- Tổng quan
- Nội dung
- Tiêu chuẩn liên quan
- Lược đồ
- Tải về
Tiêu chuẩn TCVN 10219:2013 Xác định oxygenat của xăng bằng sắc ký khí
| Số hiệu: | TCVN 10219:2013 | Loại văn bản: | Tiêu chuẩn Việt Nam |
| Cơ quan ban hành: | Bộ Khoa học và Công nghệ | Lĩnh vực: | Công nghiệp |
|
Ngày ban hành:
Ngày ban hành là ngày, tháng, năm văn bản được thông qua hoặc ký ban hành.
|
2013 |
Hiệu lực:
|
Đã biết
|
| Người ký: | Đang cập nhật |
Tình trạng hiệu lực:
Cho biết trạng thái hiệu lực của văn bản đang tra cứu: Chưa áp dụng, Còn hiệu lực, Hết hiệu lực, Hết hiệu lực 1 phần; Đã sửa đổi, Đính chính hay Không còn phù hợp,...
|
Đã biết
|
TÓM TẮT TIÊU CHUẨN VIỆT NAM TCVN 10219:2013
Nội dung tóm tắt đang được cập nhật, Quý khách vui lòng quay lại sau!
Tải tiêu chuẩn Việt Nam TCVN 10219:2013
TIÊU CHUẨN QUỐC GIA
TCVN 10219:2013
ASTM D 5599-00
XĂNG - XÁC ĐỊNH OXYGENAT BẰNG SẮC KÝ KHÍ VÀ DETECTOR ION HÓA NGỌN LỬA CHỌN LỌC OXY
Standard Test Method for Determination of Oxygenates in Gasoline by Gas Chromatography and Oxygen Selective Flame Ionization Detection
Lời nói đầu
TCVN 10219:2013 được xây dựng trên cơ sở chấp nhận hoàn toàn tương đương với ASTM D 5599-00 Standard Test Method for Determination of Oxygenates in Gasoline Denatured by Gas Chromatography and Oxygen Selective Flame Ionization Detection với sự cho phép của ASTM quốc tế, 100 Barr Harbor Drive, West Conshohocken, PA 19428, USA. Tiêu chuẩn ASTM D 5599-00 thuộc bản quyền của ASTM quốc tế.
TCVN 10219:2013 do Tiểu ban kỹ thuật tiêu chuẩn quốc gia TCVN/TC28/SC2 Nhiên liệu lỏng - Phương pháp thử biên soạn, Tổng cục Tiêu chuẩn Đo lường Chất lượng đề nghị, Bộ Khoa học và Công nghệ công bố.
XĂNG - XÁC ĐỊNH OXYGENAT BẰNG SẮC KÝ KHÍ VÀ DETECTOR ION HÓA NGỌN LỬA CHỌN LỌC OXY
Standard Test Method for Determination of Oxygenates in Gasoline by Gas Chromatography and Oxygen Selective Flame Ionization Detection
1. Phạm vi áp dụng
1.1. Tiêu chuẩn này quy định phương pháp xác định định lượng hàm lượng các hợp chất oxygenat hữu cơ trong xăng có điểm sôi cuối không lớn hơn 220 °C và các oxygenat có giới hạn điểm sôi là 130 °C bằng phương pháp sắc ký khí. Tiêu chuẩn này có thể áp dụng đối với các oxygenat có hàm lượng từ 0,1 % đến 20 % khối lượng.
1.2. Tiêu chuẩn này nhằm xác định nồng độ khối lượng của từng hợp chất oxygenat có trong xăng, do đó, yêu cầu phải có kiến thức về nhận dạng từng oxygenal (đối với mục đích hiệu chuẩn). Tuy nhiên, detector chọn lọc oxy được sử dụng trong tiêu chuẩn này thể hiện qua tín hiệu phản hồi tỷ lệ thuận với khối lượng của oxy. Do vậy, phương pháp này có khả năng xác định nồng độ khối lượng của oxy góp phần vào bất kỳ hợp chất oxygenat nào trong mẫu, cho dù nó được nhận biết hay không. Tổng hàm lượng oxy trong xăng có thể được xác định từ tổng các hợp chất oxygenat riêng lẻ được xác định chính xác. Diện tích tổng của các hợp chất oxygenat còn lại, chưa hiệu chuẩn hoặc chưa biết, có thể chuyển đổi sang nồng độ khối lượng của oxy và tổng nồng độ oxy của hợp chất oxygenat đã biết.
1.3. Các giá trị tính theo hệ SI là giá trị tiêu chuẩn. Các giá trị trong ngoặc là giá trị tham khảo.
1.4. Tiêu chuẩn này không đề cập đến tất cả các vấn đề liên quan đến an toàn khi sử dụng. Người sử dụng tiêu chuẩn này có trách nhiệm thiết lập các nguyên tắc về an toàn và bảo vệ sức khỏe cũng như khả năng áp dụng phù hợp với các giới hạn quy định trước khi đưa vào sử dụng.
2. Tài liệu viện dẫn
Các tài liệu viện dẫn sau là cần thiết khi áp dụng tiêu chuẩn. Đối với các tài liệu viện dẫn ghi năm công bố thì áp dụng bản được nêu. Đối với các tài liệu viện dẫn không ghi năm công bố thì áp dụng phiên bản mới nhất, bao gồm cả các bản sửa đổi (nếu có).
ASTM D 1744 Test method for determination of water in liquid petroleum products by Karl Fisches reagent (withdrawn 2000) (Phương pháp xác định hàm lượng nước trong sản phẩm dầu mỏ dạng lỏng bằng thuốc thử Karl Fischer). (Hủy bỏ năm 2000)
ASTM D 4175 Terminology Relating to Petroleum, Petroleum Products and Lubricants (Thuật ngữ liên quan đến dầu mỏ, sản phẩm dầu mỏ và chất bôi trơn).
ASTM D 4307 Practice for preparation of liquid blends for use as analytical standards (Hướng dẫn chuẩn bị các hỗn hợp lỏng để dùng làm các chất chuẩn phân tích).
ASTM E 594, Practive for testing flame ionization detectors used in gas or supercritical fluid chromatography (Hướng dẫn sử dụng các detector ion hóa ngọn lửa trong sắc ký khí hoặc sắc ký lỏng siêu tới hạn)
ASTM E 1064, Test method for water in organic liquids by coulometric Karl Fischer titration (Phương pháp xác định nước trong các chất lỏng hữu cơ bằng phương pháp chuẩn độ điện lượng Karl Fischer).
ASTM E 1510, Practice for installing fused silica open tubular capillary columns in gas chromatographs (Hướng dẫn lắp đặt các cột mao quản dạng ống mở phủ oxit silic nóng chảy trong sắc ký khí).
3. Thuật ngữ, định nghĩa
3.1. Định nghĩa các thuật ngữ
3.1.1. Các chuẩn đối chứng độc lập (independent reference standards)
Các mẫu hiệu chuẩn oxygenat được mua hoặc chuẩn bị từ các chất độc lập với chuẩn kiểm tra kiểm soát chất lượng và được sử dụng để đạt độ chính xác trong phòng thí nghiệm.
3.1.2. Oxygenat (oxygenate)
Hợp chất chứa oxy, như rượu hoặc ete, có thể được sử dụng làm nhiên liệu hoặc phụ gia cho nhiên liệu.
ASTM D 4175
3.1.3. Chuẩn kiểm tra kiểm soát chất lượng (quality control check standards)
Các mẫu hiệu chuẩn oxygenat để tính độ lặp lại trong phòng thí nghiệm.
4. Tóm tắt phương pháp
4.1. Mẫu xăng được cho thêm một tỷ lệ định lượng chất chuẩn nội, ví dụ như 1,2 - di methoxyethan (ethylen glycol dimethyl ete). Phần đại diện của mẫu đã có chất chuẩn nội được bơm vào máy sắc ký khí có lắp cột mao quản vận hành đảm bảo sao cho tách được các oxygenat. Cả hai chất hydrocarbon và oxygenat đều được rửa giải ra khỏi cột, nhưng chỉ có các oxygenat là được phát hiện bằng detector ion hóa ngọn lửa chọn lọc oxy (OFID). Một cuộc tranh luận về detector này được trình bày trong Điều 6.
4.2. Các hỗn hợp hiệu chuẩn được dùng để xác định thời gian lưu và hệ số phản hồi khối lượng tương đối của các oxygenat cần xác định. Các chất chuẩn được liệt kê trong 8.2
4.3. Diện tích pic của từng oxygenat trong xăng được đo tương đối với diện tích pic của chuẩn nội. Áp dụng phương trình bậc hai bình phương tối thiểu phù hợp với các dữ liệu hiệu chuẩn của từng oxygenat để tính nồng độ của oxygenat đó.
CHÚ THÍCH 1: Trong khi 1,2-di methoxyethan được chứng minh là chuẩn nội thích hợp, các oxygenat khác có thể được sử dụng miễn là chúng không có mặt trong mẫu và không gây nhiễu với bất kỳ hợp chất nào đang được xác định.
5. Ý nghĩa và sử dụng
5.1. Trong pha trộn xăng, việc xác định các hợp chất oxygenat hữu cơ rất quan trọng. Các loại rượu, ete và các oxygenat khác được pha vào trong xăng để làm tăng trị số octan và giảm phát thải carbon monoxit từ ống xả. Các hợp chất đó phải được thêm vào ở nồng độ thích hợp và các tỷ lệ phải đáp ứng giới hạn quy định và để tránh tách pha và các vấn đề về tính năng hoạt động hoặc hiệu quả của động cơ.
5.2. Phương pháp thử này có tính lựa chọn và độ nhạy đủ cao đối với oxy so với hydrocarbon để cho phép xác định các oxygenat trong các mẫu xăng không bị nhiễu do môi trường có nhiều hydrocarbon.
6. Nguyên lý hoạt động OFID
6.1. Hệ thống phát hiện có chọn lọc đối với oxy hữu cơ gồm có lò phản ứng cracking, lò phản ứng hydro hóa (methanizer) và detector ion hóa ngọn lửa (FID). Lò phản ứng cracking được nối ngay sau cột mao quản sắc ký khí, gồm có ống dẫn Pt/Rh. Carbon monoxit (CO) được hình thành từ các hợp chất chứa oxy theo phản ứng sau:
CxHyOz → zCO + (y/2)H2 + (x - z)C (1)
6.2. Lớp carbon thừa được tạo ra trong ống Pt/Rh của lò phản ứng cracking từ các hydrocarbon của mẫu hoặc từ một loại hydrocarbon (ví dụ như pentan, hexan) trong hệ thống nạp chất thêm cấp nếu máy được thiết kế như vậy, hoặc từ cả hai loại. Lớp carbon này dễ dàng phản ứng cracking và khử nhiễu tín hiệu hydrocarbon.
6.3. Carbon monoxit được hình thành trong lò phản ứng cracking sẽ chuyển thành methan theo phản ứng sau:
CO + 3H2 → CH4 + H2O (2)
CH4 sau đó được phát hiện bằng detector ion hóa ngọn lửa (FID).
6.4. Methanizer gồm một ống mao quản ngắn loại ống mở lớp xốp (ký hiệu là PLOT (viết tắt của “Porous layer Open Turbular”)), bề mặt trong có phủ một lớp oxit nhôm với chất xúc tác hấp phụ niken hoặc là một ống thép không gỉ chứa chất xúc tác nền niken. Methanizer được lắp ở bên trong hoặc ở trước detector ion hóa ngọn lửa (FID) và vận hành ở nhiệt độ từ 350 °C đến 450 °C tùy theo nhà sản xuất thiết bị.
CHÚ THÍCH 2: Xăng có hàm lượng lưu huỳnh cao có thể gây mất độ nhạy của detector, làm hạn chế số mẫu có thể phân tích được tính đến thời điểm phải thay chất xúc tác.
7. Thiết bị, dụng cụ
7.1. Máy sắc ký khí - sắc ký khí bất kỳ có thể được sử dụng có các đặc điểm tính năng sau:
7.1.1. Bộ phận lập trình nhiệt độ cột - Máy sắc ký này phải có khả năng lập trình nhiệt độ tuyến tính tái lập trên toàn dải để tách các thành phần đang được quan tâm.
7.1.2. Hệ thống nạp mẫu - hệ thống bất kỳ có khả năng đưa một mẫu chất lỏng đại diện có thể tích từ 0,1 mL đến 1,0 mL vào dụng cụ chia mẫu tại cửa nạp của máy sắc ký khí. Xylanh microlit, các dụng cụ lấy mẫu tự động và các van lấy mẫu chất lỏng được dùng rất tốt. Dụng cụ bơm chia dòng phải có khả năng kiểm soát độ chia chính xác trong phạm vi từ 10:1 đến 500:1
7.1.3. Kiểm soát khí mang và khí detector - Kiểm soát lưu lượng không đổi của khí mang và khí detector là đặc biệt cần thiết để tính năng phân tích ổn định và tối ưu. Kiểm soát tốt nhất đạt được bằng cách sử dụng bộ điều chỉnh áp suất và bộ hạn chế dòng cố định. Lưu lượng khí được đo bằng phương tiện bất kỳ nào thích hợp. Áp suất cấp khí được chuyển tới máy sắc ký khí phải lớn hơn áp suất khí điều chỉnh tại thiết bị để bù đắp cho áp suất ngược của hệ thống ít nhất là 70 kPa (10 psig). Nói chung, áp suất cấp 550 kPa (80 psig) là đạt yêu cầu.
7.2. Hệ thống detector ion hóa ngọn lửa chọn lọc oxy (OFID), bao gồm lò phản ứng cracking, methanizer và detector ion hóa ngọn lửa (FID). Sơ đồ hệ thống điển hình OFID được trình bày trong Hình 1.

Hình 1 - Sơ đồ hệ thống OFID
7.2.1. Suốt quá trình vận hành theo chế độ FID thông thường detector phải đáp ứng hoặc vượt mức yêu cầu kỹ thuật đặc trưng được đưa ra trong Bảng 1 của ASTM E 594 theo qui định của nhà sản xuất.
7.2.2. Trong hệ thống OFID, detector phải đáp ứng hoặc vượt mức yêu cầu kỹ thuật sau:
(a) độ tuyến tính bằng hoặc lớn hơn 103,
(b) độ nhạy khối lượng oxy nhỏ hơn 100 ppm (1 – ng O/s),
(c) độ chọn lọc đối với các hợp chất oxy trên nền hydrocarbon lớn hơn 106,
(d) không bị ảnh hưởng từ các hợp chất đồng rửa giải khi bơm từ 0,1 mL đến 1,0 mL mẫu,
(e) tín hiệu tương đương mol của oxy.
7.3. Cột - Cột loại ống mở được làm từ silica nung chảy, có chiều dài, có chiều dài 60 m và đường kính trong 0,25 mm, chứa màng pha lỏng metyl silicon có chiều dày 1,0 mm. Có thể sử dụng các cột tương đương để tách tất cả các oxygenat.
7.4. Máy tích phân - Sử dụng thiết bị phân tích điện tử hoặc máy tính theo yêu cầu. Thiết bị và phần mềm phải có các khả năng sau:
7.4.1. Hiển thị sắc ký đồ ở dạng đồ thị.
7.4.2. Hiển thị các diện tích pic sắc ký ở dạng số
7.4.3. Định danh các pic bằng thời gian lưu,
7.4.4. Tính và sử dụng hệ số phản ứng, và
7.4.5. Tính chuẩn nội và trình bày dữ liệu.
8. Thuốc thử và vật liệu
8.1. Độ tinh khiết của thuốc thử - Trong toàn bộ các phép thử đều sử dụng các hóa chất cấp thuốc thử. Nếu không có qui định khác thì tất cả các thuốc thử phải phù hợp với các tiêu chuẩn hiện hành. Có thể sử dụng các loại khác, với điều kiện đảm bảo rằng các thuốc thử này có độ tinh khiết phù hợp, khi sử dụng không làm giảm độ chính xác của phép thử.
8.2. Các chất hiệu chuẩn - Các hợp chất sau có thể dùng để hiệu chuẩn detector: methanol, ethanol, n-propanol, iso-propanol, n-butanol, tert-butanol, sec-butanol, iso-butanol, tert-pentanol, methyl tert-butyl ete (MTBE), tert-amyl methyl ete (TAME), ethyl tert-butyl ete (ETBE), di iso-propyl ete (DIPE). (Cảnh báo - Các chất này rất dễ cháy và có hại hoặc chết người khi nuốt phải, hít phải hoặc hấp thụ qua da).
8.3. Chuẩn nội - Nếu tất cả các chất trong 8.2 đều có khả năng xuất hiện trong mẫu thử thì sử dụng một oxygennat hữu cơ khác có độ tinh khiết cao, có khả năng tách được riêng biệt khỏi các oxygennat có mặt (ví dụ 1,2 - di methoxyethan).
8.4. Chất bổ trợ (dopant) - Nếu OFID được thiết kế để sử dụng chất bổ trợ thì pentan cấp thuốc thử được sử dụng làm chất bổ trợ hydrocarbon cho lò phản ứng cracking. (Cảnh báo - Pentan là chất rất dễ cháy và có hại khi hít phải).
8.5. Các khí dùng cho thiết bị - Các chất khí được cung cấp cho sắc ký khí và detetector là:
8.5.1. Không khí, cấp zero (Cảnh báo - Không khí nén là chất khí dưới áp suất cao và hỗ trợ cháy).
8.5.2. Hydro, cấp tinh khiết, độ tinh khiết tối thiểu là 99,9 % mol (Cảnh báo - Hydro là chất khí rất dễ cháy dưới áp suất cao).
8.5.3. Heli hoặc nitơ là khí mang sử dụng cho cột, có độ tinh khiết tối thiểu là 99,995 % mol hoặc hỗn hợp chứa 95 % heli và 5 % hydro tùy theo nhà sản xuất thiết bị (Cảnh báo - Heli và nitơ là khí nén dưới áp suất cao).
8.5.4. Khuyến cáo làm sạch bổ sung cho khí mang, không khí và hydrocarbon. Sử dụng rây phân tử, máy sấy, than hoặc các chất thích hợp khác để loại bỏ nước, oxy và hydrocarbon khỏi các chất khí.
8.6. Vật chứa mẫu - Sử dụng các lọ nhỏ thủy tinh có nút gắn septum bằng polytetrafluoroethylen (PTFE) phủ bề mặt màng cao su, để chuẩn bị mẫu hiệu chuẩn và mẫu phân tích.
9. Chuẩn bị thiết bị
9.1. Máy sắc ký và detector OFID - Vận hành thiết bị và detector theo hướng dẫn của nhà sản xuất. Lắp cột mao quản theo ASTM E 1510. Điều chỉnh các điều kiện vận hành để đảm bảo tách riêng tất cả các oxygenat đang xét. Các điều kiện điển hình dùng với cột quy định tại 7.3 và được liệt kê tại Bảng 1.
9.2. Hiệu suất hệ thống - Hàng ngày trước khi vận hành, tiến hành bơm mẫu xăng không chứa oxygenat vào máy sắc ký để đảm bảo tín hiệu hydrocarbon là nhỏ nhất. Nếu phát hiện thấy có tín hiệu hydrocarbon thì có nghĩa là OFID đã vận hành không hiệu quả và phải thực hiện tối ưu hóa theo chỉ dẫn của nhà sản xuất trước khi phân tích mẫu.
10. Lập đường chuẩn và hiệu chuẩn
10.1. Xác định thời gian lưu - Xác định thời gian lưu của mỗi thành phần oxygenat bằng cách bơm các lượng nhỏ chất đó riêng biệt hoặc chất đó ở trong một hỗn hợp các chất đã biết. Bảng 2 đưa ra thời gian lưu điển hình của các oxygenat được rửa giải từ cột methyl silicon dài 60m được lập trình nhiệt độ theo các điều kiện đưa ra trong Bảng 1. Sắc ký đồ của một hỗn hợp các oxygenat được đưa ra trong Hình 2.
Bảng 1 - Các điều kiện vận hành điển hình
| Nhiệt độ, °C | |
| Bơm | 250 |
| Cột | 50 °C (giữ trong 10 min), tốc độ 8 °/min đến 250 °C |
| Detector methanizer | 350 - 450 |
| Lò phản ứng | 850 - 1300 |
| Lưu lượng, mL/min | |
| Khí mang cột | 1 |
| Detector khí | Không khí: 300 |
|
| H2 : 30 |
| Chất bổ trợ (đối với phụ gia, nếu có sẵn) | H2 : 0,6 |
| Cỡ mẫu | 0,1 - 1,0 mLA |
| Tỷ lệ chia dòng | 100 - 1 |
A Cỡ mẫu và tỷ lệ chia dòng phải được điều chỉnh sao cho các oxygenat nằm trong khoảng từ 0,1 đến 20 % khối lượng phải được rửa giải khỏi cột và đo tuyến tính tại detector. Mỗi một phòng thí nghiệm phải thiết lập và giám sát các điều kiện cần thiết để duy trì đường tuyến tính với thiết bị riêng biệt. Độ không tuyến tính dễ gặp phải khi dùng OFID với mẫu chứa các oxygenat riêng biệt ở mức cao. Có thể điều hòa hiện tượng này bằng cách giảm cỡ mẫu, tăng tỷ lệ chia dòng, hoặc pha loãng mẫu thử với xăng không chứa oxygenat. Cỡ mẫu 0,5 mL và tỷ lệ chia dòng 100:1 đã được sử dụng thành công trong phần lớn các trường hợp.
Bảng 2 - Thời gian lưu của các oxygenat, hệ số phản ứng tương đối và khối lượng phân tử (các điều kiện như trong Bảng 1)
| Hợp chất | Thời gian lưu, min | Khối lượng phân tử | Hệ số phản hồi tương đối A, B | Hệ số phản hồi tương đối A, B, C |
| Oxy hòa tan | 5,33 | 32,0 | D | D |
| Nước | 5,89 | 18,0 | D | D |
| Methanol | 6,45 | 32,0 | 0,70 | 0,98 |
| Ethanol | 7,71 | 46,1 | 0,99 | 0,97 |
| Isopropanol | 8,97 | 60,1 | 1,28 | 0,96 |
| tert - butanol | 10,19 | 74,1 | 1,63 | 0,99 |
| n - propanol | 11,76 | 60,1 | 1,30 | 0,98 |
| MTBE | 12,73 | 88,2 | 1,90 | 0,97 |
| sec - butanol | 13,92 | 74,1 | 1,59 | 0,97 |
| DIPE | 14,53 | 102,2 | 2,26 | 1,00 |
| Isobutanol | 15,32 | 74,1 | 1,64 | 0,99 |
| ETBE | 15,49 | 102,2 | 2,25 | 0,99 |
| tert - pentanol | 15,97 | 88,1 | 2,03 | 1,04 |
| 1,2 - di methoxyethan | 16,57 | 90,1 | 1,00 | 1,00 |
| n - butanol | 17,07 | 74,1 | 1,69 | 1,03 |
| TAME | 18,23 | 102,2 | 2,26 | 1,00 |
| A trên cơ sở % khối lượng hợp chất oxygenat cơ bản B tương đương với 1,2 - di methoxyethan C trên cơ sở % khối lượng oxy cơ bản D % không xác định | ||||
10.2. Chuẩn bị các mẫu hiệu chuẩn - Các mẫu hiệu chuẩn được chuẩn bị định lượng theo ASTM D 4307 bằng cách pha các lượng đã biết các hợp chất oxygenat hữu cơ (như liệt kê tại 8.2) với một lượng đã biết chất nội chuẩn và sau đó pha loãng bằng xăng không chứa oxygenat đến khối lượng đã định. Các mẫu hiệu chuẩn nên chứa các oxygenat giống như các oxygenat dự kiến có trong mẫu thử nghiệm và với các nồng độ tương tự như dự kiến. Trước khi pha các chất chuẩn, cần xác định độ tinh khiết của oxygenat gốc và nếu phát hiện thấy tạp chất thì phải hiệu chính. Nếu có thể, nên sử dụng oxygenat gốc có độ tinh khiết ít nhất là 99,9 %. Hiệu chính độ tinh khiết các thành phần đối với hàm lượng nước xác định theo ASTM D 1744 hoặc ASTM E 1064. Các chất chuẩn kiểm tra kiểm soát chất lượng có thể được pha từ các oxygenat gốc giống nhau và thực hiện pha bởi cùng một thí nghiệm viên. Các chất chuẩn kiểm tra kiểm soát chất lượng phải được chuẩn bị từ các mẻ riêng rẽ của các dung dịch chuẩn pha loãng cuối cùng.

CHÚ THÍCH 1: Các điều kiện vận hành theo Bảng 1.
Hình 2 - Sắc phổ của một hỗn hợp oxygenat
10.2.1. Cân trừ bì bình thủy tinh chứa mẫu và nắp bình gồm cả phần đệm làm kín bằng cao su phủ PTFE. Chuyển lượng oxygenat vào bình chứa mẫu và ghi lại khối lượng oxygenat chính xác đến 0,1 mg. Lặp lại quy trình này khi cho thêm bất kỳ oxygenat đang xét nào vào mẫu trừ chất nội chuẩn. Thêm xăng không chứa oxygenat vào để pha loãng dung dịch các oxygenat đến nồng độ mong muốn. Ghi lại khối lượng của xăng đã thêm chính xác đến 0,1 mg. Xác định và ghi nhãn chuẩn theo % khối lượng của từng oxygenat thêm vào. Các chuẩn này không được vượt quá 20 % khối lượng của bất kỳ chất tinh khiết thành phần nào vì nguy cơ tiềm ẩn của hydrocarbon làm gián đoạn hoặc làm mất hăn độ tuyến tính hiệu chuẩn hoặc làm xảy ra cả hai trường hợp đã nêu. Để giảm thiểu bay hơi các thành phần nhẹ, cần tiến hành làm lạnh tất cả các hóa chất và xăng dùng để pha các dung dịch chuẩn.
10.2.2. Cân trừ bì bình thủy tinh chứa mẫu và nắp bình gồm cả phần đệm làm kín bằng cao su phủ PTFE và và lượng chứa trong bình đã chuẩn bị theo 10.2.1. Thêm một lượng chất nội chuẩn (ví dụ 1,2 - dimethoxyethan) vào bình và ghi lại khối lượng chính xác đến 0,1 mg. Khối lượng chất nội chuẩn nên trong khoảng từ 2 % đến 6 % khối lượng mẫu hiệu chuẩn.
10.2.3. Đảm bảo rằng dung dịch chuẩn sau khi pha được trộn thật kỹ. Chuyển khoảng 2 mL dung dịch chuẩn vào lọ nhỏ tương thích với dụng cụ lấy mẫu tự động nếu thiết bị đó được dùng.
10.2.4. Phải chuẩn bị ít nhất năm nồng độ cho từng oxygenate dự kiến có trong mẫu xăng. Các dung dịch chuẩn phải có khoảng cách bằng nhau trong trong phạm vi xét và có thể chứa nhiều hơn một oxygenat. Cần có mẫu trắng không chứa oxygenat để đánh giá nồng độ zero. Nên chuẩn bị cả các chuẩn bổ sung cho oxygenat khác có liên quan.
CHÚ THÍCH 3: Khi chuyển nếu xuất hiện sự nghi ngờ, mẫu trắng nên được chuyển sau các mẫu hiệu chuẩn chứa các oxygenat có mức cao.
10.3. Phép chuẩn hóa - Chạy các mẫu hiệu chuẩn và thiết lập đường chuẩn bằng cách thiết lập một phương trình bình phương tối thiểu khớp với tỷ số giữa các tỷ số phản hồi của oxygenat và tỷ số lượng của chúng theo cách như sau
10.3.1. Cách tính hệ số phản hồi (rsps):
rsps = (As/Ai) (3)
Trong đó:
As diện tích pic của hợp chất oxy thử nghiệm trong mẫu hiệu chuẩn, và
Ai diện tích pic của chuẩn nội trong mẫu hiệu chuẩn,
và tỷ số khối lượng (amts):
atms = (Ws/Wi) (4)
Trong đó:
Ws khối lượng hợp chất oxy thử nghiệm trong mẫu hiệu chuẩn, tính bằng gam, và
Wi khối lượng chuẩn nội trong mẫu hiệu chuẩn, tính bằng gam,
đối với từng mức oxygenat, s
10.3.2. Với từng oxygenat, s, tập hợp hiệu chuẩn, thu được phương trình bậc hai bình phương tối thiểu thích hợp theo công thức sau (bắt buộc thông qua nguồn gốc):
rsps = (b0) (amts) + b1 (amts)2 (5)
Trong đó:
rsps hệ số phản hồi của oxygenat s (y-axis),
b0 hệ số hồi quy tuyến tính của oxygenat s,
atms tỷ số khối lượng oxygenat s (x-axis), và
b1 hệ số hồi quy của phương trình bậc hai.
10.3.3. Hình 3 đưa ra ví dụ phương trình bậc hai bình phương tối thiểu thích hợp của MTBE và kết quả tính theo công thức 5. Kiểm tra mối liên quan của giá trị r2 đối với từng oxygenat. Giá trị r2 phải lớn hơn hoặc bằng 0,99.

Tỷ số khối lượng
Hình 3 - Ví dụ phương trình bậc hai bình phương tối thiểu thích hợp của MTBE
11. Cách tiến hành
11.1. Giữ mẫu lạnh cho đến khi mọi điều kiện sẵn sàng để thực hiện phân tích. Đưa mẫu về nhiệt độ phòng trước khi phân tích.
11.2. Cân vật chứa mẫu và nắp đậy vật chứa mẫu đệm cao su phủ PTFE. Chuyển 1 g đến 10 g mẫu vào bình và đậy nắp kín mẫu ngay lập tức. Cân khối lượng của bình chứa mẫu và mẫu chính xác đến 0,1 mg và ghi lại khối lượng của mẫu thử.
11.3. Trừ bì bình chứa mẫu và mẫu, sau đó bơm qua màng cao su một thể tích chất nội chuẩn đúng loại đã sử dụng để chuẩn bị các dung dịch chuẩn. Ghi lại khối lượng của chất nội chuẩn đã bơm vào chính xác đến 0,1 mg. Khối lượng của nội chuẩn nên nằm trong khoảng từ 2 % đến 6 % mẫu thử nhưng không ít hơn 50 mg.
11.4. Đảm bảo rằng mẫu (xăng đã thêm chất nội chuẩn) được khuấy trộn kỹ. Chuyển một phần mẫu nhỏ của dung dịch vào lọ tương thích với dụng cụ lấy mẫu tự động nếu thiết bị đó được dùng. Đậy kín lọ bằng nắp có đệm PTFE lót bên trong.
11.5. Bơm một lượng mẫu thích hợp (0,1 mL đến 10 mL) có chứa chuẩn nội vào trong máy sắc ký sử dụng cùng kỹ thuật và cỡ mẫu như đã sử dụng với các chuẩn hiệu chuẩn. Cỡ phần mẫu thử không được vượt quá dung tích của cột hoặc đường tuyến tính của detector.
11.6. Ghi lại các số liệu diện tích và thời gian lưu bằng máy tích phân điện tử hoặc máy tính và khi có yêu cầu thì ghi lại bằng máy vẽ đồ thị.
12. Tính và báo cáo kết quả
12.1. Tính toán % khối lượng của từng oxygenat đã hiệu chuẩn như sau:
12.1.1. Sau khi nhận biết được các oxygenat khác nhau bằng thời gian lưu, thu được các diện tích của tất cả các pic oxygenat đã hiệu chuẩn và diện tích pic của chất nội chuẩn. Dùng công thức 3 (10.3.1) để tính tỷ số diện tích phản hồi (rsps)
12.1.2. Tính tỷ số khối lượng (atms) của từng oxygenat hiệu chuẩn trong mẫu xăng bằng cách thay thế tỷ số phản hồi của oxygenat đó (rsps) và hệ số đường cong hiệu chuẩn phương trình bậc hai vào công thức 5 (10.3.1) để tính.
12.1.3. Áp dụng công thức 6 để xác định % khối lượng của từng oxygenat hiệu chuẩn.
Ws = (amts)(Wi)(100%)/Wg
Trong đó:
Ws % khối lượng của oxygenat trong mẫu xăng,
amts tỷ số lượng của oxygenat được xác định trong 12.1.2,
Wi khối lượng của chất nội chuẩn được thêm vào trong mẫu xăng, tính bằng gam, và
Wg khối lượng của mẫu xăng, tính bằng gam.
12.1.4. Nếu % khối lượng của bất kỳ oxygenat nào vượt quá dải hiệu chuẩn thì dùng xăng không chứa oxygenat pha loãng một cách định lượng phần mẫu ban đầu đến nồng độ trong dải hiệu chuẩn và phân tích mẫu pha loãng Điều 11 và 12.1. Hiệu chính tất cả các giá trị % khối lượng oxygenat bằng cách nhân với hệ số pha loãng.
12.2. Tính toán tổng % khối lượng qui ra MBTE của các oxygenat không được hiệu chuẩn như sau:
12.2.1. Lấy tổng các diện tích pic của các oxygenat không được hiệu chuẩn có mặt trong mẫu. Không bao gồm các diện tích pic sinh ra do oxy, nước và chất nội chuẩn hòa tan trong mẫu. Dùng công thức 3 (10.3.1) để tính tỷ số phản hồi (rsps) đối với các diện tích pic đã lấy tổng của các oxygenat không được hiệu chuẩn.
12.2.2. Tính tỷ số khối lượng (amts) các oxygenat không được hiệu chuẩn trong xăng bằng cách thay thế tỷ số phản hồi (xác định trong 12.2.1) và hệ số của đường hiệu chuẩn MTBE vào công thức 5 (10.3.1) để tính.
12.2.3. Áp dụng công thức 6 (12.1.3) để xác định % khối lượng qui ra MTBE của các oxygenat không được hiệu chuẩn.
12.3. Cách tính tổng % khối lượng oxy trong mẫu xăng như sau:
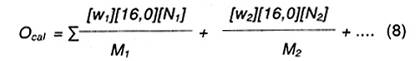
12.3.1. Thực hiện phép đổi % khối lượng của từng oxygenat hiệu chuẩn thành % khối lượng oxy và tính tổng % khối lượng oxy tính theo công thức sau:

Hoặc

trong đó
Ocal tổng % khối lượng oxy từ các oxygenat hiệu chuẩn,
Ws % khối lượng từng oxygenat được xác định theo công thức 6,
Ns số lượng nguyên tử oxy trong phân tử oxygenat,
Ms khối lượng phân tử oxygenat đưa ra trong Bảng 2, và
16,0 khối lượng nguyên tử oxy.
12.3.2. Thực hiện phép đổi tổng % khối lượng qui ra MTBE của các oxygenat không được hiệu chuẩn thành % khối lượng oxy theo công thức sau:

trong đó
Ouncal tổng % khối lượng oxy từ các oxygenat không được hiệu chuẩn,
Wsu % khối lượng MTBE tương đương được của các oxygenat không được hiệu chuẩn,
Ns số lượng nguyên tử oxy trong phân tử MTBE,
Ms khối lượng phân tử MTBE đưa ra trong Bảng 2, và
16,0 khối lượng nguyên tử oxy.
12.3.3. Tính tổng % khối lượng oxy trong mẫu xăng bằng cách lấy tổng đóng góp từ các thành phần oxygenate hiệu chuẩn và các oxygenat không được hiệu chuẩn
Otot = Ocal + Ouncal (10)
12.4. Báo cáo % khối lượng oxygenat của từng oxygenat hiệu chuẩn chính xác đến 0,01 %. Báo cáo tổng % khối lượng oxy trong mẫu xăng chính xác đến 0,1 %
13. Kiểm tra kiểm soát chất lượng
13.1. Giám sát thường xuyên độ lặp lại và độ chính xác của phép phân tích trong phòng thí nghiệm và phân tích độ chụm như sau:
13.1.1. Độ lặp lại trong phòng thí nghiệm:
13.1.1.1. Chuẩn bị mẫu kiểm tra kiểm soát chất lượng từ các oxygenat gốc tương tự được chuẩn bị trong 10.2 và nằm trong khoảng đưa ra ở 13.1.1.4
13.1.1.2. Tiến hành chuẩn bị và phân tích đúp các chất chuẩn kiểm tra kiểm soát chất lượng theo tần suất một lần trên một lô phân tích hoặc ít nhất là một lần trên 10 mẫu phân tích chọn phương án có tần suất lớn hơn trong hai phương án đã nêu.
13.1.1.3. Thực hiện lặp lại đúp đối với tất cả các bước chuẩn bị mẫu một cách độc lập.
13.1.1.4. Phạm vi các mẫu đúp phải nhỏ hơn các giới hạn sau:
| Oxygenat | Nồng độ, % khối lượng | Khoảng giới hạn trên, % khối lượng |
| Methanol | 0,20 - 1,00 | 0,010 + 0,043 C |
| Methanol | 1,00 - 12,00 | 0,053 C |
| Ethanol | 1,00 - 12,00 | 0,053 C |
| MTBE | 0,20 - 20,00 | 0,069 + 0,029 C |
| DIPE | 1,00 - 20,00 | 0,048 C |
| ETBE | 1,00 - 20,00 | 0,074 C |
| TAME | 1,00 - 20,00 | 0,060 C |
trong đó
C = (C0 + Cd)/2
R = |C0 - Cd|
C0 nồng độ mẫu chính, và
Cd nồng độ mẫu lặp lại
13.1.2. Nếu vượt quá các giới hạn thì các nguyên nhân gây lỗi trong phân tích phải được xác định, được hiệu chỉnh và tất cả các phép phân tích tiếp theo bao gồm cả phép phân tích lặp lại lần cuối được xác nhận là nằm trong giới hạn phù hợp với các yêu cầu kỹ thuật thì phải được lặp lại.
13.2. Độ chính xác trong phòng thí nghiệm
13.2.1. Nếu mẫu kiểm tra kiểm soát chất lượng có nồng độ vượt ra ngoài khoảng 100,0 % ± 6 % so với nồng độ lý thuyết tính cho một oxygenat đã chọn và mức vượt ra ngoài khoảng lớn hơn hoặc bằng 1 % khối lượng thì các nguyên nhân gây lỗi trong phân tích phải được xác định, được hiệu chỉnh và tất cả các phép phân tích tiếp theo bao gồm cả phép phân tích lặp lại lần cuối được xác nhận là nằm trong giới hạn phù hợp với các yêu cầu kỹ thuật thì phải được lặp lại.
13.2.2. Các chất chuẩn đối chứng độc lập có thể được mua hoặc được chuẩn bị từ các hóa chất độc lập với các chất chuẩn kiểm tra chất lượng, và không nên để chúng được chuẩn bị bởi cùng một thí nghiệm viên. Do các giới hạn yêu cầu kỹ thuật được liệt kê tại 13.2.2.2, nồng độ của mẫu chuẩn phải nằm trong khoảng được đưa ra trong 13.1.1.4.
13.2.2.1. Các chuẩn đối chứng độc lập phải được phân tích theo tần suất một lần trên một lô phân tích hoặc ít nhất là một lần trên 100 mẫu, chọn phương án có tần suất lớn hơn trong hai phương án đã nêu.
13.2.2.2. Nếu mẫu kiểm tra kiểm soát chất lượng có nồng độ vượt ra ngoài khoảng 100,0 % ± 10 % so với nồng độ lý thuyết tính cho một oxygenat đã chọn và mức vượt ra ngoài khoảng lớn hơn hoặc bằng 1 % khối lượng thì các nguyên nhân gây lỗi trong phân tích phải được xác định, được hiệu chỉnh và tất cả các phép phân tích tiếp theo bao gồm cả phép phân tích lặp lại lần cuối được xác nhận là nằm trong giới hạn phù hợp với các yêu cầu kỹ thuật thì phải được lặp lại.
13.3. Các biểu đồ kiểm soát được dùng để giám sát sự biến đổi các phép đo từ mẫu kiểm tra kiểm soát chất lượng và chuẩn đối chứng độc lập để phát hiện vị trí khác thường và đảm bảo quy trình đo ổn định theo cách tối ưu nhất.
14. Độ chụm và độ chệch
14.1. Dữ liệu thu được từ 10 phòng thí nghiệm quay vòng phép đo 13 oxygenat trong 12 mẫu xăng được kiểm tra. Độ chụm của phương pháp thử này được xác định bằng thống kê kiểm tra kết quả thử liên phòng thử nghiệm trên cơ sở dùng 1,2 - di methoxyethan làm chất nội chuẩn như sau:
14.1.1. Độ lặp lại - Chênh lệch giữa hai kết quả thử liên tiếp nhận được do cùng một thí nghiệm viên tiến hành trên cùng một thiết bị, dưới các điều kiện thử không đổi, trên cùng một mẫu thử, trong một thời gian dài với thao tác bình thường và chính xác của phương pháp thử này, chỉ một trong 20 trường hợp được vượt các giá trị sau (xem Bảng 3).
| Độ lặp lại của oxygenat trong xăng | |
| Thành phần | Độ lặp lại |
| Metanol (MeOH) | 0,07 (X0,49)A |
| Etanol (EtOH) | 0,03 (X0,92) |
| Iso - propanol (iPA) | 0,04 (X0,54) |
| tert - butanol (tBA) | 0,05 (X0,65) |
| n - propanol (nPA) | 0,04 (X0,35) |
| MTBE | 0,05 (X0,58) |
| sec - butanol (sBA) | 0,03 (X0,54) |
| DIPE | 0,05 (X0,65) |
| Iso - butanol (iBA) | 0,03 (X0,79) |
| ETBE | 0,04 (X0,86) |
| tert - penanol (tAA) | 0,05 (X0,41) |
| n - butanol (nBA) | 0,06 (X0,46) |
| TAME | 0,04 (X0,58) |
| Tổng lượng oxy | 0,03 (X0,93) |
| A X là % khối lượng thành phần. | |
14.1.2. Độ tái lập - Chênh lệch giữa hai kết quả thử độc lập, nhận được do hai thí nghiệm viên khác nhau làm việc trong hai phòng thử nghiệm khác nhau, trên cùng một mẫu thử, trong một thời gian dài, chỉ một trong 20 trường hợp được vượt các giá trị sau (xem Bảng 3).
| Độ tái lập oxygenat trong xăng | |
| Thành phần | Độ lặp lại |
| Methanol (MeOH) | 0,25 (X0,86)A |
| Ethanol (EtOH) | 0,27 (X0,80) |
| iso - propanol (iPA) | 0,21 (X0,71) |
| tert - butanol (tBA) | 0,20 (X0,80) |
| n - propanol (nPA) | 0,17 (X0,88) |
| MTBE | 0,10 (X0,95) |
| sec - butanol (sBA) | 0,17 (X0,73) |
| DIPE | 0,16 (X0,71) |
| Iso - butanol (iBA) | 0,19 (X0,83) |
| ETBE | 0,25 (X0,79) |
| tert - penanol (tAA) | 0,18 (X0,55) |
| n - butanol (nBA) | 0,22 (X0,30) |
| TAME | 0,24 (X0,69) |
| Tổng lượng oxy | 0,13 (X0,83) |
| A X là % khối lượng thành phần. | |
14.2. Độ chệch - Báo cáo về độ chệch hiện nay đang được xây dựng bởi nhóm nghiên cứu chuyên trách.
Bảng 3 - Khoảng độ chụm được xác định từ nghiên cứu hợp tác dữ liệu độ lặp lại
| Độ lặp lại | ||||||||||||||
| Thành phần, Wt % | MeOH | EtOH | iPA | tBA | nPA | MTBE | sBA | DIPE | iBA | ETBE | tAA | nBA | TAME | Tổng lượng oxy |
| 0,20 | 0,03 | 0,01 | 0,02 | 0,02 | 0,02 | 0,02 | 0,01 | 0,02 | 0,01 | 0,01 | 0,03 | 0,03 | 0,02 | .... |
| 0,50 | 0,05 | 0,02 | 0,03 | 0,03 | 0,03 | 0,03 | 0,02 | 0,03 | 0,02 | 0,01 | 0,04 | 0,04 | 0,03 | .... |
| 1,00 | 0,07 | 0,03 | 0,04 | 0,05 | 0,04 | 0,05 | 0,03 | 0,05 | 0,03 | 0,04 | 0,05 | 0,06 | 0,04 | 0,03 |
| 2,00 | 0,10 | 0,06 | 0,06 | 0,08 | 0,05 | 0,07 | 0,04 | 0,08 | 0,05 | 0,07 | 0,07 | 0,08 | 0,06 | 0,06 |
| 3,00 | 0,12 | 0,08 | 0,07 | 0,10 | 0,06 | 0,09 | 0,05 | 0,10 | 0,07 | 0,10 | 0,08 | 0,10 | 0,08 | 0,08 |
| 4,00 | 0,13 | 0,11 | 0,08 | 0,12 | 0,06 | 0,11 | 0,06 | 0,12 | 0,09 | 0,13 | 0,09 | 0,11 | 0,09 | 0,11 |
| 5,00 | 0,15 | 0,13 | 0,09 | 0,14 | 0,07 | 0,13 | 0,07 | 0,14 | 0,11 | 0,16 | 0,10 | 0,13 | 0,10 | 0,13 |
| 6,00 | 0,17 | 0,16 | 0,10 | 0,16 | 0,07 | 0,14 | 0,08 | 0,16 | 0,12 | 0,19 | 0,10 | 0,14 | 0,11 | .... |
| 10,00 | 0,22 | 0,25 | 0,14 | 0,22 | 0,09 | 0,19 | 0,10 | 0,22 | 0,18 | 0,29 | 0,13 | 0,17 | 0,15 | .... |
| 12,00 | 0,24 | 0,29 | 0,15 | 0,25 | 0,09 | 0,2 | 0,11 | 0,25 | 0,21 | 0,34 | 0,14 | 0,19 | 0,17 | .... |
| 14,00 | …. | .... | .... | .... | .... | 0,23 | .... | 0,28 | .... | 0,39 | .... | .... | 0,18 | .... |
| 16,00 | .... | .... | .... | .... | .... | 0,25 | .... | 0,30 | .... | 0,43 | .... | .... | 0,20 | .... |
| 20,00 | .... | .... | .... | .... | .... | 0,28 | .... | 0,35 | .... | 0,53 | .... | .... | 0,23 | .... |
| Độ tái lập | ||||||||||||||
| Thành phần, Wt % | MeOH | EtOH | iPA | tBA | nPA | MTBE | sBA | DIPE | iBA | ETBE | tAA | nBA | TAME | Tổng lượng oxy |
| 0,20 | 0,06 | 0,07 | 0,06 | 0,05 | 0,04 | 0,02 | 0,05 | 0,05 | 0,05 | 0,07 | 0,07 | 0,14 | 0,08 | …. |
| 0,50 | 0,14 | 0,16 | 0,13 | 0,11 | 0,09 | 0,05 | 0,10 | 0,10 | 0,11 | 0,14 | 0,12 | 0,18 | 0,15 | …. |
| 1,00 | 0,25 | 0,27 | 0,21 | 0,20 | 0,17 | 0,10 | 0,17 | 0,16 | 0,19 | 0,25 | 0,18 | 0,22 | 0,24 | 0,13 |
| 2,00 | 0,45 | 0,47 | 0,35 | 0,28 | 0,31 | 0,19 | 0,28 | 0,26 | 0,34 | 0,43 | 0,26 | 0,27 | 0,39 | 0,23 |
| 3,00 | 0,64 | 0,65 | 0,47 | 0,48 | 0,45 | 0,28 | 0,38 | 0,35 | 0,47 | 0,60 | 0,33 | 0,31 | 0,51 | 0,32 |
| 4,00 | 0,82 | 0,82 | 0,59 | 0,61 | 0,58 | 0,37 | 0,47 | 0,43 | 0,60 | 0,75 | 0,39 | 0,33 | 0,62 | 0,41 |
| 5,00 | 1,00 | 0,98 | 0,69 | 0,72 | 0,10 | 0,46 | 0,55 | 0,50 | 0,72 | 0,89 | 0,44 | 0,36 | 0,73 | 0,49 |
| 6,00 | 1,17 | 1,13 | 0,79 | 0,84 | 0,82 | 0,55 | 0,63 | 0,57 | 0,84 | 1,03 | 0,48 | 0,38 | 0,83 | .... |
| 10,00 | 1,81 | 1,70 | 1,15 | 1,26 | 1,29 | 0,89 | 0,91 | 0,82 | 1,28 | 1,54 | 0,64 | 0,44 | 1,17 | .... |
| 12,00 | 2,12 | 1,97 | 1,32 | 1,46 | 1,51 | 1,06 | 1,04 | 0,93 | 1,49 | 1,78 | 0,71 | 0,46 | 1,33 | .... |
| 14,00 | .... | .... | .... | .... | .... | 1,23 | .... | 1,04 | .... | 2,01 | .... | .... | 1,48 | .... |
| 16,00 | .... | .... | .... | .... | .... | 1,39 | .... | 1,15 | .... | 2,23 | .... | .... | 1,63 | .... |
| 20,00 | .... | .... | .... | .... | .... | 1,72 | .... | 1,34 | .... | 2,66 | .... | .... | 1,90 | .... |
Bạn chưa Đăng nhập thành viên.
Đây là tiện ích dành cho tài khoản thành viên. Vui lòng Đăng nhập để xem chi tiết. Nếu chưa có tài khoản, vui lòng Đăng ký tại đây!