- Tổng quan
- Nội dung
- Tiêu chuẩn liên quan
- Lược đồ
- Tải về
Tiêu chuẩn Quốc gia TCVN 12218-1:2018 Lò liền bếp, lò, lò hấp và lò nướng
| Số hiệu: | TCVN 12218-1:2018 | Loại văn bản: | Tiêu chuẩn Việt Nam |
| Cơ quan ban hành: | Bộ Khoa học và Công nghệ | Lĩnh vực: | Công nghiệp |
|
Ngày ban hành:
Ngày ban hành là ngày, tháng, năm văn bản được thông qua hoặc ký ban hành.
|
28/12/2018 |
Hiệu lực:
|
Đã biết
|
| Người ký: | Đang cập nhật |
Tình trạng hiệu lực:
Cho biết trạng thái hiệu lực của văn bản đang tra cứu: Chưa áp dụng, Còn hiệu lực, Hết hiệu lực, Hết hiệu lực 1 phần; Đã sửa đổi, Đính chính hay Không còn phù hợp,...
|
Đã biết
|
TÓM TẮT TIÊU CHUẨN VIỆT NAM TCVN 12218-1:2018
Tiêu chuẩn Quốc gia TCVN 12218-1:2018: Đo tính năng thiết bị nấu bằng điện gia dụng
Tiêu chuẩn Quốc gia TCVN 12218-1:2018, được công bố ngày 28/12/2018, có hiệu lực thi hành từ ngày 28/12/2018, quy định phương pháp đo tính năng cho các thiết bị nấu bằng điện như lò liền bếp, lò, lò hấp và lò nướng. Tiêu chuẩn này tương đương với IEC 60350-1:2016 và phục vụ cho việc đảm bảo chất lượng và hiệu suất của các thiết bị nấu ăn hiện nay.
Đối tượng áp dụng của tiêu chuẩn TCVN 12218-1:2018 bao gồm các loại lò có hoặc không có chức năng vi sóng. Các nhà sản xuất phải công bố chức năng nấu cơ bản của thiết bị. Những phép đo cần thiết bao gồm mức tiêu thụ điện năng, thời gian gia nhiệt, cũng như phân bố nhiệt trong lò. Tiêu chuẩn không áp dụng cho các lò vi sóng và thiết bị có chức năng nấu di động.
Tiêu chuẩn TCVN 12218-1:2018 quy định rõ các phép đo cần thực hiện, ví dụ như kích thước, khối lượng và mức tiêu thụ điện năng của các lò. Các phép đo này được thực hiện trong phòng thử nghiệm với điều kiện môi trường được kiểm soát và đảm bảo an toàn khi sử dụng trong tiêu dùng. Bên cạnh đó, các tài liệu viện dẫn cũng được nêu rõ, nhằm mục đích xác định đúng quy trình và quy định cho việc thử nghiệm và đo lường.
Mỗi kĩ thuật đo đều được mô tả chi tiết, từ lý do thực hiện đến cách thức tiến hành và tiêu chí đánh giá. Cụ thể, các phép đo liên quan đến kích thước hình bao, thể tích tính toán, mức tiêu thụ điện năng trong quá trình hoạt động cũng như chức năng và hiệu suất của các lò nướng, lò hấp và lò tự làm sạch bằng nhiệt phân.
TCVN 12218-1:2018 hướng đến việc nâng cao chất lượng sử dụng các thiết bị nấu ăn bằng điện, bảo đảm sự an toàn và hiệu suất cho người tiêu dùng, cũng như tạo điều kiện cho các nhà sản xuất trong việc phát triển sản phẩm phù hợp với tiêu chuẩn kỹ thuật quốc gia và quốc tế. Tiêu chuẩn này đóng vai trò quan trọng trong việc bảo vệ quyền lợi của người tiêu dùng và cung cấp dữ liệu khả thi cho việc lựa chọn và sử dụng thiết bị hiệu quả.
Từ đó, các nhà sản xuất có thể cải tiến sản phẩm, đáp ứng nhu cầu thị trường, đồng thời người tiêu dùng cũng có thể yên tâm hơn khi chọn lựa thiết bị nấu ăn gia dụng.
Tải tiêu chuẩn Việt Nam TCVN 12218-1:2018
TIÊU CHUẨN QUỐC GIA
TCVN 12218-1:2018
IEC 60350-1:2016
THIẾT BỊ NẤU BẰNG ĐIỆN DÙNG CHO MỤC ĐÍCH GIA DỤNG - PHẦN 1: LÒ LIỀN BẾP, LÒ, LÒ HẤP VÀ LÒ NƯỚNG - PHƯƠNG PHÁP ĐO TÍNH NĂNG
Household electric cooking appliances - Part 1: Ranges, ovens, steam ovens and grills - Methods for measuring performance
Lời nói đầu
TCVN 12218-1:2018 hoàn toàn tương đương với EC 60350-1:2016;
TCVN 12218-1:2018 do Ban kỹ thuật tiêu chuẩn quốc gia TCVN/TC/E2 Thiết bị điện dân dụng biên soạn, Tổng cục Tiêu chuẩn Đo lường Chất lượng đề nghị, Bộ Khoa học và Công nghệ công bố.
THIẾT BỊ NẤU BẰNG ĐIỆN DÙNG CHO MỤC ĐÍCH GIA DỤNG - PHẦN 1: LÒ LIỀN BẾP, LÒ, LÒ HẤP VÀ LÒ NƯỚNG - PHƯƠNG PHÁP ĐO TÍNH NĂNG
Household electric cooking appliances - Part 1: Ranges, ovens, steam ovens and grills - Methods for measuring performance
1 Phạm vi áp dụng
Tiêu chuẩn này quy định phương pháp đo tính năng của lò liền bếp, lò, lò hấp và lò nướng bằng điện dùng cho mục đích gia dụng.
Lò thuộc phạm vi áp dụng của tiêu chuẩn này có thể có hoặc không có chức năng vi sóng.
Nhà chế tạo nên đưa ra chức năng nấu cơ bản của thiết bị - chức năng vi sóng hoặc gia nhiệt. Chức năng nấu cơ bản cần được đo bằng phương pháp sẵn có theo mức tiêu thụ điện năng. Nếu chức năng nấu cơ bản được công bố trong sổ tay hướng dẫn là chức năng vi sóng thì áp dụng IEC 60705 để đo mức tiêu thụ điện năng. Nếu chức năng nấu cơ bản được công bố là gia nhiệt thì áp dụng tiêu chuẩn này để đo mức tiêu thụ điện năng.
Nếu nhà chế tạo không công bố chức năng cơ bản thì tính năng của chức năng vi sóng và gia nhiệt cần được đo ở chừng mực có thể.
CHÚ THÍCH 1: Đối với phép do mức tiêu thụ điện năng và thời gian để gia nhiệt tải (xem 7.4), tiêu chuẩn này cũng không áp dụng cho:
- chức năng kết hợp vi sóng;
- lò có khay tịnh tiến hoặc bàn xoay;
- lò có khoang nhỏ;
- lò không có cơ cấu điều chỉnh nhiệt độ;
- chức năng gia nhiệt khác với chức năng được cho trong các điều từ 3.12 đến 3.14;
- thiết bị chỉ có chức năng hấp (3.15).
CHÚ THÍCH 2: Tiêu chuẩn này không áp dụng cho
- lò vi sóng (TCVN12219 (IEC 60705)),
- thiết bị di động dùng để nấu, nướng, hấp và các chức năng tương tự (TCVN 11331 (IEC 61817)).
Tiêu chuẩn này đưa ra các đặc tính tính năng chính của các thiết bị mà người sử dụng quan tâm và quy định phương pháp đo các đặc tính này.
Tiêu chuẩn này không đưa ra phân loại hoặc cấp về tính năng.
CHÚ THÍCH 3: Một số các thử nghiệm được quy định trong tiêu chuẩn này không được coi là có khả năng tái lặp do kết quả có thể thay đổi giữa các phòng thử nghiệm. Do đó, các thử nghiệm chỉ nhằm mục đích thử nghiệm so sánh.
CHÚ THÍCH 4: Tiêu chuẩn này không đề cập đến các yêu cầu về an toàn (TCVN 5699-2-6 (IEC 60335-2-6) và TCVN 5699-2-9 (IEC 60335-2-9)).
CHÚ THÍCH 5: Thiết bị thuộc phạm vi áp dụng của tiêu chuẩn này có thể là thiết bị lắp trong hoặc dùng để đặt lên bề mặt làm việc hoặc trên sàn.
CHÚ THÍCH 6: Không có phương pháp đo mức tiêu thụ điện năng đối với các chức năng nướng và hấp.
2 Tài liệu viện dẫn
Các tài liệu viện dẫn sau đây là cần thiết cho việc áp dụng tiêu chuẩn này. Đối với các tài liệu ghi năm công bố thì áp dụng bản được nêu. Đối với các tài liệu không ghi năm công bố thì áp dụng bản mới nhất (kể cả các sửa đổi).
TCVN 7870-1:2010 (ISO 80000-1:2009), Đại lượng và đơn vị - Phần 1: Quy định chung
TCVN 10152 (IEC 62301), Thiết bị điện gia dụng - Đo công suất ở chế độ chờ
IEC 60584-2, Thermocouples - Part 2: Tolerances (Nhiệt ngẫu - Phần 2: Dung sai)
CIE 15, Colorimetry (Đo màu)
3 Thuật ngữ và định nghĩa
Tiêu chuẩn này áp dụng các thuật ngữ và định nghĩa dưới đây:
3.1
Lò liền bếp (cooking range)
Thiết bị gồm có bếp và tối thiểu một lò và có thể lắp lò nướng.
3.2
Bếp (hob)
Thiết bị hoặc phần của thiết bị, có lắp một hoặc nhiều vùng nấu và/hoặc diện tích nấu kể cả bộ điều khiển.
CHÚ THÍCH: Bộ điều khiển có thể lắp trong bếp hoặc được tích hợp trong lò liền bếp.
3.3
Lò (oven)
Thiết bị hoặc phần của lò liền bếp mà trong đó thực phẩm được nấu bằng bức xạ, bằng đối lưu tự nhiên, bằng lưu thông không khí cưỡng bức hoặc bằng sự kết hợp của các phương pháp gia nhiệt này.
3.4
Lò tự làm sạch bằng nhiệt phân (pyrolytic self-cleaning oven)
Lò trong đó các chất đọng lại sau khi nấu được loại bỏ bằng cách gia nhiệt lò đến nhiệt độ cao đủ.
3.8
Lò hấp (steam oven)
Thiết bị hoặc ngăn chứa của lò liền bếp mà trong đó thực phẩm được nấu chủ yếu bằng sự ngưng tụ hơi nước ở áp suất môi trường xung quanh.
CHÚ THÍCH 1: Thiết bị được lắp với bộ tạo hơi nước riêng.
CHÚ THÍCH 2: Hơi nước không có nghĩa nước bay hơi từ thực phẩm.
3.6
Lò hấp kết hợp (combi steam oven)
Thiết bị hoặc ngăn chứa của lò liền bếp mà trong đó thực phẩm được nấu bằng sự kết hợp của lò (3.3) và lò hấp (3.5).
CHÚ THÍCH 1: Cũng có các thiết bị chỉ có chức năng phụ trợ hấp. Đối với các lò này, chỉ có thể thử nghiệm chức năng hấp nếu chức năng này được mô tả trong sổ tay hướng dẫn hoặc nếu thiết bị có chế độ đặt cho chức năng hấp.
CHÚ THÍCH 2: Hơi nước không phải là nước bay hơi từ thực phẩm.
3.7
Lò nướng (grill)
Thiết bị hoặc phần thiết bị mà trong đó thực phẩm được làm chín bằng nhiệt bức xạ.
3.8
Lò làm sạch bằng chất xúc tác (oven with catalytic cleaning)
Lò trong đó các chất đọng lại sau khi nấu được loại bỏ bằng cách đánh tan chúng trên lớp phủ đặc biệt.
3.9
Ngăn giữ nóng (warming compartment)
Ngăn chứa riêng mà các thức ăn được đặt trong đó để gia nhiệt trước khi bày ra ăn, hoặc thực phẩm được duy trì trong đó ở nhiệt độ bày ra ăn.
3.10
Lò có khoang chứa nhỏ (small cavity oven)
Lò có kích thước sau:
- cả chiều rộng và chiều sâu sử dụng < 250 mm, hoặc
- chiều cao sử dụng <120 mm
CHÚ THÍCH 1: Kích thước lớn nhất của lò có khoang chứa nhỏ trong tiêu chuẩn này được chỉ định theo kích thước của tải thử nghiệm được sử dụng ở 7.4.
3.11
Thiết bị có nhiều khoang chứa (multiple cavity appliance)
Thiết bị có nhiều hơn một khoang chứa riêng biệt mà trong đó thực phẩm được nấu và các khoang có thể được điều khiển độc lập, nhưng không thể lắp đặt riêng rẽ.
3.12
Chức năng gia nhiệt thông thường (conventional heating function)
Sự truyền nhiệt đến thực phẩm chỉ bằng bức xạ và đối lưu tự nhiên.
CHÚ THÍCH 1: Điều này không bao gồm việc các chức năng gia nhiệt thông thường chỉ vận hành một phần tử gia nhiệt phía trên (nghĩa là phần tử nướng).
3.13
Chức năng lưu thông không khí cưỡng bức (forced air circulation function)
Sự truyền nhiệt đến thực phẩm bằng đối lưu không khí cưỡng bức, nghĩa là lưu thông không khí có sự trợ giúp của quạt.
CHÚ THÍCH 1: Điều này không bao gồm chức năng lưu thông không khí chỉ vận hành một phần tử gia nhiệt phía trên (nghĩa là phần tử nướng).
3.14
Chức năng hấp bằng hơi nước nóng (hot steam function)
Sự truyền nhiệt đến thực phẩm bằng hơi nước nóng được tạo ra kết hợp với bức xạ và/hoặc đối lưu ở áp suất môi trường xung quanh (xấp xỉ 1 bar) và có nhiệt độ >100 °C.
3.15
Chức năng hấp (steam function)
Sự truyền nhiệt đến thực phẩm chủ yếu bằng sự ngưng tụ hơi nước ở áp suất môi trường xung quanh (xấp xỉ 1 bar) và có nhiệt độ ≤100 °C.
3.16
Giai đoạn để nguội (cooling down period)
Tình trạng không ổn định vẫn tiếp tục sau khi hoàn tất chế độ hoạt động và thiết bị được đặt ở chế độ tắt tại đó mức tiêu thụ điện năng có thể thay đổi mà không có sự can thiệp của người sử dụng.
3.17
Đặt ở chế độ tắt (set to off mode)
Hoạt động mà ở đó sản phẩm bị cắt điện bằng cơ cấu điều khiển thiết bị hoặc cơ cấu đóng cắt có khả năng tiếp cận được và được thiết kế để người sử dụng thao tác trong quá trình sử dụng bình thường để đạt được mức tiêu thụ điện năng thấp nhất trong thời gian không giới hạn trong khi vẫn được nối với nguồn điện lưới và sử dụng theo hướng dẫn của nhà chế tạo.
CHÚ THÍCH 1: Tất cả các hành động yêu cầu để đặt ở chế độ tắt như tháo nước trong thùng chứa nước, lấy thực phẩm ra, đóng cửa. v.v....đều phải thực hiện.
CHÚ THÍCH 2: Đối với định nghĩa về chế độ tắt, áp dụng định nghĩa trong TCVN 10152 (IEC 62301).
3.18
Đặt ở chế độ chờ (set to standby mode)
Hoạt động mà ở đó sản phẩm được chuyển đến trạng thái chờ bằng cơ cấu điều khiển thiết bị hoặc cơ cấu đóng cắt có thể tiếp cận được và được thiết kế để người sử dụng thao tác trong quá trình sử dụng bình thường để đạt được mức tiêu thụ điện năng thấp nhất trong thời gian không giới hạn trong khi vẫn được nối với nguồn điện lưới và sử dụng theo hướng dẫn của nhà chế tạo.
CHÚ THÍCH 1: Đối với định nghĩa về chế độ chờ, áp dụng định nghĩa trong TCVN 10152 (IEC 62301).
4 Danh mục phép đo
4.1 Kích thước và khối lượng
Tiến hành các phép đo sau đây:
- kích thước hình bao (xem 6.1):
- kích thước bên trong (xem 6.2);
- kích thước của giá và các phụ kiện hấp (xem 6.4);
- kích thước của vỉ nướng (xem 6.5);
- kích thước của ngăn giữ nóng (xem 6.6);
- độ ngang bằng của giá đỡ (xem 6.7); .
- khối lượng của thiết bị (xem 6.8)
4.2 Lò và lò hấp kết hợp
Tiến hành các phép đo sau đây:
- gia nhiệt trước lò rỗng (xem 7.2):
- độ chính xác của cơ cấu điều khiển (xem 7.3);
- mức tiêu thụ điện năng và thời gian để gia nhiệt tải (xem 7.4):
- phân bố nhiệt (xem 7.5):
- khả năng cung cấp nhiệt (xem 7.6).
4.3 Lò hấp và lò hấp kết hợp
Tiến hành các phép đo sau đây:
- khả năng cung cấp hơi nước (xem 8.1);
- phân bố hơi nước (xem 8.2);
- xác định dung tích (xem 8.3).
4.4 Lò nướng
Tiến hành các phép đo sau đây:
- vùng nướng (xem 9.2);
- hoạt động nướng (xem 9.3).
4.5 Ngăn giữ nóng
Tiến hành các phép đo sau đây:
- cơ cấu điều khiển nhiệt độ và mức tiêu thụ điện năng (xem Điều 10).
4.6 Làm sạch
Tiến hành các phép đo sau đây:
- việc làm sạch của lò tự làm sạch bằng nhiệt phân (xem 11.1);
- việc làm sạch của lò làm sạch bằng chất xúc tác (xem 11.2).
5 Điều kiện chung đối với phép đo
5.1 Phòng thử nghiệm
Thử nghiệm được tiến hành trong phòng về cơ bản không có gió lùa, trong đó nhiệt độ môi trường xung quanh được duy trì ở (20 ± 5) °C.
Đối với các thử nghiệm 7.2, 7.4, và 7.5.3, phải duy trì nhiệt độ (23 ± 2) °C trong suốt quá trình thử nghiệm.
Nhiệt độ môi trường xung quanh được đo tại điểm có chiều cao bằng tâm của thể tích tính toán của khoang lò trong thử nghiệm và ở khoảng cách 0,5 m theo đường chéo từ một trong các cạnh trước của thiết bị (xem Hình 1).

CHÚ DẪN:
a lò (hình chiếu bằng)
b 0,5 m
c nhiệt ngẫu
Hình 1 - Vị trí của nhiệt ngẫu để đo nhiệt độ môi trường xung quanh
Phép đo nhiệt độ môi trường xung quanh không được chịu ảnh hưởng của bản thân thiết bị hoặc bởi thiết bị bất kỳ khác.
5.2 Nguồn điện
Thiết bị được cấp điện ở điện áp danh định ± 1 %.
Nếu thiết bị có dải điện áp danh định thì thử nghiệm được tiến hành ở điện áp danh nghĩa của quốc gia nơi mà thiết bị dự kiến được sử dụng.
Đối với các thử nghiệm 7.2, 7.4 và 7.5.3:
- điện áp nguồn phải được duy trì ở điện áp danh định ±1 % tại đầu nối lưới điện trong khi phần tử gia nhiệt được đóng điện;
- tần số nguồn phải ở tần số danh định ± 1 % trong suốt thử nghiệm. Nếu có dải tần số được chỉ rõ thì tần số thử nghiệm phải là tần số danh nghĩa của quốc gia nơi mà thiết bị dự kiến được sử dụng.
CHÚ THÍCH: Trong trường hợp có cáp cố định, phích cắm (hoặc đầu của cáp) là điểm chuẩn để duy trì điện ốp. Đối với Điều 12 và Phụ lục G, các yêu cầu về đo công suất phải phù hợp với TCVN 10152 (IEC 62301).
5.3 Thiết bị đo
Thiết bị đo nhiệt độ, kể cả nhiệt ngẫu, phải có độ chính xác là ± 0,5 K trong phạm vi dải nhiệt độ từ 0 °C đến 100 °C và độ chính xác là ± 2 K trong phạm vi dải nhiệt độ từ 100 °C đến 300 °C.
Công tơ đo điện năng phải có độ chính xác là ± 1 % của số đọc.
Đối với các thử nghiệm 7.2 và 7.4:
- Các phép đo nhiệt độ không khí trong lò rỗng được thực hiện bằng nhiệt ngẫu có điểm hàn (không có tấm đồng đen);
- Các phép đo nhiệt độ trong viên gạch (xem 7.4) được thực hiện bằng hai nhiệt ngẫu với một ống thép đường kính là 1 mm, cấp 1 theo IEC 60584-2. Nhiệt ngẫu phải chính xác tới ± 1,5 K;
CHÚ THÍCH: Ống thép của nhiệt ngẫu tạo điều kiện dễ dàng cho việc chèn nhiệt ngẫu vào trong viên gạch. Có thể sử dụng các loại nhiệt ngẫu khác với điều kiện là chúng được chứng minh là cho các kết quả tương tự. Điểm đo là điểm tiếp xúc đầu tiên của hai sợi dây nhiệt.
- hệ thống đo nhiệt độ ngoại trừ nhiệt ngẫu phải chính xác tới ± 1,0 K;
- các phép đo điện năng phải chính xác tới ± 1,5 % số đọc hoặc ±10 Wh, chọn giá trị lớn hơn;
- phép đo điện áp phải chính xác tới ±0,5 % số đọc;
- phép đo khối lượng phải chính xác tới ± 3 g;
- phép đo thời gian phải chính xác tới ± 5 s;
- thang đo khối lượng của nguyên liệu phải chính xác tới ± 0,1 g.
Đối với các thử nghiệm theo Điều 8, các phép đo nhiệt độ bên trong tải được thực hiện với ống thép đường kính là 0,5 mm, cấp 1 theo IEC 60584-2. Nhiệt ngẫu phải chính xác tới ± 1,5 K.
Đối với Điều 12 và Phụ lục G, các yêu cầu của phép đo phải phù hợp với TCVN 10152 (IEC 62301).
5.4 Bố trí thiết bị
Thiết bị lắp trong được lắp đặt theo hướng dẫn lắp đặt. Các thiết bị khác được đặt lưng tựa vào tường, nếu không có quy định nào khác trong hướng dẫn lắp đặt.
Thiết bị đứng trên sàn được bố trí giữa các tủ chứa bếp. Thiết bị đặt trên bàn được bố trí cách xa các vách bên.
Để lắp đặt thiết bị, cần đảm bảo bề mặt nằm ngang.
Đối với các thử nghiệm 7.2 và 7.4 trên lò có tích hợp quạt hút không khí (hoặc cơ cấu tương tự) ra bên ngoài tòa nhà, đầu không khí ra được xả vào ống khói có độ giảm áp là 50 Pa khi có lưu lượng không khí là 200 m3/h.
CHÚ THÍCH: Điều kiện đo đối với lò có tích hợp hút không khí tương tự với điều kiện đo trong IEC 61591.
5.5 Gia nhiệt trước
Ban đầu thiết bị ở nhiệt độ phòng. Tuy nhiên, nếu quy định phải gia nhiệt trước thì thiết bị được gia nhiệt trước theo hướng dẫn sử dụng. Nếu không có hướng dẫn thì thiết bị được coi là đã được gia nhiệt trước sau khi bộ điều nhiệt đã ngắt điện lần đầu tiên.
5.6 Chế độ đặt của cơ cấu điều khiển
Cơ cấu điều khiển được đặt để đạt nhiệt độ quy định cho thử nghiệm. Tuy nhiên, nếu nhiệt độ này không thể đạt được do kết cấu của cơ cấu điều khiển thì chọn chế độ đặt gần nhất liên quan với nhiệt độ quy định.
Thiết bị được cho làm việc đối với tất cả các thử nghiệm khi ở tình trạng được giao với chế độ đặt mặc định không đổi. Đảm bảo không có mạng nào được kết nối với thiết bị trong thời gian đo.
5.7 Làm tròn
Nếu có yêu cầu về làm tròn các con số thì phải làm tròn theo ISO 80000-1:2009, Điều B.3, quy tắc B.
6 Kích thước và khối lượng
6.1 Kích thước hình bao
Kích thước hình bao của thiết bị được đo và thể hiện bằng milimét như sau:
Lò liền bếp và các thiết bị khác được đặt trên mặt phẳng, được đo như thể hiện trên Hình 2.
Lò lắp trong được đo như thể hiện trên Hình 3.

CHÚ DẪN:
a1 chiều cao từ bề mặt đỡ đến bề mặt bếp
CHÚ THÍCH: Nếu có chân điều chỉnh được thì chiều cao được đo với chân ở cả hai vị trí cực hạn.
b chiều rộng hình bao của thiết bị
a2 chiều cao tối đa từ bề mặt đỡ đến phần cao nhất của thiết bị, với nắp bất kỳ ở vị trí mở
c1 chiều sâu của thiết bị, bỏ qua các núm bất kỳ, v.v...
c2 chiều sâu tối đa của thiết bị, với các cửa và các ngăn kéo bất kỳ được mở ra hoàn toàn
Hình 2 - Kích thước của thiết bị

CHÚ DẪN:
a1 chiều cao phía trước của thiết bị
b1 chiều rộng phía trước của thiết bị
c chiều sâu tối đa của thiết bị bên trong tủ chứa bếp
a2 chiều cao tối đa của thiết bị bên trong tủ chứa bếp
b2 chiều rộng tối đa của thiết bị bên trong tủ chứa bếp
d1 chiều sâu của thiết bị bên ngoài tủ chứa bếp, bỏ qua các núm, v.v...
d2 chiều sâu của thiết bị bên ngoài tủ chứa bếp, với các của và các ngăn kéo bất kỳ được mở ra hoàn toàn
Hình 3 - Kích thước của thiết bị lắp trong
6.2 Kích thước khả dụng bên trong và thể tích tính toán
6.2.1 Quy định chung
Các hạng mục tháo ra được quy định trong tài liệu hướng dẫn của người sử dụng mà không thiết yếu đối với việc vận hành thiết bị theo cách mà nó được thiết kế thì phải được tháo ra trước khi tiến hành đo.
Cần bảo đảm vận hành an toàn. Do đó không thể tháo các bộ phận cần thiết để đo thể tích.
Phép đo thể tích tính toán phải được tiến hành ở nhiệt độ môi trường.
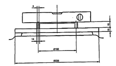
Chiều cao, chiều rộng và chiều sâu của thể tích tính toán trong khoang phải được đo theo 6.2.2 đến 6.2.4. Các phép đo được thể hiện trên Hình 4.
Đối với mục đích kiểm tra xác nhận, dưỡng, như thể hiện trên Hình 5, phải được sử dụng để xác định cả ba kích thước. Phải sử dụng dưỡng mà không đặt lực đáng kể. Kích thước được thể hiện bằng milimét.

CHÚ DẪN:
d chiều sâu khả dụng
g phần tử gia nhiệt
h chiều cao khả dụng
w chiều rộng khả dụng
Hình 4 - Kích thước khả dụng bên trong

CHÚ DẪN:
D = 200 mm hoặc 120 mm
X = kích thước cần đo
Hình 5 - Dưỡng dùng để đo các kích thước này
6.2.2 Chiều cao khả dụng
Chiều cao khả dụng là chiều cao lớn nhất của hình trụ có đường kính 200 mm đạt được theo chiều thẳng đứng từ tâm của sàn khoang đến điểm thấp nhất trên trần. Điểm thấp nhất của trần có thể là bóng đèn, phần tử gia nhiệt hoặc một vật tương tự trong khu vực hình trụ.
Trong trường hợp chiều rộng hoặc chiều sâu của khoang nhỏ hơn 250 mm thì đường kính của hình trụ cần đo phải giảm xuống còn 120 mm.
CHÚ THÍCH: Tâm của đáy khoang được xác định bởi điểm giữa của chiều sâu khả dụng và điểm giữa của chiều rộng khả dụng.
6.2.3 Chiều rộng khả dụng
Chiều rộng khả dụng là chiều dài lớn nhất của hình trụ có đường kính 200 mm đạt được theo chiều ngang từ vách bên trái đến vách bên phải của khoang.
Trong trường hợp chiều cao hoặc chiều sâu của khoang nhỏ hơn 250 mm thì đường kính của hình trụ cần đo phải giảm xuống còn 120 mm.
CHÚ THÍCH: Tâm của vách bên của khoang được xác định bởi điểm giữa của chiều sâu khả dụng và điểm giữa của chiều cao khả dụng.
6.2.4 Chiều sâu khả dụng
Chiều sâu khả dụng là chiều dài lớn nhất của hình trụ có đường kính 200 mm đạt được theo chiều ngang từ tâm của vách lưng đến bề mặt bên trong của cửa được đóng.
Trong trường hợp chiều rộng hoặc chiều cao của khoang nhỏ hơn 250 mm, thì đường kính của hình trụ cần đo phải được giảm xuống còn 120 mm.
Để đo chiều sâu khả dụng, dưỡng được đặt trên giá đỡ theo cách sao cho trục nằm theo chiều ngang ở tâm của khoang, trục được kéo dài ra chút ít vượt quá chiều sâu khả dụng dự kiến, cửa được đóng lại cẩn thận sao cho dưỡng bị nén lại để cho chiều sâu khả dụng.
CHÚ THÍCH: Tâm của vách sau của khoang được xác định bởi điểm giữa của chiều cao khả dụng và điểm giữa của chiều rộng khả dụng.
6.2.5 Thể tích tính toán
Thể tích tính toán được xác định từ ba kích thước trên và được thể hiện bằng lít được làm tròn đến lít đầy đủ.
6.3 Kích thước hình bao bên trong và thể tích hình bao
6.3.1 Quy định chung
Trong trường hợp các bề mặt tạo thành các mặt biên của khoang có những chỗ nhô ra hoặc lõm vào, các mặt phẳng được sử dụng để đo phải là những bề mặt có tỉ lệ phần trăm lớn nhất của tổng diện tích của các bề mặt. Lỗ trên các bề mặt được bỏ qua khi tính diện tích cho việc xác định này.
Bỏ qua các thể tích hoặc không gian sau đây:
- của các vật tháo ra được do nhà chế tạo quy định là không thiết yếu cho việc vận hành thiết bị, ví dụ như giá, ngăn hoặc đầu đo nhiệt độ;
- của các phần tử gia nhiệt;
- của các vật nhỏ không đồng đều trong vách ngăn nấu, bao gồm các nắp che bên cảm biến nhiệt độ và bóng đèn;
- của các vách ngăn đối lưu;
- của các bán kính của góc nhỏ hơn 50 mm tại đường giao nhau của bề mặt bên trong của khoang nấu.
Các kích thước được thể hiện bằng milimét.
6.3.2 Chiều cao hình bao (H)
Khoảng cách lớn nhất theo chiều đứng tính bằng milimét giữa mặt phẳng của đáy khoang nấu và mặt phẳng của trần khoang.
6.3.3 Chiều rộng hình bao (W)
Khoảng cách lớn nhất theo chiều ngang tính bằng milimét giữa các mặt phẳng của vách bên của khoang.
6.3.4 Chiều sâu hình bao (D)
Khoảng cách lớn nhất theo chiều ngang tính bằng milimét từ mặt phẳng của bề mặt bên trong cửa khi đóng đến bề mặt của vách sau của khoang.
6.3.5 Thể tích hình bao của khoang có hình chữ nhật
Thể tích hình bao của tổng thể tích bên trong của khoang mà trong đó việc nấu được thực hiện, được tính bằng tích của H, W và D như đã xác định ở trên, chia cho 106 và làm tròn đến lít gần nhất.
6.3.6 Thể tích hình bao của khoang không phải hình chữ nhật
Khoang không phải hình chữ nhật có thể tích có mặt cắt có hình dạng không phù hợp bất kỳ, ví dụ như cửa cong hoặc vách khoang cong được xác định bằng phép đo trực tiếp và áp dụng các tính toán hình học thông thường. Phần còn lại của khoang được coi như khoang hình chữ nhật và các thể tích riêng rẽ được cộng lại với nhau. Thể tích được thể hiện đến lít gần nhất.
6.4 Kích thước của giá và phụ kiện hấp
Đo chiều rộng khả dụng và chiều sâu khả dụng của giá. Các kích thước được đo phía trên bề mặt giá 5 mm.
Tính toán diện tích bề mặt và thể hiện bằng centimét vuông, được làm tròn đến 10 cm2 gần nhất.
CHÚ THÍCH: Giá có thể là khay nướng hoặc phụ kiện hấp.
6.5 Kích thước của vỉ nướng
Đo chiều rộng và chiều sâu của vỉ nướng.
Tính toán diện tích bề mặt và thể hiện bằng centimét vuông, được làm tròn đến 10 cm2 gần nhất.
CHÚ THÍCH: Nếu vỉ nướng là giá của lô thì kích thước được đo theo 6.4.
6.6 Kích thước của ngăn giữ nóng
Đo chiều cao, chiều rộng và chiều sâu của thể tích tính toán trong ngăn giữ nóng và thể hiện bằng milimét.
CHÚ THÍCH: Khi phần tử gia nhiệt được đặt bên trong ngăn giữ nóng thì các kích thước được đo đến phần nhô ra nhất.
6.7 Độ ngang bằng của giá đỡ
Giá đỡ được đặt ở vị trí trung tâm trong lò.
CHÚ THÍCH 1: Giá đỡ có thể là vỉ nướng hoặc khay nướng.
Cơ cấu đo gồm một đĩa và vành tròn được đặt ở giữa trên giá đỡ. Ống bọt nước được đặt vào giữa trên vành tròn như thể hiện trên Hình 6. Ống bọt nước được xoay đến vị trí tại đó nó cho thấy độ nghiêng là lớn nhất so với phương nằm ngang. Cạnh thấp hơn được ké lên đến bề mặt nằm ngang bằng cách chèn lá căn vào giữa ống bọt nước và vành tròn.
Để đo độ ngang bằng của các giá đỡ, sử dụng các cơ cấu đo tương tự như đối với tấm nóng (Xem TCVN 12218-2 (IEC 60350-2)).
Kích thước tính bằng milimét

Hình 6 - Cơ cấu đi kiểm tra độ ngang bằng của giá đỡ
Độ chênh lệch so với mặt nằm ngang được cho bằng chiều dày của lá căn, tính bằng milimét, đến hai chữ số thập phân. Độ chênh lệch này được thể hiện bằng phần trăm, làm tròn đến 0,1 % gần nhất.
CHÚ THÍCH 2: Có thể chuyển đổi trực tiếp từ milimét sang tỉ lệ phần trăm do vành tròn có đường kính 100 mm.
6.8 Khối lượng của thiết bị
Khối lượng của thiết bị bao gồm cả phụ kiện được sử dụng để thực hiện thử nghiệm 7.4, được xác định và thể hiện bằng kilogam, làm tròn đến kilogam gần nhất.
7 Lò và lò hấp kết hợp
7.1 Quy định chung
Mục đính của các thử nghiệm này là đánh giá tính năng của lò và lò hấp kết hợp trong mối quan hệ với gia nhiệt trước, sự hoạt động của cơ cấu điều khiển và mức tiêu thụ điện năng. Tính năng cũng được đánh giá bằng các thử nghiệm nấu.
Nhiệt độ không khí trong lò và lò hấp kết hợp rỗng được đo bằng nhiệt ngẫu theo 5.3, nhiệt ngẫu này được cố định vào vỉ đi kèm theo thiết bị và được đặt trong lò và lò hấp kết hợp theo cách sao cho điểm hàn của nhiệt ngẫu được đặt tại tâm của thể tích cần đo của lò và lò hấp kết hợp nằm cách vỉ một khoảng tối thiểu là 30 mm.
Nếu không thể mua được vỉ từ nhà chế tạo thiết bị thì nhiệt ngẫu cần được bố trí tại tâm theo cách phù hợp.
Nhiệt ngẫu được đưa qua khe cửa theo cách sao cho cửa được đóng hoàn toàn mà không cần thêm lực.
Việc cửa được đóng lại hoàn toàn là thiết yếu.
Thử nghiệm khay nướng ở Điều 7 được thực hiện bằng cách sử dụng các chế độ đặt của cơ cấu điều khiển đã hiệu chỉnh theo các chênh lệch được xác định bằng thử nghiệm tại 7.3.
CHÚ THÍCH: Các thử nghiệm tại 7.2, 7.3 và 7.4 được coi là đưa ra các kết quả có khả năng lặp lại. Các thử nghiệm tại 7.5 và 7.6 chỉ áp dụng được cho thử nghiệm so sánh.
7.2 Gia nhiệt trước trong lò rỗng
Mục đích của thử nghiệm này là đo mức tiêu thụ điện năng và thời gian cần để gia nhiệt trước lõ rỗng hoặc lò hấp kết hợp từ nhiệt độ phòng lên một độ tăng nhiệt độ cho trước.
Trước khi thực hiện phép đo, toàn bộ thiết bị (kể cả vật liệu và chất cách nhiệt) phải ở nhiệt độ môi trường xung quanh (23 ± 2) °C. Trong thiết bị nhiều khoang, phải đo riêng từng khoang lò. Chỉ đóng điện khoang cần đo.
Cơ cấu điều khiển nhiệt độ được đặt ở vị trí lớn nhất đối với từng chức năng. Thiết bị được gia nhiệt cho tới khi độ tăng nhiệt là
- 180 K đối với chức năng gia nhiệt thông thường,
- 155 K đối với chức năng lưu thông không khí cưỡng bức,
- 155 K đối với chức năng đồ bằng hơi nước nóng.
Độ tăng nhiệt là độ chênh lệch của nhiệt độ lò đo được tại thời điểm bắt đầu thử nghiệm và khi kết thúc thử nghiệm.
Thời gian tph (ph nghĩa là gia nhiệt trước) tính bằng phút và giây và phải đo mức tiêu thụ điện năng Eph tính bằng kWh.
Thời gian để gia nhiệt trước của lò rỗng, tph, phải được ghi lại và làm tròn đến nửa phút gần nhất.
Mức tiêu thụ điện năng để gia nhiệt trước lò rỗng, Eph, phải được ghi trong báo cáo và làm tròn đến hai chữ số thập phân kWh gần nhất.
Nếu lò có chế độ đặt gia nhiệt trước bổ sung thì lặp lại thử nghiệm với chế độ đặt này.
CHÚ THÍCH: Mức tiêu thụ điện năng của các thành phần, ví dụ như bóng đèn và quạt, được đóng điện tự động cùng thiết bị, được đưa vào trong phép do.
7.3 Độ chính xác của cơ cấu điều khiển
Mục đích của thử nghiệm này để xác định độ chính xác của cơ cấu điều khiển nhiệt độ.
Trước khi tiến hành phép đo, toàn bộ thiết bị phải ở nhiệt độ môi trường xung quanh là (23 ± 2) °C.
Phần tử điều khiển nhiệt độ được đặt ở mức 150 °C và thiết bị được gia nhiệt trong tcheck,150 = 60 min. Sau đó phần tử điều khiển nhiệt độ được đặt ở mức 200 °C và thiết bị được gia nhiệt thêm trong tcheck, 200 = 60 min nữa. Sau đó, phần tử điều khiển được đặt ở mức 250 °C và thiết bị được gia nhiệt thêm trong tcheck, 250 = 60 min nữa.
Bỏ qua mức của phần tử điều khiển đối với lò nướng. Nếu không có mức 250 °C thì tính đến mức đặt cao hơn tiếp theo. Nếu như mức đặt cao nhất thấp hơn 250 °C thì phải chọn mức đặt cao nhất có thể. Nếu phần tử điều khiển không ghi nhãn theo độ C thì phần tử điều khiển được đặt ở mức thích hợp có tính đến hướng dẫn sử dụng.
Thực hiện các phép đo không có chức năng gia nhiệt nhanh.
Nhiệt độ lò được ghi lại liên tục theo 7.1.
Nhiệt độ lò được xác định tương ứng là trung bình số học của nhiệt độ thấp nhất và nhiệt độ cao nhất đạt được trong 20 min cuối của tcheck.
Trung bình số học của nhiệt độ lò và các nhiệt độ thấp nhất và nhiệt độ cao nhất được ghi lại cho từng chế độ đặt.
7.4 Mức tiêu thụ điện năng và thời gian để gia nhiệt cho tải
7.4.1 Mục đích
Mục đích của thử nghiệm này là đo mức tiêu thụ điện năng và thời gian để gia nhiệt cho tải. Tải là một viên gạch bão hòa nước, mô phỏng cả đặc tính nhiệt và hàm lượng nước của thực phẩm (ví dụ như thịt).
Trước khi tiến hành đo, toàn bộ thiết bị (bao gồm cả vật liệu và cách nhiệt) phải ở nhiệt độ môi trường xung quanh là (23 ± 2) °C. Trong thiết bị nhiều khoang, phải đo riêng từng khoang lò. Chỉ đóng điện cho khoang cần đo.
7.4.2 Tải thử nghiệm
7.4.2.1 Quy định chung
Tải thử nghiệm là viên gạch có hai lỗ dùng cho phép đo nhiệt độ, như thể hiện trên Hình D.1.
7.4.2.2 Xử lý trước
Viên gạch mới phải được làm khô trước khi sử dụng lần đầu tiên trong lò có thể tích khoảng 50 L, có chức năng lưu thông không khí cưỡng bức ở nhiệt độ ≥ 175 °C trong 3 h. Làm khô không quá hai viên gạch trong cùng thời điểm trong cùng một lò.
CHÚ THÍCH 1: Viên gạch vẫn ẩm do thử nghiệm trước đó, cần tối thiểu 8 h để khô được như mô tả ở trên. Tuy nhiên, xem chú thích 1 của 7.4.2.3.
Khối lượng md (d nghĩa là khô) của toàn bộ viên gạch khô không có nhiệt ngẫu phải được đo trong thời gian 5 min sau khi lấy ra khỏi lò và phải được ghi lại bằng gam. Khối lượng khô md phải phù hợp với khối lượng khô quy định trong Điều D.1. Viên gạch phải được đánh dấu để tính toán chính xác mức hấp thụ nước theo 7.4.2.3.
Đánh dấu cách điểm đo của hai nhiệt ngẫu là 32 mm theo 5.3 và luồn các nhiệt ngẫu vào các lỗ cho tới khi chỗ đánh dấu vừa với bề mặt của viên gạch. Nhiệt ngẫu phải được cố định để đảm bảo điểm đo giữ nguyên vị trí ở độ sâu 32 mm trong toàn bộ quy trình thử nghiệm.

CHÚ DẪN:
a Vít có lỗ 1 mm
b ống thép
c điểm đo
d 32 mm
e đai ốc
Hình 7 - Ví dụ về nhiệt ngẫu dùng cho thử nghiệm 7.4
Được phép cố định nhiệt ngẫu bằng một giọt keo silicon tại bề mặt của viên gạch hoặc bằng phương pháp phù hợp khác.
Do tính chất xốp của viên gạch, cần phải cẩn thận để các lỗ của viên gạch không bị rộng ra khi lấy nhiệt ngẫu ra và luồn trở lại vào viên gạch.
CHÚ THÍCH 2: Viên gạch có thể sử dụng cho khoảng hai mươi thử nghiệm nếu được giữ gìn cẩn thận.
7.4.2.3 Chuẩn bị
Viên gạch đã được xử lý trước theo 7.4.2.2, phải được chuẩn bị cho phép đo điện năng như sau.
CHÚ THÍCH 1: Không nhất thiết phải xử lý trước viên gạch giữa các lần sử dụng. Viên gạch đạt xấp xỉ hàm lượng nước như nhau ở mỗi lần được nhúng vào nước.
Viên gạch phải được đặt vào bình chứa nước sao cho nó được ngâm hoàn toàn trong nước ở nhiệt độ thấp hơn 20 °C. Bình chứa nước cùng với viên gạch được đặt vào trong tủ lạnh trong thời gian tối thiểu là 8 h và được làm lạnh đến nhiệt độ trung tâm (cả hai nhiệt ngẫu) là (5 ± 2) °C.
Viên gạch nóng phải được để nguội trong không khí đến nhiệt độ tại tâm thấp hơn 25 °C trước khi đặt nó vào trong nước lạnh.
CHÚ THÍCH 2: Viên gạch nóng được đặt trực tiếp vào nước lạnh sẽ hấp thụ nhiều nước hơn đáng kể do hiệu ứng mao dẫn và độ nhớt của nước khác nhau ở những nhiệt độ khác nhau.
Giữa chuỗi các thử nghiệm, viên gạch cần được giữ trong tủ lạnh và tốt nhất là không thấm đẫm nước. Nước thấm đẫm viên gạch cần được giữ lại (để giảm quá trình hòa tan), tức là có thể sử dụng lại nước ngâm viên gạch.
Sau khi lấy viên gạch ra khỏi bình chứa nước, để nước thừa nhỏ giọt ra (trong thời gian khoảng 1 min). Sau đó đo khối lượng viên gạch ướt mw và xác định lượng nước được hấp thụ tính bằng gam, có tính đến khối lượng của nhiệt ngẫu, nếu có, bằng công thức ∆m = mw - md (w nghĩa là ướt hoặc nước; md được đo theo 7.4.2.2). Lượng nước hấp thụ phải như quy định trong Điều D.1.
Đo nhiệt độ của viên gạch. Cả hai nhiệt ngẫu phải có số đọc là (5 ± 2) °C.
7.4.3 Phép đo
7.4.3.1 Quy trình
Thực hiện ba thử nghiệm đối với từng chức năng gia nhiệt, nếu thuộc đối tượng áp dụng (xem 3.12 đến 3.14 và Bảng 1).
Trong trường hợp lò có một vài biến thể khác nhau về các chức năng như đã mô tả trong 3.12 đến 3.14, nhà chế tạo có thể lựa chọn biến thể để thử nghiệm. Điều này cần được báo cáo (xem 7.4.4). Đảm bảo rằng chức năng được sử dụng không kết hợp với vi sóng.
Thiết bị ở nhiệt độ môi trường, theo 7.4.1. Viên gạch được chuẩn bị theo 7.4.1, được đặt tại tâm hình học của khoang tính toán với bề mặt lớn nhất ở giữa trên vỉ được giao cùng với thiết bị, với các nhiệt ngẫu ở trên mặt phía trên. Vỉ được cài vào cơ cấu đỡ giá đỡ của thiết bị sao cho tâm của viên gạch gần nhất có thể với tâm nhưng không cao hơn tâm của khoang tính toán. Trục dài nhất của viên gạch phải song song với mặt trước của thiết bị.
Nếu không thể mua vỉ từ nhà chế tạo thiết bị thì cần sử dụng vỉ thích hợp, tuy nhiên, không phải là khay nướng, hộp hoặc dụng cụ tương tự.
Trong trường hợp vỉ có thể được cài vào hai vị trí khác nhau (ví dụ như lộn ngược lại tạo ra chiều cao khác), thì vị trí cần thực hiện để làm cho tâm của viên gạch gần với tâm của khoang nhất, nhưng không cao hơn.
Nhiệt ngẫu được đưa qua khe cửa sao cho cửa được đóng hoàn toàn mà không phải cần thêm lực.
Nếu thiết bị được chuẩn bị có các nhiệt ngẫu thì không vận hành thiết bị với chức năng phối hợp với năng lượng vi sóng. Công suất lò vi sóng liên kết đầu ra qua nhiệt ngẫu có thể làm hỏng thiết bị đo.
Bắt đầu phép đo bằng cách đóng điện thiết bị trong thời gian 3 min từ khi lấy viên gạch ra khỏi tủ lạnh. Cơ cấu điều khiển nhiệt độ được đặt ở các vị trí mà tại đó độ tăng nhiệt trung bình của lò
như đã xác định trong Bảng 1 có thể được kỳ vọng.
, là độ chênh lệch giữa nhiệt độ môi trường xung quanh trung bình và nhiệt độ lò thực tế (được đo theo 7.4.3.2); k = 1, 2, 3 (k là chỉ số tổng, i là hàm gia nhiệt)
Phải ghi lại nhiệt độ đặt
, trong đó
, là nhiệt độ đặt của bộ điều nhiệt và/hoặc số đọc hiển thị cơ cấu điều khiển (s là chế độ đặt).
Nếu các nấc nhiệt độ không được ghi nhãn rõ ràng thì nhiệt độ đặt cần được xác định bằng góc có tính đến của các dấu nhìn thấy được trên núm bằng cách sử dụng giấy ghi hệ tọa độ cực (xem Phụ lục I).
Nếu đặt nhiệt độ bằng núm thì cần luôn vặn núm từ không đến mức đặt yêu cầu.
Nhiệt độ môi trường trung bình trong quá trình thử nghiệm được xác định bằng trung bình số học của các nhiệt độ môi trường xung quanh khi bắt đầu thử nghiệm (tức là khi đóng mạch thiết bị) và khi nhiệt ngẫu sau trong hai nhiệt ngẫu trong viên gạch đạt đến độ tăng nhiệt trung tâm 55 K.
Bảng 1 - Chế độ đặt
| Độ tăng nhiệt | Chức năng gia nhiệt | ||
| Thông thường (ic) | Lưu thông không khí cưỡng bức (if) | Hơi nước nóng (ih) | |
|
| (140 ± 10) K | (135 ± 10)K | (135 ± 10) K |
|
| (180 ± 10) K | (155 ± 10) K | (155 ± 10) K |
|
| (220 ± 10)Ka | (175 ± 10) Ka | (175 ± 10) Ka |
| a hoặc độ tăng nhiệt lớn nhất nếu không thể đặt được giá trị này. | |||
Đo các dữ liệu sau đây:
- (các) mức tiêu thụ điện năng
; tính bằng kWh và (các) thời gian
; , tính bằng phút (min) và giây (s), nếu thích hợp, khi độ tăng nhiệt của nhiệt ngẫu sau trong hai nhiệt ngẫu trong viên gạch đạt đến 55 K, k = 1, 2, 3;
- nhiệt độ tâm của viên gạch, tính bằng Celius (°C);
- nhiệt độ môi trường xung quanh khi bắt đầu thử nghiệm (khi thiết bị được đóng điện) và khi kết thúc thử nghiệm (nghĩa là khi độ tăng nhiệt của nhiệt ngẫu sau trong hai nhiệt ngẫu trong viên gạch đạt đến 55 K), tỉnh bằng Celius (°C).
CHÚ THÍCH: Mức tiêu thụ điện năng của các thành phần như bóng đèn và quạt, được đóng điện tự động cùng với thiết bị, cũng được đưa vào trong phép đo.
7.4.3.2 Kiểm tra nhiệt độ lò
Sau thử nghiệm theo 7.4.3.1, lấy viên gạch ra khỏi thiết bị và cho thiết bị chạy mà không thay đổi mức đặt trong tcheck = 60 min. Nhiệt độ lò
được xác định theo 7.1 là trung bình số học của các nhiệt độ cao nhất và thấp nhất đạt được trong 20 min cuối của tcheck.
Nêu rõ nhiệt độ lò đo được 
Chênh lệch giữa
và
, được tính theo phương trình (1) và phương trình (2), trong đó n = 3.

phải ≤ 20 K
Nếu
> 20 K thì phải thực hiện thử nghiệm thêm trên ba thiết bị nữa, ba thiết bị này phải được lựa chọn ngẫu nhiên trên thị trường. Giá trị trung bình số học của các giá trị của ba thiết bị này không được lớn hơn 20 K.
CHÚ THÍCH: Dung sai 20 K là cần thiết do chuỗi dung sai dài (ví dụ như bộ điều nhiệt, đấu nối, công suất của các phần tử gia nhiệt, phần tử điều khiển và in), và thực tế là thang nhiệt độ bao gồm các chức năng gia nhiệt khác nhau.
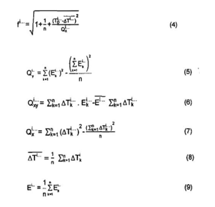
7.4.3.3 Xác nhận chấp nhận các kết quả thử nghiệm
Kết quả các thử nghiệm theo 7.4.3.1 chỉ được chấp nhận nếu
a) độ tăng nhiệt trung bình
nằm trong phạm vi các nhiệt độ được quy định trong Bảng 1, và
b) độ lệch chuẩn σi… được tính từ công thức (1) thấp hơn 0,050 kWh.
Nếu không, đối với chức năng thích hợp, tất cả các phép đo theo 7.4.2 phải được làm lại.
Độ lệch chuẩn σi… được tính từ các cặp dữ liệu Δ
; được đo theo 7.3.2.1 và tính theo công thức (1) đối với từng chức năng đã thử nghiệm, k = 1, 2, 3 (xem Sachs1)).

trong đó
n là số điểm đo (đối với mục đính của tiêu chuẩn này, n = 3);
1,2 là hệ số xấp xỉ đối với f.
CHÚ THÍCH: Đối với mục đính của tiêu chuẩn này,
chỉ có thể thay đổi trong khoảng từ 125 K đến 185 K đối với lưu thông không khí cưỡng bức và các chức năng đồ bằng hơi nước nóng, kết quả là hệ số f nằm trong khoảng 1,16 đến 1,21 và từ 130 K đến 230 K đối với chức năng gia nhiệt thông thường, kết quả là hệ số f nằm trong khoảng từ 1,155 đến 1,168.

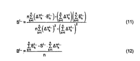
7.4.4 Đánh giá và tính toán
7.4.4.1 Mức tiêu thụ điện năng
Mức tiêu thụ diện năng
đối với độ tăng nhiệt tham chiếu
được tính bằng cách sử dụng phép hồi quy tuyến tính dựa trên các điểm dữ liệu đo được Δ
, theo công thức:

Trong đó:
là mức tiêu thụ điện năng danh nghĩa tính toán, tính bằng kW·h để gia nhiệt tải đối với các chức năng gia nhiệt khác nhau ic, if hoặc ih tại
;
= 180 K đối với chức năng gia nhiệt thông thường,
= 155 K đối với chức năng lưu thông không khí cưỡng bức cũng như chức năng đồ bằng hơi nước nóng:
Si… là độ dốc liên quan đến các chức năng gia nhiệt khác nhau ic, if hoặc ih, được tính theo công thức (2);
Bi… là đoạn thẳng tính toán theo công thức (3);

Trong đó
là độ chênh lệch nhiệt độ thực tế đối với các chức năng gia nhiệt khác nhau ic, if hoặc ih, như đã định nghĩa trong Bảng 1;
là mức tiêu thụ điện năng tính bằng kW·h được đo theo 7.4.3.1 ở
khác nhau đối với các chức năng gia nhiệt khác nhau ic, if hoặc ih;
n là số lượng các điểm đo, đối với mục đích của tiêu chuẩn này, n = 3.
Để có một ví dụ về các dữ liệu và bảng tính toán, xem Phụ lục E. Chương trình đánh giá Excel 97-20032), tương ứng trực tiếp với Phụ lục E, có sẵn trong tiêu chuẩn này để tính toán tự động mức tiêu thụ điện năng (xem 7.4). Các phép tính này có thể được thực hiện theo các chương trình bảng tính khác và cũng cho kết quả tương tự.
7.4.4.2 Thời gian để gia nhiệt tải
Thời gian để gia nhiệt tải phải được tính toán và xác định theo cách tương tự như mức tiêu thụ điện năng được tính và xác định theo 7.4.4.1.
Thay các giá trị E vào trong các công thức (10) đến (12) bằng các giá trị t thích hợp, tức là
- trong công thức (10), thay
bằng
và
- trong các công thức (12) và (10), thay
trong đó
là thời gian đo được, tính bằng phút (min) và giây (s), theo 7.4.3.1 ở các
khác nhau đối với các chức năng gia nhiệt khác nhau ic, if hoặc ih;
là thời gian danh nghĩa đã tính toán, tính bằng phút (min) và giây (s), để gia nhiệt tải đối với các chức năng gia nhiệt khác nhau ic, if hoặc ih tại
.
7.4.5 Báo cáo kết quả thử nghiệm
Đối với tất cả các chức năng gia nhiệt, phải báo cáo dữ liệu dưới đây:
a) kiểu thiết bị, (các) chức năng gia nhiệt có sẵn theo các điều từ 3.12 đến 3.14;
b) điện áp nguồn tại đó các phép đo đã được thực hiện;
c) chức năng hoặc biến thể đã được thử nghiệm;
d) (các) mức tiêu thụ điện năng tính bằng kW·h làm tròn đến hai chữ số thập phân, theo 7.4.4.1;
e) (các) thời gian tinh bằng phút (min) theo 7.4.4.2, được làm tròn đến nửa phút gần nhất;
f) lượng nước hấp thụ của viên gạch theo 7.4.2.3.
Dữ liệu này phải được báo cáo đối với các chức năng gia nhiệt theo các điều từ 3.12 đến 3.14 nếu thuộc đối tượng áp dụng. Đối với thiết bị có nhiều khoang, các giá trị phải được báo cáo riêng rẽ đối với từng khoang.
7.5 Phân bố nhiệt
7.5.1 Quy định chung
Phân bố nhiệt được đánh giá bằng các thử nghiệm của 7.5.2 hoặc 7.5.3, tùy thuộc vào kết cấu của lò và hướng dẫn sử dụng.
7.5.2 Bánh quy bơ
7.5.2.1 Mục đích
Mục đích của thử nghiệm này là đánh giá sự phân bố nhiệt bên trong thiết bị.
7.5.2.2 Nguyên liệu
500 g bột mì trắng, không có men nở
200 g bơ thực vật làm bánh với hàm lượng mỡ 80 %, hoặc bơ mặn
200 g đường cát trắng (cỡ hạt tối đa là 0,3 mm)
2 quả trứng (55g đến 60 g mỗi quả, nguyên vỏ)
3 g muối
7.5.2.3 Quy trình
Trộn bột, đường cát trắng và muối với nhau. Trộn bơ thực vật vào. Đánh trứng và đổ vào hỗn hợp bột, trộn nhẹ nhàng trong máy trộn thực phẩm cho tới khi khối bột mịn. Lấy khối bột ra khỏi bát trộn và nặn bột thành một khối. Đậy kín và cất vào tủ lạnh ở nhiệt độ (5 ± 2) °C trong ít nhất là 8 h. Lấy khối bột ra khỏi tủ lạnh, để khoảng 1 h trước khi chế biến thêm.
Đùn khối bột thành các dải bằng phụ kiện guồng xoắn sử dụng miệng phun như thể hiện trên Hình 8. Cắt các dải đến chiều dài vừa với khay nướng được cung cấp cùng với thiết bị hoặc theo khuyến cáo của nhà chế tạo. Đặt các dải bột bánh như thể hiện trên Hình 9 sao cho chúng song song với cửa của thiết bị.
Kích thước tính bằng milimét

Hình 8 - Hình dạng của miệng phun dùng để đùn bột bánh
Kích thước tính bằng milimét

Hình 9 - Vị trí của các dải bột bánh trên khay nướng
7.5.2.4 Phép đo sơ bộ
Tiến hành thử nghiệm sơ bộ nhằm xác định thời gian nướng thích hợp để đạt được độ chín vàng quy định.
Cơ cấu điều khiển được đặt theo hướng dẫn sử dụng đối với loại hỗn hợp này.
Nếu hướng dẫn không nêu thì cơ cấu điều khiển được đặt sao cho nhiệt độ lò tại tâm là 175 °C đối với lò hoạt động bằng lưu thông không khí cưỡng bức, và là 200 °C đối với lò hoạt động bằng đối lưu tự nhiên mà không gia nhiệt trước.
Khay nướng được đặt vào trong thiết bị theo hướng dẫn sử dụng. Nếu không có hướng dẫn thì khay nướng được bố trí càng chính giữa lò càng tốt. Khay nướng được lấy khỏi lò khi các dải bột đã đạt màu nâu vàng. Ghi lại thời gian nướng bánh.
Khay nướng được đặt trên vỉ và để nguội. Độ chín vàng của mặt trên cùng được đo bằng cách sử dụng thiết bị đo màu được quy định trong Phụ lục A hoặc bằng hệ thống đo digital theo 7.5.3.6.3. Các vòng tròn đường kính 20 mm được đo dọc theo chiều dài dải bánh, điểm bắt đầu và điểm kết thúc (liên quan đến tâm của vòng tròn) cách đầu mỗi dải khoảng 20 mm. Tiến hành phép đo theo các bước khoảng 50 mm. Trong trường hợp bề mặt tại những khu vực xác định bị hỏng do vỡ, rỗ, v.v... thì phép đo được dịch chuyển sang khu vực khác.
Tính độ chín vàng trung bình bằng cách chia tổng của các giá trị cho số lượng của chúng.
Thời gian nướng là thỏa đáng khi độ chín vàng trung bình ở mặt trên của các dải bánh tương quan với giá bị phản xạ Ry là (43 ± 5) %.
CHÚ THÍCH: Nhà cung cấp dụng cụ đo màu và các hệ thống đo digital được cho trong Phụ lục C.
7.5.2.5 Thử nghiệm phân bố nhiệt
Thực hiện theo quy trình các phép đo sơ bộ đã nêu, các dải bánh đang được nướng trong thời gian đã được xác định.
Các dải bánh được tách ra khỏi khay nướng trong khi vẫn còn nóng nhưng vẫn để ở vị trí ban đầu của chúng.
Nếu hướng dẫn nêu rõ rằng một số khay có thể được nướng cùng một lúc thì tiến hành thử nghiệm bổ sung với số lượng khay tối đa, thời gian nướng được tăng lên, nếu cần thiết.
7.5.2.6 Đánh giá
Trong vòng 1 h sau khi nướng, xác định độ chín vàng đối với cả mặt trên và mặt dưới của dải bánh như đã nêu trong phép đo sơ bộ.
Tính toán và nêu rõ các kết quả sau đây:
- mức chênh lệch tối đa về độ chín vàng ở mặt trên;
- mức chênh lệch tối đa về độ chín vàng ở mặt dưới;
- độ chín vàng trung bình ở mặt trên;
- độ chín vàng trung bình ở mặt dưới.
7.5.3 Bánh nhỏ
7.5.3.1 Mục đích
Thử nghiệm này được thiết kế để đánh giá sự phân bố nhiệt theo chiều thẳng đứng và chiều nằm ngang, đặc biệt là đối với hỗn hợp phồng lên trong quá trình nấu.
CHÚ THÍCH: Tiến hành thử nghiệm bằng cách sử dụng các điều kiện đo chung như đã nêu trong Điều 5.
7.5.3.2 Nguyên liệu
Lượng nguyên liệu dùng cho 30 đến 40 chiếc bánh nhỏ được chỉ ra trong Bảng 2. Để kết quả tái lập được, luôn chuẩn bị cùng một lượng và loại bỏ hỗn hợp thừa. Nên sử dụng các nguyên liệu được chỉ định trong Phụ lục C.
Bảng 2 - Nguyên liệu
| Nguyên liệu | Lượng g | Lưu ý |
| Bơ có hàm lượng chất béo (83 ± 2)% | 340 ± 0,5 | Nên sử dụng bơ không muối. Nếu không có bơ không muối thì thành phần muối trong bơ nên được giảm bớt trong lượng muối được cho vào hỗn hợp. |
| Đường trắng, mịn (cỡ hạt lớn nhất từ 0,10 đến 0,35 mm, d95/d05) | 340 ± 0,5 | d95/d05: 90 % tinh thể đường phải có cỡ hạt từ 0,10 mm đến 0,35 mm. |
| Trứng | 300 ± 1 | Trứng gà có kích cỡ trung bình, xấp xỉ (55 ± 5) g, được đập ra và rây cho đến khi đồng đều, sau đó cân. Nếu sử dụng hỗn hợp trứng đông lạnh thì áp dụng các hướng dẫn của Điều C.1. |
| Bột mì trắng không có men nở, chưa tẩy trắng. Thành phần khoảng: tối đa 0,5 % (chất khô) | 450 ± 1 | Gluten: tối thiểu 24 %. |
| Bột nở | 15 ± 0,5 | Sử dụng bột nở photphat (tác động kép) (không phải là natri hydrocacbonat) |
| Muối | 6 ± 0,1 |
|
| Nếu yêu cầu phải có nhiều hơn 40 chiếc bánh nhỏ thì cần sử dụng hai máy dùng cho nhà bếp giống hệt nhau làm cùng một lúc. CHÚ THÍCH: Trứng được rây để loại bỏ các dây treo lòng đỏ. | ||
7.5.3.3 Cốc giấy
Vì chất lượng giấy ảnh hưởng đến chiều cao và phân bố của việc nở ra của bánh, chỉ được sử dụng cốc giấy được quy định trong Phụ lục C để có các kết quả tái lập. Cốc giấy có đường kính đáy là 48 mm và cao 29 mm. Chúng được làm bằng giấy không thấm dầu được tẩy trắng có khối lượng riêng là 70 g/m2.
CHÚ THÍCH: Nhà cung cấp cốc giấy được chỉ định ở Phụ lục C.
7.5.3.4 Số lượng bánh nhỏ và vị trí trên khay nướng
Đo khay nướng theo 6.4 và chiếm tối thiểu 80 % chiều rộng hiệu dụng và 70 % chiều sâu hiệu dụng của khoang đo được theo 6.2. Nếu khay nướng được cung cấp cùng thiết bị hoặc khay nướng được khuyến cáo trong hướng dẫn vừa với các kích thước này thì sử dụng khay nướng đó. Nếu khay nướng được cung cấp cùng thiết bị hoặc khay nướng được khuyến cáo không vừa với điều kiện trên hoặc không đưa ra khuyến cáo thì phải sử dụng khay nướng vừa với điều kiện nêu trên, được làm bằng nhôm, không có lớp phủ, mờ, chiều dày (0,9 ± 0,1) mm, chiều cao miệng tối đa là 6 mm.
Chiều rộng và chiều sâu của khay nướng được đo theo 6.4 và mỗi chiều chia cho 75 mm để nhận được số lượng bánh nhỏ cần đặt dọc lần lượt theo các chiều cạnh của khay. Các con số được làm tròn xuống để nhận được số nguyên các bánh nhỏ. Nhân số bánh nhỏ theo chiều sâu với số bánh nhỏ theo chiều rộng để nhận được số bánh nhỏ tổng của cả khay.
VÍ DỤ
Chiều rộng là 470 mm chia cho 75 mm bằng 6,3. Kết quả cho 6 cột bánh nhỏ.
Chiều sâu là 295 mm chia cho 75 mm bằng 3,9. Kết quả cho 3 hàng bánh nhỏ.
Như vậy, tổng số bánh nhỏ trên khay là 18.
Đáy của các bánh nhỏ ngoài cùng phải ở cách mép của vùng hữu dụng của khay nướng đo được theo 6.4, xấp xỉ 14 mm. Phân bố các bánh nhỏ đều trên khay sao cho chúng không chạm vào nhau.
Tuân thủ các hướng dẫn của nhà chế tạo về số lượng khay nướng có thể nướng cùng một lúc.
7.5.3.5 Quy trình
Trước khi bắt đầu, tất cả các nguyên liệu phải ở nhiệt độ môi trường xung quanh.
Đánh bơ và đường với nhau trong máy trộn thực phẩm cho tới khi hỗn hợp này trở nên mịn và có màu nhạt sao cho toàn bộ đường tan trong hỗn hợp. Cho từ từ trứng vào hỗn hợp. Trộn nhẹ bột, bột nở và muối đã rây vào hỗn hợp; xới hỗn hợp như yêu cầu từ mép bát để đảm bảo hỗn hợp đồng đều.
Ngay sau khi trộn, nhiệt độ của hỗn hợp phải là (23 ± 2) °C.
CHÚ THÍCH 1: Máy trộn thực phẩm thích hợp mà thời gian trộn đã được xác định, được chỉ ra trong Phụ lục C.
Đảm bảo các cốc giấy duy trì hình dạng tròn đồng nhất bằng cách bóc cẩn thận các cốc từ phần ngoài của lô cốc giấy mà không làm méo.
Cân (28 ± 0,5) g của hỗn hợp vào tâm của cốc giấy và đặt chúng ngay ngắn trên khay nướng. Nướng ngay lập tức.
CHÚ THÍCH 2: Tiến hành thử nghiệm bằng cách sử dụng các giá trị đặt điều khiển nhiệt độ đã được hiệu chỉnh theo các chênh lệch được xác định tại thử nghiệm của 7.3.
a) Nướng một tầng
Tuân thủ hướng dẫn vận hành về chức năng gia nhiệt, nhiệt độ, vị trí giá đỡ và gia nhiệt trước. Nếu có khuyến cáo gia nhiệt trước thì đặt các bánh nhỏ vào thiết bị khi kết thúc giai đoạn gia nhiệt trước được chỉ ra, ví dụ như bằng tín hiệu nhìn thấy được hoặc tín hiệu âm thanh, hoặc sau thời gian gia nhiệt trước được khuyến cáo. Nếu không có hướng dẫn được đưa ra thì thiết bị được đặt ở nhiệt độ là 160 °C đối với chức năng lưu thông không khí cưỡng bức hoặc ở 185 °C đối với chức năng gia nhiệt thông thường và đặt khay nướng ở giữa thiết bị nguội. Trong khi đang nướng các bánh nhỏ thì không được thay đổi vị trí khay nướng.
Thời gian nướng không được vượt quá 40 min khi nướng một tầng (kể cả thời gian gia nhiệt trước).
b) Nướng hai tầng
Các khay nướng được đặt đồng thời vào trong thiết bị, khay này bên trên khay kia và được lấy ra đồng thời khi kết thúc quá trình nướng. Trong khi đang nướng các bánh nhỏ thì không được thay đổi vị trí của khay nướng. Tuân thủ các hướng dẫn vận hành về chức năng gia nhiệt, nhiệt độ, vị trí giá đỡ và gia nhiệt trước. Nếu có khuyến cáo gia nhiệt trước thì các bánh nhỏ được đặt vào trong thiết bị khi kết thúc giai đoạn gia nhiệt trước được chỉ định, ví như như bằng tín hiệu nhìn thấy được hoặc tín hiệu âm thanh, hoặc sau thời gian gia nhiệt trước được khuyến cáo.
Nếu không có hướng dẫn về các bánh nhỏ ở hai tầng thì đặt thiết bị ở nhiệt độ 160 °C đối với chức năng lưu thông không khí cưỡng bức về và các khay nướng được đặt cách đều nhau trong thiết bị nguội. Vị trí theo chiều nằm ngang của các khay nướng phải ở giữa vùng đáy khoang. Vị trí theo chiều thẳng đứng của khay phải cách một phần ba và hai phần ba của chiều cao hiệu dụng càng gần càng tốt mà không thay đổi giá kệ.
CHÚ THÍCH 3: Không thực hiện nướng hai tầng đối với các khoang lò nhỏ, như định nghĩa ở 3.10.
Thời gian nướng không vượt quá 50 min khi nướng hai tầng (bao gồm cả thời gian gia nhiệt trước).
c) Nướng nhiều hơn hai tầng
Nếu hướng dẫn vận hành khuyến cáo nướng nhiều hơn hai tầng cùng một lúc thì bánh được nướng theo hướng dẫn (chức năng gia nhiệt, nhiệt độ, vị trí giá đỡ, thời gian gia nhiệt trước và thời gian nướng).
7.5.3.6 Đánh giá
7.5.3.6.1 Quy định chung
Trong thời gian 30 min sau khi nướng, các cốc giấy được bóc ra rất cẩn thận sao cho có thể đánh giá được vùng đáy lớn nhất có thể. Để đánh giá theo 7.5.3.6.3, tối thiểu 50 % đáy không được hư hại. Nếu không phải lặp lại thử nghiệm.
CHÚ THÍCH: Làm nguội nhanh các bánh nhỏ có thể giúp cho việc loại bỏ sạch cốc giấy.
Độ chín vàng ở mặt trên cùng và đáy của các bánh nhỏ, chênh lệch về độ chín vàng giữa các mặt trên cùng và đáy của bánh, và độ phồng đều được đánh giá trong khoảng thời gian 1 h sau khi nướng. Nếu các bánh nhỏ đã được nướng ở nhiều tầng cùng một lúc thì phải đánh giá riêng từng khay (kết quả đơn lẻ) và chúng cũng được đánh giá cùng nhau (kết quả tổng thể).
Yêu cầu về kết quả của các bánh nhỏ này được nướng một hoặc nhiều tầng là khác nhau. Điều này phải được xem xét trong việc đánh giá.
7.5.3.6.2 Đánh giá bằng thị giác
Đối với kết quả so sánh, việc đánh giá độ chín vàng có thể được thực hiện bằng cách kiểm tra bằng mắt bằng cách sử dụng các tiêu chí đánh giá trong 7.5.3.6.4
Các con số về sắc thái trong Bảng B.1 được sử dụng để đánh giá độ chín vàng. Để kiểm tra bằng mắt, phải sử dụng cùng màu nền và độ rọi đối với từng khay.
7.5.3.6.3 Đánh giá bằng digital
Để có các kết quả tái lập về đánh giá độ chín vàng, phải sử dụng hệ thống đo digital bất kỳ đáp ứng các yêu cầu sau đây khi thực hiện các phép đo.
a) Độ đồng đều của phân bố ánh sáng trên vùng đo
Giá trị phản xạ RY của biểu đồ sắc thái đồng nhất phải được đo trên toàn bộ bề mặt cần được phân tích, ví dụ như, kích thước của khay nướng hoặc của một chiếc bánh nhỏ. Biểu đồ sắc thái phải được tô theo số sắc thái 10, được định nghĩa trong Phụ lục B.
Xác định giá trị trung bình của giá trị phản xạ RY trên toàn bộ bề mặt. Hơn 90% toàn bộ bề mặt có thể sai lệch đến ± 5% so với giá trị trung bình. Dưới 10% toàn bộ bề mặt có thể sai lệch đến ± 8% so với giá trị trung bình.
Toàn bộ bề mặt được chia thành các phần 1 cm2. Giá trị trung bình của các phần 1 cm2 không được sai lệch hơn ± 5% giá trị trung bình của toàn bộ bề mặt.
CHÚ THÍCH 1: Số sắc thái 10 được sử dụng để kiểm tra chất lượng về độ rọi bởi vì nó là sắc thái mong muốn nhất
CHÚ THÍCH 2: Có thể đo riêng từng bánh nhỏ.
b) Công nhận màu sắc tham chiếu
Các số sắc thái được định nghĩa trong Phụ lục B phải được xác nhận ở tất cả các vị trí của bề mặt cần đánh giá.
Điều này được đảm bảo bằng cách sử dụng kiểm tra sau đây:
Các mẫu màu đã được hiệu chỉnh hình tròn phẳng có đường kính 70 mm ở mỗi số sắc thái được định nghĩa trong Phụ lục B được đặt ở độ cao 28 mm. Giá trị phản xạ RY của mẫu màu đã được hiệu chỉnh phải được đo ở các góc của vùng cần đánh giá (nơi đặt các bánh nhỏ phía ngoài cùng trong quá trình đo) cũng như ở trung tâm.
Giá trị phản xạ RY của các mẫu màu đã được hiệu chính phải được đo với các sai lệch đã cho trong Phụ lục B.
CHÚ THÍCH 3: Để đảm bảo các điều kiện chiếu sáng và chiều dài tiêu cự được sử dụng để việc đánh giá có thể so sánh được, các mẫu màu được bố trí ở độ cao 28 mm.
CHÚ THÍCH 4: Cũng có thể sử dụng các mẫu màu vuông có chiều dài 70 mm và chiều rộng 70 mm.
CHÚ THÍCH 5: Không quy định các chi tiết kỹ thuật để mở đường cho tiến bộ kỹ thuật (ví dụ như máy ảnh, phần mềm).
c) Công nhận màu sắc nhất quán trên bề mặt lồi
Mẫu màu sắc lồi (Hình dạng như chỉ ra trên Hình 10) với một bề mặt hoàn thiện nhẵn và mờ được sơn theo sắc thái số 10, được đặt ở độ cao 13 mm tại các góc của vùng cần đánh giá (tại nơi mà bánh nhỏ ngoài cùng được đặt trong quá trình đo) cũng như tại tâm. Giá trị phản xạ được đo ở 13 phần (được xác định theo Hình 11). Tính giá trị trung bình của các giá trị phản xạ của tất cả các phần ở mỗi vị trí. Các giá trị quá mức có thể sai lệch ± 9 % so với giá trị bung bình.
Định nghĩa về mẫu màu lồi: quả cầu có bề mặt nhẵn và đường kính là 100 mm được cắt ở độ sâu 15 mm, như mô tả trên Hình 10, và mặt cắt nhỏ hơn được sử dụng làm mẫu màu lồi.
Bề mặt của mâu màu lồi nên < 35 giá trị bóng phản chiếu đối với góc 85° (theo ISO 2813).
CHÚ THÍCH 6: Để đảm bảo điều kiện chiếu sáng và chiều dài tiêu cự sẽ được sử dụng để việc đánh giá là có thể so sánh, các mẫu màu lồi (chiều cao của mẫu màu lồi là 15 mm) được bố trí ở chiều cao 13 mm (chiều cao tổng ở điểm cao nhất là 28 mm).
Kích thước tính bằng milimét

Hình 10 – Mẫu màu lồi
d) Xác định độ rọi
Thực hiện phép đo dưới đèn huỳnh quang phổ toàn phần ba dải hoặc nguồn sáng tương đương có nhiệt độ màu từ 5 700 K đến 7 000 K, có chỉ số hoàn màu Ra > 90 % độ rọi.
CHÚ THÍCH 7: Các nhà cung cấp bóng đèn phù hợp được chỉ ra trong Phụ lục C.
CHÚ THÍCH 8: Các nhà cung cấp các hệ thống đo màu đáp ứng các yêu cầu này, được cho trong Phụ lục C.
7.5.3.6.4 Tiêu chí đánh giá (digital và bằng thị giác)
Các tiêu chí dưới đây có liên quan đến việc đánh giá:
a) Đánh giá mặt trên cùng của bánh nhỏ
Mặt trên cùng của từng bánh nhỏ được chia thành 13 phần có kích thước gần như bằng nhau, như được thể hiện ở dạng sơ đồ trên Hình 11.
Các giá trị được thích ứng với kích thước và hình dạng của từng bánh nhỏ.

| CHÚ DẪN: |
|
| D1 Kích thước của bánh nhỏ |
|
| D2 Kích thước của phần giữa |
|
| D3 Kích thước của phần trung tâm |
|
| Hình 11 - Mẫu để chia phần các bánh nhỏ | |
Trung bình số học của giá trị phản xạ RY được tính toán cho toàn bộ diện tích cửa từng phần. Số sắc thái được xác định theo Phụ lục B và được ghi lại đối với từng phần.
1) Độ chín vàng có thể chấp nhận được trên mặt trên cùng
Độ chín vàng trung bình trên mặt trên cùng của từng khay bánh và của tất cả các khay được nướng đồng thời được tính bằng cách chia tổng của các số sắc thái cho mười ba lần số lượng bánh nhỏ.
| Độ chín vàng trung bình = | Tổng các con số sắc thái |
|
| 13 x số lượng bánh |
Độ chín vàng trung bình trên mặt trên cùng được ghi lại đến một chữ số thập phân (các kết quả riêng lẻ đối với từng khay và kết quả tổng thể).
Các kết quả thử nghiệm theo 7.5.3 chỉ được chấp nhận nếu độ chín vàng trung bình trên mặt trên cùng của tất cả các khay được nướng đồng thời nằm trong dải từ 9,5 đến 10,5. Nếu không phải lặp lại thử nghiệm với chế độ đặt được sửa đổi lại. Nếu thời gian nướng vượt quá 40 min (kể cả thời gian gia nhiệt trước) đối với nướng một tầng hoặc 50 min (kể cả thời gian gia nhiệt trước) đối với nướng lần lượt hai tầng thì nhiệt độ lò phải được tăng lên cho phù hợp.
Độ chín vàng trung bình nên nằm trong dải đã cho để kết quả có thể so sánh được.
2) CPB (bánh chín vàng đúng màu) trên mặt trên cùng
Tất cả các bánh có ít nhất một phần có số sắc thái nằm ngoài dải từ 8 đến 12 đều không được đưa vào.
CPB = số lượng bánh mà ở đó tất cả các phần đều có số sắc thái nằm trong khoảng từ 8 đến 12
3) PPB (tỉ lệ phần trăm chín vàng đúng màu) trên mặt trên cùng
PPB = CPB/tổng số bánh x 100 %
4) Chênh lệch độ chín vàng bốn mặt trên cùng
Chênh lệch lớn nhất giữa các số sắc thái của tất cả các phần được xác định và được báo cáo là độ chênh lệch độ chín vàng trên mặt trên cùng của riêng từng khay nướng và của tất cả các khay được nướng cùng một lúc (kết quả trên mỗi khay và kết quả tổng thể).
b) Đánh giá về đế bánh
Xác định giá trị phản xạ RY đối với phần không bị hỏng của từng đế bánh nhỏ. Con số sắc thái được xác định theo Phụ lục B và ghi lại đối với từng bánh nhỏ.
Tối thiểu 50 % đế của từng bánh nhỏ không bị hỏng sau khi lấy ra khỏi cốc giấy. Nếu không phải lặp lại thử nghiệm.
1) Độ chín vàng trung bình trên mặt đáy
Độ chín vàng trung bình trên mặt đáy đối với riêng từng khay và của tất cả các khay được nướng đồng thời được tính bằng cách lấy tổng các số sắc thái chia cho số bánh.
| Độ chín vàng trung bình trên mặt đáy = | Tổng các con số sắc thái |
| Số bánh |
Độ chín vàng trung bình trên mặt đáy được báo cáo đến một chữ số thập phân (kết quả riêng trên mỗi khay và kết quả tổng thể).
2) Chênh lệch về độ chín vàng trên mặt đáy
Xác định chênh lệch về độ chín vàng lớn nhất giữa các số sắc thái và báo cáo như chênh lệch độ chín vàng trên mặt đáy của riêng từng khay nướng và đối với tất cả các khay được nướng đồng thời (kết quả riêng trên mỗi khay và kết quả tổng thể).
c) Đánh giá chênh lệch độ chín vàng giữa mặt trên và mặt đáy (mặt trên - mặt đáy)
Chênh lệch độ chín vàng giữa mặt trên và mặt đáy được tính bằng cách lấy độ chín vàng trung bình trên mặt bên trừ đi độ chín vàng trung bình trên mặt đáy.
Mặt trên - mặt đáy = | độ chín vàng trung bình trên mặt trên - độ chín vàng trung bình trên mặt đáy |
Chênh lệch độ chín vàng giữa mặt trên và mặt đáy (giá trị tuyệt đối) được báo cáo đối với riêng từng khay và đối với tất cả các khay được nướng đồng thời (các kết quả riêng lẻ trên mỗi khay và kết quả tổng thể).
d) Đo chiều cao của các bánh nhỏ
Đo điểm cao nhất của từng bánh nhỏ và báo cáo lại bằng milimét. Việc cắt hoặc đâm bằng dao không làm ảnh hưởng đến chiều cao của bánh.
Chiều cao nhỏ nhất và chiều cao lớn nhất phải được ghi lại đối với riêng từng khay.
7.6 Khả năng cấp nhiệt
7.6.1 Bánh xốp không chất béo
7.6.1.1 Mục đích
Mục đích của thử nghiệm này là đánh giá độ đồng đều của nguồn cấp nhiệt bằng cách nấu một tải trung bình ở nhiệt độ trung bình.
CHÚ THÍCH: Thử nghiệm này chỉ áp dụng cho thử nghiệm so sánh.
7.6.1.2 Nguyên liệu
100 g bột mì trắng không có men nở
100 g bột ngô
3 g bột nở
150 g đường cát trắng (cỡ hạt tối đa 0,3 mm)
3 quả trứng (55g đến 60 g, nguyên vỏ)
30 mL nước (xấp xỉ 45 °C)
Các nguyên liệu này đủ để làm một chiếc bánh.
7.6.1.3 Quy trình
Tách riêng lòng trắng trứng với lòng đỏ.
Đánh lòng trắng trứng với nước cho tới khi đạt được độ bông cứng. Cho thêm đường và lòng đỏ trứng và đánh trong 2,5 min. Rây bột mỳ, bột ngô và bột nở cùng nhau và quấy nhẹ trong hỗn hợp trứng và đường.
Lót giấy không thấm dầu lên đáy của hộp nướng không bôi dầu mỡ. Hộp được làm bằng thép nhuộm đen không có lớp phủ chống dính, không tráng men và có đường kính đáy trong là (260 ± 15) mm và chiều cao là (65 ± 10) mm. Dùng thìa múc khối bột nhão và phân chia để có độ dày đồng đều. Làm theo hướng dẫn sử dụng đối với loại bánh này, về gia nhiệt trước, đặt vào trong thiết bị và đặt cơ cấu điều khiển. Nếu không có hướng dẫn thì đặt bánh càng gần với tâm của khoang càng tốt và đặt chế độ điều khiển sao cho nhiệt độ lò là 150 °C đối với lò hoạt động bằng lưu thông không khí cưỡng bức và 175 °C đối với lò hoạt động bằng đối lưu tự nhiên. Sau khi nướng trong thời gian khoảng 35 min, lấy bánh ra khỏi thiết bị và để bánh nguội. Lấy bánh ra khỏi hộp và bóc cẩn thận lớp giấy không thấm dầu.
Nếu hướng dẫn sử dụng nêu rõ có thể nướng bánh nhiều hơn một tầng thì tiến hành thử nghiệm tương ứng.
7.6.1.4 Đánh giá
Biểu đồ sắc thái của Phụ lục B được sử dụng để đánh giá độ chín vàng. Bỏ qua các phần không đều nhỏ.
Nêu rõ các kết quả sau:
- Mức chênh lệch lớn nhất về độ chín vàng trên mặt trên;
- Mức chênh lệch lớn nhất về độ chín vàng trên mặt đáy.
Cắt bánh theo chiều thẳng đứng qua tâm bánh và đánh giá việc nướng. Đo chiều cao của bánh tại tâm về tại các điểm thấp nhất và cao nhất ở rìa bánh.
Đánh giá nướng bánh bao gồm cả đánh giá bằng mắt về độ dày của vỏ bánh, các vết nứt, vết lõm và kết cấu. Kết quả nướng có thể được dẫn chứng bằng các bức ảnh.
7.6.2 Bánh táo
7.6.2.1 Mục đích
Mục đích của thử nghiệm này là đánh giá khả năng cấp đủ nhiệt để nướng tải nặng.
CHÚ THÍCH: Thử nghiệm này chỉ áp dụng cho thử nghiệm so sánh.
7.6.2.2 Nguyên liệu
Bột nhão
300 g bột mì trắng không có men nở
175 g bơ, có hàm lượng chất béo (83 ± 2) % (có muối)
75 g đường cát trắng (cỡ hạt tối đa 0,3 mm)
1 quả trứng (55 g đến 60 g, nguyên vỏ)
≤ 50 mL nước
Nhân:
25 g vụn bánh mì trắng
50 g nho khô không hạt
400 g táo tươi để làm bánh (khối lượng đã chế biến)
75 g đường cát trắng, cỡ hạt tối đa 0,3 mm
Các nguyên liệu này đủ để làm một chiếc bánh.
7.6.2.3 Quy trình
Trộn bột và đường với nhau và nhào với bơ. Cho thêm trứng đã đánh và nước đủ để gắn kết thành khối bột nhão mềm. Trộn cho tới khi đạt được thể đồng nhất thì nhào bột thành một khối tròn. Bọc và cất giữ trong ít nhất nửa giờ trong tủ lạnh ở nhiệt độ (5 ± 2) °C. Gọt vỏ, tách lõi và cắt táo thành các lát có chiều dày xấp xỉ 13 mm.
Lấy khối bột ra khỏi tủ lạnh và chia chúng theo tỷ lệ hai phần ba và một phần ba. Lăn dàn từng phần đến độ dày 5 mm nhưng không cần nhào bột lần nữa. Sử dụng phần lớn hơn dàn lên phần đáy và thành của hộp nướng có đường kính đáy trong là (200 ± 15) mm và chiều cao là (50 ± 15) mm. Hộp được làm bằng thép, nhuộm đen nhưng không có lớp phủ chống dính và không tráng men.
Rắc đều vụn bánh mì lên khối bột. Xếp đều các lát táo, nho khô và đường lên trên vụn bánh mỳ, nhồi chúng xuống cẩn thận. Phủ mặt trên bằng lớp bột còn lại. Ấn kín và cắt các mép. Tạo đường rạch ở mặt trên để thoát hơi.
Làm theo hướng dẫn sử dụng đối với loại bánh này về gia nhiệt trước, đặt trong lò, đặt chế độ của cơ cấu điều khiển và thời gian nướng. Nếu không có hướng dẫn thì bánh được đặt càng gần với tâm của khoang càng tốt và cơ cấu điều khiển được đặt sao cho nhiệt độ lò trung bình là 160 °C đối với lò lưu thông không khí cưỡng bức và 185 °C đối với lò đối lưu tự nhiên và bánh được để trong thiết bị cho tới khi chín.
Trong lò lưu thông không khí cưỡng bức, sử dụng số lượng giá đỡ tối đa theo hướng dẫn sử dụng, một bánh được đặt lên một giá đỡ. Tất cả các bánh được lấy ra khỏi thiết bị cùng một lúc.
Trong lò đối lưu tự nhiên, nướng đồng thời tới hai bánh, theo hướng dẫn sử dụng, trên một giá hoặc hai giá đỡ riêng biệt. Nếu sử dụng hai giá đỡ riêng biệt thì có thể trước tiên lấy một bánh ra khỏi thiết bị và đưa bánh còn lại vào vị trí. Ngoài ra, các bánh có thể được đổi chỗ lẫn nhau một lần.
CHÚ THÍCH: Chỉ nướng được một bánh nếu trong thiết bị không có đủ không gian để nướng đồng thời hai chiếc bánh.
7.6.2.4 Đánh giá
Bánh được lấy ra khỏi thiết bị và để nguội.
Độ chín vàng đồng đều trên mặt trên và trên mặt đáy của bánh được đánh giá bằng cách sử dụng thiết bị đo màu quy định trong Phụ lục A hoặc theo biểu đồ sắc thái quy định trong Phụ lục B.
Các kết quả dưới đây được nêu rõ:
- mức chênh lệch lớn nhất về độ chín vàng trên mặt trên;
- mức chênh lệch lớn nhất về độ chín vàng trên mặt đáy.
Cắt bánh theo chiều thẳng đứng và đánh giá để kiểm tra xem ruột bánh đã đủ chín chưa Nêu rõ thời gian nướng.
8 Lò hấp và lò hấp kết hợp
CHÚ THÍCH: Chỉ áp dụng thử nghiệm này cho thử nghiệm so sánh.
8.1 Khả năng cấp hơi nước
8.1.1 Mục đích
Mục đích của thử nghiệm này là đánh giá khả năng cấp đủ hơi nước để hấp một tải nhỏ hoặc tải rau xanh có thể so sánh được bằng cách so sánh màu sắc của tải với màu sắc của đầu dò tham chiếu.
CHÚ THÍCH: Tải càng có nhiều màu sắc sai lệch so với đầu đo tham chiếu thì khả năng cấp hơi nước càng thấp.
CHÚ THÍCH 2: Các thử nghiệm trong Điều 8 áp dụng cho lò hấp kết hợp, nếu có chức năng hấp, và cho lò hấp.
8.1.2 Nguyên liệu và phụ kiện tạo hơi nước
Thực hiện các phép đo với (300 ± 10) g bông cải xanh tươi có màu lục đồng đều, chia thành các bông nhỏ bằng nhau. Các bông nhỏ có đường kính từ 35 mm đến 45 mm. Cắt ngắn các cuống, nhưng không làm bông rơi ra thành các mảnh. Chiều dài cuống xấp xỉ 5 mm là cần thiết để xác định là đủ độ chín tới. Không rửa bông cải xanh.
CHÚ THÍCH 1: Đối với thử nghiệm so sánh, chỉ sử dụng bông cải xanh từ lô được mua từ cùng một nhà cung cấp ở cùng thời điểm và được lưu kho ở cùng điều kiện cho tới khi cần dùng cho các thử nghiệm.
CHÚ THÍCH 2: Loại bỏ các phần nhỏ màu vàng.
CHÚ THÍCH 3: Các bông lớn có thể được cắt thành các mảnh nhỏ để đỡ lãng phí.
CHÚ THÍCH 4: Nước rửa có thể ảnh hưởng đến kết quả.
Các bông cải phải ở nhiệt độ môi trường xung quanh.
Sử dụng phụ kiện theo hướng dẫn của nhà chế tạo. Nếu không cung cấp các phụ kiện và không có hướng dẫn gửi kèm thì lấy một vật đựng bằng thủy tinh hình vuông có chiều cao (50 ± 10) mm và kích thước đáy ngoài là 250 mm x 250 mm.
8.1.3 Quy trình
8.1.3.1 Đầu đo tham chiếu
Chuẩn bị một đầu đo tham chiếu và một đầu đo chính.
Sử dụng vùng nấu có đường kính ≥ 180 mm và ≤ 220 mm và công suất là (1 700 ± 200) W. Lấy một nồi nấu bằng thép không gỉ có đường kính đáy ngoài là (220 ± 10) mm. Đổ xấp xỉ 400 g nước, đậy nắp và gia nhiệt cho nước ở chế độ đặt công suất lớn nhất.
Khi nước bắt đầu sôi, đặt vào một rổ hấp chứa (300 ± 10) g các bông cải xanh đã chuẩn bị.
CHÚ THÍCH 1: Nhà cung cấp rổ hấp thích hợp được chỉ ra trong Phụ lục C.
Hấp bông cải xanh ở chế độ đặt lớn nhất cho tới khi cuống của các bông cải chín sần sật (độ chín tham chiếu).
CHÚ THÍCH 2: Chín sần sật nghĩa là đã hấp chín nhưng cuống vẫn cứng và giòn và các bông chưa nhừ.
Sau khi hấp, bông cải xanh được lấy ra.
CHÚ THÍCH 3: Đối với thử nghiệm so sánh, lý tưởng là (các) đầu đo tham chiếu và đầu đo chính được hấp cùng lúc.
8.1.3.2 Đầu đo chính
Nhiệt độ của nước là (15 ± 1) °C.
Đối với thiết bị không có nguồn cấp nước sạch được lắp cố định thì ngăn chứa nước phải được đổ đầy nước đến mức tối đa.
Phân bố (300 ± 10) g bông cải xanh tươi đều lên phụ kiện.
Hấp theo hướng dẫn của nhà chế tạo đối với loại thực phẩm này liên quan đến chức năng hấp, nhiệt độ, vị trí giá và gia nhiệt trước. Nếu gia nhiệt trước được khuyến cáo thì đặt bông cải xanh vào lò hấp khi kết thúc thời gian gia nhiệt trước được chỉ ra, ví dụ như bằng tín hiệu nhìn thấy được hoặc tín hiệu âm thanh, hoặc sau thời gian gia nhiệt trước được khuyến cáo.
Nếu không có hướng dẫn được đưa ra:
- đặt chế độ hấp;
- điều chỉnh nhiệt độ đến chế độ đặt cao nhất có thể ≤ 100 °C;
- đặt phụ kiện vào giữa khoang. Giữa khoang được tính toán theo 6.2;
- không gia nhiệt trước.
Hấp bông cải xanh cho tới khi độ chín tới của đầu đo chính tương tự với độ chín tới của đầu đo tham chiếu. Đầu đo chính cũng phải chín sần sật.
Chỉ cho phép so sánh các kết quả thử nghiệm có độ chín tới gần như tương tự.
Nếu độ chín tới của đầu đo chính và đầu đo tham chiếu chênh lệch nhau thì lặp lại thử nghiệm bằng cách thích nghi thời gian nấu của đầu đo chính.
CHÚ THÍCH: Có thể cần có các thử nghiệm sơ bộ để đạt được độ chín tới mong muốn của đầu đo.
Trong khi hấp bông cải xanh, không được thay đổi vị trí của phụ kiện.
Sau quá trình hấp, bông cải xanh được lấy ra.
8.1.4 Đánh giá
Tiến hành đánh giá ngay sau khi hấp và phải hoàn thành việc đánh giá không quá 5 min sau khi hấp.
Sau quá trình hấp, độ chín tới phải được đánh giá với các bông cải có cùng kích cỡ. Đối với thử nghiệm so sánh, nhất thiết là tất cả các đầu đo đều có cùng độ chín tới như đầu đo tham chiếu (xem 8.1.3.1).
Nếu độ chín tới phù hợp, xác định màu sắc của đầu đo chính và đầu đo tham chiếu như sau:
- chỉ kiểm tra phía trên của các bông cải xanh, không quan tâm đến phần dưới và cuống;
- tìm những biểu đồ sắc thái trong Hệ thống Màu Tự nhiên (NCS®©3) đặc trưng cho các màu của đầu đo chính và đầu đo tham chiếu bằng cách sử dụng các biểu đồ sắc thái quy định trong Phụ lục F; màu phải nhìn thấy được trong một vùng tập trung, không quan tâm đến các bông cải đơn lẻ;
- nêu rõ những phần màu vàng Gmain và GR theo % (xem ví dụ trong Phụ lục F, Chú thích 3);
- tính độ chênh lệch ∆Gsupply như dưới đây và thể hiện bằng %:
∆Gsupply = | Gmain - GR | (13)
trong đó:
Gmain là phần màu vàng của đầu đo chính;
GR là phần màu vàng của đầu đo tham chiếu;
∆Gsupply độ chênh lệch giữa Gmain và GR.
Độ chênh lệch ∆Gsupply chỉ ra khả năng cung cấp hơi nước của thiết bị. ∆Gsupply càng lớn thì khả năng cấp hơi càng thấp.
Mức tiêu thụ nước được ghi lại bằng đồng hồ đo nước hoặc bằng cách đo lượng nước dư của ngăn chứa và bộ tạo hơi nước.
CHÚ THÍCH: Nước dư là nước có thể sử dụng cho các quy trình nấu tiếp theo.
Dữ liệu sau được nêu rõ:
- ∆Gsupply;
- thời gian nấu (kể cả thời gian gia nhiệt trước);
- mức tiêu thụ điện năng tính bằng W·h (kể cả gia nhiệt trước);
- mức tiêu thụ nước;
- ngăn chứa nước có được nạp đầy lại trong quá trình tạo hơi nước hay không.
8.2 Phân bố hơi nước
8.2.1 Mục đích
Mục đích của thử nghiệm này là đánh giá sự phân bố hơi nước theo chiều nằm ngang và như một tùy chọn, sự phân bố hơi nước theo chiều thẳng đứng.
CHÚ THÍCH: Ứng dụng chỉnh của lò hấp thường là hấp một tầng. Một số lò hấp cho phép hấp đồng thời nhiều tầng.
Sự phân bố hơi nước trở nên rõ ràng theo sự phân bố các màu lục của bông cải xanh đã hấp. Màu sắc của bông cải xanh càng khác nhau nhiều thì sự phân bố hơi nước càng không đồng đều.
Hơn nữa, đầu đo chính được so sánh với đầu đo tham chiếu nhằm nhận biết màu sắc tốt nhất có thể đạt được của mẻ bông cải xanh được sử dụng.
8.2.2 Nguyên liệu, phụ kiện hấp và số tầng
Phép đo được thực hiện với các bông cải xanh tươi được chế biến theo 8.1.2.
Lượng bông cải phụ thuộc vào kích thước của phụ kiện hấp. Sử dụng xấp xỉ 1 g/cm2.
Phụ kiện hấp được đo theo 6.4 phải che phủ tối thiểu 80 % chiều rộng hữu dụng và 70 % chiều sâu hữu dụng của khoang đo được theo 6.2.
Nếu phụ kiện hấp đi kèm được khuyến cáo trong hướng dẫn vừa với các kích thước này thì phải sử dụng phụ kiện này. Nếu phụ kiện đi kèm hoặc phụ kiện được khuyến cáo không phù hợp với các điều kiện trên thì sử dụng phụ kiện hấp khác, là ngăn chứa có lỗ vừa với điều kiện trên đến chừng mực có thể.
Đối với thử nghiệm phân bố hơi nước theo chiều ngang, sử dụng một tầng.
Như một tùy chọn, phân bố hơi nước theo chiều thẳng đứng có thể được thử nghiệm nếu hấp nhiều tầng được khuyến cáo trong hướng dẫn của nhà chế tạo. Tuân thủ hướng dẫn của nhà chế tạo liên quan đến số tầng hấp đồng thời.
8.2.3 Quy trình
Chuẩn bị đầu đo tham chiếu theo 8.1.3.1 và đầu đo chính như sau;
CHÚ THÍCH 1: Đối với thử nghiệm so sánh, lý tưởng là đầu đo tham chiếu và (các) đầu đo chính được hấp cùng lúc.
Đối với thiết bị không có nguồn cấp nước sạch cố định thì phải đổ đầy nước vào bình chứa đến mức tối đa. Nhiệt độ của nước là (15 ± 1) °C.
Phân bố các bông cải xanh lên phụ kiện sao cho chúng phủ lên toàn bộ bề mặt của phụ kiện và không đè lên nhau (một lớp). Bông cải được đặt sát nhau trong phụ kiện với cuống được hướng xuống dưới. Mặt trên của các bông cải nên xấp xỉ cùng một mức.
Nêu rõ khối lượng bông cải xanh được đặt vào.
Hấp bông cải xanh theo hướng dẫn của nhà chế tạo đối với loại thực phẩm này liên quan tới chức năng hấp, nhiệt độ, vị trí giá và gia nhiệt trước. Nếu gia nhiệt trước được khuyến cáo thì đặt bông cải xanh vào lò hấp khi kết thúc thời gian gia nhiệt trước được chỉ ra, ví dụ như bằng tín hiệu nhìn thấy được hoặc tín hiệu âm thanh, hoặc sau thời gian gia nhiệt trước được khuyến cáo.
Đối với thử nghiệm phân bố hơi theo chiều thẳng đứng (chỉ khi được khuyến cáo trong hướng dẫn của nhà chế tạo), các phụ kiện được đặt vào cùng lúc trong lò hấp theo hướng dẫn của nhà chế tạo.
Nếu không có hướng dẫn:
- đặt chế độ chức năng hấp;
- điều chỉnh nhiệt độ đến chế độ đặt cao nhất có thể ≤ 100 °C;
- đặt phụ kiện vào giữa khoang đã tính toán;
- không gia nhiệt trước.
Hấp bông cải xanh cho tới khi độ chín tới của đầu đo chính giống với độ chín tới của dầu dò tham chiếu. Nếu độ chín tới của đầu đo chính không đồng đều thì hấp cho tới khi tất cả các vùng của đầu đo chính đều tối thiểu là chín sần sật, ngay cả khi các vùng khác được nấu chín quá.
Chỉ chấp nhận các kết quả thử nghiệm có độ chín tới gần như là như nhau để so sánh.
Nếu độ chín tới của đầu đo chính và đầu đo tham chiếu chênh lệch nhau thì lập lại thử nghiệm bằng cách thay đổi thời gian nấu của đầu đo chính.
CHÚ THÍCH 2: Thử nghiệm sơ bộ có thể là thiết yếu để đạt được độ chín tới mong muốn của đầu đo.
Trong quá trình hấp bông cải xanh, không được thay đổi vị trí của (các) phụ kiện.
Sau khi hấp, lấy bông cải xanh ra.
Nếu hấp nhiều tầng (thử nghiệm sự phân bố hơi nước theo chiều thẳng đứng) thì lấy tất cả các phụ kiện ra cùng một lúc.
8.2.4 Đánh giá
Phải tiến hành đánh giá ngay sau khi hấp và phải hoàn thành việc đánh giá trong thời gian không quá 5 min sau khi hấp.
Phải đánh giá độ chín tới với một vài bông cải có cùng kích cỡ ngay sau quy trình hấp. Đối với thử nghiệm so sánh, nhất thiết là tất cả các đầu đo phải có cùng độ chín tới như đầu đo tham chiếu (xem 8.1.3.1).
Nếu độ chín tới phù hợp, màu sắc của đầu đo chính và đầu đo tham chiếu được xác định như sau:
- chỉ kiểm tra phía trên của các bông cải xanh, không quan tâm đến phần dưới và cuống;
- nhận diện những vùng phía trên của đầu đo chính có ít phần vàng nhất (= tốt nhất) Gmin và nhiều phần vàng nhất (= kém nhất) Gmax của màu xanh; phải nhìn thấy được màu sắc trong vùng tập trung, không quan tâm đến các bông cải đơn lẻ;
- tìm những biểu đồ sắc thái NCS đặc trưng tốt nhất cho màu sắc của cả hai vùng bằng cách sử dụng các biểu đồ sắc thái quy định trong Phụ lục F;
- nêu rõ những phần màu vàng Gmax và Gmin của đầu đo chính theo % (xem ví dụ trong Phụ lục F, Chú thích 3);
- tính độ chênh lệch ∆Gdistribute như dưới đây và thể hiện bằng %:

trong đó:
Gmin là phần màu vàng của màu của vùng màu lục nhất trong đầu đo chính, tính bằng %;
Gmax là phần màu vàng của màu vùng màu ô liu chuyển sang nâu nhất trong đầu đo chính, tính bằng %;
∆Gdistribute là độ chênh lệch của các phần màu vàng Gmax và Gmin;
- tìm biểu đồ sắc thái trong NCS đặc trưng tốt nhất cho màu sắc của đầu đo tham chiếu và nêu rõ phần màu vàng GR của đầu đo tham chiếu;
- tính độ chênh lệch
như dưới đây và thể hiện bằng %:

trong đó:
là độ chênh lệch màu sắc nhỏ nhất giữa đầu đo chính và đầu đo tham chiếu;
Gmin là phần màu vàng của vùng màu lục nhất trong đầu đo chính, tính bằng %;
GR là phần màu vàng của màu trong đầu đo tham chiếu, tính bằng %;
- tính độ chênh lệch
như dưới đây và thể hiện bằng %:

trong đó:
là độ chênh lệch màu sắc lớn nhất giữa đầu đo chính và đầu đo tham chiếu;
Gmax là phần màu vàng của màu vùng ô liu chuyển sang nâu nhất trong đầu đo chính, tính bằng %;
GR là phần màu vàng của màu trong đầu đo tham chiếu, tính bằng %.
Độ chênh lệch ΔGdistribute xác định ở một tầng chỉ ra sự phân bố hơi nước theo chiều ngang.
Độ chênh lệch ΔGdistribute xác định ở nhiều tầng chỉ ra sự phân bố hơi nước theo chiều thẳng đứng.
Độ chênh lệch
chỉ ra độ chênh lệch giữa màu lục của đầu đo chính và màu sắc tốt nhất có thể đạt được.
CHÚ THÍCH 1: ΔGdistribute càng lớn thì sự phân bố của hơi nước càng không đều. Nói chung, Δ
và Δ
càng lớn thì khả năng hấp bông cải xanh càng kém.
Mức tiêu thụ nước được ghi lại bằng đồng hồ đo nước hoặc bằng cách đo lượng nước dư trong bình chứa và bộ tạo hơi nước.
CHÚ THÍCH 2: Nước dư là nước có thể sử dụng cho các quy trình nếu tiếp theo.
Nêu rõ dữ liệu dưới đây đối với sự phân bố hơi nước theo chiều ngang:
, tính bằng %:
- khối lượng bông cải xanh ở mỗi tầng (trước khi hấp);
- thời gian nấu (kể cả thời gian gia nhiệt trước);
- mức tiêu thụ điện năng (bao gồm cả gia nhiệt trước), tính bằng W·h;
- mức tiêu thụ nước;
- bình chứa nước có được đổ đầy lại trong quá trình hấp hay không.
Nếu thử nghiệm tùy chọn đối với sự phân bố hơi theo chiều thẳng đứng đã được thực hiện thì phải nêu rõ các dữ liệu sau:
, tính bằng %;
- số tầng được sử dụng đồng thời;
- khối lượng bông cải trên mỗi tầng và trên tất cả các tầng (trước khi hấp);
- thời gian nấu (kể cả thời gian gia nhiệt trước);
- mức tiêu thụ điện năng (bao gồm cả gia nhiệt trước), tính bằng W·h;
- mức tiêu thụ nước;
- bình chứa nước có được đổ đầy lại trong quá trình hấp hay không.
CHÚ THÍCH 3: Không thể so sánh mức tiêu thụ điện năng, thời gian nấu và mức tiêu thụ nước vì lượng bông cải xanh khác nhau được lấy làm cơ sở.
8.3 Xác định công suất
8.3.1 Mục đích
Mục đích của thử nghiệm này là đánh giá công suất của thiết bị. Các phép đo được thực hiện với đậu hạt đông lạnh sâu để mô phỏng tải lớn. Công suất của thiết bị được xác định bằng khối lượng lớn nhất (= mmax tính bằng gam) của đậu hạt đông lạnh được hấp.
Tải lớn này đại diện cho công suất của thiết bị, ví dụ như khả năng đến đâu trong việc chuẩn bị một bữa ăn đầy đủ cho một hoặc nhiều người. Lượng đậu hạt đông lạnh có thể hấp đến nhiệt độ (85 ± 1) °C, có màu sắc đồng nhất, trong một thời gian nhất định chỉ trong phạm vi một bình chứa nước, đặc trưng cho lò hấp công suất cao, công suất trung bình và công suất thấp.
8.3.2 Nguyên liệu
Thực hiện các phép đo bằng đậu hạt đông lạnh sâu. Cần cẩn thận để đảm bảo rằng trong đậu hạt không còn một chút đá băng nào. Màu của đậu hạt đông lạnh phải đồng nhất và càng màu lục càng tốt.
CHÚ THÍCH 1: Đậu hạt được lưu trữ trong tủ đông có nhiệt độ xấp xỉ - 20 °C.
CHÚ THÍCH 2: Đậu hạt có đường kính xấp xỉ 8 mm và được phân loại là “đậu nhỏ”.
8.3.3 Khối lượng đậu hạt, phụ kiện hấp và số tầng hấp
Khối lượng đậu hạt, số tầng hấp được sử dụng đồng thời và (các) phụ kiện được xác định theo hướng dẫn của nhà chế tạo.
Nếu không có hướng dẫn thì:
- tải tối đa phụ thuộc vào kích thước của phụ kiện hấp được cung cấp;
- chiều cao của tải đo được trong phụ kiện phải là (40 ± 2) mm. Nếu chiều cao của phụ kiện thấp hơn 40 mm thì các đậu hạt phải được đổ đến chiều cao tối đa;
- chỉ sử dụng một tầng hấp.
Nhiệt ngẫu phải luôn được che phủ bởi đậu hạt. Đậu cần được đổ đến chiều cao ít nhất là xấp xỉ 20 mm để có thể đặt nhiệt ngẫu đúng yêu cầu.
8.3.4 Quy trình
8.3.4.1 Quy định chung
Đối với thiết bị không có nguồn cấp nước sạch cố định thì bình chứa phải được đổ nước đến mức tối đa. Nhiệt độ của nước là (15 ± 1) °C.
Lấy đậu hạt ra khỏi tủ đông lạnh và đổ lượng cần thiết vào (các) phụ kiện hấp.
Kiểm tra chiều cao của tải bằng dưỡng và cân khối lượng tổng. Hấp đậu ngay sau khi đậu được đổ vào phụ kiện.
Hấp theo hướng dẫn của nhà chế tạo đối với loại thực phẩm này liên quan đến chức hăng hấp, nhiệt độ, (các) vị trí của giá và gia nhiệt trước.
Nếu gia nhiệt trước được khuyến cáo thì đặt đậu hạt vào lò hấp khi kết thúc thời gian gia nhiệt trước được chỉ ra, ví dụ bằng tín hiệu nhìn thấy được hoặc tín hiệu âm thanh hoặc sau thời gian gia nhiệt trước được khuyến cáo.
Nếu không có hướng dẫn thì:
- đặt chế độ chức năng hấp;
- điều chỉnh nhiệt độ đến chế độ đặt cao nhất có thể ≤ 100 °C;
- đặt phụ kiện/các phụ kiện vào giữa khoang đã tính toán;
- không gia nhiệt trước.
Nhiệt ngẫu được dẫn qua khe cửa theo cách sao cho cửa đóng kín được hoàn toàn.
Trong quá trình hấp đậu, không được thay đổi vị trí của phụ kiện.
Kết thúc quá trình hấp, lấy tất cả các phụ kiện ra ngay lập tức và cùng một lúc.
8.3.4.2 Thử nghiệm sơ bộ
Thử nghiệm sơ bộ được thực hiện nhằm xác định vị trí của điểm lạnh nhất của tải.
Cố định một nhiệt ngẫu theo 5.3 vào tâm hình học của tải trên mỗi tầng hấp được sử dụng.
Hấp đậu theo 8.3.4.1.
Khi nhiệt độ tại tâm của tải đặt nhiệt độ xấp xỉ 70 °C, lấy phụ kiện/các phụ kiện ra
Phát hiện điểm lạnh nhất và kiểm tra sự phân bố nhiệt độ của toàn bộ tải bằng giác quan (ví dụ như bằng thị giác hoặc bằng cách cảm nhận điểm lạnh nhất).
Ghi lại vị trí của điểm lạnh nhất (vùng, chiều cao và tầng nếu cần thiết).
CHÚ THÍCH 1: Điểm lạnh nhất dễ xác định hơn nếu có nhiều nhiệt ngẫu hơn được phân bố đều trong tải.
CHÚ THÍCH 2: Thông thường điểm lạnh nhất nằm ở dưới bề mặt
8.3.4.3 Thử nghiệm chính
Đối với thử nghiệm chính, sử dụng năm nhiệt ngẫu. Một nhiệt ngẫu được bố trí tại điểm lạnh nhất đã phát hiện được. Bốn nhiệt ngẫu còn lại được bố trí đều theo khối đậu hạt để phát hiện nếu điểm lạnh nhất dịch chuyển.
Khi nhiệt ngẫu cưới cùng đạt tới được nhiệt độ là (85 ± 1) °C thì kết thúc quy trình hấp. Nêu rõ thời gian nấu.
8.3.5 Đánh giá
8.3.5.1 Tiêu chí phù hợp
Bước đầu tiên là đảm bảo hiệu lực của thử nghiệm chính. Bước thứ hai, nếu rõ kết quả cuối cùng (xem 8.3.5.2).
Các kết quả của thử nghiệm chính theo 8.3.4.3 là có hiệu lực và chỉ được chấp nhận nếu đáp ứng các tiêu chí dưới đây.
a) Đồng nhất màu sắc
Xác định màu của đậu hạt ngay sau khi hấp. Việc xác định phải được hoàn thành trong thời gian không quá 5 min ngay sau khi hấp.
Phát hiện những vùng đậu đã hấp có phần màu vàng ít nhất (= tốt nhất) và nhiều nhất (= kém nhất) trong màu lục. Màu sắc phải nhìn thấy được ở các vùng tập trung, trong khi đó không quan tâm đến những hạt đơn lẻ. Cũng kiểm tra các hạt đậu bên dưới bề mặt.
Tìm những biểu đồ sắc thái trong NCS đặc trưng cho các màu sắc của vùng tốt nhất và kém nhất bằng cách sử dụng các biểu độ sắc thái được quy định trong Phụ lục F. Nêu rõ phần màu vàng của các màu này. Tính toán sự chênh lệch giữa các phần màu vàng (xem ví dụ trong Phụ lục F, Chú thích 3). Độ chênh lệch giữa phần màu vàng ít nhất và nhiều nhất không được lớn hơn 10 %.
b) Thời gian nấu
Thời gian nấu được xác định theo thời gian tham chiếu tref được cho trên Hình 12 đối với tải này, bao gồm cả thời gian gia nhiệt bước.
Thời gian nấu không được lâu hơn hai lần thời gian tham chiếu.
Thời gian nấu được xác định có thể đưa vào trong Hình 12.
CHÚ THÍCH: Đường tham chiếu trên Hình 12 được xác định theo kinh nghiệm.

Hình 12 - Giá trị tham chiếu của thời gian nấu (tref)
c) Bình chứa nước
Trong quá trình hấp, bình chứa nước không được đổ đầy lại.
Nếu một trong các tiêu chí này không được đáp ứng thì phải lặp lại thử nghiệm với khối lượng đậu hạt ít hơn. Khối lượng đậu phải giảm theo từng cấp 20 % từ khối lượng đậu hạt đông lạnh sâu trước khi hấp.
8.3.5.2 Kết quả cuối cùng
Nếu kết quả có hiệu lực thì nêu rõ công suất này - nghĩa là tượng đậu hạt lớn nhất mmax được hấp có chất lượng chấp nhận được theo các tiêu chí ở 8.3.5.
CHÚ THÍCH 1: Hấp nhiều hơn 2 000 g đậu hạt đông lạnh là điển hình cho một lò hấp công suất cao, ví dụ như để nấu ăn cho một nhóm người. Lò hấp hấp được dưới 1000 g đậu hạt đông lạnh là lò hấp có công suất thấp.
Nêu rõ số tầng hấp được sử dụng cùng một lúc.
Mức tiêu thụ điện năng được thể hiện bằng W·h (bao gồm cả gia nhiệt trước).
CHÚ THÍCH 2: Không thể so sánh mức tiêu thụ điện năng và thời gian nấu vì lượng đậu hạt khác nhau được lấy làm cơ sở.
8.4 Độ chính xác của cơ cấu điều khiển nhiệt độ
Mục đính của thử nghiệm này là xác định độ chính xác đối với chức năng hấp của cơ cấu điều khiển nhiệt độ đối với chế độ đặt thấp.
Trước khi đo, toàn bộ thiết bị phải ở nhiệt độ môi trường xung quanh là (23 ± 2) °C. Phần từ điều khiển nhiệt độ được đặt ở vị trí ghi nhãn 90 °C và thiết bị được gia nhiệt trong thời gian tcheck,90 = 45 min.
Nếu phần tử điều khiển không được ghi nhận mức 90 °C thì cần tính đến mức đặt được ghi nhãn thấp hơn tiếp theo.
Nhiệt độ được ghi lại liên tục theo 7.1.
Nhiệt độ được xác định lần lượt bằng trung bình số học của nhiệt độ thấp nhất và nhiệt độ cao nhất đạt được trong thời gian 20 min cuối của tcheck.
Ghi lại nhiệt độ trung bình số học và nhiệt độ thấp nhất và nhiệt độ cao nhất.
9 Bếp nướng
9.1 Mục đích
Mục đích của các thử nghiệm này là xác định tính năng của bếp nướng liên quan đến kích cỡ và khả năng nướng.
9.2 Diện tích nướng
9.2.1 Mục đích
Mục đích của thử nghiệm này là xác định diện tích hiệu quả của bếp nướng.
CHÚ THÍCH: Thử nghiệm này chỉ áp dụng cho thử nghiệm so sánh.
9.2.2 Quy trình
Các phép đo được thực hiện với bánh mì trắng được sản xuất công nghiệp, thường có sẵn và thích hợp để nướng, cần chú ý để đảm bảo rằng nếu cần nhiều hơn một ổ bánh thì vẫn sử dụng bánh mì thuộc cùng một mẻ. Các lát bánh mì kích cỡ đồng nhất có chiều dày là (12 ± 1) mm được sử dụng để thử nghiệm với vỏ bánh được lấy đi. Vỉ nướng được che phủ hoàn toàn bằng bánh mì.
CHÚ THÍCH: Nếu cần, cắt xén một số lát bánh để vừa với vỉ nướng.
Bếp nướng được gia nhiệt trước theo hướng dẫn sử dụng. Nếu không có hướng dẫn thì bếp nướng được gia nhiệt trước trong 5 min.
Vỉ nướng, cùng với chảo nướng, được đặt dưới phần tử nướng ở vị trí được khuyến cáo theo hướng dẫn sử dụng. Nếu không có hướng dẫn thì vỉ nướng được đặt ở vị trí cao nhất phù hợp để nướng. Cửa ở vị trí mở, nếu không có quy định nào khác trong hướng dẫn sử dụng.
Vỉ nướng được lấy ra khi một phần bánh mì được làm chín vàng đẹp nhưng trước khi xảy ra hiện tượng cháy. Nếu bánh mì co lại bất kỳ thì các lát được di chuyển sao cho các mép trùng với các mép của vỉ nướng.
9.2.3 Đánh giá
Biểu đồ sắc thái của Phụ lục B được sử dụng để xác định vùng bánh mì mà tại đó độ chín vàng nằm trong các sắc thái từ số 8 đến số 14. Diện tích nướng hiệu quả được nêu rõ bằng centimét vuông và được thể hiện bằng phần trăm diện tích bề mặt của vỉ nướng.
9.3 Nướng
9.3.1 Mục đích
Mục đích của thử nghiệm này là xác định tính đồng đều của việc nướng và làm chín vàng thịt.
CHÚ THÍCH: Thử nghiệm này chỉ áp dụng cho thử nghiệm so sánh.
9.3.2 Nguyên liệu
2500 g thịt bò tươi băm, hàm lượng mỡ từ 10 % đến 20 %.
Lượng thịt này đủ cho 20 miếng burger.
9.3.3 Quy trình
Nặn thịt bò băm thành các miếng burger bằng cách sử dụng khuôn tròn, mỗi miếng burger có trọng lượng 125 g và có đường kích là 75 mm. Nén miếng burger sao cho chiều cao của nó xấp xỉ 35 mm.
Phân bố các miếng burger đều nhau trên vỉ nướng sao cho khoảng cách giữa các miếng burger và khoảng cách giữa miếng burger và mép vỉ nướng xấp xỉ 15 mm.
Gia nhiệt trước bếp nướng ở chế độ đặt tối đa theo hướng dẫn sử dụng. Nếu không có hướng dẫn sử dụng thì gia nhiệt trước bếp nướng trong 5 min.
Đặt vỉ nướng và chảo nướng dưới phần tử nướng ở vị trí được khuyến cáo trong hướng dẫn sử dụng. Nếu không có hướng dẫn thì đặt vỉ nướng sao cho mặt trên cùng của miếng burger nằm bên dưới phần tử nướng 50 mm đến 75 mm. Cửa ở vị trí mở, nếu không có quy định nào khác trong hướng dẫn sử dụng.
Nướng các miếng burger như khuyến cáo trong hướng dẫn sử dụng. Nếu không có hướng dẫn thì nướng một mặt trong thời gian từ 12 min đến 15 min, rồi lật miếng burger và nướng mặt còn lại trong thời gian 10 min đến 15 min.
9.3.4 Đánh giá
Vỉ nướng được lấy khỏi lò nướng và nhiệt độ được đo tại tâm của năm miếng burger bằng cách sử dụng đầu đo do nhiệt độ. Chọn các miếng burger nằm ở bốn góc và nằm giữa vỉ nướng. Phép đo phải được thực hiện trong thời gian 2 min.
Nêu rõ chênh lệch giữa nhiệt độ lớn nhất và nhỏ nhất tại tâm.
Độ chín vàng của từng miếng burger được đánh giá và ghi lại như sau:
- Cháy đen nặng - A
- Chảy đen nhẹ - B
- Sẫm vừa - C
- Sáng vừa - D
- Xám - E
10 Ngăn giữ nóng
Mục đích của thử nghiệm này là đánh giá cơ cấu điều khiển nhiệt độ và mức tiêu thụ điện năng của ngăn giữ nóng.
CHÚ THÍCH: Thử nghiệm này được coi là cho kết quả tái lập.
Nhiệt ngẫu được đặt tại tâm hình học của ngăn giữ nóng. Cơ cấu điều khiển dược đặt ở vị trí ghi nhãn thấp nhất và ngăn giữ nóng được gia nhiệt cho tới khi các điều kiện ổn định được thiết lập. Sau đó cơ cấu điều khiển được đặt ở vị trí trung bình và quá trình gia nhiệt tiếp tục. Khi các điều kiện ổn định được thiết lập thì tiếp tục gia nhiệt với cơ cấu điều khiển ở chế độ đặt lớn nhất.
Khi điều kiện ổn định được thiết lập lại, tiếp tục thử nghiệm trong thời gian 1 h và đo mức tiêu thụ điện năng trong quá trình này.
Nêu rõ nhiệt độ đối với các chế độ đặt khác nhau của cơ cấu điều khiển. Nếu cơ cấu điều khiển không tuyến tính thì nêu rõ nhiệt độ trung bình và chênh lệch nhiệt độ.
Mức tiêu thụ điện năng được thể hiện bằng W·h trong thời gian làm việc 1 h.
11 Làm sạch
11.1 Lò tự làm sạch bằng nhiệt phân
Mục đích của thử nghiệm này là đánh giá quy trình tự làm sạch của lò.
CHÚ THÍCH 1: Thử nghiệm này chỉ áp dụng cho thử nghiệm so sánh.
Bề mặt bên trong của khoang và cửa được bôi bẩn nhân tạo bằng cách sử dụng chổi sơn.
CHÚ THÍCH 2: Không bôi bẩn lên chèn bịt cửa và bề mặt chồng lên nhau giữa cửa và khoang.
Chất bẩn nhân tạo được làm từ
30 g nước thịt (20 g chiết xuất thịt và 10 g nước);
15 g dầu hydro hóa (chất béo thực vật dùng để nấu).
Hỗn hợp được bôi đều lên với một lượng 0,15 g/dm2.
Cửa được đóng lại và lò được cấp điện trong thời gian 3 h với cơ cấu điều khiển nhiệt độ được đặt ở 250 °C hoặc nhiệt độ cao nhất đạt được nếu nhiệt độ này là thấp hơn. Sau đó lò được để nguội. Tiếp đó lò được cho làm việc ở chế độ làm sạch theo hướng dẫn sử dụng và đo mức tiêu thụ điện năng. Sau khi lò đã nguội thì kiểm tra lò. Nêu rõ cặn dư còn lại ở mức nào và liệu có thể loại bỏ bằng khăn vải ẩm hay không.
Đo mức tiêu thụ điện năng trong chu trình làm sạch và thể hiện bằng kilôoát giờ, làm tròn đến 0,1 kWh.
11.2 Lò làm sạch bằng chất xúc tác
Mục đích của thử nghiệm này là đánh giá khả năng làm sạch lò bằng chất xúc tác.
CHÚ THÍCH 1: Thử nghiệm này chỉ áp dụng cho thử nghiệm so sánh.
Đặt khoảng 1 000 g thịt ba chỉ lợn vào chảo rán để hở và đổ thêm 0,125 L nước. Chảo được đặt càng gần với tâm của lò càng tốt và gia nhiệt trong 1,5 h ở nhiệt độ lò 200 °C đối với lò lưu thông không khí cưỡng bức và 225 °C đối với lò đối lưu tự nhiên. Chảo được lấy ra và để cho lò nguội.
Kiểm tra lò và nêu rõ còn cặn dư lại ở mức nào trên bề mặt có lớp phủ chất xúc tác.
CHÚ THÍCH 2: Sử dụng thịt ba chỉ lợn vì phần thịt này có đủ chất béo để làm bẩn các bề mặt.
12 Phép đo mức tiêu thụ điện năng ở chế độ công suất thấp
Ngoài TCVN 10152 (IEC 62301), các yêu cầu dưới đây được đưa ra.
Đối với thiết bị bao gồm một tổ hợp các khối riêng lẻ, có thể gồm có một trong nhiều loại bếp khác nhau và một trong nhiều loại lò khác nhau, sử dụng kết hợp khuyến cáo được công bố trong hướng dẫn sử dụng của nhà chế tạo để thử nghiệm.
Nếu thiết bị A (ví dụ là bếp điện) chỉ có thể làm việc kết hợp với thiết bị B (ví dụ là lò) thì đầu tiên là đo và ghi lại chế độ công suất thấp đối với thiết bị B không có thiết bị A. Sau đó đo chế độ công suất thấp đối với thiết bị B khi được kết hợp với thiết bị A. Tính mức tiêu thụ công suất thấp của thiết bị A bằng độ chênh lệch giữa hai phép đo này.
Khi chuẩn bị báo cáo thử nghiệm đối với thiết bị bao gồm tổ hợp nhiều khối riêng lẻ, tổ hợp các loại phần được cấp nguồn điện lưới (bếp điện, lò, bếp nướng, tấm giữ nóng, vỉ nướng, v.v...) được sử dụng cho phép đo phải được ghi lại. Phải ghi lại mức tiêu thụ của các chế độ cống suất thấp đối với riêng từng khối A và khối B.
CHÚ THÍCH: Quy trình đo đối với mức tiêu thụ điện năng của bếp điện được mô tả trong IEC 60350-2.
Khi thử nghiệm thiết bị có lắp đồng hồ thì đồng hồ phải được điều chỉnh chính xác thời gian và ngày tháng như quy định trong hướng dẫn.
Trong trường hợp mức tiêu thụ điện năng bị ảnh hưởng bởi thời gian hiển thị thay đổi liên tục của đồng hồ thì phép đo trong thời gian 24 h là cần thiết. Giá trị trung bình từ phép đo này được ghi lại.
Nếu thiết bị có cảm biến ánh sáng môi trường xung quanh thì phải đo hai cấp độ rọi theo TCVN 10152 (IEC 62301) trong thời gian 24 h, mỗi cấp độ rọi được đo trong 12 h.
Nếu có lựa chọn để người sử dụng tắt hiển thị thì cả hai chế độ đóng và cắt điện phải được thử nghiệm và báo cáo.
Phụ lục A
(quy định)
Thiết bị đo màu
Thiết bị đo (xem Hình A.1) phù hợp với CIE 15 với các yêu cầu kỹ thuật sau:
| - hình học đo: | khuếch tán, độ lệch theo chiều thẳng đứng 8°; |
| - độ mở đo: | đường kính (15 ± 3) mm; |
| - tiêu chuẩn hiệu chỉnh: | màu trắng, barium sulfate nén (BaSO4) Opal CRM406, polytetrafluoroethylene (PTFE) hoặc tương đương; |
| - vật rọi sáng tiêu chuẩn: | Vật rọi sáng tiêu chuẩn CIE; |
| - quan sát viên tiêu chuẩn: | 10°; |
| - đánh giá: | giá trị phản xạ RY. |

CHÚ DẪN:
| 1 Bộ nhận tia sáng | 6 Lá chắn sáng |
| 2 Bộ lọc | 7 Quả cầu tích hợp |
| 3 Hướng sóng ánh sáng | 8 Mẫu bên dưới độ mở đo |
| 4 Kênh đo | 9 Kênh tham chiếu |
| 5 Bóng đèn chớp xenon |
|
Hình A.1 - Thiết bị đo màu
Phụ lục B
(quy định)
Biểu đồ sắc thái chín vàng
Phụ lục B quy định mối liên quan giữa giá trị phản xạ RY và các số sắc thái tương ứng với biểu đồ sắc thái NCS (xem Bảng B.1 và Bảng B.2).
Bảng B.1 - Phân loại các số sắc thái
| Giá trị phản xạ đo được RY | Dung sai đối với | Số sắc thái | |
| ≥ | < | 7.5.3.6.3 |
|
|
| 7,2 | ±14 % | 17 |
| 7,2 | 9,3 | ±13 % | 16 |
| 9,3 | 12,2 | ±12 % | 15 |
| 12,2 | 16,4 | ±11 % | 14 |
| 16,4 | 20,1 | ±10 % | 13 |
| 20,1 | 22,9 | ±10 % | 12 |
| 22,9 | 26,5 | ±9 % | 11 |
| 26,5 | 31,7 | ±9 % | 10 |
| 31,7 | 38,5 | ±8 % | 9 |
| 38,5 | 46,9 | ±8 % | 8 |
| 46,9 | 54,2 | ±8 % | 7 |
| 54,2 | 64,3 | ±8 % | 6 |
| 64,3 | 75,2 | ±8 % | 5 |
| 75,2 |
| ±8 % | 4 |
Bảng B.2 - Ví dụ về biểu đồ sắc thái
| NCS | ||
| Biểu đồ sắc thái | L* | RY |
| S 8502-Y | 30,3 | 6,4 |
| S 7020-Y50R | 34,4 | 8,2 |
| S 6030-Y50R | 38,6 | 10,4 |
| S 5040-Y40R | 44,5 | 14,2 |
| S 4050-Y30R | 50,4 | 18,8 |
| S 4040-Y30R | 53,4 | 21,4 |
| S 4030-Y30R | 56,6 | 24,5 |
| S 3040-Y30R | 60,5 | 28,7 |
| S 2060-Y20R | 65,7 | 34,9 |
| S 2040-Y20R | 71,1 | 42,3 |
| S 1050-Y20R | 77,1 | 51,7 |
| S 1040-Y20R | 80,1 | 56,9 |
| S 0530-Y10R | 88,1 | 72,3 |
| S 0520-Y10R | 90,9 | 78,3 |
CHÚ THÍCH 1: Giá trị phản xạ đo được RY không tương quan tuyến tính với cảm nhận thị giác. Mặc dù chiều rộng của các khoảng cách cho ở trên tăng theo giá trị phản xạ RY gia tăng, theo thị giác các nấc từ số sắc thái này sang số sắc thái kia khá là đồng đều.
CHÚ THÍCH 2: Các giá trị phản xạ RY được tính từ các giá trị L* dựa trên hệ thống màu L*a*b* của CIE(các điều kiện đo: vật rọi sáng tiêu chuẩn D65/quan sát viên do màu tiêu chuẩn CIE 1964/10°)
CHÚ THÍCH 3: Biểu đồ sắc thái NCS có thể đặt mua tại các Trung tâm NCS chính thức trên toàn thế giới. Dưới đây là địa chỉ của các nhà phân phối tiềm năng.
Thụy Điển (Trụ sở chính)
Scandinavian Colour Institute AB
Địa chỉ: P.O. Box 49022, S -100 28 Stockholm
Internet: www.ncscolour.com
E-mail: [email protected]
Phụ lục C
(tham khảo)
Địa chỉ nhà cung cấp
C.1 Quy định chung
Thông tin dưới đây được đưa ra để tạo thuận lợi cho người sử dụng tiêu chuẩn này và không phải là chứng thực đối với sản phẩm được nêu tên. Có thể sử dụng các sản phẩm tương đương nếu như các sản phẩm đó có thể chứng minh đưa ra các kết quả tương tự.
C.2 Nguyên liệu thử nghiệm dùng cho các bánh nhỏ
Tất cả các nguyên liệu để chế biến bánh nhỏ như quy định trong tiêu chuẩn này cũng như các cốc giấy, có thể nhận được từ: Stamminger & Demirel Testmaterialien
Erbsenbodenstr.31
D-91207Lauf-Đức
e-mail: [email protected]
Điện thoại: +49 (0) 9123-988975
Fax: +49 (0) 9123-988489
Tất cả các nguyên liệu được sử dụng để cho các kết quả tái lập phải từ cùng một mẻ. Khuyến cáo sử dụng các nguyên liệu phù hợp với các định nghĩa trong Bảng C.1.
Bảng C.1 - Quy định kỹ thuật đối với nguyên liệu
| Nguyên liệu | Vấn đề về chất lượng không đổi | Tiêu chí chất lượng |
| Bơ | Thay đổi theo mùa và vùng nguồn gốc Hàm lượng muối | Nguyên liệu: Kem từ sữa bò, khuẩn sữa Hàm lượng chất béo 82,5 % (tối thiểu là 82 %) Hàm lượng nước < 16 % Không muối, độ pH trong nước sữa 5,2 đến 6,3 |
| Đường | Hút ẩm | Disaccharide saccharose, khan Đường trắng tinh luyện EU cat.1 “Raffinade fein RFF” cỡ hạt từ 0,10 đến 0,35 mm, d95/d05 |
| Hỗn hợp trứng | Thay đổi thành phần sinh hóa của trứng theo mùa và chế độ dinh dưỡng | Hỗn hợp trứng gà, được tiệt trùng, đồng nhất Được đóng gói tại Tetra Brik®1, đông lạnh sâu (tối thiểu - 18 °C) pH từ 6,4 đến 7,0 Chất khô từ 22,7 % đến 23,7 % |
| Bột | Thay đổi theo mùa và vùng nguồn gốc Hút ẩm Chất phụ gia | Bột mì (triticum aestivum L.) Hàm lượng khoáng: tối đa 0,5 % (chất khô) Độ ẩm: tối đa 15,0 % Số Falling: tối thiểu 250 s Gluten: tối thiểu 24,0 % Đóng cặn: tối thiểu 26 mL Protein: xấp xỉ 10,6 % (chất khô) Chất béo: xấp xỉ 1,0 % Carbohydrate: xấp xỉ 70,9 % Năng lượng: xấp xỉ 1.409 kJ/xấp xỉ 332 kcal Chất phụ gia: axit ascorbic |
| Muối |
| Cỡ hạt < 1 mm |
| Bột nở | Tương quan và loại chất nở | Hàm lượng chất: Natriumhydrogencarbonate (E 500, 33,3 %), Dinatriumdiphosphate (E 450, 46,7 %) Tinh bột mì |
a) Yêu cầu kỹ thuật đối với cốc giấy
Đường kính đáy 48 mm và cao 29 mm. Giấy không thấm dầu được tẩy trắng có khối lượng riêng 70 g/m2.
Nhà chế tạo: Bacher und Demmler GmbH & Co. KG
Kaiser-Witi.-Str. 7-15
Germany -12247 Berlin
Artikel no: Backtӧrmchen weiß, PE 4,8/2,9cm, 70 4812 70 109 20 14
b) Thao tác hỗn hợp trứng đông lạnh
Để rã đông gói nguyên trứng đông lạnh, đổ khoảng 5 L nước vào một cái bình lớn ở nhiệt độ (30 ± 2) °C. Đặt một gói trứng đông lạnh vào nước ấm sao cho gói trứng bị ngập hoàn toàn. Có thể cần vật nặng đè gói trứng xuống, ví dụ như bằng một cái cốc. Thỉnh thoảng khuấy nước và lắc gói trứng.
Sau 1h giờ, đổ lô nước đầu tiên đi và thay mới hoàn toàn bằng 5 L nước ấm khác ở nhiệt độ (30 ± 2) °C ngập kín hoàn toàn gói trứng lần nữa. Thỉnh thoảng khuấy nước và lắc gói trứng.
Cần rã đông gói trứng trong vòng 2 h. Có thể sử dụng toàn bộ hỗn hợp trứng khi nó đạt được nhiệt độ (23 ± 2) °C. Mở gói trứng và dùng nĩa trộn trứng trong xấp xỉ 30 s cho tới khi trứng đồng đều và do đó có thể sử dụng giống như trứng tươi.
Sau khi mở ra, cần sử dụng gói trứng trong vòng một ngày. Trước khi sử dụng, dùng nĩa đánh hỗn hợp trứng cho tới khi đồng đều.
Gói trứng chưa mở ra có thể cất trong tủ lạnh.
C.3 Máy trộn thực phẩm
• Quy định kỹ thuật: công suất đanh định: (550 ± 50) W
• Số vòng quay trong một phút (xem Bảng C.2).
Bảng C.2 - Máy trộn thực phẩm - Số vòng quay
|
| Số vòng quay trong một phút | |||
| Mức 1 | Mức 2 | Mức 3 | Mức 4 | |
| Phới lồng | (53 ± 5) | (93 ± 5) | (185 ± 5) | (325 ± 5) |
• Phới lồng dạng tròn.
• Bát, dung tích xấp xỉ 3 500 cm3, đường kính miệng (23 ± 2) cm.
• Máy cần có khả năng đánh đường và bơ thành hỗn hợp mềm màu vàng nhạt trong khoảng 5 min. Nhà cung cấp là BSH Hausgeräte GmbH.
Thời gian trộn khuyến cáo (bánh nhỏ) được xác định đối với máy Bosch MUM 4600 (xem Bảng C.3)
Bảng C.3 - Thời gian trộn và chế độ
|
| Thời gian trộn (bánh nhỏ) | Chế độ đặt theo khuyến cáo |
| Đánh bơ và đường với nhau | Xấp xỉ 5 min | Sau khi khuấy, đặt ở tốc độ mức 1 lên mức 4 |
| Thêm hỗn hợp trứng | Xấp xỉ 2,5 min | Bắt đầu từ mức 1 và tăng từ từ lên mức 4 |
| Trộn bột, bột nở về muối | Xấp xỉ 1 min | Sau khi khuấy ở mức 1, tiến hành ở mức 4 |
C.4 Bóng đèn dùng cho hệ thống đo digital
Nhà cung cấp khả dĩ:
Narva Typ Bio Vital 958
NARVA - Lichtquellen GmbH + Co. KG
Erzstraße 22
Germany 09618 Brand-Erbisdorf
Điện thoại: +49 37322/17200
Fax: +49 37322/17203
C.5 Hệ thống đo digital
Nhà cung cấp khả dĩ:
1. SLG Prüf-und Zertifizierungs GmbH
Burgstädterstraße 20
Germany - 09232 Hartmannsdorf
Điện thoại: +49 (0) 3722/7323-0
Fax: +49 (0) 3722/7323-899
2. Ing.-Büro w. Neubauer
Paradiesweg 4
Germany - 96148 Baunach
Điện thoại: +49(0)170/286 60 38
C.6 Thiết bị đo màu
(Xem 7.5.2 và Phụ lục A)
Nhà cung cấp khả dĩ thiết bị đo màu:
FMS Jansen GmbH & Co. KG
HunterLab
Konica Minolta Sensing Europe B.V. European Service Center
C.7 Gạch dùng cho thử nghiệm tiêu thụ điện năng của lò
(Xem 7.4)
Viên gạch có thể mua loại “Skamol Hipor” từ nhà cung cấp sau:
Skamol Insulation
Ӧstergade 58-60
Denmark - 7900Nyköbing Mors
C.8 Khay hấp
(Xem Điều 8)
Nhà cung cấp khả dĩ:
Fackelmann
Art.-no.: 42491
Phụ lục D
(quy định)
Mô tả viên gạch thử nghiệm
D.1 Yêu cầu kỹ thuật
| Tên | Hipor5 |
| Khối lượng riêng, khô | (550 ± 40)kg/m3 |
| Độ xốp tổng | 77% |
| Khối lượng ở trạng thái khô | (920 ± 75) g (không tính nhiệt ngẫu), xem 7.4.2.2 |
| Độ hấp thụ nước | (1 050 ± 50) g, xem 7.4.2.3 |
| Chiều cao | (64 ± 0,5) mm |
Viên gạch dễ vỡ. Dung sai về khối lượng ở trạng thái khô, độ hấp thụ nước và chiều cao là rất quan trọng và phải được kiểm tra.
D.2 Nhà cung cấp và yêu cầu kỹ thuật về đặt hàng
Nhà cung cấp gạch khả dĩ:
SKAMOL INSULATION
Ӧstergade 58-60
Dk - 7900 Nyköbing Mors
Khi đặt hàng cần nêu rõ:
- tên loại gạch “Hipor”, theo thỏa thuận của Electrolux,
- chiều dài x chiều rộng x chiều cao: 230 mm x 114 mm x 64 mm (xem bản phác thảo trên Hình D.1),
- gia công bằng máy ở cả sáu mặt, dung sai ± 0,5 mm.
Đường kính lỗ không cần và không nên lớn hơn đường kính của nhiệt ngẫu.
Nếu không thể khoan các lỗ có độ sâu 32 mm thì khoan các lỗ có độ sâu khoảng 25 mm, luồn nhiệt ngẫu vào trong lỗ và cẩn thận ấn xuống thêm 7 mm còn lại. Ngoài ra, một sợi dây kim loại cứng tự chế có đường kính 1 mm có thể sử dụng như một mũi khoan.

CHÚ DẪN:
A Hai nhiệt ngẫu ống kim loại
B 50 mm, với các lỗ cách đều đường tâm của viên gạch
C Đường kính 1 mm, cả hai nhiệt ngẫu và các lỗ
D 32 mm, đối với cả hai nhiệt ngẫu
Hình D.1 - Vị trí của các nhiệt ngẫu
Phụ lục E
(tham khảo)
Tờ rời dữ liệu và tính toán: Mức tiêu thụ điện năng để gia nhiệt tải (7.4)
Cần sử dụng tờ rời dữ liệu và tính toán để xác định mức tiêu thụ điện năng để gia nhiệt tải.
Tờ rời tính toán: Mức tiêu thụ điện năng để gia nhiệt tải (7.4)
| Nhãn hiệu và nhà máy: | Loại lò / model: | Phòng thử nghiệm: |
| Điện áp danh định: | Điện áp nguồn: | Người vận hành: |
| Công suất danh định: | Thể tích tính toán (6.2): | Ngày: |
| Chức năng gia nhiệt: | Gia nhiệt thông thường |
|
| Độ tăng nhiệt danh nghĩa: 180 K | |||||||||||
| Viên gạch | đã đo | phòng | nhiệt độ lò | ||||||||||||
| số thứ tự | khối lượng khô md (g) | khối lượng ướt mw (g) | nước hấp thụ Δm (g) | khối lượng khi kết thúc quy trình nấu (g) | tổn hao khối lượng (tham khảo) (g) | nhiệt độ ban đầu của nhiệt ngấu | mức tiêu thụ điện năng Ek (kWh) | thời gian tk (min) | nhiệt độ trung bình của môi trường xung quanh (°C) | giá trị danh nghĩa ΔTic (K) | giá trị thực Δ | giá trị thực ΔTic (K) | giá trị đặt | độ chênh lệch nhiệt độ (K) | |
| số 1 (°C) | số 2 (°C) | ||||||||||||||
|
|
|
| tính t. |
| tính t. |
|
|
|
|
| 140±10 |
| tính t. |
| tính t. |
|
|
|
| tính t. |
| tính t. |
|
|
|
|
| 180±10 |
| tính t. |
| tính t. |
|
|
|
| tính t. |
| tính t. |
|
|
|
|
| 220±10 |
| tính t. |
| tính t. |
| Kết quả tại ΔT0 = 180 K | S * ΔT0 + B | Đường dốc S | Phần phẳng B | Độ chênh lệch tiêu chuẩn σ | Δ | ||||||||||
| Điện năng lượng (hồi quy tuyến tính) (kWh) | tính toán | tính toán | tính toán | tính toán | tính toán | ||||||||||
| Thời gian (hồi quy tuyến tính) (min) | tính toán | tính toán | tính toán | tính toán | tính toán | ||||||||||
| Chức năng gia nhiệt: Gia nhiệt cưỡng bức không khí (if) |
| Độ tăng nhiệt danh nghĩa: 155 K | |||||||||||||
| viên gạch | đã đo | phòng | nhiệt độ lò | ||||||||||||
| số thứ tự | khối lượng khô md (g) | khối lượng ướt mw (g) | nước hấp thụ Δm (g) | khối lượng khi kết thúc quy trình nấu (tham khảo) (g) | tổn hao khối lượng (tham khảo) (g) | Nhiệt độ ban đầu của nhiệt ngấu | mức tiêu thụ điện năng Ek (kWh) | thời gian tk (min) | nhiệt độ trung bình của môi trường xung quanh (°C) | giá trị danh nghĩa ΔTic (K) | giá trị thực Δ | giá trị thực ΔTic (K) | giá trị đặt | độ chênh lệch nhiệt độ (K) | |
| số 1 (°C) | số 2 (°C) | ||||||||||||||
|
|
|
| tính t. |
| tính t. |
|
|
|
|
| 135±10 |
| tính t. |
| tính t. |
|
|
|
| tính t. |
| tính t. |
|
|
|
|
| 155±10 |
| tính t. |
| tính t. |
|
|
|
| tính t. |
| tính t. |
|
|
|
|
| 175±10 |
| tính t. |
| tính t. |
| Kết quả tại ΔT0 = 155 K | S * ΔT0 + B | Đường dốc S | Phần phẳng B | Độ chênh lệch tiêu chuẩn σ | Δ | ||||||||||
| Điện năng lượng (hồi quy tuyến tính) (kWh) | tính toán | tính toán | tính toán | tính toán | tính toán | ||||||||||
| Thời gian (hồi quy tuyến tính) (min) | tính toán | tính toán | tính toán | tính toán | tính toán | ||||||||||
| Chức năng gia nhiệt | Hơi nóng (ih) |
| Độ tăng nhiệt danh nghĩa: 155 K | |||||||||||||
| viên gạch | đã đo | phòng | nhiệt độ lò | |||||||||||||
| số thứ tự | khối lượng khô Ms (g) | khối lượng ướt Mw (g) | nước hấp thụ Δm (g) | khối lượng khi kết thúc quy trình nấu (tham khảo) (g) | tổn hao khối lượng (tham khảo) (g) | Nhiệt độ ban đầu của nhiệt ngấu | mức tiêu thụ điện năng Ek (kWh) | thời gian tk (min) | nhiệt độ trung bình của môi trường xung quanh (°C) | giá trị danh nghĩa ΔTic (K) | giá trị thực Δ | giá trị thực ΔTic (K) | chế độ đặt | độ chênh lệch nhiệt độ (K) | ||
| số 1 (°C) | số 2 (°C) | |||||||||||||||
|
|
|
| tính t. |
| tính t. |
|
|
|
|
| 135±10 |
| tính t. |
| tính t. | |
|
|
|
| tính t. |
| tính t. |
|
|
|
|
| 155±10 |
| tính t. |
| tính t. | |
|
|
|
| tính t. |
| tính t. |
|
|
|
|
| 175±10 |
| tính t. |
| tính t. | |
| Kết quả tại ΔT0 = 155 K | S * ΔT0 + B | Đường dốc S | Phần phẳng B | Độ chênh lệch tiêu chuẩn σ | Δ | |||||||||||
| Điện năng lượng (hồi quy tuyến tính) (kWh) | tính toán | tính toán | tính toán | tính toán | tính toán | |||||||||||
| Thời gian (hồi quy tuyến tính) (min) | tính toán | tính toán | tính toán | tính toán | tính toán | |||||||||||
Phụ lục F
(quy định)
Các biểu đồ sắc thái màu lục
Phụ lục F quy định các số sắc thái NCS liên quan và các phần có màu vàng của các màu lục đối với đậu và bông cải xanh hấp (xem Bảng F.1 và Điều 8).
Bảng F.1 - Quy định kỹ thuật của các biểu đồ sắc thái màu lục liên quan
| Số sắc thái NCS | Màu sắc | Phần màu vàng của màu lục [%] |
| S 2070-G30Y S 3060-G30Y S 4050-G30Y S 5040-G30Y S 6030-G30Y S 7020-G30Y S 8010-G30Y | G30Y | 30% |
| S 2070-G40Y S 3060-G40Y S 4050-G40Y S 5040-G40Y | G40Y | 40% |
| S 2070-G50Y S 3060-G50Y S 4050-G50Y S 5040-G50Y S 6030-G50Y S 7020-G50Y S 8010-G50Y | G50Y | 50% |
| S 2070-G60Y S 3060-G60Y S 4050-G60Y S 5040-G60Y | G60Y | 60% |
| S 2070-G70Y S 3060-G70Y S 4050-G70Y S 5040-G70Y S 6030-G70Y S 7020-G70Y S 8010-G70Y | G70Y | 70% |
| S 2070-G80Y S 3060-G80Y S 4050-G80Y S 5040-G80Y | G80Y | 80% |
| S 2070-G90Y S 3060-G90Y S 4050-G90Y S 5040-G90Y S 6030-G90Y S 7020-G90Y S 8010-G90Y | G90Y | 90% |
CHÚ THÍCH 1: Biểu đồ sắc thái NCS, ví dụ như biểu độ sắc thái NCS trong Phụ lục B, có thể được đặt mua tại các Trung tâm NCS chính mức trên toàn thế giới.
CHÚ THÍCH 2: Để thử nghiệm đậu Hà Lan và bông cải xanh, chỉ phần màu vàng của màu lục là có liên quan. Trước tiên, xác định số sắc thái NCS phù hợp nhất với màu của bông cải xanh/đậu Hà Lan. Sau đó nêu rõ phần vàng của màu lục này.
CHÚ THÍCH 3: Ví dụ về việc nêu độ chênh lệch giữa các phần màu vàng của các màu lục:
Một người xác định số sắc thái NCS là S2070-G40Y, do đó phần vàng của màu này là 40 %.
Một người khác xác định số sắc thái NCS là S3060-G60Y, do đó phần màu vàng của màu này là 60 %.
Độ chênh lệch giữa các phần màu vàng của hai màu này là 60 % - 40 % = 20 %.
Phụ lục G
(tham khảo)
Phép đo mức tiêu thụ điện năng trong thời gian làm nguội
G.1 Mục đích
Mục đích của thử nghiệm này là để đo mức tiêu thụ điện năng trong thời gian làm nguội.
Đối với dãy bếp, lò và lò hấp, đo mức tiêu thụ điện năng trong thời gian làm nguội, xem Hình G.1.

Hình G.1 - Các giai đoạn đo mức tiêu thụ điện năng - Ví dụ
G.2 Phép đo sơ bộ
Để đo mức tiêu thụ điện năng của giai đoạn làm nguội, tiến hành thử nghiệm trước để cố định chế độ đặt nhiệt độ liên quan.
Nhiệt ngẫu được đặt trong thiết bị rỗng như mô tả trong Điều 7.
Cơ cấu điều khiển nhiệt độ được đặt tại các vị trí mà tại đó độ tăng nhiệt trung bình của lò
, như đã chỉ ra trong Bảng 1, có thể được dự kiến. Thiết bị được cho chạy trong một thời gian mà không thay đổi mức đặt cho tới khi đạt được các điều kiện ổn định. Xác định nhiệt độ lò bằng giá trị trung bình số học giữa nhiệt độ cao nhất và thấp nhất ở các điều kiện ổn định.
CHÚ THÍCH: Điều kiện ổn định được coi là đạt được sau năm chu kỳ của bộ điều nhiệt hoặc sau 1 h, chọn thời gian nào ngắn hơn.
Mức đặt cơ cấu điều khiển nhiệt độ được chỉnh sửa cho tới khi giá trị trung bình giữa nhiệt độ cao nhất và thấp nhất là
± 5 K. Mức đặt này của cơ cấu điều khiển nhiệt độ được ghi lại để đo mức tiêu thụ điện năng của thời gian làm nguội.
Thiết bị được cho làm nguội đến nhiệt độ môi trường xung quanh,
G.3 Đo mức tiêu thụ điện năng của thời gian làm nguội
Áp dụng quy trình chuẩn bị viên gạch được nêu trong 7.4.2.2 và 7.4.2 3. Viên gạch được bố trí trong thiết bị theo 7.4.3.1. Thiết bị được đóng điện trong thời gian 3 min kể từ khi lấy viên gạch ra khỏi tủ lạnh. Cơ cấu điều khiển nhiệt độ được đặt tại vị trí đã xác định ở Điều G.2. Thiết bị được cho làm việc trong thời gian
đã xác định tại 7.4.4.2.
Phép đo bắt đầu bằng việc đặt thiết bị ở chế độ tắt. Viên gạch được lấy ra và cửa được đóng lại sau (30 ± 2) s. Phép đo mức tiêu thụ điện năng công suất thấp được bắt đầu ngay khi thiết bị được đặt ở chế độ tắt.
Nếu thiết bị không có chế độ tắt thì đặt ở chế độ chờ.
Phép đo được dừng lại sau (60 ± 1) min không phụ thuộc vào hệ thống thông gió có tự động dừng hay không.
Mức tiêu thụ điện năng trong thời gian làm nguội được ghi lại bằng W·h đối với từng chế độ gia nhiệt theo Bảng 1.
Đảm bảo các điều kiện sau đây vẫn đúng trong quá trình đo:
• thiết bị được nối với nguồn điện lưới trong suốt thời gian thử nghiệm;
• không có mạng lưới nào được kết nối với thiết bị.
Phụ lục H
(tham khảo)
Kiểm tra năng lượng vi sóng được đặt vào trong quá trình đo theo 7.4
H.1 Quy định chung
Gia nhiệt viên gạch theo 7.4 chỉ được thực hiện bằng làm nóng. Không được đóng điện đèn phát vi sóng, ngay cả trong thời gian ngắn.
Phương pháp kỹ thuật cao để kiểm tra năng lượng vi sóng có thể được đặt vào trong quá trình đo mức tiêu thụ điện năng theo 7.1 là chứng minh rằng liệu đèn phát vi sóng có được đóng và cắt điện hay không. Tùy thuộc vào thiết kế của thiết bị, không phải lúc nào cũng có thể xác định rõ ràng năng lượng vi sóng có được đóng điện trong quá trình tăng nhiệt kéo dài hay không. Do đó có thể sử dụng phương pháp dưới đây trong thử nghiệm trước.
H.2 Quy trình
Sử dụng bóng đèn sợi đốt có dòng điện danh định 12 mA và điện áp danh định nhỏ hơn 6 V với các sợi dây kết nối bẻ gập. Các đoạn dây dài xấp xỉ một nửa bước sóng của lò vi sóng để phân bố dòng điện là lớn nhất ở giữa nơi đặt sợi đốt của bóng đèn (xem Hình H.1).

CHÚ DẪN:
C sợi dây kết nối
X trong dải 50 mm đến 60 mm
Hình H.1 - Bóng đèn sợi đốt
Viên gạch được chuẩn bị như mô tả tại 7.4.2.3 và được đặt vào trong thiết bị như mô tả tại 7.4.3.1. Bóng đèn sợi đốt được đặt trên bề mặt phía trên của viên gạch ướt. Thiết bị được đóng điện và cho vận hành theo 7.4.3.1 trong ít nhất là thời gian cần thiết để có độ tăng nhiệt của viên gạch là 55 K.
Sau đó thiết bị được ngắt mạch và bóng đèn sợi đốt được thử nghiệm. Nếu năng lượng vi sóng đã được đặt vào thì trường điện trong quá trình hoạt động của lò vi sóng sẽ cảm ứng những dòng điện lớn hơn nhiều so với 12 mA, do đó làm cháy sợi đốt. Bóng đèn có thể được thử nghiệm bằng thiết bị thử nghiệm điện trở hoặc bằng bộ thử nghiệm nhỏ dùng cho đèn LED. Bóng đèn được lắp trong đui đèn và sợi tóc sẽ sáng lên nếu nó không bị cháy. Nếu không, điều đó có nghĩa là không có năng lượng vi sóng được đặt vào.
Phụ lục I
(tham khảo)
Đánh dấu việc đặt nhiệt độ để kiểm tra nhiệt độ lò
Để đánh dấu việc đặt nhiệt độ trên tấm panel, sử dụng giấy tọa độ cực có thể là hữu ích.
Giấy tọa độ cực có các vòng tròn đồng tâm được chia thành các cung nhỏ cho phép đánh dấu chính xác vị trí xung quanh núm điều chỉnh (xem Hình I.1).

Hình I.1 - Giấy tọa độ cực - Mẫu giấy
Thư mục tài liệu tham khảo
[1] TCVN 5699-2-6 (IEC 60335-2-6), Thiết bị điện gia dụng và thiết bị điện tương tự. An toàn. Phần 2-6: Yêu cầu cụ thể đối với lò liền bếp, ngăn giữ nóng, lò đặt tĩnh tại và các thiết bị tương tự
[2] TCVN 5699-2-9 (IEC 60335-2-9), Thiết bị điện gia dụng và thiết bị điện tương tự. An toàn. Phần 2-9: Yêu cầu cụ thể đối với lò nướng, lò nướng bánh mì và các thiết bị nấu di động tương tự
[3] TCVN 12218-2 (IEC 60350-2), Thiết bị nấu gia dụng - Phần 2 - Bếp điện - Phương pháp đo tính năng
[4] TCVN 12219 (IEC 60705), Lò vi sóng gia dụng - Phương pháp đo tính năng
[5] IEC 61591, Dãy bếp dùng trong gia đình - Phương pháp đo tính năng
[6] TCVN 11331 (IEC 61817), Thiết bị nấu, nướng di động dùng cho mục đích gia dụng và tương tự - Phương pháp đo tính năng
[7] IEC TR 61923, Household electrical appliances - Methods of measuring performance - Assessment of repeatability and reproducibility
[8] ISO 2813, Paints and varnishes - Determination of gloss value at 20°, 60° and 85°
[9] ISO 11664-2, Colorimetry - Part 2: CIE standard illuminants
[10] SACHS L. Applied Statistics - A handbook of techniques. Second Edtion, Springer-Vertag, New York, Berlin, Heidelberg, 1984
MỤC LỤC
Lời nói đầu
1 Phạm vi áp dụng
2 Tài liệu viện dẫn
3 Thuật ngữ và định nghĩa
4 Danh mục các phép đo
5 Điều kiện chung đối với các phép đo
6 Kích thước và khối lượng
7 Lò và lò hấp kết hợp
8 Lò hấp và lò hấp kết hợp
9 Bếp nướng
10 Ngăn giữ nóng
11 Làm sạch
12 Phép đo mức tiêu thụ ở chế độ công suất thấp
Phụ lục A (quy định) - Thiết bị đo màu
Phụ lục B (quy định) - Biểu đồ sắc thái chín vàng
Phụ lục C (tham khảo) - Địa chỉ nhà cung cấp
Phụ lục D (quy định) - Mô tả viên gạch thử nghiệm
Phụ lục E (tham khảo) - Tờ rời dữ liệu và tính toán: Mức tiêu thụ điện năng để gia nhiệt tải (7.4)
Phụ lục F (quy định) - Biểu độ sắc thái màu lục
Phụ lục G (tham khảo) - Phép đo mức tiêu thụ điện năng trong thời gian làm nguội
Phụ lục H (tham khảo) - Kiểm tra năng lượng vi sóng được đặt vào trong phép đo theo 7.4
Phụ lục I (tham khảo) - Đặt chế độ nhiệt độ để kiểm tra nhiệt độ lò
Thư mục tài liệu tham khảo
1) Thống kê ứng dụng, các công thức 5.29a và 5.69, đã sửa đổi. Xem Thư mục tài liệu tham khảo.
2) Phần mềm Excel là tên thương mại của một sản phẩm được cung cấp bởi tập đoàn Microsoft.
Thông tin này được đưa ra để thuận tiện cho người sử dụng tiêu chuẩn này và không phải là một chứng thực của IEC về sản phẩm được nêu tên. Có thể sử dụng các sản phẩm tương đương nếu có thể chứng minh rằng chúng dẫn đến những kết quả như vậy.
3 NCS®© là thương hiệu của sản phẩm được cung cấp bởi NCS Colour.
Thông tin này được đưa ra để thuận tiện cho người sử dụng tiêu chuẩn này và không phải là một chứng thực cho sản phẩm được nêu tên. Có thể sử dụng các sản phẩm tương đương nếu có thể chứng minh rằng chúng dẫn đến những kết quả như vậy.
1 Tetra Brik là tên thương hiệu của sản phẩm được cung cấp bởi Tetra Pak®. Thông tin này được đưa ra để tạo thuận lợi cho người sử dụng tiêu chuẩn này và không phải là chứng thực đối với sản phẩm được nêu tên. Có thể sử dụng các sản phẩm tương đương nếu như các sản phẩm đó có thể chứng minh đưa ra các kết quả tương tự.
5 Hipor là thương hiệu của sản phẩm được cung cấp bởi SKAMOL INSULATION. Thông tin này được đưa ra để tạo thuận lợi cho người sử dụng tiêu chuẩn này và không phải là sự bảo lãnh của IEC đối với sản phẩm được nêu tên. Có thể sử dụng các sản phẩm tương đương nếu như các sản phẩm đó có thể chứng minh đưa ra các kết quả tương tự.
Bạn chưa Đăng nhập thành viên.
Đây là tiện ích dành cho tài khoản thành viên. Vui lòng Đăng nhập để xem chi tiết. Nếu chưa có tài khoản, vui lòng Đăng ký tại đây!





(°C)
(°C)
≤ 20°C
(°C)
(°C)
20°C
(°C)
(°C)
20°C