉnh, và pm được coi là bằng với áp suất tĩnh bên ngoài, pe.
A.4.5 Đánh giá
Giá trị ESP, pe, phải là giá trị được quy định theo 5.2.
A.4.6 Các thử nghiệm làm lạnh và sưởi
Các thử nghiệm làm lạnh và sưởi phải được thực hiện theo sau thử nghiệm thổi gió, ở các điều kiện nhiệt độ và độ ẩm tương ứng của chúng. Tốc độ của quạt thải của trang thiết bị đo dòng không khí phải được điều chỉnh cho các thử nghiệm làm lạnh và sưởi theo cách thức dưới đây.
Đối với thử nghiệm làm lạnh, vận hành thiết bị với máy nén ở chế độ làm lạnh và để cho nhiệt độ đạt ổn định. Một khi nhiệt độ đạt được ổn định, điều chỉnh trang thiết bị đo dòng không khí để đạt được cùng giá trị C bằng cách thay đổi tốc độ quạt thải của nó với các khoảng tăng nhỏ. Giá trị C thu được phải nằm trong phạm vi ± 1 % so với giá trị đo được trong thử nghiệm thổi gió. Một khi đã ổn định, lưu lượng không khí làm lạnh và ESP phải được đo.
Đối với thử nghiệm sưởi, lặp lại phép thử làm lạnh ở trên, ngoại trừ với máy nén vận hành ở chế độ sưởi. Đo lưu lượng không khí sưởi và ESP.
Lưu lượng không khí đo được khi thiết bị đang vận hành ở chế độ làm lạnh hoặc sưởi được sử dụng để tính toán các năng suất lạnh và sưởi.
Giá trị ESP của ống đo trong các thử nghiệm làm lạnh và sưởi chỉ để tham khảo, và do đó không cần thiết phải công bố.

| CHÚ DẪN: | |
| 1 trang thiết bị đo dòng không khí 2 quạt thải 3 áp kế 4 thiết bị được thử 5 các đầu phun Ld chiều dài của ống đo | Lm khoảng cách đến các vòi áp suất tĩnh pe ESP của thiết bị được thử pm áp suất tĩnh bên ngoài tại ống đo, đặc biệt là đối với thử nghiệm thổi gió sử dụng thải có điều chỉnh |
Hình A.2 - Phương pháp cài đặt quạt thải có điều chỉnh
A.5 Thiết bị không có quạt trong phòng
Nếu không có quạt được cung cấp kèm theo cụm thiết bị, nghĩa là các cụm chỉ có dàn ống, thì cũng phải áp dụng các yêu cầu bổ sung quy định trong Phụ lục L.
Phụ lục B
(Quy định)
Yêu cầu thử nghiệm
B.1 Yêu cầu chung về phòng thử
B.1.1 Nếu yêu cầu một phòng thử có điều kiện trong phòng, thì nó phải là một phòng hoặc không gian trong đó có thể duy trì các điều kiện thử nghiệm mong muốn nằm trong các dung sai đã quy định. Khuyến nghị là vận tốc không khí trong vùng lân cận thiết bị được thử không vượt quá 2,5 m/s.
B.1.2 Nếu yêu cầu một phòng hoặc không gian thử có điều kiện ngoài trời, thì nó phải có đủ thể tích và phải lưu thông không khí theo cách sao cho không thay đổi dạng lưu thông không khí thông thường của thiết bị được thử. Phòng phải có kích thước sao cho khoảng cách từ bất kỳ bề mặt nào của phòng đến bất kỳ bề mặt nào của thiết bị xả không khí ra không nhỏ hơn 1,8 m và khoảng cách từ bất kỳ bề mặt khác của phòng đến bất kỳ bề mặt khác của thiết bị không nhỏ hơn 1,0 m, ngoại trừ các quan hệ kích thước sàn hoặc tường cần thiết để lắp đặt thiết bị thông thường. Trang thiết bị thiết lập điều kiện phòng thử cần xử lý không khí ở lưu lượng không nhỏ hơn lưu lượng không khí ngoài trời, và tốt nhất là nên lấy không khí này từ hướng không khí ra của thiết bị và đưa nó trở lại ở các điều kiện mong muốn một cách đồng đều và ở các vận tốc thấp.
B.1.3 Nếu sử dụng phương pháp buồng nhiệt lượng với phương tiện có nhiều hơn hai phòng, thì các phòng bổ sung này cũng phải tuân theo các yêu cầu của Phụ lục D. Nếu sử dụng phương pháp entanpy không khí với phương tiện có nhiều hơn hai phòng, thi các phòng bổ sung này cũng phải tuân theo các yêu cầu của Phụ lục E.
B.2 Lắp đặt thiết bị
B.2.1 Thiết bị được thử nghiệm phải được lắp đặt phù hợp với các hướng dẫn lắp đặt của nhà sản xuất sử dụng các quy trình và phụ kiện lắp đặt khuyến nghị. Nếu thiết bị có thể được lắp đặt ở nhiều vị trí, tất cả các thử nghiệm phải được tiến hành sử dụng cấu hình ít thuận lợi nhất theo khuyến nghị của nhà sản xuất. Trong tất cả các trường hợp, các khuyến nghị của nhà sản xuất về các khoảng cách từ các tường liền kề, lượng mở rộng qua các tường, v.v phải được tuân theo.
B.2.2 Thiết bị có ống gió có năng suất danh định nhỏ hơn 8 kW và được thiết kế để hoạt động ở áp suất tĩnh bên ngoài, pe, nhỏ hơn 25 Pa phải được thử nghiệm ở điều kiện cung cấp không khí tự do theo TCVN 6576 (ISO 5151).
B.2.3 Không được thực hiện các thay đổi khác đối với thiết bị, ngoại trừ việc gắn kèm của trang thiết bị và dụng cụ thử nghiệm yêu cầu theo cách thức quy định.
B.2.4 Nếu cần thiết, thiết bị phải được hút chân không và nạp môi chất lạnh với loại và lượng được quy định trong hướng dẫn của nhà sản xuất.
B.2.5 Tất cả các thông số tính năng tiêu chuẩn cho thiết bị trong đó dàn ngưng và dàn bay hơi là hai cụm lắp ráp tách riêng phải được xác định dựa trên cơ sở quy định kỹ thuật của nhà sản xuất trong phạm vi từ 5 m đến 7,5 m của ống môi chất lạnh nối trên mỗi đường ống. Các chiều dài này phải là chiều dài thực, không phải chiều dài tương đương, và không tính đến trở lực gây bởi các chỗ uốn cong, đầu chia (nhánh), hộp kết nối hay các phụ tùng lắp khác được sử dụng trong việc lắp đặt cho mẫu thử. Chiều dài ống nối này phải được đo từ vỏ bao của cụm/giàn trong phòng tới vỏ bao của cụm/giàn ngoài trời. Thiết bị trong đó các ống kết nối với nhau được trang bị như một phần gắn liền của giàn/cụm và không được khuyến nghị cắt theo chiều dài, phải được thử nghiệm với toàn bộ chiều dài ống đã trang bị. Không dưới 40 % tổng chiều dài của ống kết nối với nhau này phải tiếp xúc với điều kiện ngoài trời và phần còn lại tiếp xúc với điều kiện trong phòng. Các đường kính đường ống, lớp cách nhiệt, chi tiết về lắp đặt, sự hút chân không và nạp môi chất lạnh phải phù hợp với khuyến nghị công bố của nhà sản xuất.
B.3 Phép đo áp suất tĩnh qua dàn ống trong phòng
B.3.1 Thiết bị có một quạt và một cửa ra đơn
B.3.1.1 Một hộp gió ngắn phải được gắn vào cửa ra của thiết bị. Hộp gió này phải có các kích thước tiết diện ngang bằng với các kích thước của cửa ra của thiết bị. Một vòi áp suất tĩnh phải được đưa vào tại tâm của mỗi mặt của hộp gió xả nếu hộp gió hình chữ nhật, hoặc tại bốn vị trí phân bố đều nhau dọc chu vi của hộp gió hình ôvan hoặc tròn. Bốn vòi áp suất tĩnh này phải được phân phối trên cùng đường ống. Chiều dài nhỏ nhất của hộp gió xả và vị trí của các vòi áp suất tĩnh so với cửa ra của thiết bị phải như thể hiện trên Hình B.1 nếu thử nghiệm thiết bị dạng hai cụm, và như thể hiện trên Hình B.2 nếu thử nghiệm thiết bị dạng nguyên cụm.
B.3.1.2 Một hộp gió ngắn nên được gắn vào cửa vào của thiết bị. Nếu được sử dụng, hộp gió cửa vào này phải có cùng các kích thước tiết diện ngang như cửa vào của thiết bị. Ngoài ra, bốn vòi áp suất tĩnh phải được đưa vào và được phân phối trên cùng đường ống. Mặt khác hộp gió này cần có kết cấu như thể hiện đối với hộp gió cửa vào trên Hình B.2 nếu thử nghiệm thiết bị dạng nguyên cụm, và như thể hiện trên Hình B.3 nếu thử nghiệm thiết bị dạng hai cụm.
CHÚ THÍCH: Hình B.3 được tham chiếu ở đây dùng để hướng dẫn, mặc dù nó áp dụng một cách cụ thể cho các thiết bị có ống gió được thử mà không có quạt trong phòng.
B.3.2 Thiết bị có nhiều quạt và nhiều cửa ra hoặc nhiều cụm trong phòng
B.3.2.1 Thiết bị có nhiều đầu nối ống gió cửa ra hoặc có nhiều cụm trong phòng phải có hộp gió ngắn được gắn tương ứng vào từng đầu nối cửa ra hoặc cụm trong phòng. Mỗi hộp gió ngắn này phải có kết cấu như mô tả ở B.3.1.1, bao gồm cả các vòi áp suất tĩnh. Tất cả các hộp gió cửa ra phải xả vào một đoạn ống gió chung duy nhất. Với mục đích cân bằng áp suất tĩnh trong mỗi hộp gió, một tấm điều chỉnh lưu lượng được bố trí trong mặt phẳng ở đó mỗi hộp gió cửa ra đi vào đoạn ống gió chung này. Nhiều cụm ống thổi dùng một bích kết nối ống gió xả đơn phải được thử với một hộp gió cửa ra đơn phù hợp với B.3.1. Không sử dụng bất kỳ bố trí hộp gió thử nghiệm nào khác ngoại trừ để khuyến khích các thiết kế ống gió được khuyến nghị một cách cụ thể bởi nhà sản xuất thiết bị.
B.3.2.2 Một hộp gió ngắn cần được gắn vào cửa vào của từng đầu nối ống gió cửa vào hoặc cụm trong phòng. Mỗi hộp gió ngắn này phải có kết cấu như mô tả ở B.3.1.2, bao gồm cả các vòi áp suất tĩnh.
B.3.3 Thiết bị không có quạt và một cửa ra đơn
Đối với dàn ống trong phòng mà không kết hợp quạt, một hộp gió ngắn phải được gắn vào cả cửa vào và cửa ra của thiết bị. Các hộp gió này phải có các kích thước tiết diện ngang tương ứng bằng với các kích thước của cửa vào và cửa ra của thiết bị. Một vòi áp suất tĩnh phải được đưa vào tại tâm của mỗi mặt của mỗi hộp gió nếu hộp gió hình chữ nhật, hoặc tại bốn vị trí phân bố đều nhau dọc chu vi của hộp gió hình ôvan hoặc tròn. Đối với mỗi hộp gió, bốn vòi áp suất tĩnh này phải được phân phối trên cùng đường ống. Chiều dài nhỏ nhất của hộp gió và vị trí của các vòi áp suất tĩnh so với cửa vào và cửa ra của thiết bị phải như thể hiện trên Hình B.3.

CHÚ DẪN:
1 áp kế
2 hộp gió xả
3 thiết bị được thử
4 các vòi áp suất tĩnh
a đi đến trang thiết bị đo dòng không khí
CHÚ THÍCH: A và B là các kích thước của thiết bị được thử
Hình B.1 - Đo ESP - Hệ thống hai cụm

a)
CHÚ DẪN:
1 thiết bị được thử - nguyên cụm
2 vòi áp suất tĩnh, cửa vào (yêu cầu 4)
3 vòi áp suất tĩnh, cửa ra (yêu cầu 4)
CHÚ THÍCH: Đối với các ống gió tròn có đường kính d, thay thế πd2/4 cho (A x B) hoặc (C x D).
Hình B.2 - Đo ESP - Thiết bị nguyên cụm

b)
Hình B.2 (kết thúc)

CHÚ DẪN:
1 áp kế
2 các vòi áp suất
3 ống gió cửa vào
4 phần dàn ống
5 ống gió cửa ra
8 đi đến trang thiết bị đo dòng không khí
CHÚ THÍCH 1: A và B là các kích thước cửa ra; C và D là các kích thước cửa vào.
CHÚ THÍCH 2: Đối với các ống gió tròn có đường kính D, thay thế πDi 2/4 cho (C x D) và πDo 2/4 cho (A x B), trong đó Di là đường kính ống gió cửa vào và Do là đường kính ống gió cửa ra.
CHÚ THÍCH 3: Chiều dài của ống gió cửa vào, 1,5
, là kích thước nhỏ nhất. Để các kết quả chính xác hơn, sử dụng 4
.
Hình B.3 - Đo độ sụt áp suất tĩnh không khí trên dàn ống đối với thiết bị chỉ có dàn ống
Phụ lục C
(Tham khảo)
Đo dòng không khí
C.1 Xác định dòng không khí
C.1.1 Dòng không khí cần được đo bằng sử dụng trang thiết bị và quy trình thử cho trong phụ lục này.
C.1.2 Lưu lượng không khí được xác định là lưu lượng khối lượng. Nếu lưu lượng không khí được biểu thị bằng lưu lượng thể tích cho mục đích xác định thông số tính năng, các thông số đó cần nêu rõ các điều kiện (áp suất, nhiệt độ và độ ẩm) tại đó thể tích riêng được xác định.
C.2 Dòng không khí và áp suất tĩnh
Diện tích đầu phun, An, cần được xác định bằng đo đường kính của nó với độ chính xác ± 2 % ở bốn vị trí cách nhau khoảng 45° xung quanh đầu phun ở mỗi hai vị trí xuyên qua họng đầu phun, một ở cửa ra và một ở phần thẳng gần với chỗ bán kính lượn.
C.3 Trang thiết bị đầu phun
C.3.1 Trang thiết bị đầu phun, gồm có một buồng nhận và một buồng xả được ngăn cách bởi vách trong đó có đặt một hoặc nhiều đầu phun (xem Hình C.1). Không khí từ thiết bị được thử được vận chuyển thông qua ống gió tới buồng nhận, đi qua các đầu phun vả sau đó được xả vào phòng thử hoặc dẫn trở lại cửa vào của thiết bị.
Trang thiết bị đầu phun và các kết nối của nó với cửa vào của thiết bị cần được làm kín sao cho rò lọt không khí không vượt quá 1,0 % lưu lượng không khí đang được đo.
Khoảng cách từ tâm đến tâm giữa các đầu phun đang sử dụng cần không nhỏ hơn 3 lần đường kính họng của đầu phun lớn nhất, và khoảng cách từ tâm của bất kỳ đầu phun nào tới thành bên gần nhất của buồng xả hoặc buồng nhận cần không nhỏ hơn 1,5 lần đường kính họng đầu phun.

| CHÚ DẪN |
|
| 1 buồng xả 2 quạt thải 3 vách khuếch tán 4 ống Pitot (tùy chọn) 5 đầu phun 6 buồng nhận 7 dụng cụ đo chênh áp | 8 ống nối (xem C.5.1) Dn đường kính họng đầu phun a Các vách khuếch tán cần có các lỗ thủng đồng đều, với gần 40 % diện tích trống b không khí |
Hình C.1 - Trang thiết bị đo dòng không khí
C.3.2 Vách khuếch tán, được lắp trong buồng nhận (ở khoảng cách ít nhất bằng 1,5 lần đường kính họng đầu phun lớn nhất, Dn) theo hướng ngược dòng của thành vách ngăn và trong buồng xả (ở khoảng cách ít nhất bằng 2,5 lần đường kính họng đầu phun lớn nhất, Dn) theo hướng xuôi dòng của mặt phẳng ra của đầu phun lớn nhất.
C.3.3 Quạt thải, có khả năng cung cấp áp suất tĩnh mong muốn ở cửa ra của thiết bị. Quạt thải cần được lắp trên một thành của buồng xả và được trang bị phương tiện thay đổi năng suất của nó.
C.3.4 Áp kế, để đo độ sụt áp suất tĩnh qua đầu phun.
Một đầu áp kế cần kết nối với vòi áp suất tĩnh được đặt ngang bằng với thành bên trong của buồng nhận và đầu còn lại nối với vòi áp suất tĩnh được đặt ngang bằng với thành bên trong của buồng xả, hoặc tốt nhất là, vài vòi áp suất tĩnh trong mỗi buồng nên được kết nối với vài áp kế theo dạng song song hoặc được góp vào một áp kế đơn nhất. Các kết nối áp suất tĩnh cần được bố trí sao cho không bị ảnh hưởng bởi dòng không khí. Cách khác, cột áp động của luồng không khí ra khỏi đầu phun có thể được đo bằng một ống Pitot như thể hiện trên Hình C.1, nhưng khi sử dụng nhiều hơn một đầu phun thì giá trị đọc trên ống Pitot cần được xác định cho từng đầu phun.
C.3.5 Cách xác định vận tốc không khí ở họng đầu phun
C.3.5.1 Vận tốc không khí ở họng của bất kỳ đầu phun nào cũng không nên nhỏ hơn 15 m/s và không lớn hơn 35 m/s.
C.3.5.2 Các đầu phun cần có kết cấu phù hợp với Hình C.2 và áp dụng phù hợp với các điều khoản của C.3.5.3 và C.3.5.4.
C.3.5.3 Hệ số xả đầu phun, Cd, cho kết cấu thể hiện trên Hình C.2, có tỷ lệ giữa chiều dài họng với đường kính họng bằng 0,6, có thể được xác định bằng sử dụng công thức (C.1):
|
| (C.1) |
Với số Reynolds, Re, bằng 12000 và lớn hơn.
Số Reynolds được xác định theo công thức (C.2).
|
| (C.2) |
Trong đó
va là vận tốc dòng không khí tại họng đầu phun;
Dn là đường kính của họng đầu phun;
v là độ nhớt động học của không khí.
C.3.5.4 Các đầu phun cũng có thể có kết cấu phù hợp với các tiêu chuẩn quốc gia thích hợp, miễn là chúng có thể được sử dụng trong trang thiết bị đã mô tả ở Hình C.1 và chúng cho độ chính xác tương đương.

CHÚ DẪN:
1 các trục của hình elip
2 phần họng
3 đường elip
Dn đường kính của họng đầu phun, m
Hình C.2 - Đầu phun đo dòng không khí
C.4 Phép đo áp suất tĩnh
C.4.1 Các vòi áp suất cần gồm có các núm có đường kính (6,25 ± 0,25) mm được hàn mềm vào các bề mặt hộp gió phía ngoài và được định tâm trên các lỗ đường kính 1 mm xuyên qua hộp gió. Các mép của các lỗ này cần không có ba vía và các bất thường bề mặt khác.
C.4.2 Hộp gió và đoạn ống gió cần được làm kín để ngăn chặn rò lọt không khí, đặc biệt là ở các đầu nối với thiết bị và dụng cụ đo không khí, và cần được bọc cách nhiệt để ngăn chặn rò nhiệt giữa cửa ra của thiết bị và các dụng cụ đo nhiệt độ.
C.5 Phép đo dòng không khí xả (ra)
C.5.1 Cửa ra hoặc các cửa ra của thiết bị được thử cần được kết nối với buồng nhận bằng ống nối có trở lực không khí không đáng kể, như thể hiện trên Hình C.1.
C.5.2 Để đo áp suất tĩnh của buồng nhận, áp kế cần có một bên được kết nối với một hoặc nhiều đầu nối áp suất tĩnh được đặt ngang bằng với thành bên trong của buồng nhận.
C.6 Phép đo dòng không khí phía trong phòng
C.6.1 Cần lấy các giá trị đọc sau:
a) Áp suất khí quyển;
b) Các nhiệt độ bầu khô và bầu ướt tại đầu phun hoặc các nhiệt độ điểm sương;
c) Độ chênh áp suất tĩnh tại đầu phun hoặc, một cách tùy chọn, áp suất động đầu phun;
C.6.2 Lưu lượng khối lượng của không khí, qm, đi qua một đầu phun đơn được xác định bằng sử dụng công thức (C.3):
|
| (C.3) |
Trong đó pv là áp suất động tại họng đầu phun hoặc độ chênh áp suất tĩnh qua đầu phun.
Hệ số giãn nở, Y, nhận được từ công thức (C.4):
| Y = 0,452 + 0,548α | (C.4) |
Tỉ số áp suất, α, nhận được từ công thức (C.5):
|
| (C.5) |
Lưu lượng thể tích của không khí, qv, đi qua một đầu phun đơn được xác định bằng sử dụng công thức (C.6).
|
| (C.6) |
Trong đó V’n tính được bằng công thức (C.7):
|
| (C.7) |
và Wn là độ ẩm riêng tại đầu vào của đầu phun.
Lưu lượng thể tích của không khí được biểu diễn dưới dạng không khí tiêu chuẩn qs được tính toán theo công thức (C.8):
|
| (C.8) |
C.6.3 Dòng không khí đi qua nhiều đầu phun có thể được tính toán phù hợp với C.6.2, ngoại trừ là khi đó tổng lưu lượng bằng tổng các giá trị qm hoặc qv cho từng đầu phun được sử dụng.
C.7 Phép đo dòng không khí thông gió, thải và rò lọt - Phương pháp thử bằng buồng nhiệt lượng
C.7.1 Dòng không khí thông gió, thải và rò lọt cần được đo bằng sử dụng trang thiết bị tương tự như minh họa trên Hình C.3 với hệ thống lạnh đang vận hành và sau khi đã đạt được sự cân bằng nước ngưng tụ.
C.7.2 Với cơ cấu cân bằng được điều chỉnh cho chênh lệch áp suất tĩnh lớn nhất giữa các buồng thử phía trong phòng và phía ngoài trời là 1 Pa, cần lấy các giá trị đọc sau:
a) Áp suất khí quyển;
b) Các nhiệt độ bầu khô và bầu ướt tại đầu phun;
c) Áp suất động đầu phun.
C.7.3 Các giá trị dòng không khí cần được tính toán phù hợp với C.6.2.

| CHÚ DẪN: |
|
| 1 áp kế 2 buồng xả 3 quạt thải 4 van gió 5 đầu phun 6 ống đón | Dn đường kính họng đầu phun, m pc áp suất cân bằng buồng thử pv áp suất động đầu phun |
Hình C.3 - Cơ cấu cân bằng áp suất
Phụ lục D
(Quy định)
Phương pháp thử bằng buồng nhiệt lượng
D.1 Quy định chung
D.1.1 Buồng nhiệt lượng cung cấp một phương pháp xác định năng suất một cách đồng thời cho cả phía trong phòng và ngoài trời. Trong chế độ làm lạnh, việc xác định năng suất phía trong phòng cần được thực hiện bằng cách cân bằng các hiệu ứng làm lạnh và hút ẩm với nhiệt và nước cấp đo được. Nặng suất phía ngoài trời cung cấp một thử nghiệm xác nhận các hiệu quả làm lạnh và hút ẩm bằng cách cân bằng lượng nhiệt và nước thải ở phía dàn ngưng với lượng năng suất lạnh đo được.
D.1.2 Hai buồng thử nhiệt lượng, phía trong phòng và phía ngoài trời, được ngăn cách bằng vách ngăn cách nhiệt có một lỗ hở để lắp thiết bị nguyên cụm, không có ống gió. Thiết bị này cần được lắp đặt theo cách tương tự với lắp đặt thông thường. Không cần cố gắng làm kín kết cấu bên trong của thiết bị để ngăn chặn rò lọt không khí từ phía dàn ngưng sang phía giàn bay hơi hoặc ngược lại. Không nên thực hiện các kết nối hoặc các thay đổi đối với thiết bị có thể làm thay đổi hoạt động bình thường của nó.
D.1.3 Cơ cấu cân bằng áp suất, như minh họa trên Hình C.3, cần được bố trí trên thành ngăn giữa các buồng thử phía trong phòng và phía ngoài trời để duy trì áp suất cân bằng giữa các buồng thử này và cũng để cho phép đo không khí rò lọt, thải và thông gió. Cơ cấu này gồm có một hoặc nhiều kiểu đầu phun thể hiện trên Hình C.2, một buồng xả được trang bị một quạt thải và các áp kế để đo các áp suất trong buồng thử và dòng không khí.
Vì dòng không khí từ một buồng thử sang buồng thử khác có thể theo chiều này hay chiều kia, nên sử dụng hai cơ cấu như trên lắp ngược chiều nhau hoặc sử dụng một cơ cấu đảo chiều được. Các ống đón áp suất của áp kế cần được đặt sao cho không bị ảnh hưởng bởi không khí xả ra từ thiết bị hoặc xả ra từ cơ cấu cân bằng áp suất. Quạt hoặc ống thổi, thổi không khí từ buồng xả, cần cho phép thay đổi dòng không khí của nó bằng biện pháp thích hợp bất kỳ, như bộ truyền biến tốc hoặc van gió như thể hiện trên Hình C.3. Không khí thổi ra từ quạt hoặc ống thổi này cần sao cho không ảnh hưởng đến không khí vào thiết bị.
Cơ cấu cân bằng áp suất cần được điều chỉnh trong các thử nghiệm buồng nhiệt lượng hoặc các phép đo dòng không khí sao cho độ chênh áp suất tĩnh giữa các buồng thử phía trong phòng và phía ngoài trời không lớn hơn 1,25 Pa.
D.1.4 Kích thước của buồng nhiệt lượng cần đủ lớn để tránh bất kỳ hạn chế nào đối với các cửa hút và xả của thiết bị. Cần trang bị các tấm đục lỗ hoặc lưới chắn (ghi gió) thích hợp khác tại cửa xả từ thiết bị thiết lập lại điều kiện (điều hòa lại) để tránh đối diện các vận tốc vượt quá 0,5 m/s. Cần cho phép có đủ không gian phía trước của bất kỳ lưới chắn cửa vào hoặc xả của thiết bị để tránh nhiễu loạn dòng không khí. Khoảng cách tối thiểu từ thiết bị đến các thành bên hoặc trần của các buồng thử cần là 1 m, ngoại trừ đối với mặt sau của thiết bị kiểu console, nó cần có tương quan thích ứng với thành buồng. Thiết bị được lắp trên trần cần được lắp đặt ở khoảng cách tối thiểu bằng 1,8 m so với sàn. Bảng D.1 đưa ra các kích thước đề xuất cho buồng nhiệt lượng. Để phù hợp với các kích thước đặc biệt của thiết bị, có thể cần phải thay đổi các kích thước đề xuất này để tuân thủ các yêu cầu về không gian.
Bảng D.1 - Các kích thước của buồng nhiệt lượng
| Năng suất lạnh danh định của thiết bịa | Các kích thước phía trong đề xuất tối thiểu của mỗi phòng của buồng nhiệt lượng | ||
| W | m | ||
|
| Rộng | Cao | Dải |
| 3 000 | 2,4 | 2,1 | 1,8 |
| 6 000 | 2,4 | 2,1 | 2,4 |
| 9 000 | 2,7 | 2,4 | 3,0 |
| 12 000b | 3,0 | 2,4 | 3,7 |
| a Tất cả các con số là các số làm tròn. b Thiết bị có năng suất lớn hơn sẽ đòi hỏi buồng nhiệt lượng lớn hơn. | |||
D.1.5 Mỗi buồng thử cần được trang bị thiết bị thiết lập lại điều kiện đề duy trì dòng không khí quy định và các điều kiện quy định. Trang thiết bị thiết lập lại điều kiện cho buồng thử phía trong phòng cần gồm có các bộ sấy để cấp nhiệt hiện và một bộ tạo ẩm để cấp hơi ẩm. Trang thiết bị thiết lập lại điều kiện cho buồng thử phía ngoài trời cần cung cấp làm lạnh, hút ẩm và tạo ẩm. Nguồn năng lượng cần được kiểm soát và được đo.
D.1.6 Khi các buồng nhiệt lượng được sử dụng cho bơm nhiệt, chúng cần có khả năng sưởi, tạo ẩm và làm lạnh cho cả hai phòng (xem các Hình D.1 và D.2). Có thể sử dụng các biện pháp khác, như xoay thiết bị, miễn là các điều kiện xác định thông số được duy trì.
D.1.7 Trang thiết bị thiết lập lại điều kiện cho cả hai buồng thử cần được trang bị các quạt có đủ công suất để đảm bảo các dòng không khí không nhỏ hơn hai lần lượng không khí do thiết bị được thử trong buồng nhiệt lượng xả ra. Buồng nhiệt lượng cần được trang bị các phương tiện đo hoặc xác định các nhiệt độ bầu ướt và khô quy định trong cả hai buồng thử của buồng nhiệt lượng.
D.1.8 Nhận thấy rằng trong cả buồng thử phía trong phòng và phía ngoài trời, gradien nhiệt độ và dạng dòng không khí đều do sự tương tác của trang thiết bị thiết lập lại điều kiện và thiết bị được thử. Do đó, các điều kiện xảy ra là đặc thù và phụ thuộc vào sự kết hợp nhất định của kích thước buồng thử, sự bố trí và kích thước của trang thiết bị thiết lập lại điều kiện và đặc tính không khí ra của thiết bị được thử.
Điểm đo các nhiệt độ thử nghiệm quy định, cả bầu ướt và bầu khô, cần sao cho đáp ứng các điều kiện dưới đây:
a) Các nhiệt độ đo được cần là đại diện của nhiệt độ xung quanh thiết bị và cần mô phỏng các điều kiện đã gặp phải trong ứng dụng thực tế cho cả phía trong phòng và ngoài trời, như đã chỉ ra ở trên.
b) Tại điểm đo, nhiệt độ của không khí cần không bị ảnh hưởng bởi không khí ra từ bất kỳ phần nào của thiết bị. Điều này dẫn đến việc bắt buộc phải đo nhiệt độ ở đầu dòng của chu trình tuần hoàn khép kín bất kỳ do thiết bị tạo ra.
c) Các ống lấy mẫu không khí cần được đặt về phía hút của thiết bị được thử.
d) Khi thử nghiệm máy điều hòa không khí và bơm nhiệt đa cụm, nhiệt độ của không khí vào tất cả các cụm trong phòng hoặc cụm ngoài trời phải nằm trong phạm vi sai lệch trung bình 0,5 K.
D.1.9 Trong quá trình thử năng suất sưởi, nhiệt độ của không khí ra khỏi cụm phía trong phòng của bơm nhiệt phải được giám sát để xác định xem tính năng sưởi của nó có bị ảnh hưởng bởi sự tích tụ băng trên bộ trao đổi nhiệt phía ngoài trời không. Một dụng cụ đo nhiệt độ đơn, được đặt ở giữa cửa ra không khí trong phòng, là đủ để chỉ thị bất kỳ thay đổi nào của nhiệt độ không khí thổi ra trong phòng gây ra bởi sự tích tụ băng trên bộ trao đổi nhiệt phía ngoài trời.
D.1.10 Các bề mặt bên trong của các buồng thử của buồng nhiệt lượng cần là vật liệu không rỗ xốp với tất cả các mối nối được làm kín chống rò lọt không khí và hơi ẩm. Cửa ra vào cần được bít thật kín chống rò lọt không khí và hơi ẩm bằng cách sử dụng các miếng đệm hoặc các biện pháp thích hợp khác.
D.1.11 Nếu các điều khiển xả băng trên bơm nhiệt dừng dòng không khí trong phòng, thì phải thực hiện biện pháp dự phòng để dừng dòng không khí ở trang thiết bị thử đi vào thiết bị ở cả hai phía trong phòng và ngoài trời trong suốt chu kỳ xả băng đó. Nếu muốn duy trì hoạt động của trang thiết bị thiết lập lại điều kiện trong suốt chu kỳ xả băng này, có thể thực hiện các biện pháp để đưa tắt không khí đã được điều hòa vòng quanh thiết bị miễn là đảm bảo răng không khí đã được điều hòa này không hỗ trợ cho việc xả băng. Phải sử dụng công tơ oát-giờ để đo điện năng tích hợp cấp vào thiết bị được thử.

| CHÚ DẪN: |
|
| 1 buồng thử phía ngoài trời 2 dàn ống làm lạnh 3 dàn ống sưởi 4 bộ tạo ẩm 5 quạt | 6 bộ trộn 7 ống lấy mẫu không khí 8 thiết bị được thử 9 buồng thử phía trong phòng 10 cơ cấu cân bằng áp suất |
Hình D.1 - Buồng nhiệt lượng kiểu phòng được hiệu chuẩn điển hình

| CHÚ DẪN: |
|
| 1 không gian không khí có nhiệt độ được kiểm soát 2 buồng thử phía ngoài trời 3 dàn ống làm lạnh 4 dàn ống sưởi 5 bộ tạo ẩm 6 quạt | 7 bộ trộn 8 ống lấy mẫu không khí 9 thiết bị được thử 10 buồng thử phía trong phòng 11 cơ cấu cân bằng áp suất |
Hình D.2 - Buồng nhiệt lượng kiểu phòng có môi trường xung quanh được cân bằng điển hình
D.2 Buồng nhiệt lượng kiểu phòng được hiệu chuẩn
D.2.1 Rò lọt nhiệt có thể được xác định trong buồng thử phía trong phòng hoặc phía ngoài trời bằng phương pháp sau: Tất cả các lỗ hở cần được đóng kín. Một trong hai buồng thử có thể được gia nhiệt bằng các bộ sấy điện tới nhiệt độ cao hơn nhiệt độ môi trường xung quanh ít nhất 11 °C. Nhiệt độ môi trường xung quanh cần được duy trì không đổi trong phạm vi sai số ± 1 K phía bên ngoài tất cả sáu bề mặt bao quanh buồng thử này, bao gồm cả vách ngăn. Nếu kết cấu của vách ngăn giống hệt với kết cấu của các thành khác, lượng rò lọt nhiệt qua vách ngăn này có thể được xác định dựa trên cơ sở diện tích tỷ lệ.
D.2.2 Để hiệu chuẩn nhiệt rò lọt qua một mình vách ngăn, có thể sử dụng quy trình sau: thực hiện một phép thử như mô tả ở D.2.1. Sau đó nâng nhiệt độ của vùng liền kề trên bề mặt kia của vách ngăn bằng với nhiệt độ trong buồng thử đã được gia nhiệt, do vậy loại bỏ được nhiệt rò lọt qua vách ngăn, trong khi vẫn duy trì độ chênh 11 °C giữa buồng thử đã gia nhiệt và không khí môi trường xung quanh năm bề mặt bao quanh khác.
Độ chênh nhiệt cấp vào giữa lần thử đầu tiên với lần thử thứ hai cho phép xác định sự rò lọt qua một mình vách ngăn.
D.2.3 Đối với buồng thử phía ngoài trời được trang bị phương tiện làm lạnh, biện pháp hiệu chuẩn thay thế khác có thể làm lạnh buồng thử này tới nhiệt độ thấp hơn nhiệt độ môi trường xung quanh ít nhất 11 °C (về sáu bên) và tiến hành phân tích tương tự.
D.2.4 Ngoài phương pháp xác định các năng suất đồng thời hai phòng, tính năng của buồng thử phía trong phòng có thể được kiểm tra xác nhận ít nhất sáu tháng một lần sử dụng dụng cụ hiệu chuẩn năng suất lạnh tiêu chuẩn công nghiệp. Một dụng cụ hiệu chuẩn cũng có thể là một mẫu thiết bị khác có tính năng đã được đo bằng phương pháp đo trong phòng và ngoài trời đồng thời ở một phòng thí nghiệm đã được công nhận như một phần của chương trình kiểm tra xác nhận năng suất lạnh rộng rãi trong công nghiệp.
Buồng nhiệt lượng phía trong phòng bao gồm cả vách ngăn ở giữa và buồng nhiệt lượng phía ngoài trời phải được cách nhiệt sao cho rò lọt nhiệt (bao gồm cả bức xạ) không vượt quá 5 % năng suất của thiết bị. Phải đảm bảo có sẵn không gian đủ để lưu thông không khí ở phía dưới sàn của buồng nhiệt lượng kiểu phòng.
D.3 Buồng nhiệt lượng kiểu phòng có môi trường xung quanh được cân bằng
D.3.1 Buồng nhiệt lượng kiểu phòng có môi trường xung quanh được cân bằng được thể hiện trên Hình D.2 và được dựa trên nguyên lý duy trì các nhiệt độ bầu khô xung quanh buồng thử cụ thể bằng với các nhiệt độ bầu khô được duy trì trong phạm vi buồng thử đó. Nếu nhiệt độ bầu ướt môi trường xung quanh cũng được duy trì bằng với nhiệt độ bầu ướt trong phạm vi buồng thử, thì không yêu cầu các điều khoản về kín hơi của D.1.10.
D.3.2 Sàn, trần và các thành của các buồng thử của buồng nhiệt lượng phải được đặt cách một khoảng cách đủ so với sàn, trần và các thành của các vùng được kiểm soát mà buồng thử được đặt trong đó để cung cấp nhiệt độ không khí đồng đều trong không gian xen vào này. Khuyến nghị là khoảng cách này ít nhất bằng 0,3 m. Phải trang bị các phương tiện để lưu thông không khí trong không gian xung quanh để ngăn chặn sự phân tầng.
D.3.3 Rò lọt nhiệt qua vách ngăn phải được đưa vào tính toán cân bằng nhiệt và có thể được hiệu chuẩn phù hợp với D.2.2 hoặc có thể được tính toán.
D.3.4 Khuyến nghị là sàn, trần và các thành của các buồng thử của buồng nhiệt lượng được cách nhiệt sao cho giới hạn rò lọt nhiệt (gồm cả bức xạ) không lớn hơn 10 % năng suất của thiết bị, với độ chênh nhiệt độ 11 °C, hoặc 300 W cho cùng độ chênh nhiệt độ, lấy giá trị nào lớn hơn, khi được thử bằng quy trình cho trong D.2.2.
D.4 Tính toán năng suất lạnh
D.4.1 Các đại lượng dòng năng lượng được sử dụng để tính toán năng suất lạnh tổng dựa trên các đại lượng đo phía trong phòng và phía ngoài trời, được thể hiện trên Hình D.3.

CHÚ DẪN:
1 buồng thử phía ngoài trời
2 thiết bị được thử
3 buồng thử phía trong phòng
CHÚ THÍCH: Các giá trị cho các biến được xác định trong hình vẽ này được tính toán bằng sử dụng các công thức (D.1) đến (D.6).
Hình D.3 - Dòng năng lượng ở buồng nhiệt lượng trong các thử nghiệm năng suất lạnh
D.4.2 Năng suất lạnh tổng ở phía trong phòng, ɸtci, khi được thử trong buồng nhiệt lượng kiểu phòng, được hiệu chuẩn hoặc môi trường xung quanh được cân bằng (xem các Hình D.1 và D.2), được tính toán bằng sử dụng công thức (D.1):
|
| (D.1) |
CHÚ THÍCH: Nếu không có nước được đưa vào trong quá trình thử nghiệm, hw1 được lấy ở nhiệt độ của nước trong khay bộ tạo ẩm của trang thiết bị thiết lập điều kiện.
Khi dàn ống làm lạnh của buồng nhiệt lượng phía trong phòng được sử dụng để thử nghiệm các cụm có năng suất nhỏ, để ổn định điều kiện thử nghiệm, phải sử dụng công thức (D.2) và các yêu cầu về độ không đảm bảo đo quy định trong 8.2.2 phải được thỏa mãn. ɸc1 trong công thức (D.2) là lượng nhiệt trao đổi trong dàn ống làm lạnh của buồng nhiệt lượng phía trong phòng.
|
| (D.2) |
D.4.3 Khi không thuận tiện đo nhiệt độ của không khí rời buồng thử phía trong phòng và đi vào buồng thử phía ngoài trời, nhiệt độ của nước ngưng có thể được giả định là ở nhiệt độ bầu ướt đo được hoặc ước lượng được của không khí ra khỏi thiết bị thử.
D.4.4 Hơi nước bị ngưng tụ bởi thiết bị được thử, Wr, có thể được xác định bằng lượng nước bốc hơi vào buồng thử phía trong phòng bởi thiết bị thiết lập lại điều kiện để duy trì độ ẩm yêu cầu.
D.4.5 Nhiệt rò lọt, ɸlp, đi vào buồng thử phía trong phòng qua vách ngăn giữa các buồng thử phía trong phòng và phía ngoài trời có thể được xác định từ phép thử hiệu chuẩn, hoặc có thể dựa trên các tính toán trong trường hợp buồng thử kiểu phòng có môi trường xung quanh được cân bằng.
D.4.6 Năng suất lạnh tổng ở phía ngoài trời, ɸtco, khi được thử trong buồng nhiệt lượng kiểu phòng, được hiệu chuẩn hoặc môi trường xung quanh được cân bằng (xem các Hình D.1 và D.2), được tính toán bằng sử dụng công thức (D.3):
|
| (D.3) |
CHÚ THÍCH: Entanpy hw3 được lấy ở nhiệt độ tại đó nước ngưng rời khỏi buồng thử phía ngoài trời của trang thiết bị thiết lập lại điều kiện.
D.4.7 Tốc độ rò lọt nhiệt vào buồng thử phía trong phòng qua vách ngăn giữa các buồng thử phía trong phòng và phía ngoài trời, ɸlp, có thể được xác định từ phép thử hiệu chuẩn hoặc có thể dựa trên các tính toán trong trường hợp buồng thử kiểu phòng có môi trường xung quanh được cân bằng.
CHÚ THÍCH: Đại lượng này về mặt số lượng bằng với giá trị sử dụng trong công thức D.1 khi và chỉ khi diện tích của vách ngăn tiếp xúc với phía ngoài trời bằng với diện tích tiếp xúc với buồng thử phía trong phòng.
D.4.8 Năng suất lạnh ẩn (năng suất hút ẩm phòng), ɸd, tính được bằng sử dụng công thức (D.4):
| ɸd = Kl Wr | (D.4) |
D.4.9 Năng suất lạnh hiện, ɸsci, tính được bằng sử dụng công thức (D.5):
| ɸsci = ɸsci - ɸd | (D.5) |
D.4.10 Tỉ số nhiệt hiện (SHR) tính được bằng sử dụng công thức (D.6):
| SHR = ɸsci / ɸtci | (D.6) |
D.5 Tính toán năng suất sưởi
D.5.1 Các đại lượng dòng năng lượng được sử dụng để tính toán năng suất sưởi tổng dựa trên các đại lượng đo phía trong phòng và phía ngoái trời, được thể hiện trên Hình D.4.

CHÚ DẪN:
1 buồng thử phía ngoài trời
2 thiết bị được thử
3 buồng thử phía trong phòng
CHÚ THÍCH: Các giá trị cho các biến được xác định trong hình vẽ này được tính toán bằng sử dụng các công thức (D.7) và (D.8).
Hình D.4 - Dòng năng lượng ở buồng nhiệt lượng trong các thử nghiệm năng suất sưởi
D.5.2 Xác định năng suất sưởi phía trong phòng bằng phép đo trong buồng thử phía trong phòng của buồng nhiệt lượng, ɸhi, được tính toán bằng sử dụng công thức (D.7):
| ɸhi = ɸci - ΣPic - ɸlp - ɸli | (D.7) |
CHÚ THÍCH: ΣPic là công suất khác cấp vào buồng thử phía trong phòng (như chiếu sáng, công suất điện và nhiệt cấp vào cho dụng cụ bù, cân bằng nhiệt của dụng cụ tạo ẩm), tính bằng oát.
D.5.3 Xác định năng suất sưởi bằng phép đo phía hấp thụ nhiệt, ɸho, được tính toán cho thiết bị trong đó dàn bay hơi lấy nhiệt từ dòng không khí bằng công thức (D.8):
| ɸho = ΣPoc + Pt + (hw4 - hw5)qwo - ɸlp - ɸlo | (D.8) |
Phụ lục E
(Quy định)
Phương pháp thử entanpy không khí trong phòng
E.1 Quy định chung
Trong phương pháp entanpy không khí, các năng suất được xác định từ các phép đo nhiệt độ bầu khô và ướt vào và ra và lưu lượng không khí liên quan.
E.2 Áp dụng
E.2.1 Không khí ra khỏi thiết bị được thử phải dẫn trực tiếp vào buồng xả. Nếu không thể tạo được kết nối trực tiếp giữa thiết bị và buồng xả, một hộp gió ngắn phải được gắn kèm với thiết bị. Trong trường hợp này, hộp gió ngắn này phải có cùng kích cỡ với cửa ra của thiết bị hoặc phải được kết cấu sao cho không cản không khí đi ra do giãn nở. Diện tích mặt cắt ngang của kênh dòng không khí xuyên qua buồng xả phải sao cho vận tốc không khí trung bình nhỏ hơn 1,25 m/s căn cứ theo lưu lượng không khí của thiết bị được thử. Độ chênh áp suất tĩnh giữa buồng xả và cửa hút của thiết bị được thử phải bằng không (0). Một ví dụ cài đặt thử nghiệm buồng xả được thể hiện trên Hình E.1.
E.2.2 Các phép đo dòng không khí phải được thực hiện phù hợp với các điều khoản quy định trong Phụ lục C.
CHÚ THÍCH: Hướng dẫn bổ sung có thể được tìm thấy trong ISO 3966 và ISO 5167-1, khi thích hợp, và trong các điều khoản của phụ lục này.
E.2.3 Khi tiến hành các thử nghiệm năng suất lạnh hoặc sưởi ở trạng thái ổn định sử dụng phương pháp thử entanpy không khí trong phòng, phải áp dụng các dung sai thử nghiệm bổ sung cho trong Bảng E.1.
Bảng E.1 - Các sai lệch cho phép trong các thử nghiệm năng suất lạnh và sưởi ở trạng thái ổn định chỉ áp dụng khi sử dụng phương pháp entanpy không khí trong phòng
| Số đọc | Sai lệch của các giá trị trung bình cộng so với điều kiện thử nghiệm quy định | Sai lệch của các số đọc riêng lẻ so với điều kiện thử nghiệm quy định | ||
| ≤ 100 Pa | > 100 Pa | ≤ 100 Pa | > 100 Pa | |
| Áp suất tĩnh bên ngoài (ESP) | ± 0,5 Pa | ± 5% | ± 0,10 Pa | ± 10% |
| CHÚ THÍCH: Điều kiện thử này được xác định là trung bình cộng đo được của áp suất tĩnh được lấy trong phạm vi 5 min đầu tiên của giai đoạn thu thập dữ liệu. | ||||

CHÚ DẪN:
1 vòi áp suất tĩnh
2 thiết bị được thử
3 van gió cho phương pháp trở lực ống gió cố định
4 áp suất tĩnh bên ngoài
a đi đến bộ lấy mẫu không khí và trang thiết bị đo dòng không khí.
b J = 2De trong đó
và A và B là các kích thước của cửa ra của thiết bị.
c v2 là vận tốc không khí trung bình ở PL.2.
Hình E.1 - Các yêu cầu buồng xả đối với phương pháp trở lực ống gió cố định khi sử dụng phương pháp thử entanpy không khí trong phòng
E.2.4 Khi tiến hành các thử nghiệm năng suất sưởi ở trạng thái không ổn định sử dụng phương pháp thử entanpy không khí trong phòng, phải áp dụng các dung sai thử nghiệm bổ sung cho trong Bảng 8.
Khi thử nghiệm máy điều hòa không khí và bơm nhiệt đa cụm, nhiệt độ của không khí vào tất cả các cụm trong phòng hoặc cụm ngoài trời phải nằm trong phạm vi sai lệch trung bình 0,5 K.
E.3 Tính toán năng suất lạnh
Năng suất lạnh tổng dựa trên các dữ liệu thử nghiệm phía trong phòng, ɸtci, phải được tính toán bằng công thức (E.1):
|
| (E.1) |
Năng suất lạnh hiện dựa trên các dữ liệu thử nghiệm phía trong phòng, ɸsci, phải được tính toán bằng công thức (E.2):
|
| (E.2) |
Năng suất lạnh ẩn dựa trên các dữ liệu thử nghiệm phía trong phòng, ɸd, phải được tính toán bằng các công thức (E.3) hoặc (E.4):
|
| (E.3) |
| ɸd = ɸtci - ɸsci | (E.4) |
E.4 Tính toán năng suất sưởi
Năng suất sưởi tổng dựa trên các dữ liệu thử nghiệm phía trong phòng, ɸthi, phải được tính toán bằng công thức (E.5).
|
| (E.5) |
CHÚ THÍCH: Cpa1 có thể bằng Cpa2.
Các công thức (E.1), (E.2), (E.3) và (E.5) không cung cấp dung sai cho rò lọt nhiệt trong ống gió thử và buồng xả. Khuyến nghị nên bao gồm hiệu chỉnh cho tổn thất nhiệt từ buồng nhận và/hoặc các ống gió nối.
E.5 Đo entanpy dòng không khí
E.5.1 Quy định chung
Khuyến nghị nên bố trí trang thiết bị thử nghiệm như dưới đây.
E.5.2 Phương pháp entanpy không khí kiểu đường hầm (kiểu tunnel)
Thiết bị được thử nghiệm thường được đặt trong một hoặc nhiều phòng thử. Một dụng cụ đo không khí được gắn với cửa không khí ra của thiết bị (trong phòng, ngoài trời hoặc cả hai, khi thích hợp). Dụng cụ này xả trực tiếp vào phòng hoặc không gian thử nghiệm, phòng hoặc không gian này được trang bị các phương tiện phù hợp để duy trì không khí vào thiết bị ở các nhiệt độ bầu ướt và khô mong muốn (xem Hình E.2). Các phương tiện phù hợp để đo các nhiệt độ bầu ướt và khô của không khí vào và ra khỏi thiết bị và trở lực bên ngoài phải được trang bị.

| CHÚ DẪN: |
|
| 1 phòng thử phía ngoài trời 2 cụm ngoài trời của thiết bị được thử 3 phần dàn ống phía trong phòng của thiết bị được thử 4 dụng cụ đo độ ẩm và nhiệt độ không khí 5 bộ trộn 6 trang thiết bị đo dòng không khí | 7 cửa/cửa sổ 8 lớp cách nhiệt 9 phòng thử phía trong phòng 10 trang thiết bị điều hòa phòng 11 trang thiết bị để đo áp suất chênh |
Hình E.2 - Bố trí phương pháp thử entanpy không khí kiểu đường hầm
E.5.3 Phương pháp entanpy không khí kiểu quay vòng (kiểu loop)
Cách bố trí này khác với cách bố trí đường ống gió ở chỗ cửa xả của dụng cụ đo không khí được kết nối với trang thiết bị thiết lập lại điều kiện phù hợp, trang thiết bị này được kết nối với cửa vào thiết bị (xem Hình E.3). “Vòng” thử nghiệm tạo thành này phải được làm kín sao cho rò lọt không khí ở các vị trí ảnh hưởng đến các phép đo năng suất không vượt quá 1,0 % lưu lượng không khí thử nghiệm. Nhiệt độ bầu khô của không khí xung quanh thiết bị phải được duy trì trong phạm vi sai lệch ± 3,0 K so với nhiệt độ bầu khô cửa vào thử nghiệm mong muốn. Các nhiệt độ bầu ướt và khô và trở lực bên ngoài cần được đo bằng phương tiện phù hợp.

| CHÚ DẪN: |
|
| 1 phòng thử phía ngoài trời 2 cụm ngoài trời của thiết bị được thử 3 cụm trong phòng của thiết bị được thử 4 dụng cụ đo độ ẩm và nhiệt độ 5 trang thiết bị thiết lập lại điều kiện (điều hòa lại) | 6 trang thiết vị đo dòng không khí 7 phòng thử phía trong phòng 8 trang thiết bị để đo áp suất chênh a Dòng không khí |
Hình E.3 - Bố trí phương pháp thử entanpy không khí kiểu quay vòng
E.5.4 Phương pháp entanpy không khí kiểu buồng nhiệt lượng
Đối với thiết bị trong đó máy nén được thông gió làm mát độc lập với luồng không khí trong phòng, sự bố trí phương pháp entanpy không khí kiểu buồng nhiệt lượng phải được sử dụng để tính đến bức xạ nhiệt từ máy nén (xem Hình E.4). Trong cách bố trí này, một vỏ bao được đặt phía trên thiết bị được thử, hoặc trên phần áp dụng được của thiết bị được thử. Vỏ bao này có thể được làm bằng vật liệu phù hợp bất kỳ, nhưng phải là loại không hút ẩm, kín khí và nhất là cách nhiệt, vỏ bao phải đủ lớn để cho phép không khí vào lưu thông một cách tự do giữa thiết bị và vỏ bao và trong mọi trường hợp vỏ bao phải cách bất kỳ bộ phận nào của thiết bị không gần hơn 150 mm. Cửa vào vỏ bao này phải được đặt cách xa cửa vào của thiết bị để gây ra sự lưu thông khắp toàn bộ không gian được bao kín này. Dụng cụ đo không khí sẽ được kết nối với cửa ra của thiết bị. Dụng cụ này phải được cách nhiệt tốt ở chỗ đi xuyên qua không gian được bao kín này. Các nhiệt độ bầu ướt và khô của không khí vào thiết bị sẽ được đo tại cửa vào vỏ bao. Các phép đo nhiệt độ và trở lực bên ngoài phải được tiến hành bằng phương tiện phù hợp.

| CHÚ DẪN: |
|
| 1 phòng thử phía ngoài trời 2 cụm ngoài trời của thiết bị được thử 3 cửa không khí vào 4 dụng cụ đo độ ẩm và nhiệt độ không khí 5 trang thiết bị để đo áp suất chênh 6 phần dàn ống phía trong phòng của thiết bị được thử | 7 vỏ bao 8 phòng thử phía trong phòng 9 trang thiết bị đo dòng không khí 10 trang thiết bị điều hòa phòng a Dòng không khí |
Hình E.4 - Bố trí phương pháp thử entanpy không khí kiểu buồng nhiệt lượng
Phụ lục F
(Tham khảo)
Phương pháp thử entanpy môi chất lạnh
F.1 Mô tả chung
F.1.1 Trong phương pháp thử này, năng suất được xác định từ sự thay đổi entanpy và lưu lượng môi chất lạnh. Các thay đổi entanpy được xác định từ các phép đo áp suất và nhiệt độ của môi chất lạnh đi vào và ra, và lưu lượng được xác định bằng lưu lượng kế phù hợp đặt trên đường ống môi chất lạnh lỏng.
F.1.2 Phương pháp này có thể được sử dụng cho các thử nghiệm thiết bị trong đó việc nạp môi chất lạnh không bị giới hạn và các quy trình lắp đặt thông thường đòi hỏi kết nối tại hiện trường của các đường ống môi chất lạnh.
F.1.3 Phương pháp này không nên sử dụng cho các thử nghiệm trong đó môi chất lạnh lòng ra khỏi lưu lượng kế bị quá lạnh ít hơn 2,0 °C và cũng không sử dụng cho các thử nghiệm trong đó độ quá nhiệt của hơi ra phía trong phòng ít hơn 3,0 °C.
F.1.4 Các năng suất lạnh và sưởi nhận được bằng phương pháp entanpy môi chất lạnh cần bao gồm cả các ảnh hưởng nhiệt của quạt.
F.2 Phương pháp lưu lượng môi chất lạnh
F.2.1 Lưu lượng môi chất lạnh cần được đo bằng một lưu lượng kế kiểu tích hợp được kết nối ở phía đầu dòng đường ống lỏng của cơ cấu điều khiển môi chất lạnh. Lưu lượng kế này cần có kích cỡ sao cho độ sụt áp của nó không vượt quá sự thay đổi áp suất hơi do thay đổi nhiệt độ 2,0 °C tạo ra.
F.2.2 Các dụng cụ đo nhiệt độ và áp suất và mắt ga cần được lắp đặt ngay phía xuôi dòng với lưu lượng kế để xác định xem môi chất lạnh lỏng có được quá lạnh thích đáng không. Độ quá lạnh 2,0 °C và không có bất kỳ bọt hơi nào trong chất lạnh lỏng ra khỏi lưu lượng kế được coi là thích đáng. Khuyến nghị nên lắp đặt lưu lượng kế ở đáy của dòng chảy thẳng đứng từ trên xuống trên đường chất lạnh lỏng để lợi dụng cột áp tĩnh của chất lỏng.
F.2.3 Thời điểm kết thúc phép thử, có thể lấy một mẫu hỗn hợp dầu và môi chất lạnh đang lưu thông từ thiết bị và nồng độ dầu của hỗn hợp, Xo, được tính bằng công thức (F.1):
|
| (F.1) |
Lưu lượng chỉ thị tổng cần được hiệu chỉnh cho lượng dầu đang lưu thông.
F.3 Đo nhiệt độ và áp suất môi chất lạnh
Nhiệt độ của môi chất lạnh đi vào và ra phần trong phòng của thiết bị cần được đo bằng các dụng cụ có độ chính xác bằng ±0,1 K. Áp suất của môi chất lạnh đi vào và ra phần trong phòng của thiết bị cần được đo bằng các dụng cụ có độ chính xác bằng ± 2,0 % giá trị được chỉ thị.
F.4 Tính toán năng suất lạnh
Năng suất lạnh tổng, ɸtci, dựa trên dữ liệu dòng môi chất lạnh dễ bay hơi được tính toán bằng công thức (F.2):
| ɸtci = Xrqro (hr2 - hr1) - Pi | (F.2) |
F.5 Tính toán năng suất sưởi
Năng suất sưởi tổng, ɸthi, dựa trên dữ liệu dòng môi chất lạnh dễ bay hơi được tính toán bằng công thức (F.3):
| ɸthi = Xrqro (hr1 - hr2) + Pi | (F.3) |
Phụ lục G
(Tham khảo)
Phương pháp thử entanpy không khí ngoài trời
G.1 Quy định chung
G.1.1 Trong phương pháp thử entanpy không khí, các năng suất được xác định từ các phép đo nhiệt độ bầu khô và ướt vào và ra và lưu lượng không khí liên quan.
G.1.2 Các thử nghiệm entanpy không khí ngoài trời tuân theo các giới hạn bố trí trang thiết bị quy định trong G.2.1. Nếu máy nén được thông gió làm mát độc lập thì áp dụng các điều khoản bổ sung (xem G.2.2). Có thể thực hiện hiệu chỉnh tổn thất trên đường ống cho phép bởi G.4.3 nếu thiết bị sử dụng các dàn ống ngoài trời đặt xa.
G.2 Các yêu cầu phòng thử
G.2.1 Khi sử dụng phương pháp entanpy không khí cho các thử nghiệm phía ngoài trời, cần xác định xem việc gắn kèm dụng cụ đo dòng không khí có làm thay đổi tính năng của thiết bị được thử hay không và, nếu có, thì cần thực hiện các hiệu chỉnh cho thay đổi này (xem Hình G.1). Để thực hiện việc này, thiết bị cần có các cặp nhiệt điện được hàn mềm vào các chỗ uốn chữ U (cút chữ U) ở gần các điểm giữa của từng mạch dàn ống trong phòng và dàn ống ngoài trời. Cách khác, thiết bị không nhạy với lượng nạp môi chất lạnh có thể được trang bị các áp kế nối với các van dịch vụ hoặc được đấu vào các đường hút và xả. Sau đó thiết bị cần được vận hành ở các điều kiện mong muốn, với trang thiết bị thử nghiệm phía trong phòng đã kết nối, còn trang thiết bị phía ngoài trời thì không. Dữ liệu cần được ghi lại ở các khoảng cách nhau 10 min cho một khoảng thời gian không nhỏ hơn 30 min sau khi đã đạt được cân bằng. Sau đó trang thiết bị thử nghiệm phía ngoài trời cần được kết nối với thiết bị và áp suất hoặc các nhiệt độ được chỉ thị bởi các áp kế hoặc các cặp nhiệt điện đã nói ở trên được ghi lại. Nếu sau khi lại đạt được cân bằng, các giá trị này không đạt trung bình trong giới hạn sai số ± 0,3 K hoặc áp suất của nó tương đương với các giá trị trung bình quan sát được trong phép thử sơ bộ, thì lưu lượng không khí ngoài trời cần được điều chỉnh cho đến khi đạt được giá trị thỏa thuận quy định. Thử nghiệm cần được tiếp tục trong khoảng thời gian 30 min sau khi đạt được cân bằng ở các điều kiện thích hợp với trang thiết bị thử nghiệm phía ngoài trời được kết nối; các kết quả thử nghiệm phía trong phòng trong khoảng thời gian này cần trùng với các kết quả đạt được trong khoảng thời gian thử nghiệm sơ bộ trong phạm vi ± 2 %. Điều này áp dụng cho cả chu kỳ làm lạnh và sưởi, nhưng chỉ cần được thực hiện ở một điều kiện bất kỳ cho mỗi chu kỳ.
G.2.2 Đối với thiết bị trong đó máy nén được thông gió làm mát độc lập với luồng không khí ngoài trời, sự bố trí phương pháp entanpy không khí kiểu buồng nhiệt lượng cần được sử dụng để tính đến bức xạ nhiệt từ máy nén (xem Hình G.1).
G.2.3 Khi dòng không khí ngoài trời được điều chỉnh như mô tả trong G.2.1, lưu lượng không khí đã điều chỉnh được sử dụng trong tính toán năng suất. Tuy nhiên, trong trường hợp đó, công suất đầu vào cho quạt ngoài trời được quan sát trong các thử nghiệm sơ bộ cần được sử dụng cho các mục đích xác định thông số.
Khi thử nghiệm máy điều hòa không khí và bơm nhiệt đa cụm, nhiệt độ của không khí vào tất cả các cụm trong phòng hoặc cụm ngoài trời phải trong phạm vi sai lệch trung bình 0,5 K.

| CHÚ DẪN: |
|
| 1 trang thiết bị điều hòa phòng 2 phòng thử phía ngoài trời 3 trang thiết bị đo dòng không khí 4 dụng cụ đo độ ẩm và nhiệt độ không khí 5 bộ trộn 6 cụm ngoài trời của thiết bị được thử | 7 lớp cách nhiệt 8 trang thiết bị để đo áp suất chênh 9 phần dàn ống phía trong phòng của thiết bị được thử 10 cửa/cửa sổ 11 phòng thử phía trong phòng |
Hình G.1 - Bố trí phương pháp thử entanpy không khí ngoài trời
G.3 Điều kiện thử nghiệm
Khi sử dụng phương pháp entanpy không khí ngoài trời, các yêu cầu trong 6.1.3.1 áp dụng cho cả thử nghiệm sơ bộ (xem G.2.1) và thử nghiệm thiết bị chính thức.
G.4 Tính toán
G.4.1 Năng suất lạnh tổng trong phòng dựa trên dữ liệu phía ngoài trời, ɸtco, được tính toán bằng công thức (G.1):
|
| (G.1) |
G.4.2 Năng suất sưởi tổng dựa trên dữ liệu phía ngoài trời, ɸtho, được tính toán bằng công thức (G.2):
|
| (G.2) |
G.4.3 Nếu các hiệu chỉnh tổn thất trên đường ống được thực hiện, chúng cần được bao gồm trong các tính toán năng suất. Dung sai cần được tính bằng công thức (G.3):
|
| (G.3) |
Trong đó
|
| (G.4) |
|
| (G.5) |
∆t là độ chênh nhiệt độ giữa phía trong và phía ngoài ống, K;
T là chiều dày của lớp cách nhiệt của ống, m;
L là chiều dài của đường ống môi chất lạnh, m;
λ là độ dẫn nhiệt của ống kết nối, W/(m∙K);
αa là hệ số truyền nhiệt của ống kết nối, W/(m2∙K);
R1, R2 là nhiệt trở của mỗi đơn vị chiều dài (K∙m/W).
Phụ lục H
(Tham khảo)
Phương pháp thử xác nhận bằng buồng nhiệt lượng trong phòng
H.1 Quy định chung
H.1.1 Phụ lục này cung cấp một phương pháp thử để xác nhận các kết quả thử nghiệm khi các năng suất lạnh và sưởi được xác định bằng phương pháp thử entanpy không khí trong phòng.
H.1.2 Trong phương pháp thử này, việc xác nhận cần được tiến hành trong phòng thử quy định ở H.2, sử dụng phương pháp đo quy định ở H.3.
H.2 Yêu cầu phòng thử
Một phòng thử khuyến nghị được thể hiện trên Hình H.1. Phòng thử này cần được xây dựng sao cho trang thiết bị thử entanpy không khí được lắp đặt trong buồng thử phía trong phòng của buồng nhiệt lượng được mô tả ở Phụ lục D. Buồng nhiệt lượng cần là kiểu phòng được hiệu chuẩn hoặc kiểu phòng có môi trường xung quanh được cân bằng. Trang thiết bị thử entanpy không khí cần được trang bị các phương tiện không những để đo lưu lượng không khí và các entanpy tại cửa vào và cửa ra của thiết bị được thử, mà còn để đo công suất điện tổng cấp cho trang thiết bị thử entanpy không khí. Khuyến nghị là không khí ra khỏi trang thiết bị thử entanpy không khí được dẫn trực tiếp vào vùng lân cận của cửa hút của trang thiết bị thiết lập lại điều kiện của buồng nhiệt lượng.
H.3 Đo
H.3.1 Các phép đo cần được thực hiện 1 h sau khi đạt được các điều kiện cân bằng.
H.3.2 Các phép đo đồng thời thực hiện bởi buồng nhiệt lượng và trang thiết bị thử entanpy không khí cần được thực hiện phù hợp với các phương pháp đã quy định. Khi được xác định bằng phép đo sử dụng buồng nhiệt lượng, năng suất lạnh cần được tính toán theo công thức (D.1) và năng suất sưởi cần được tính toán theo công thức (D.7). Tương tự như vậy, khi được xác định bằng phép đo với trang thiết bị thử entanpy không khí, năng suất lạnh được tính toán theo công thức (E.1) và năng suất sưởi theo công thức (E.5).

| CHÚ DẪN: |
|
| 1 buồng thử phía ngoài trời 2 thiết bị được thử - cụm ngoài trời 3 ống lấy mẫu không khí 4 thiết bị được thử - cụm trong phòng 5 trang thiết bị đo dòng không khí 6 bộ trộn | 7 quạt 8 bộ tạo ẩm 9 dàn ống sưởi 10 dàn ống làm lạnh 11 không gian không khí có nhiệt độ được kiểm soát 12 buồng thử phía trong phòng |
Hình H.1 - Bố trí phương pháp thử xác nhận bằng buồng nhiệt lượng trong phòng
Phụ lục I
(Tham khảo)
Phương pháp thử xác nhận bằng buồng nhiệt lượng ngoài trời
I.1 Quy định chung
I.1.1 Phụ lục này cung cấp một phương pháp để xác nhận các kết quả thử nghiệm khi các năng suất lạnh và sưởi được xác định bằng phương pháp thử entanpy không khí trong phòng.
I.1.2 Trong phương pháp thử này, việc xác nhận cần được tiến hành trong phòng thử quy định ở I.2, sử dụng phương pháp đo quy định ở I.3.
I.2 Yêu cầu phòng thử
Trang thiết bị thử entanpy không khí trong buồng thử phía trong phòng cần được xây dựng phù hợp với tiêu chuẩn này. Trang thiết bị phía ngoài trời là buồng nhiệt lượng, nó cần được xây dựng và trang bị các phương tiện đo theo mô tả trong Phụ lục D. Một phòng thử khuyến nghị được thể hiện trên Hình 1.1.
I.3 Đo
I.3.1 Các phép đo cần được thực hiện 1 h sau khi đạt được các điều kiện cân bằng.
I.3.2 Các phép đo đồng thời cần được thực hiện bằng sử dụng trang thiết bị thử entanpy không khí phía trong phòng và buồng nhiệt lượng phía ngoài trời phù hợp với các phương pháp đã quy định. Khi được xác định bằng phép đo sử dụng buồng nhiệt lượng, năng suất lạnh cần được tính toán theo công thức (D.3) và năng suất sưởi cần được tính toán theo công thức (D.8).

| CHÚ DẪN: |
|
| 1 không gian không khí có nhiệt độ được kiểm soát 2 buồng thử phía ngoài trời 3 dàn ống làm lạnh 4 dàn ống sưởi 5 bộ tạo ẩm 6 quạt | 7 bộ trộn 8 thiết bị được thử - cụm ngoài trời 9 ống lấy mẫu không khí 10 thiết bị được thử - cụm trong phòng 11 trang thiết bị đo dòng không khí 12 buồng thử phía trong phòng |
Hình I.1 - Bố trí phương pháp thử xác nhận bằng buồng nhiệt lượng ngoài trời
Phụ lục J
(Tham khảo)
Phương pháp thử xác nhận bằng buồng nhiệt lượng kiểu cân bằng
J.1 Quy định chung
J.1.1 Phụ lục này cung cấp một phương pháp cho các nhà sản xuất để xác nhận các kết quả thử nghiệm khi các năng suất lạnh và sưởi được xác định bằng phương pháp thử entanpy không khí trong phòng.
Không nên sử dụng phương pháp thử này làm phương pháp xác nhận bởi các phòng thí nghiệm (tổ chức thử nghiệm), do nó không cung cấp cho các kết quả thử xác nhận đồng thời.
J.1.2 Phương pháp thử này cần được thực hiện bằng cách lắp đặt thiết bị, mà thiết bị này đã được đo bằng buồng nhiệt lượng kiểu cân bằng, trong trang thiết bị thử entanpy không khí trong phòng để đo trong cùng các điều kiện giống như trong buồng nhiệt lượng kiểu cân bằng.
J.1.3 Tính năng của trang thiết bị thử entanpy không khí trong phòng cần được kiểm tra xác nhận ít nhất 12 tháng một lần sử dụng dụng cụ hiệu chuẩn làm lạnh/sưởi theo tiêu chuẩn công nghiệp. Dụng cụ hiệu chuẩn cũng có thể là một mẫu thiết bị khác mà tính năng đã được đo ở một phòng thí nghiệm đã được công nhận như một phần của chương trình kiểm tra xác nhận năng suất lạnh/sưởi rộng rãi trong công nghiệp.
J.2 Đo
J.2.1 Khi phương pháp thử này được sử dụng, mong muốn xác nhận là không có sự khác nhau giữa các năng suất được đo bởi buồng nhiệt lượng và các năng suất được đo sử dụng trang thiết bị thử entanpy không khí trong phòng. Để thực hiện việc này, thiết bị cần có các cặp nhiệt điện được hàn mềm vào các chỗ uốn chữ U ở gần các điểm giữa của từng mạch dàn ống trong phòng và ngoài trời. Cách khác, thiết bị không nhạy với lượng nạp môi chất lạnh có thể được trang bị các áp kế nối với các van dịch vụ hoặc được đấu vào các đường hút và xả.
J.2.2 Trước tiên, thiết bị được thử cần được lắp đặt trong buồng nhiệt lượng kiểu cân bằng được mô tả trong Phụ lục D để tiến hành đo năng suất. Sau đó, thiết bị này được đưa vào trang thiết bị thử entanpy không khí trong phòng và được đo bằng phương pháp quy định. Mong muốn là đo cả năng suất lạnh và sưởi, mặc dù có thể đo một trong hai. Tuy nhiên, nếu năng suất lạnh được đo bằng buồng nhiệt lượng, thì cũng cần thực hiện cùng phép đo này trong trang thiết bị thử entanpy không khí trong phòng.
J.2.3 Nếu không có thay đổi nào đối với việc lắp đặt thiết bị được thử, một loạt các thử nghiệm nối tiếp được tiến hành trong đó phép thử này diễn ra ngay sau phép thử khác sẽ được coi là hợp lệ.
Phụ lục K
(Tham khảo)
Đo nước ngưng lạnh
K.1 Quy định chung
Năng suất lạnh ẩn nên được xác định từ các phép đo lưu lượng nước ngưng, ống dẫn thoát nước cần có bẫy để ổn định dòng nước ngưng.
K.2 Tính toán
K.2.1 Năng suất lạnh ẩn, ɸd, được tính toán bằng công thức (K.1):
| ɸd = Kl . qwc | (K.1) |
K.2.2 Năng suất lạnh hiện, ɸsci, khi đó được tính toán bằng công thức (K.2).
| ɸsci = ɸtci - ɸq | (K.1) |
Phụ lục L
(Quy định)
Yêu cầu bổ sung khi xác định thông số tính năng các cụm thiết bị kiểu không có quạt (chỉ có dàn ống)
L.1 Quy định chung
L.1.1 Ngoại trừ như được lưu ý trong phụ lục này, thiết bị có ống gió mà không bao gồm quạt trong phòng phải được thử và xác định thông số như quy định trong các phần bắt buộc của tiêu chuẩn này.
CHÚ THÍCH: Thiết bị có ống gió mà không bao gồm quạt trong phòng cũng được gọi là thiết bị “chỉ có dàn ống”.
L.1.2 Thiết bị mà không bao gồm quạt trong phòng khi được thử thường được kết hợp với lò không khí nóng khi được lắp đặt trong tòa nhà. Quạt của lò này cung cấp dòng không khí qua dàn ống trong phòng của máy điều hòa không khí hoặc bơm nhiệt.
L.2 Lắp đặt dàn ống trong phòng - các phép đo áp suất tĩnh
L.2.1 Một hộp gió ngắn phải được gắn vào cả cửa vào và cửa ra của thiết bị. Các hộp gió này phải có các kích thước tiết diện ngang bằng với các kích thước tương ứng của cửa vào và cửa ra của thiết bị. Một vòi áp suất tĩnh phải được đưa vào tại tâm của mỗi mặt của mỗi hộp gió nếu hộp gió hình chữ nhật, hoặc tại bốn vị trí phân bố đều nhau dọc chu vi của hộp gió hình ôvan hoặc tròn. Đối với mỗi hộp gió, bốn vòi áp suất tĩnh này phải được phân phối trên cùng đường ống. Chiều dài nhỏ nhất của hộp gió và vị trí của các vòi áp suất tĩnh so với cửa vào và cửa ra của thiết bị phải như thể hiện trên Hình L.1.
L.2.2 Các vòi áp suất tĩnh đã mô tả trong L.2.1 phải được chế tạo như mô tả trong C.4.1. Một áp kế (hoặc dụng cụ tương đương đề đo áp suất chênh) có độ chính xác trong phạm vi ± 2,5 Pa phải được sử dụng để đo áp suất tĩnh giữa cửa vào và cửa ra không khí dàn ống trong phòng. Một đầu của áp kế này phải được kết nối với các vòi áp suất phân phối trên cùng đường ống được lắp trên hộp gió cửa ra. Đầu còn lại của áp kế phải được kết nối với các vòi áp suất phân phối trên cùng đường ống được đặt trên hộp gió cửa vào.

CHÚ DẪN:
| 1 | các áp kế |
| 2 | các vòi áp suất |
| 3 | ống gió cửa vào |
| 4 | phần dàn ống |
| 5 | ống gió cửa ra |
| A và B | các kích thước cửa ra |
| C và D | các kích thước cửa vào |
| a | đi đến trang thiết bị đo dòng không khí |
CHÚ THÍCH 1: A và B là các kích thước cửa ra; C và D là các kích thước cửa vào.
CHÚ THÍCH 2: Đối với các ống gió tròn, thay thế πDi 2/4 cho (C x D) và πDo 2/4 cho (A x B).
CHÚ THÍCH 3: Chiều dài của ống gió cửa vào, 1,5
, là kích thước nhỏ nhất. Để các kết quả chính xác hơn, sử dụng 4
.
Hình L.1 - Đo độ sụt áp suất tĩnh không khí đối với thiết bị chỉ có giàn
L.3 Lưu lượng không khí phía trong phòng
L.3.1 Đối với thiết bị được cung cấp mà không có quạt trong phòng, tất cả các thử nghiệm phải được tiến hành tại lưu lượng thể tích không khí do nhà sản xuất quy định, biểu thị dưới dạng không khí tiêu chuẩn, hoặc tại độ sụt áp tối đa 75 Pa qua khối dàn ống trong phòng, các vỏ bao và phương tiện đi kèm khuyến nghị, lấy giá trị nào dẫn đến lưu lượng thể tích không khí thấp hơn. Nếu nhà sản xuất chỉ quy định một lưu lượng, khi đó lưu lượng thể tích không khí này phải được sử dụng cho tất cả các thử nghiệm tính năng và cho tất cả các thử nghiệm năng suất sưởi. Nếu nhà sản xuất quy định các lưu lượng thể tích không khí khác nhau cho làm lạnh và sưởi và phương pháp để đạt được các lưu lượng thể tích không khí khác nhau, thì các lưu lượng thể tích không khí này phải được sử dụng cho các thử nghiệm năng suất lạnh và sưởi và tính năng một cách tương ứng. Các phép đo độ sụt áp qua dàn ống phải được thực hiện bằng sử dụng các vòi áp suất tĩnh như quy định trong L.2.1 với máy nén hoặc các máy nén không hoạt động.
L.3.2 Dòng không khí đi qua dàn ống trong phòng phải được tạo ra bởi một quạt tách riêng. Quạt này phải được đặt xuôi dòng của dàn ống trong phòng, các vòi áp suất tĩnh cửa ra thể hiện trên Hinh L.1 và, nếu được sử dụng, dụng cụ dùng để đo nhiệt độ bầu khô và hàm lượng hơi nước của không khí cửa ra. Nếu lưu lượng thể tích không khí được đo như mô tả trong Phụ lục C, thì quạt thải của trang thiết bị đo dòng không khí có thể được sử dụng để phát ra dòng không khí đi qua dàn ống trong phòng.
L.4 Hiệu chỉnh năng suất
Năng suất lạnh đo được phải được hiệu chỉnh bằng cách trừ đi công suất ước lượng được yêu cầu để lưu thông không khí trong phòng, được xác định như mô tả trong L.3, và năng suất sưởi đo được phải được hiệu chỉnh bằng cách cộng thêm công suất ước lượng được yêu cầu để lưu thông không khí trong phòng.
Công suất ước lượng của quạt đối với thiết bị không có quạt trong phòng, Pfan được tính toán bằng công thức (L.1):
|
| (L.1) |
Trong đó ƞfan,i là hiệu suất tĩnh ước lượng của quạt trong phòng, và được tính toán bằng công thức (L.2):
| ƞfan,i = 0,1881 x ln(Pe + Pc + 50) - 0,47 | (L.2) |
và ƞmot,i là hiệu suất ước lượng của động cơ trong phòng, và được tính toán bằng công thức (L.3):
|
| (L.3) |
Phụ lục M
(Tham khảo)
Các ví dụ dạng hình ảnh về các quy trình thử năng suất sưởi cho trong 7.1
M.1 Quy định chung
Sáu sơ đồ dạng biểu đồ cho trong các ví dụ thể hiện trên các Hình M.2 đến M.7 thể hiện vài trường hợp có thể xảy ra trong khi tiến hành thử nghiệm năng suất sưởi như quy định ở 7.1. Tất cả các ví dụ thể hiện các trường hợp trong đó chu kỳ xả băng kết thúc giai đoạn thiết lập điều kiện ban đầu. Các Hình M.2 đến M.7 trình bày các trường hợp trong đó sử dụng phương pháp entanpy không khí trong phòng và, kết quả là, giai đoạn thu thập dữ liệu cho thử nghiệm ở trạng thái không ổn định kéo dài 3 h hoặc ba chu kỳ đầy đủ (trái với 6 h hoặc sáu chu kỳ đầy đủ nếu sử dụng phương pháp thử bằng buồng nhiệt lượng).
M.2 Sơ đồ khối quy trình cho thử nghiệm năng suất sưởi
Hình M.1 đưa ra các quy trình được chấp nhận và số điều trong tiêu chuẩn này được sử dụng khi tiến hành thử nghiệm năng suất sưởi.

Hình M.1 - Sơ đồ khối quy trình

CHÚ DẪN:
1 tuân thủ các dung sai thử nghiệm đạt được đầu tiên
2 giai đoạn thiết lập điều kiện ban đầu (tối thiểu 10 min)
3 xả băng ở thời điểm kết thúc giai đoạn thiết lập điều kiện ban đầu
4 giai đoạn cân bằng (60 min)
5 giai đoạn thu thập dữ liệu (35 min)
6 độ chênh nhiệt độ không khí trong phòng, ∆tindoor air
a ∆tindoor air giảm 2,5 % hoặc ít hơn trong suốt 35 min đầu tiên của giai đoạn thu thập dữ liệu.
b Thử nghiệm ở trạng thái ổn định: kết thúc thử nghiệm khi giai đoạn thu thập dữ liệu bằng 35 min.
Hình M.2 - Thử năng suất sưởi ở trạng thái ổn định

CHÚ DẪN
1 tuân thủ các dung sai thử nghiệm đạt được đầu tiên
2 giai đoạn thiết lập điều kiện ban đầu (tối thiểu 10 min)
3 xả băng ở thời điểm kết thúc giai đoạn thiết lập điều kiện ban đầu
4 giai đoạn cân bằng (60 min)
5 giai đoạn thu thập dữ liệu (3 h)
6 độ chênh nhiệt độ không khí trong phỏng, ∆tindoor air
a ∆tindoor air giảm nhiều hơn 2,5 % trong suốt 35 min đầu tiên của giai đoạn thu thập dữ liệu.
b Thử nghiệm ở trạng thái không ổn định: kết thúc thử nghiệm khi giai đoạn thu thập dữ liệu bằng 3 h.
Hình M.3 - Thử năng suất sưởi ở trạng thái không ổn định không có các chu kỳ xả băng

CHÚ DẪN
1 tuân thủ các dung sai thử nghiệm đạt được đầu tiên
2 giai đoạn thiết lập điều kiện ban đầu (tối thiểu 10 min)
3 xả băng ở thời điểm kết thúc giai đoạn thiết lập điều kiện ban đầu
4 giai đoạn cân bằng (60 min)
5 giai đoạn thu thập dữ liệu (3 h)
6 chu kỳ xả băng tự động xảy ra
7 độ chênh nhiệt độ không khí trong phòng, ∆tindoor air
a ∆tindoor air giảm nhiều hơn 2,5 % trong suốt 35 min đầu tiên của giai đoạn thu thập dữ liệu.
b Thử nghiệm ở trạng thái không ổn định: kết thúc thử nghiệm khi giai đoạn thu thập dữ liệu băng 3 h.
Hình M.4 - Thử năng suất sưởi ở trạng thái không ổn định với một chu kỳ xả băng trong giai đoạn thu thập dữ liệu

CHÚ DẪN:
1 tuân thủ các dung sai thử nghiệm đạt được đầu tiên
2 giai đoạn thiết lập điều kiện ban đầu (tối thiểu 10 min)
3 xả băng ở thời điểm kết thúc giai đoạn thiết lập điều kiện ban đầu
4 giai đoạn cân bằng (60 min)
5 giai đoạn thu thập dữ liệu (3 h)
6 một chu kỳ xả băng đầy đủ
a Thử nghiệm ở trạng thái không ổn định: kết thúc thử nghiệm khi giai đoạn thu thập dữ liệu bằng 3 h.
Hình M.5 - Thử năng suất sưởi ở trạng thái không ổn định với một chu kỳ đầy đủ trong giai đoạn thu thập dữ liệu

CHÚ DẪN:
1 tuân thủ các dung sai thử nghiệm đạt được đầu tiên
2 giai đoạn thiết lập điều kiện ban đầu (tối thiểu 10 min)
3 xả băng ở thời điểm kết thúc giai đoạn thiết lập điều kiện ban đầu
4 giai đoạn cân bằng (60 min)
5 giai đoạn thu thập dữ liệu (3 h)
6 hai chu kỳ xả băng đầy đủ
a Thử nghiệm ở trạng thái không ổn định: kết thúc thử nghiệm khi giai đoạn thu thập dữ liệu bằng 3 h.
Hình M.6 - Thử năng suất sưởi ở trạng thái không ổn định với hai chu kỳ đầy đủ trong giai đoạn thu thập dữ liệu

CHÚ DẪN:
1 tuân thủ các dung sai thử nghiệm đạt được đầu tiên
2 giai đoạn thiết lập điều kiện ban đầu (tối thiểu 10 min)
3 xả băng ở thời điểm kết thúc giai đoạn thiết lập điều kiện ban đầu
4 giai đoạn cân bằng (60 min)
5 giai đoạn thu thập dữ liệu
6 ba giờ
7 ba chu kỳ xả băng đầy đủ
a Thử nghiệm ở trạng thái không ổn định: kết thúc thử nghiệm ở thời điểm kết thúc ba chu kỳ đầy đủ trong phạm vi giai đoạn thu thập dữ liệu.
Hình M.7 - Thử năng suất sưởi ở trạng thái không ổn định với ba chu kỳ đầy đủ trong giai đoạn thu thập dữ liệu
Thư mục tài liệu tham khảo
[1] ISO 3966, Measurement of fluid flow in closed conduits - Velocity area method using Pitot static tubes
[2] ISO 5167-1, Measurement of fluid flow by means of pressure differential devices inserted in circular cross-section conduits running full - Part 1: General principles and requirements
[3] TCVN 9981 (ISO 15042), Máy điều hòa không khí và bơm nhiệt gió-gió hệ thống đa cụm - Thử và xác định thông số tính năng
[4] ISO/TS 16491:2012, Guidelines for the evaluation of uncertainty of measurement in air conditioner and heat pump cooling and heating capacity tests
Mục lục
Lời nói đầu
1 Phạm vi áp dụng
2 Tài liệu viện dẫn
3 Thuật ngữ và định nghĩa
4 Ký hiệu
5 Cài đặt dòng không khí
6 Thử làm lạnh
6.1 Thử năng suất lạnh
6.2 Thử tính năng làm lạnh tối đa
6.3 Thử tính năng làm lạnh tối thiểu
6.4 Thử tính năng kiểm soát ngưng tụ và đọng sương trên vỏ
7 Thử sưởi
7.1 Thử năng suất sưởi
7.2 Thử tính năng sưởi tối đa
7.3 Thử tính năng sưởi tối thiểu
7.4 Thử tính năng xả băng tự động
8 Phương pháp thử và độ không đảm bảo đo
8.1 Phương pháp thử
8.2 Độ không đảm bảo đo
8.3 Dung sai thử nghiệm cho các thử nghiệm năng suất lạnh và sưởi ở trạng thái ổn định
8.4 Dung sai thử nghiệm cho các thử nghiệm tính năng
9 Kết quả thử nghiệm
9.1 Các kết quả năng suất
9.2 Dữ liệu cần ghi lại
9.3 Báo cáo thử nghiệm
10 Điều khoản ghi nhãn
10.1 Các yêu cầu về nhãn
10.2 Thông tin nhãn
10.3 Các hệ thống hai cụm
11 Công bố các thông số tính năng
11.1 Thông số tính năng tiêu chuẩn
11.2 Thông số tính năng khác
Phụ lục A (Quy định) Cài đặt dòng không khí cho các thiết bị có ống gió
Phụ lục B (Quy định) Yêu cầu thử nghiệm
Phụ lục C (Tham khảo) Đo dòng không khí
Phụ lục D (Quy định) Phương pháp thử bằng buồng nhiệt lượng
Phụ lục E (Quy định) Phương pháp thử entanpy không khí trong phòng
Phụ lục F (Tham khảo) Phương pháp thử entanpy môi chất lạnh
Phụ lục G (Tham khảo) Phương pháp thử entanpy không khí ngoài trời
Phụ lục H (Tham khảo) Phương pháp thử xác nhận bằng buồng nhiệt lượng trong phòng
Phụ lục I (Tham khảo) Phương pháp thử xác nhận bằng buồng nhiệt lượng ngoài trời
Phụ lục J (Tham khảo) Phương pháp thử xác nhận bằng buồng nhiệt lượng kiểu cân bằng
Phụ lục K (Tham khảo) Đo nước ngưng lạnh
Phụ lục L (Quy định) Yêu cầu bổ sung khi xác định thông số tính năng các thiết bị kiểu không có quạt (chỉ có dàn ống)
Phụ lục M (Tham khảo) Các ví dụ dạng hình ảnh về các quy trình thử năng suất sưởi cho trong 7.1
Thư mục tài liệu tham khảo
Bạn chưa Đăng nhập thành viên.
Đây là tiện ích dành cho tài khoản thành viên. Vui lòng Đăng nhập để xem chi tiết. Nếu chưa có tài khoản, vui lòng Đăng ký tại đây!
























